Multiplicity Analysis of a Thermistor Problem—A Possible Explanation of Delamination Fracture
Abstract
1. Introduction
2. Analysis
2.1. Energy Balance
2.2. Electric Resistivity
2.3. Heat Transfer Model
2.4. Boundary Conditions: Problems P1 and P2
2.5. Electrothermal Model in Dimensionless Form
2.6. Stability
3. Results and Discussion
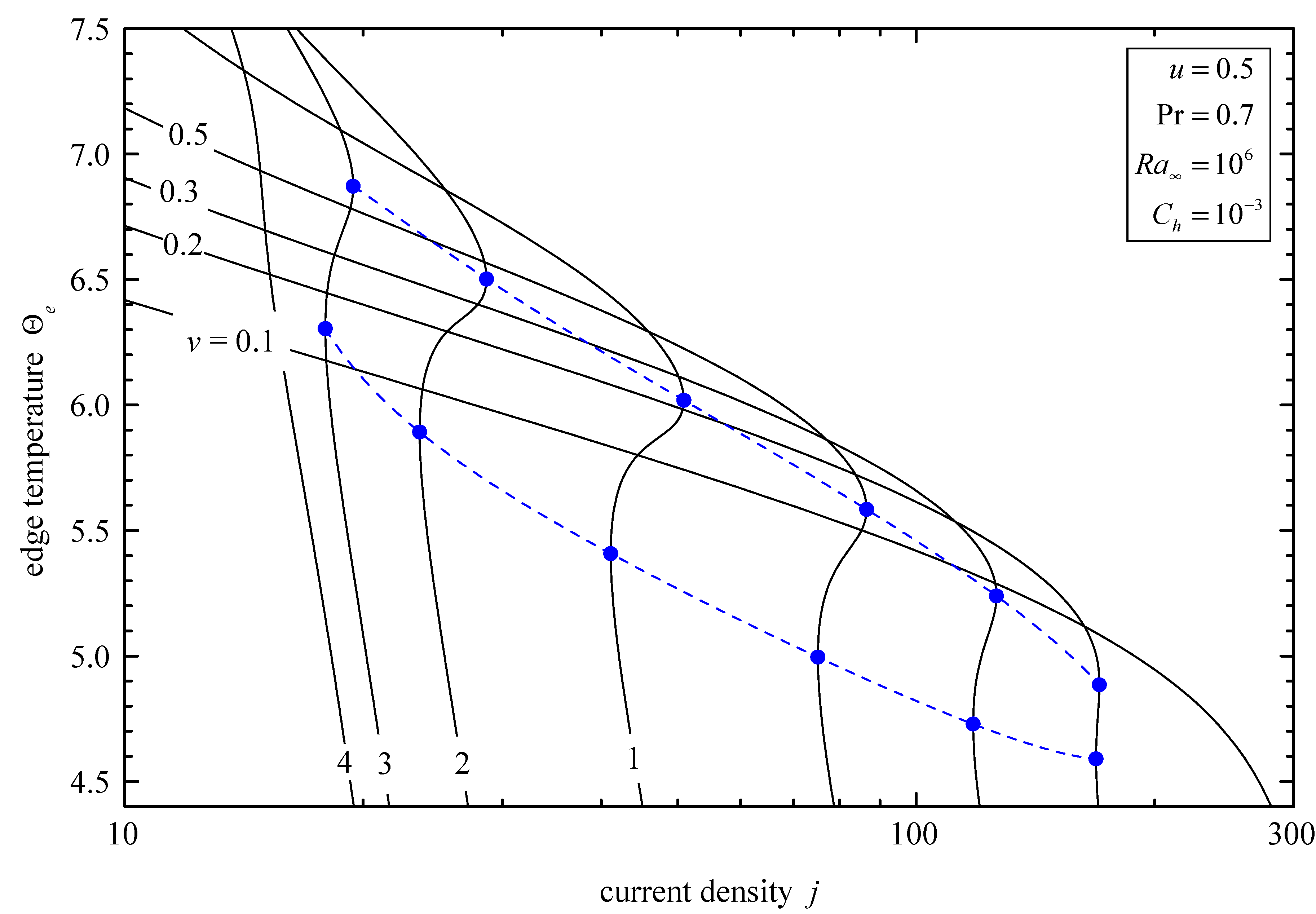
3.1. Current Control Problem P1
3.2. Problem P2
3.3. Voltage Control Problems P1 and P2
4. Conclusions and Future Work
Funding
Institutional Review Board Statement
Informed Consent Statement
Conflicts of Interest
Nomenclature
| A | Cross-sectional area | (m2) |
| C | specific heat capacity | (J/(kgK)) |
| D | device diameter | (m) |
| E | electric field intensity | (V/m) |
| f | function of Prandtl number in Equation (7) | (-) |
| g | acceleration due to gravity | (-) |
| convective heat transfer coefficient | (W/(m2K)) | |
| radiative heat transfer coefficient | (W/(m2K)) | |
| j | current density parameter | (-) |
| J | current density | (A/m2) |
| k | thermal conductivity | (W/(mK)) |
| L | device length | (m) |
| Nu | Nusselt number, Equation (7) | (-) |
| P | perimetry | (m) |
| Pr | Prandtl number, Equation (7) | (-) |
| Ra | Rayleigh number, Equation (8) | (-) |
| t | time | (s) |
| T | temperature | (K) |
| u | conduction–convection parameter | (-) |
| v | dimensionless voltage drop | (-) |
| V | voltage drop | (V) |
| x | dimensionless distance | (-) |
| X | longitudinal distance along device | (m) |
Greek Symbols
| α | thermal diffusivity | (m2/s) |
| β | thermal expansivity | (K−1) |
| γ | material density | (kg/m3) |
| ε | emissivity | (-) |
| Θ | dimensionless temperature | (-) |
| λ | eigenvalue | (-) |
| ν | kinematic viscosity | (m2/s) |
| ρ | reduced electric resistivity | (-) |
| electric resistivity | (Ω m) | |
| σ | Stefan–Boltzmann constant | (Wm−2K−4) |
| τ | dimensionless time | (-) |
| electric potential | (V) |
Subscripts
| b | |
| c | |
| e | |
| ref | reference value |
| s | steady state |
| ∞ | ambient environment |
Superscripts
| derivative with respect to x |
Abbreviations
| CCP | conduction–convection parameter |
| NTC | negative temperature coefficient |
| PTC | positive temperature coefficient |
References
- Glaggett, T.G.; Worrall, R.W.; Lipták, B.G.; Silva Girão, P.M.B. Thermistors. In Instrument Engineers’ Handbook, Process Measurement and Analysis, 4th ed.; Lipták, B.G., Ed.; CRC Press: Boca Raton, FL, USA, 2003; Volume 1, pp. 666–672. [Google Scholar]
- Fraden, J. Handbook of Modern Sensors. Physics, Designs and Applications, 3rd ed.; AIP Press: New York, NY, USA, 2004; pp. 477–481. [Google Scholar]
- Sapoff, M. Thermistor Thermometers. In The Measurement, Instrumentation and Sensors Handbook; Webster, J.G., Ed.; CRC Press: Boca Raton, FL, USA; IEEE Press: Piscataway, NJ, USA, 1999. [Google Scholar]
- Naik, A.U.; Mallick, P.; Sahu, M.K.; Biswal, L.; Satpathy, S.K.; Behera, B. Investigation on Temperature-Dependent Electrical Transport Behavior of Cobalt Ferrite (CoFe2O4) for Thermistor Applications. ECS J. Solid State Sci. Technol. 2023, 12, 053007. [Google Scholar] [CrossRef]
- Mallick, P.; Satpathy, S.K.; Behera, B. Study of Structural, Dielectric, Electrical, and Magnetic Properties of Samarium-Doped Double Perovskite Material for Thermistor Applications. Braz. J. Phys. 2022, 52, 187. [Google Scholar] [CrossRef]
- Dewitte, C.; Elst, R.; Delannay, F. On the mechanism of delamination fracture of BaTiO3-based PTC thermistors. J. Eur. Ceram. Soc. 1994, 14, 481–492. [Google Scholar] [CrossRef]
- Supancic, P. Mechanical stability of BaTiO3-based PTC thermistors components: Experimental investigation and theoretical modeling. J. Eur. Ceram. Soc. 2000, 20, 2009–2024. [Google Scholar] [CrossRef]
- Danzer, R.; Kaufmanna, B.; Supancic, P. Failure of high power varistor ceramic components. J. Eur. Ceram. Soc. 2020, 40, 3766–3770. [Google Scholar] [CrossRef]
- Diesselhorst, H. Uber das Probleme das Electrisch Erwärmter Leiter. Ann. Phys. 1900, 1, 312–325. [Google Scholar] [CrossRef]
- Cimatti, G. Remark on existence and uniqueness for the thermistor problem under mixed boundary conditions. Quart. Appl. Math. 1989, 47, 117–121. [Google Scholar] [CrossRef]
- Cimatti, G. A bound for temperature in thermistor problem. IMA J. Appl. Math. 1988, 40, 15–22. [Google Scholar] [CrossRef]
- Cimatti, G.; Prodi, G. Existence results for a nonlinear elliptic system modeling a temperature dependent electrical resistor. Ann. Mat. Pure Appl. 1988, 152, 227–236. [Google Scholar] [CrossRef]
- Xie, H.; Allegretto, W. Ca (Ω) solutions of a class of nonlinear degenerate elliptic systems arising in the thermistor problem. SIAM J. Math. Anal. 1991, 22, 1491–1499. [Google Scholar] [CrossRef]
- Antontsev, S.N.; Chipot, M. The Thermistor Problem: Existence, smoothness, uniqueness, blowup. SIAM J. Math. Anal. 1994, 25, 1128–1156. [Google Scholar] [CrossRef]
- Bahadir, A.R. Steady state solution of the PTC thermistor using a quadratic spline finite element method. Math. Methods Eng. 2002, 8, 101–109. [Google Scholar] [CrossRef]
- Bahadir, A.R. Application of cubic B-spine finite element technique to the thermistor problem. Appl. Math. Comput. 2004, 149, 379–387. [Google Scholar]
- Çatal, S. Numerical solution of the thermistor problem. Appl. Math. Comput. 2004, 152, 743–757. [Google Scholar] [CrossRef]
- Kutluay, S.; Wood, A.S.; Esen, A. A heat balance integral solution of the thermistor with a modified electrical conductivity. Appl. Math. Model. 2006, 30, 386–394. [Google Scholar] [CrossRef]
- Ammi, M.R.S.; Torres, D.F.M. Numerical analysis of a nonlocal parabolic problem resulting from thermistor problem. Math. Comput. Simul. 2008, 77, 291–300. [Google Scholar] [CrossRef]
- Golosnoy, I.O.; Sykulski, J.K. Numerical modeling of non-linear coupled thermo-electric problems. A comparative study. Int. J. Comput. Math. Electr. Electron. Eng. 2009, 28, 639–655. [Google Scholar] [CrossRef]
- Bistability, E.G.K. autowaves and dissipative structures in semiconductor fibers with anomalous resistivity properties. Philos. Mag. 2012, 92, 1300–1316. [Google Scholar]
- Hewitt, I.J.; Lacey, A.A.; Todd, R.I. A mathematical model for flash sintering. Math. Model. Nat. Phenom. 2015, 10, 77–89. [Google Scholar] [CrossRef]
- Raj, R. Joule heating during flash-sintering. J. Eur. Ceram. Soc. 2012, 32, 2293–2301. [Google Scholar] [CrossRef]
- Todd, R.I.; Zapata-Solvas, E.; Bonilla, R.S.; Sneddon, T.; Wilshaw, P.R. Electrical characteristics of flash sintering: Thermal runaway of Joule heating. J. Eur. Ceram. Soc. 2015, 35, 1865–1877. [Google Scholar] [CrossRef]
- da Silva, J.G.P.; Al-Qureshi, H.A.; Keil, F.; Janssen, R. A dynamic bifurcation criterion for thermal runaway during the flash sintering of ceramics. J. Eur. Ceram. Soc. 2016, 36, 1261–1267. [Google Scholar] [CrossRef]
- Fowler, A.C.; Frigaard, I.; Howison, S.D. Temperature surges in current-limiting circuit devices. SIAM J. Appl. Math. 1992, 52, 998–1011. [Google Scholar] [CrossRef][Green Version]
- Howison, S.D.; Rodrigues, J.F.; Shilor, M. Stationary solutions to the thermistor problem. J. Math. Anal. And. Appl. 1993, 174, 573–588. [Google Scholar] [CrossRef]
- Zhou, S.; Westbrook, D.R. Numerical solutions of the thermistor equations. J. Comput. Appl. Math. 1997, 79, 101–118. [Google Scholar] [CrossRef]
- Cimatti, G. Remark on the number of solutions in the thermistor problem. Le Math. 2011, 66, 49–60. [Google Scholar]
- Metaxas, A.C. Foundations of Electroheat. A Unified Approach; John Wiley & Sons: New York, NY, USA, 1996. [Google Scholar]
- Lupi, S. Foundamentals of Electroheat. Electrical Technologies for Process Heating; Springer: Cham, Switzerland, 2017. [Google Scholar]
- Aliferov, A.; Lupi, S.; Forzan, M. Induction and Direct Resistance Heating. Theory and Numerical Modeling; Springer: Cham, Switzerland, 2015. [Google Scholar]
- Touzani, R.; Rappaz, J. Mathematical Models for Eddy Currents and Magnetostatics; Springer: Cham, Switzerland, 2014. [Google Scholar]
- Brzozowski, E.; Castro, M.S. Conduction mechanism of barium titanate ceramics. Ceram. Int. 2000, 26, 265–269. [Google Scholar] [CrossRef]
- Wang, X.; Chan, H.L.W.; Choy, C.L. Semiconducting barium titanate ceramics prepared by using yttrium hexaboride as sintering aid. Mater. Sci. Eng. B 2003, 100, 286–291. [Google Scholar] [CrossRef]
- Wang, X.; Pang, H.L.W.C.G.K.H.; Choy, C.L. Positive temperature coefficient of resistivity effect in niobium doped barium titanate ceramics obtained at low sintering temperature. J. Eur. Ceram. Soc. 2004, 24, 1227–1231. [Google Scholar] [CrossRef]
- Luo, Y.; Liu, X.; Li, X.; Liu, G. PTCR effect in BaBiO3-doped BaTiO3 ceramics. Solid State Ionics 2006, 177, 1543–1546. [Google Scholar] [CrossRef]
- Takeda, H.; Harinaka, H.; Shiosaki, T.; Zubair, M.A.; Leach, C.; Freer, R.; Hoshina, T.; Tsurumi, T. Fabrication and positive temperature coefficient of resistivity properties of semiconducting ceramics based on the BaTiO3-(Bi1/2K1/2)TiO3 system. J. Eur. Ceram. Soc. 2010, 30, 555–559. [Google Scholar] [CrossRef]
- Rowlands, W.; Vaidhyanathan, B. Additive manufacturing of barium titanate based ceramic heaters with positive temperature coefficient (PTCR). J. Eur. Ceram. Soc. 2019, 39, 3475–3483. [Google Scholar] [CrossRef]
- Churchill, S.W.; Chu, H.H.S. Correlating equations for laminar and turbulent free convection from a horizontal cylinder. Int. J. Heat. Mass Transf. 1975, 18, 1049–1053. [Google Scholar] [CrossRef]
- Faghri, M.; Sparrow, E.M. Forced convection in a horizontal pipe subjected to nonlinear external natural convection and to external radiation. Int. J. Heat. Mass Transf. 1986, 23, 861–872. [Google Scholar] [CrossRef]
- Krikkis, R.N. Laminar conjugate forced convection over a flat plate. Multiplicities and stability, Int. J. Therm. Sci. 2017, 111, 204–214. [Google Scholar] [CrossRef]
- Krikkis, R.N. On the Thermal Dynamics of Metallic and Superconducting Wires. Bifurcations, Quench, the Destruction of Bistability and Temperature Blowup. J 2021, 4, 803–823. [Google Scholar] [CrossRef]
- Krikkis, R.N. Analysis of High-Temperature Superconducting Current Leads: Multiple Solutions, Thermal Runaway, and Protection. J 2023, 6, 302–317. [Google Scholar] [CrossRef]
- Hairer, E.; Nørsett, S.P.; Wanner, G. Solving Ordinary Differential Equations I. Nonstiff Problems; Springer-Verlag: New York, NY, USA, 1987. [Google Scholar]
- Ascher, U.M.; Mattheij, R.M.M.; Russel, R.D. Numerical Solution of Boundary Value Problems for Ordinary Differential Equations, 2nd ed.; SIAM: Philadelphia, PA, USA, 1995. [Google Scholar]
- Seydel, R. Practical Bifurcation and Stability Analysis, 3rd ed.; Springer: New York, NY, USA, 2009. [Google Scholar]
- Witmer, G.; Balakotaih, V.; Luss, D. Finding singular points of two-point boundary value problems. J. Comput. Phys. 1986, 65, 244–250. [Google Scholar] [CrossRef]
- Dresner, L. Stability of Superconductors; Springer+Bussiness Media: New York, NY, USA, 1995. [Google Scholar]
- Zhukov, S.A.; Barelko, V.V. Nonuniform steady states of the boiling process in the transition region between the nucleate and film regimes. Int. J. Heat. Mass Transf. 1983, 26, 1121–1130. [Google Scholar] [CrossRef]
- Krikkis, R. On the multiple solutions of boiling fins with heat generation. Int. J. Heat. Mass Transf. 2015, 80, 236–242. [Google Scholar] [CrossRef]
- Aris, R. Chemical reactors and some bifurcation phenomena. Ann. N. Y. Acad. Sci. 1979, 316, 314–331. [Google Scholar] [CrossRef]
- Witmer, G.; Balakotaih, V.; Luss, D. Multiplicity features of distributed systems—I. Langmuir-Hinshelwood reaction in a porous catalyst. Chem. Eng. Sci. 1986, 41, 179–186. [Google Scholar] [CrossRef]
- Fang, C.; Zhou, D.-X.; Gong, S.-P. Voltage effects in PTCR ceramics: Calculation by the method of tilted energy bands. Phys. B 2010, 65, 852–856. [Google Scholar] [CrossRef]
- Elmer, F.J. Limit cycles of the ballast resistor caused by intrinsic instabilities. Z. Phys. B Condens. Matter 1992, 87, 377–386. [Google Scholar] [CrossRef]














Disclaimer/Publisher’s Note: The statements, opinions and data contained in all publications are solely those of the individual author(s) and contributor(s) and not of MDPI and/or the editor(s). MDPI and/or the editor(s) disclaim responsibility for any injury to people or property resulting from any ideas, methods, instructions or products referred to in the content. |
© 2023 by the author. Licensee MDPI, Basel, Switzerland. This article is an open access article distributed under the terms and conditions of the Creative Commons Attribution (CC BY) license (https://creativecommons.org/licenses/by/4.0/).
Share and Cite
Krikkis, R.N. Multiplicity Analysis of a Thermistor Problem—A Possible Explanation of Delamination Fracture. J 2023, 6, 517-535. https://doi.org/10.3390/j6030034
Krikkis RN. Multiplicity Analysis of a Thermistor Problem—A Possible Explanation of Delamination Fracture. J. 2023; 6(3):517-535. https://doi.org/10.3390/j6030034
Chicago/Turabian StyleKrikkis, Rizos N. 2023. "Multiplicity Analysis of a Thermistor Problem—A Possible Explanation of Delamination Fracture" J 6, no. 3: 517-535. https://doi.org/10.3390/j6030034
APA StyleKrikkis, R. N. (2023). Multiplicity Analysis of a Thermistor Problem—A Possible Explanation of Delamination Fracture. J, 6(3), 517-535. https://doi.org/10.3390/j6030034