Tracking Evidence of Seismic Damage by Nonlinear Numerical Simulations for Dating in Archaeological Contexts
Abstract
1. Introduction
2. Materials
2.1. The Ancient Roman City of Ostia

2.2. The Piccolo Mercato and the Damaged Pillar
3. Methods
3.1. The Seismic Activity of Ostia Antica
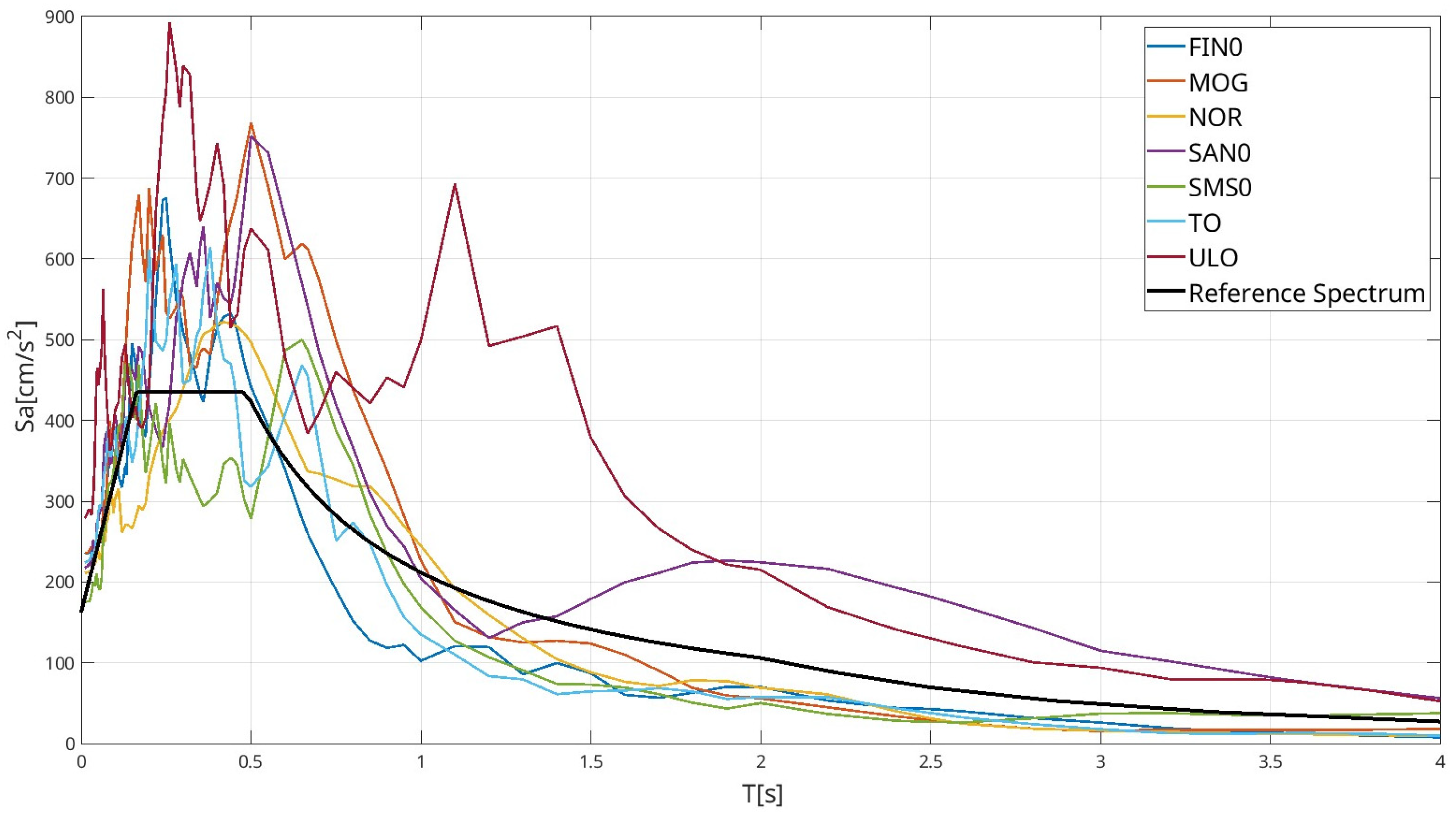
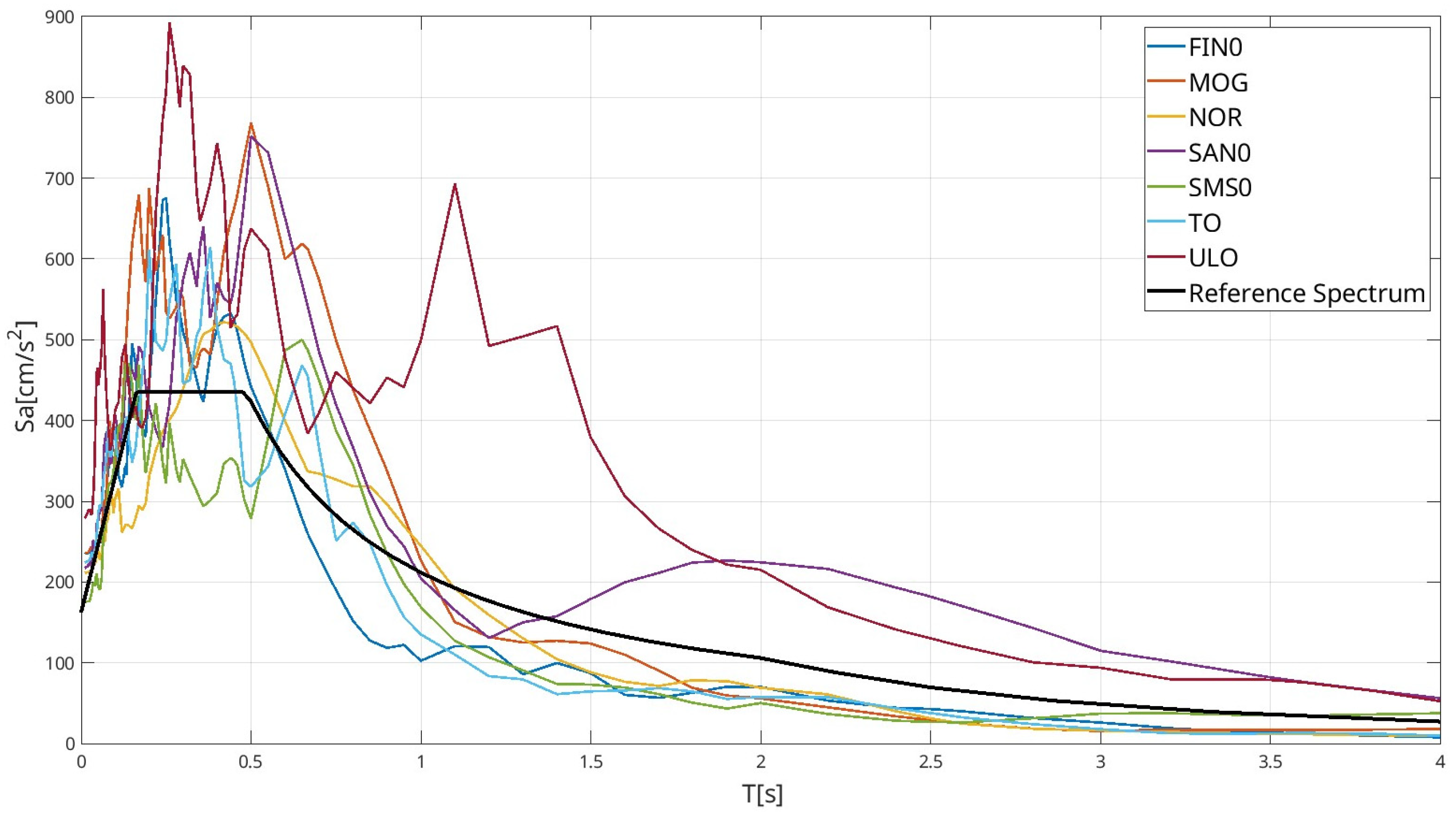
3.2. Nonlinerar Time-History Analyses
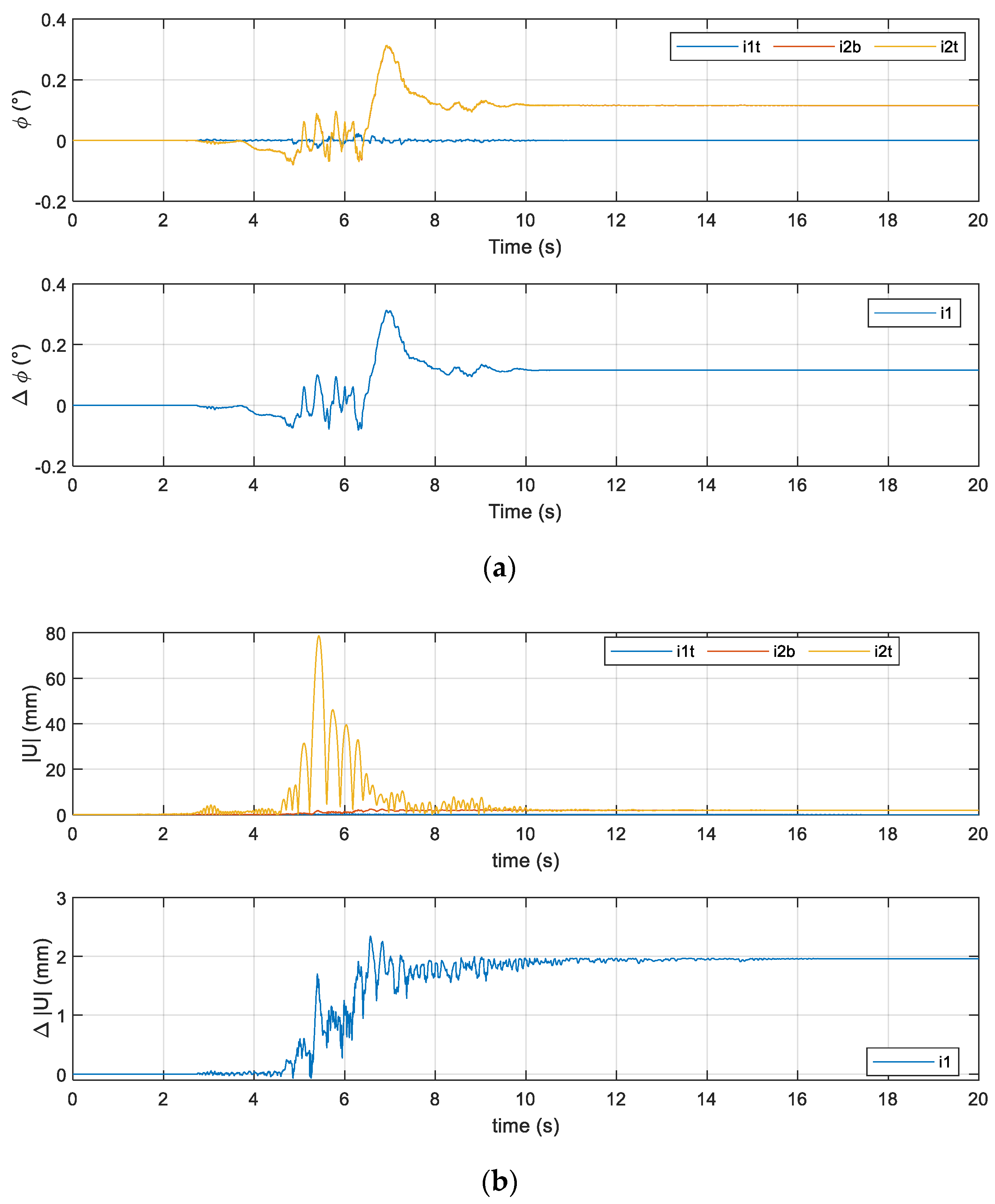
4. Results and Discussion
5. Concluding Remarks
Author Contributions
Funding
Data Availability Statement
Acknowledgments
Conflicts of Interest
References
- Rodríguez-Pascua, M.A.; Pèrez Lòpez, R.; Giner-Robles, J.L.; Silva, P.G.; Garduño-Monroy, V.H.; Reicherter, K. A comprehensive classification of Earthquake Archaeological Effects (EAE) in archaeoseismology: Application to ancient remains of Roman and Mesoamerican cultures. Quat. Int. 2011, 242, 20–30. [Google Scholar] [CrossRef]
- Kázmér, M. Damage to Ancient Buildings from Earthquakes. In Encyclopedia of Earthquake Engineering; Beer, M., Kougioumtzoglou, I., Patelli, E., Au, I.K., Eds.; Springer: Berlin/Heidelberg, Germany, 2014; pp. 1–7. [Google Scholar] [CrossRef]
- Pecchioli, L. Problematiche connesse al restauro archeologico, The Cultural heritage protection in Italy. In Mediterraneum, La Tutela dei Beni Culturali in Italia; Maniscalco, F., Ed.; Massa Editore: Napoli, Italy, 2003; pp. 61–63. [Google Scholar]
- Marino, L. Material for an Atlas of Pathologies in Archaeological Areas and Ruined Buildings; Alinea Editore: Firenze, Italy, 2009. [Google Scholar]
- Arrighetti, A. L’archeosismologia in Architettura. Per un Manuale. Strumenti per la Didattica e la Ricerca; Firenze University Press: Firenze, Italy, 2015. [Google Scholar] [CrossRef]
- Galadini, F.; Hinzen, K.G.; Stiros, S.C. Archaeoseismology: Methodological issues and procedure. J. Seismol. 2006, 10, 395–414. [Google Scholar] [CrossRef]
- Hinzen, K.G. Archaeoseismology. In Encyclopedia of Solid Earth Geophysics; Gupta, H.K., Ed.; Springer: Berlin/Heidelberg, Germany, 2011; pp. 11–15. [Google Scholar] [CrossRef]
- Hinzen, K.G.; Fleischer, C.; Reamer, S.K.; Schreiber, S.; Schütteet, S.; Yerli, B. Quantitative methods in archaeoseismology. Quat. Int. 2011, 242, 31–41. [Google Scholar] [CrossRef]
- Forlin, P.; Valente, R.; Kázmér, M. Assessing earthquake effects on archaeological sites using photogrammetry and 3D model analysis. Digit. Appl. Archaeol. Cult. Herit. 2018, 9, e00073. [Google Scholar] [CrossRef]
- Meghraoui, M.A.; Hinzen, K.G.; Malik, J.N. Paleoseismology, Archeoseismology and Paleotsunami Studies. In Encyclopedia of Geology, 2nd ed.; Alderton, D., Elias, S.A., Eds.; Academic Press: London, UK, 2021; pp. 636–655. [Google Scholar] [CrossRef]
- Sánchez-Sánchez, Y.; Elez, J.; Silva, P.G.; Santos-Delgado, G.; Giner-Robles, J.L.; Reicherter, K. 3D Modelling of Archaeoseismic Damage in the Roman Site of Baelo Claudia (Gibraltar Arc, South Spain). Appl. Sci. 2022, 12, 5223. [Google Scholar] [CrossRef]
- Arrighetti, A.; Repole, M. Expeditious archaeoseismological analysis of a medieval town centre. The case of Siena and the PROTECT project. Eur. J. Post-Class. Archaeol. 2024, 14, 303–324. [Google Scholar]
- Pecchioli, L.; Cangi, G.; Marra, F. Evidence of seismic damages on ancient Roman buildings at Ostia: An arch mechanics approach. J. Archaeol. Sci. Rep. 2018, 21, 117–127. [Google Scholar] [CrossRef]
- Stiros, S.C. Monumental articulated ancient Greek and Roman columns and temples and earthquakes: Archaeological, historical, and engineering approaches. J. Seismol. 2020, 24, 853–881. [Google Scholar] [CrossRef]
- Ambraseys, N.; Psycharis, I.N. Assessment of the long-term seismicity of Athens from two classical columns. Bull. Earthq. Eng. 2012, 10, 1635–1666. [Google Scholar] [CrossRef]
- Hinzen, K.G.; Cucci, L.; Tertulliani, A. Rotation of Objects during the 2009 L’Aquila Earthquake Analyzed with 3D Laser Scans and Discrete-Element Models. Seismol. Res. Lett. 2013, 84, 745–751. [Google Scholar] [CrossRef]
- Mordanova, A.; de Felice, G. Seismic Assessment of Archaeological Heritage Using Discrete Element Method. Int. J. Archit. Herit. 2020, 14, 345–357. [Google Scholar] [CrossRef]
- Caputo, R.; Hinzen, K.G.; Liberatore, D.; Schreiber, S.; Helly, B.; Tziafalias, A. Quantitative archaeoseismological investigation of the Great Theatre of Larissa, Greece. Bull. Earthq. Eng. 2011, 9, 347–366. [Google Scholar] [CrossRef]
- Lorenzoni, F.; Valluzzi, M.R.; Modena, C. Seismic assessment and numerical modelling of the Sarno Baths, Pompeii. J. Cult. Herit. 2019, 40, 288–298. [Google Scholar] [CrossRef]
- Aita, D.; Beatini, V.; Garavaglia, E.; Paris, V.; Pizzigoni, A.; Sgambi, L. The stone roof of the tholos of Athena Pronaia in Delphi: Structural hypotheses starting from fragments of marble tiles. Int. Arch. Photogramm. Remote Sens. Spat. Inf. Sci. 2023, XLVIII-M-2-2023, 59–66. [Google Scholar] [CrossRef]
- Volant, P.; Levret, A.; Carbon, D.; Scotti, O.; Comberscure, D.; Verdel, T.; Piant, A.; Laurent, P. An archaeo-seismological study of the Nîmes Roman aqueduct, France: Indirect evidence for an M > 6 seismic event? Nat. Hazards 2009, 49, 53–77. [Google Scholar] [CrossRef]
- Kim, J.; Lorenzoni, F.; Salvalaggio, M.; Valluzzi, M.R. Seismic vulnerability assessment of free-standing massive masonry columns by the 3D Discrete Element Method. Eng. Struct. 2021, 246, 113004. [Google Scholar] [CrossRef]
- Tabbara, M.R.; Karam, G.N. Experimental, Numerical, and Theoretical Investigation of the Rocking Response of Baalbek Columns under Harmonic Excitations. J. Earthq. Eng. 2022, 26, 887–910. [Google Scholar] [CrossRef]
- Hinzen, K.G.; Meghraoui, M.; Bahrouni, N.; Reamer, S.K. Testing the earthquake damage and vulnerability of the Cherichira aqueduct bridge, Kairouan (Tunisia) with discrete element modeling. Mediterr. Geosci. Rev. 2022, 4, 495–516. [Google Scholar] [CrossRef]
- Available online: https://www.ostiaantica.beniculturali.it/en/events/hazard-and-disaster-risk-ostia-and-portus-between-hypothesis-and-reality-conference-live-streaming (accessed on 2 September 2024).
- Pecchioli, L.; Betti, M.; Pintucchi, B. Archaeoseismological project in Ostia: Tracking evidence on seismic damage by nonlinear numerical simulations. Dev. Built Environ. 2022, 10, 100073. [Google Scholar] [CrossRef]
- Lanciani, R.A. The Ruins and Excavations of Ancient Rome; A Companion Book for Students and Travelers; The Riverside Press: Cambridge, UK, 1897. [Google Scholar]
- Available online: https://culture.ec.europa.eu/cultural-heritage/initiatives-and-success-stories/european-heritage-label/european-heritage-label-sites/archaeological-area-of-ostia-antica-italy (accessed on 2 September 2024).
- Lanciani, R.A. Segni di terremoti negli edifizi di Roma antica. Bull. Comm. Archeol. Comunale Roma 1918, 45, 3–28. (In Italian) [Google Scholar]
- Marra, F.; Milana, G.; Pecchioli, L.; Roselli, P.; Cangi, G.; Famiani, D.; Mercuri, A.; Carlucci, G. Historical faulting as the possible cause of earthquake damages in the ancient Roman port city of Ostia. J. Seismol. 2020, 24, 833–851. [Google Scholar] [CrossRef]
- Hinzen, K.G. Rotation of vertically oriented objects during earthquakes. J. Seismol. 2012, 16, 797–814. [Google Scholar] [CrossRef]
- Pradhan, C.; Banerjee, A.; Roy, R. Evolution of a 3D model for free-standing rigid blocks and its behavior under base excitations. Int. J. Non-Linear Mech. 2022, 142, 103992. [Google Scholar] [CrossRef]
- Asteris, P.G.; Sarhosis, V.; Mohebkhah, A.; Plevris, V.; Papaloizou, L.; Komodromos, P.; Lemos, J.V. Numerical Modeling of Historic Masonry Structures. In Handbook of Research on Seismic Assessment and Rehabilitation of Historic Structures; Asteris, P.G., Plevris, V., Eds.; IGI Global: Hershey, PA, USA, 2015; pp. 213–256. [Google Scholar] [CrossRef]
- D’Altri, A.M.; Sarhosis, V.; Milani, G.; Rots, J.; Cattari, S.; Lagomarsino, S.; Sacco, E.; Tralli, A.; Castellazzi, G.; de Miranda, S. A review of numerical models for masonry structures. In Numerical Modeling of Masonry and Historical Structures; Ghiassi, B., Milani, M., Eds.; Elsevier: Amsterdam, The Netherlands, 2019; pp. 3–53. [Google Scholar] [CrossRef]
- Betti, M.; Galano, L.; Vignoli, A. Finite element modelling for seismic assessment of historic masonry buildings. In Earthquakes and Their Impact on Society; D’Amico, S., Ed.; Springer Natural Hazards: Cham, Switzerland, 2016; pp. 377–415. [Google Scholar] [CrossRef]
- Theodossopoulos, D.; Sinha, B. A review of analytical methods in the current design processes and assessment of performance of masonry structures. Constr. Build. Mater. 2013, 41, 990–1001. [Google Scholar] [CrossRef]
- Schiavoni, M.; Giordano, E.; Roscini, F.; Clementi, F. Numerical modeling of a majestic masonry structure: A comparison of advanced techniques. Eng. Fail. Anal. 2023, 149, 107293. [Google Scholar] [CrossRef]
- Bartoli, G.; Betti, M.; Biagini, P.; Borghini, A.; Ciavattone, A.; Girardi, M.; Lancioni, G.; Marra, A.M.; Ortoloani, B.; Pintucchi, B.; et al. Epistemic uncertainties in structural modelling: A blind benchmark for seismic assessment of slender masonry towers. ASCE’s J. Perform. Constr. Facil. 2017, 31, 04017067. [Google Scholar] [CrossRef]
- Abedi, K.; Ferdousi, A.; Afshin, H. A novel steel section for concrete-filled tubular columns. Thin-Walled Struct. 2008, 46, 310–319. [Google Scholar] [CrossRef]
- Su, K.; Zhu, H.Z.; Shi, Y.A.; Wei, Y.J.; Wu, H.G.; Shi, C.Z. Loads bearing mechanism of steel bifurcation combined with concrete anchor block. Eng. Struct. 2019, 194, 251–2619. [Google Scholar] [CrossRef]
- Bartoli, G.; Betti, M.; Borri, C. Numerical modelling of the structural behaviour of Brunelleschi’s Dome of Santa Maria del Fiore. Int. J. Archit. Herit. 2015, 9, 408–429. [Google Scholar] [CrossRef]
- Iervolino, I.; Galasso, C.; Cosenza, E. REXEL: Computer aided record selection for code-based seismic structural analysis. Bull. Earthq. Eng. 2010, 8, 339–362. [Google Scholar] [CrossRef]







| Code | Earthquake | MW | Duration (s) | EpiD (km) | Site EC8 | Primary Component PGA (cm/s2) | Secondary Component PGA (cm/s2) |
|---|---|---|---|---|---|---|---|
| FIN0 | Emilia 2nd shock 29 May 2012 | 6.0 | 119.0 | 17.5 | C | 234.28 | 207.74 |
| MOG | Emilia 2nd shock 29 May 2012 | 6.0 | 115.0 | 15.8 | C | 235.62 | 167.07 |
| NOR | Central Italy 26 October 2016 | 5.9 | 73.86 | 13.3 | C | 210.80 | 118.36 |
| SAN0 | Emilia 2nd shock 29 May 2012 | 6.0 | 170.0 | 6.1 | C | 216.65 | 170.89 |
| SMS0 | Emilia 2nd shock 29 May 2012 | 6.0 | 160.0 | 16.9 | C | 175.33 | 174.17 |
| TO | Emilia 2nd shock 29 May 2012 | 6.0 | 110.0 | 14.2 | C | 223.97 | 141.77 |
| ULO | Northwestern Balkan Peninsula 15 April 1979 | 6.9 | 46.18 | 22.0 | B | 277.04 | 232.27 |
| Δϕ (°) sc-PGA = 4 m/s2 | Δϕ (°) sc-PGA = 5 m/s2 | Δϕ (°) sc-PGA = 6 m/s2 | |
|---|---|---|---|
| FIN0 | 0.31 | 4.15 | 6.05 |
| MOG | 4.00 | 9.92 | 10.34 |
| NOR | 1.54 | 0.74 | 1.49 |
| SAN0 | 2.11 | 9.51 | 9.57 |
| SMS0 | 0.99 | 9.43 | 14.8 |
| TO | 0.84 | 1.09 | 3.98 |
| ULO | 0.71 | 3.25 | 8.88 |
| |U| (mm) sc-PGA = 4 m/s2 | |U| (mm) sc-PGA = 5 m/s2 | |U| (mm) sc-PGA = 6 m/s2 | |
|---|---|---|---|
| FIN0 | 78.6 | 128.4 | 120.6 |
| MOG | 102.1 | 177.1 | 227.2 |
| NOR | 43.4 | 68.7 | 161.5 |
| SAN0 | 68.4 | 140.7 | 175.2 |
| SMS0 | 86.6 | 154.1 | 164.9 |
| TO | 51.2 | 27.8 | 104.7 |
| ULO | 41.2 | 155.9 | 230.3 |
Disclaimer/Publisher’s Note: The statements, opinions and data contained in all publications are solely those of the individual author(s) and contributor(s) and not of MDPI and/or the editor(s). MDPI and/or the editor(s) disclaim responsibility for any injury to people or property resulting from any ideas, methods, instructions or products referred to in the content. |
© 2024 by the authors. Licensee MDPI, Basel, Switzerland. This article is an open access article distributed under the terms and conditions of the Creative Commons Attribution (CC BY) license (https://creativecommons.org/licenses/by/4.0/).
Share and Cite
Pecchioli, L.; Pintucchi, B.; Betti, M. Tracking Evidence of Seismic Damage by Nonlinear Numerical Simulations for Dating in Archaeological Contexts. Heritage 2024, 7, 5774-5786. https://doi.org/10.3390/heritage7100271
Pecchioli L, Pintucchi B, Betti M. Tracking Evidence of Seismic Damage by Nonlinear Numerical Simulations for Dating in Archaeological Contexts. Heritage. 2024; 7(10):5774-5786. https://doi.org/10.3390/heritage7100271
Chicago/Turabian StylePecchioli, Laura, Barbara Pintucchi, and Michele Betti. 2024. "Tracking Evidence of Seismic Damage by Nonlinear Numerical Simulations for Dating in Archaeological Contexts" Heritage 7, no. 10: 5774-5786. https://doi.org/10.3390/heritage7100271
APA StylePecchioli, L., Pintucchi, B., & Betti, M. (2024). Tracking Evidence of Seismic Damage by Nonlinear Numerical Simulations for Dating in Archaeological Contexts. Heritage, 7(10), 5774-5786. https://doi.org/10.3390/heritage7100271

