Development of a Simple Method for Labeling and Identification of Protein Binders in Art
Abstract
1. Introduction
2. Materials and Methods
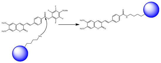
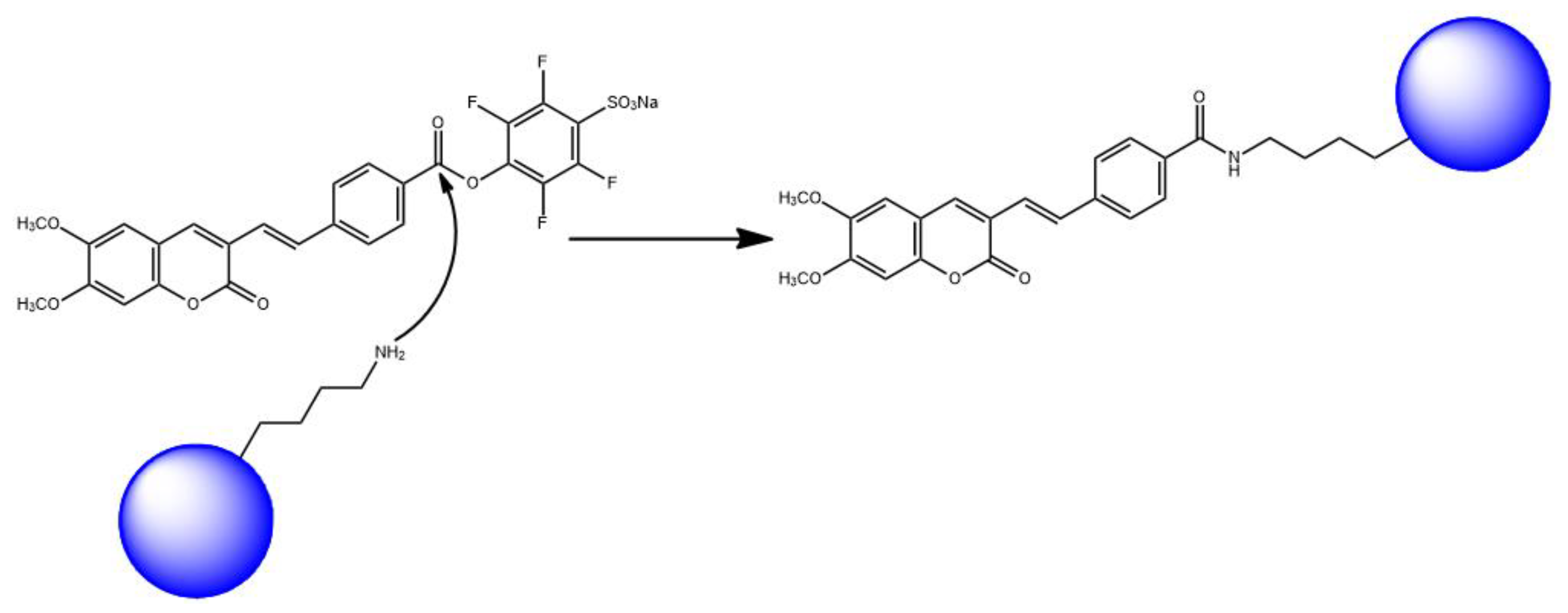
2.1. Fluorescent Labelling
2.2. Test of the Optimized Method by Using the Proteins Extracted from Hen’s Egg, Bovine Milk, and Rabbit Skin Glue
2.2.1. Protein Extraction
2.2.2. Bonding of the Extracted Proteins with the Coumarin Chromophore
2.3. Mimitize Real Conditions Using Paint Models of Easel Paintings
2.3.1. Constitution of Paint Models
2.3.2. Protein Extraction from Paint Models Microsamples and Bonding with the Coumarin Chromophore
2.4. Spectroscopy Analyses
2.5. Electrophoretic Separation by PAGE
2.6. Easel Paintings Microsamples: Protein Extraction and Bonding with Coumarin Chromophore
3. Results and Discussion
3.1. Spectroscopic Characteristics
3.2. Electrophoretic Profiles of Commercial and Extracted Proteins
3.3. Application of Fluorescent Labelling Methodology on Easel Paint Microsamples
4. Conclusions
Author Contributions
Acknowledgments
Conflicts of Interest
References
- Vagnini, M.; Pitzurra, L.; Cartechini, L.; Miliani, C.; Brunetti, B.G.; Sgamellotti, A. Identification of proteins in painting cross-sections by immunofluorescence microscopy. Anal. Bioanal. Chem. 2008, 392, 57–64. [Google Scholar] [CrossRef] [PubMed]
- Manzano, E.; Navas, N.; Checa-Moreno, R.; Rodriguez-Simón, L.; Capitán-Vallvey, L.F. Preliminary study of UV ageing process of proteinaceous paint binder by FT-IR and principal component analysis. Talanta 2009, 77, 1724–1731. [Google Scholar] [CrossRef] [PubMed]
- Romero-Pastor, J.; Navas, N.; Kuckova, S.; Rodríguez-Navarro, A.; Cardell, C. Collagen based proteinaceous binder–pigment interaction study under UV ageing conditions by MALDI-TOF-MS and principal component analysis. J. Mass Spectrom. 2012, 47, 322–330. [Google Scholar] [CrossRef] [PubMed]
- Pellegrini, D.; Duce, C.; Bonaduce, I.; Biagi, S.; Ghezzi, L.; Colombini, M.P.; Tinè, M.P.; Bramanti, E. Fourier transform infrared spectroscopic study of rabbit glue/inorganic pigments mixtures in fresh and aged reference paint reconstructions. Microchem. J. 2016, 124, 31–35. [Google Scholar] [CrossRef]
- Ren, F.; Atlasevich, N.; Baade, B.; Loike, J.; Arslanoglu, J. Influence of pigments and protein aging on protein identification in historically representative casein-based paints using enzyme-linked immunosorbent assay. Anal. Bioanal. Chem. 2016, 408, 203–215. [Google Scholar] [CrossRef] [PubMed]
- Duce, C.; Ghezzi, L.; Onor, M.; Bonaduce, I.; Colombini, M.P.; Tine, M.R.; Bramanti, E. Physico-chemical characterization of protein–pigment interactions in tempera paint reconstructions: Casein/cinnabar and albumin/cinnabar. Anal. Bioanal. Chem. 2012, 402, 2183–2193. [Google Scholar] [CrossRef] [PubMed]
- Colombini, M.P.; Gautier, G. GC/MS in the Characterisation of Protein Paint Binders; John Wiley & Sons: Chichester, UK, 2009; pp. 237–260. [Google Scholar]
- Colombini, M.P.; Andreotti, A.; Bonaduce, I.; Modugno, F.; Ribechini, E. Analytical strategies for characterizing organic paint media using gas chromatography/mass spectrometry. Acc. Chem. Res. 2010, 43, 715–727. [Google Scholar] [CrossRef] [PubMed]
- Ostwald, W. Iconoscopic studies I: Microscopic identification of homogenous binding mediums. Technol. Stud. Field F. A. 1936, 4, 135–144. [Google Scholar]
- Gay, M.C. Essais d’identification et de localisation des liants picturaux par des coloration specifiques sur coupes minces. Ann Lab Recherche Musees Fr 1970, 8–24. [Google Scholar]
- Doménech-Carbó, M.T. Novel analytical methods for characterizing binding media and protective coatings in artworks. Anal. Chim. Acta 2008, 621, 109–139. [Google Scholar] [CrossRef]
- Fremout, W.; Dhaenens, M.; Saverwyns, S.; Sanyova, J.; Vandenabeele, P.; Deforce, D.; Moens, L. Tryptic peptide analysis of protein binders in works of art by liquid chromatography–tandem mass spectrometry. Anal. Chim. Acta 2010, 658, 156–162. [Google Scholar] [CrossRef] [PubMed]
- Lluveras, A.; Bonaduce, I.; Andreotti, A.; Colombini, M.P. GC/MS analytical procedure for the characterization of glycerolipids, natural waxes, terpenoid resins, proteinaceous and polysaccharide materials in the same paint microsample avoiding interferences from inorganic media. Anal. Chem. 2010, 82, 376–386. [Google Scholar] [CrossRef] [PubMed]
- Kuckova, S.; Hynek, R.; Kodicek, M. Application of peptide mass mapping on proteins in historical mortars. J. Cult. Herit. 2009, 10, 244–247. [Google Scholar] [CrossRef]
- Nevin, A.; Comelli, D.; Valentini, G.; Anglos, D.; Burnstock, A.; Cather, S.; Cubeddu, R. Time-resolved fluorescence spectroscopy and imaging of proteinaceous binders used in paintings. Anal. Bioanal. Chem. 2007, 88, 1897–1905. [Google Scholar] [CrossRef] [PubMed]
- Dallongeville, S.; Garnier, N.; Rolando, C.; Tokarski, C. Proteins in art, archaeology, and paleontology: From detection to identification. Chem. Rev. 2015, 116, 2–79. [Google Scholar] [CrossRef] [PubMed]
- Wolbers, R.; Landrey, G. The Use of Direct Reactive Fluorescent Dyes for the Characterization of Binding Media in Cross Sectional Examinations; American Institute for Conservation: Washington, DC, USA, 1987; pp. 168–202. [Google Scholar]
- Messinger, J.M. Ultraviolet-Fluorescence Microscopy of Paint Cross Sections: Cycloheptaamylose-Dansyl Chloride Complex as a Protein-Selective Stain. J. Am. Inst. Conserv. 1992, 31, 267–274. [Google Scholar] [CrossRef]
- Sandu, I.C.A.; Roque, A.C.A.; Matteini, P.; Schäfer, S.; Agati, G.; Correia, C.R.; Viana, J.F.F.P. Fluorescence Recognition of Proteinaceous Binders in Works of Art by a Novel Integrated System of Investigation. Microsc. Res. Tech. 2012, 75, 316–324. [Google Scholar] [CrossRef]
- Kuckova, S.; Sandu, I.C.A.; Crhova, M.; Hynek, R.; Fogas, I.; & Schafer, S. Protein Identification and Localization Using Mass Spectrometry and Staining Tests in Cross-Sections of Polychrome Samples. J. Cult. Her. 2013, 14, 31–37. [Google Scholar] [CrossRef]
- Dallongeville, S.; Richter, M.; Schäfer, S.; Kühlenthal, M.; Garnier, N.; Rolando, C.; Tokarski, C. Proteomics Applied to the Authentication of Fish Glue: Application to a 17th Century Artwork Sample. Analyst 2013, 138, 5357–5364. [Google Scholar] [CrossRef] [PubMed]
- Sandu, I.C.A.; Murta, E.; Veiga, R.; Muralha, V.S.F.; Pereira, M.; Kuckova, S.; Busani, T. An Innovative, Interdisciplinary, and Multi-Technique Study of Gilding and Painting Techniques in the Decoration of the Main Altarpiece of Miranda Do Douro Cathedral (XVII-XVIIIth Centuries, Portugal). Microsc. Res. Tech. 2013, 76, 733–743. [Google Scholar] [CrossRef]
- Magrini, D.; Bracci, S.; Sandu, I.C.A. Fluorescence of Organic Binders in Painting Cross-Sections. Procedia Chem. 2013, 8, 194–201. [Google Scholar] [CrossRef][Green Version]
- Martins, S. An Efficient Methodology for the Synthesis of 3-Styryl Coumarins. J. Braz. Chem. Soc. 2012, 23, 688–693. [Google Scholar] [CrossRef]
- Gordo, J.; Avó, J.; Parola, A.J.; Lima, J.C.; Pereira, A.; Branco, P.S. Convenient synthesis of 3-vinyl and 3-styryl coumarins. Org. Lett. 2011, 13, 5112–5115. [Google Scholar] [CrossRef] [PubMed]
- Martins, S.; Branco, P.S.; María, C.; Sierra, M.A.; Pereira, A. New methodology for the synthesis of 3-substituted coumarins via palladium-catalyzed site-selective cross-coupling reactions. Synlett 2010, 19, 2918–2922. [Google Scholar] [CrossRef]
- Gee, K.R.; Archer, E.A.; Kang, H.C. 4-Sulfotetrafluorophenyl (STP) esters: New water-soluble amine-reactive reagents for labeling biomolecules. Tetrahedron Lett. 1999, 40, 1471–1474. [Google Scholar] [CrossRef]
- Quye, A.; Strlič, M. Ethical Sampling Guidance; Institute of Conservation: London, UK, 2019. [Google Scholar]
- Salvador, C.; Branco, A.; Candeias, A. Innovative approaches for immunodetection of proteic binders in art. E-Conserv. J. 2016, in press. [Google Scholar] [CrossRef]
- Salvador, C.; Bordalo, R.; Silva, M.; Rosado, T.; Candeias, A.; Caldeira, A.T. On the conservation of easel paintings: Evaluation of microbial contamination and artists materials. Appl. Phys. A 2017, 123, 80. [Google Scholar] [CrossRef]
- Bradford, M.M. A rapid and sensitive method for the quantitation of microgram quantities of protein utilizing the principle of protein-dye binding. Anal. Biochem. 1976, 72, 248–254. [Google Scholar] [CrossRef]
- Petty, H.R. Fluorescence Microscopy: Established and Emerging Methods, Experimental Strategies, and Applications in Immunology. Microsc. Res. Tech. 2007, 709, 687–709. [Google Scholar] [CrossRef]
- Sameiro, M.; Gonçalves, T. Fluorescent labeling of biomolecules with organic probes. Chem. Rev. 2009, 109, 190–212. [Google Scholar] [CrossRef]






| Test Conditions | Test 1 | Test 2 | ||
|---|---|---|---|---|
| BSA/Ovalbumin/Casein | Ovalbumin/Casein | |||
| Proportion of Protein: Chromophore | 1:20 | 1:20 | 5:20 | 10:20 |
| Temperature (°C) | R.T. | 40 | ||
| Paint Model | Proteic Binders | Pigments |
|---|---|---|
| PM1 | Whole egg | Lead white: 2(PbCO3). Pb(OH)2 (10 g) |
| PM2 | Yellow ochre: FeO(OH) | |
| PM3 | Black bone: Ca5(OH)(PO4)3 and C | |
| PM4 | Bovine milk | Lead white: 2(PbCO3). Pb(OH)2 (10 g) |
| PM5 | Yellow ochre: FeO(OH) | |
| PM6 | Black bone: Ca5(OH)(PO4)3 and C | |
| PM7 | Rabbit skin glue | Lead white: 2(PbCO3). Pb(OH)2 (10 g) |
| PM8 | Yellow ochre: FeO(OH) | |
| PM9 | Black bone: Ca5(OH)(PO4)3 and C |
| Reactions | Volume |
|---|---|
| M2 Portrait of Frei Manuel do Cenáculo, 1887, (ME1281) | 100 μL of protein extract from microsamples |
| 0.25 mL of 0.25 mg/mL C392STP | |
| 0.75 mL of phosphate buffer | |
| Mb Portrait of a bearded gentleman, 1897 | 100 μL of protein extract from microsamples |
| 0.25 mL of 0.25 mg/mL C392STP | |
| 0.75 mL of phosphate buffer | |
| Md Portrait of a lady, 1886 | 100 μL of protein extract from microsamples |
| 0.25 mL of 0.25 mg/mL C392STP | |
| 0.75 mL of phosphate buffer |
| Commercial Proteins (a) | BSA | Ovalbumin | Casein | Collagen | ||||
| Unbonded | Fluorescent | Unbonded | Fluorescent | Unbonded | Fluorescent | Unbonded | Fluorescent | |
| 200.8 | 100–135 | 64.1 | 63–75 | 66.6 | 63–75 | 35–48 | 35–48 | |
| 160.5 | 63–100 | 46.3 | 48–63 | 38.0 | 48–63 | |||
| 101.4 | 63–75 | 40.0 | 25–35 | 35–48 | ||||
| 52.4 | 35–48 | 36.0 | 20–25 | |||||
| Extracted Proteins (b) | Ovalbumin | Casein | Collagen | |||||
| Unbonded | Fluorescent | Unbonded | Fluorescent | Unbonded | Fluorescent | |||
| (Egg Yolk) | (Egg White) | (Egg Yolk) | (Egg White) | Casein (milk) | Rabbit glue | |||
| 195.8 | 177.9 | >180 | 135–180 | 69.6 | 63–75 | 63–75 | 63–75 | |
| 111.7 | 109.6 | 100–135 | 100–135 | 39.9 | 35–48 | |||
| 64.0 | 63–75 | |||||||
| 48–63 | ||||||||
© 2019 by the authors. Licensee MDPI, Basel, Switzerland. This article is an open access article distributed under the terms and conditions of the Creative Commons Attribution (CC BY) license (http://creativecommons.org/licenses/by/4.0/).
Share and Cite
Ooi, S.Y.; Salvador, C.; Martins, S.; Pereira, A.; Caldeira, A.T.; Prates Ramalho, J.P. Development of a Simple Method for Labeling and Identification of Protein Binders in Art. Heritage 2019, 2, 2444-2456. https://doi.org/10.3390/heritage2030150
Ooi SY, Salvador C, Martins S, Pereira A, Caldeira AT, Prates Ramalho JP. Development of a Simple Method for Labeling and Identification of Protein Binders in Art. Heritage. 2019; 2(3):2444-2456. https://doi.org/10.3390/heritage2030150
Chicago/Turabian StyleOoi, Su Yin, Cátia Salvador, Sergio Martins, António Pereira, Ana Teresa Caldeira, and João P Prates Ramalho. 2019. "Development of a Simple Method for Labeling and Identification of Protein Binders in Art" Heritage 2, no. 3: 2444-2456. https://doi.org/10.3390/heritage2030150
APA StyleOoi, S. Y., Salvador, C., Martins, S., Pereira, A., Caldeira, A. T., & Prates Ramalho, J. P. (2019). Development of a Simple Method for Labeling and Identification of Protein Binders in Art. Heritage, 2(3), 2444-2456. https://doi.org/10.3390/heritage2030150

