Correlation between Different Methods to Diagnose Foot Posture Condition
Abstract
:1. Introduction
2. Materials and Methods
2.1. Participants
2.2. Procedures
2.2.1. Assessment
2.2.2. Data Processing and Analysis
2.3. Statistical Analysis
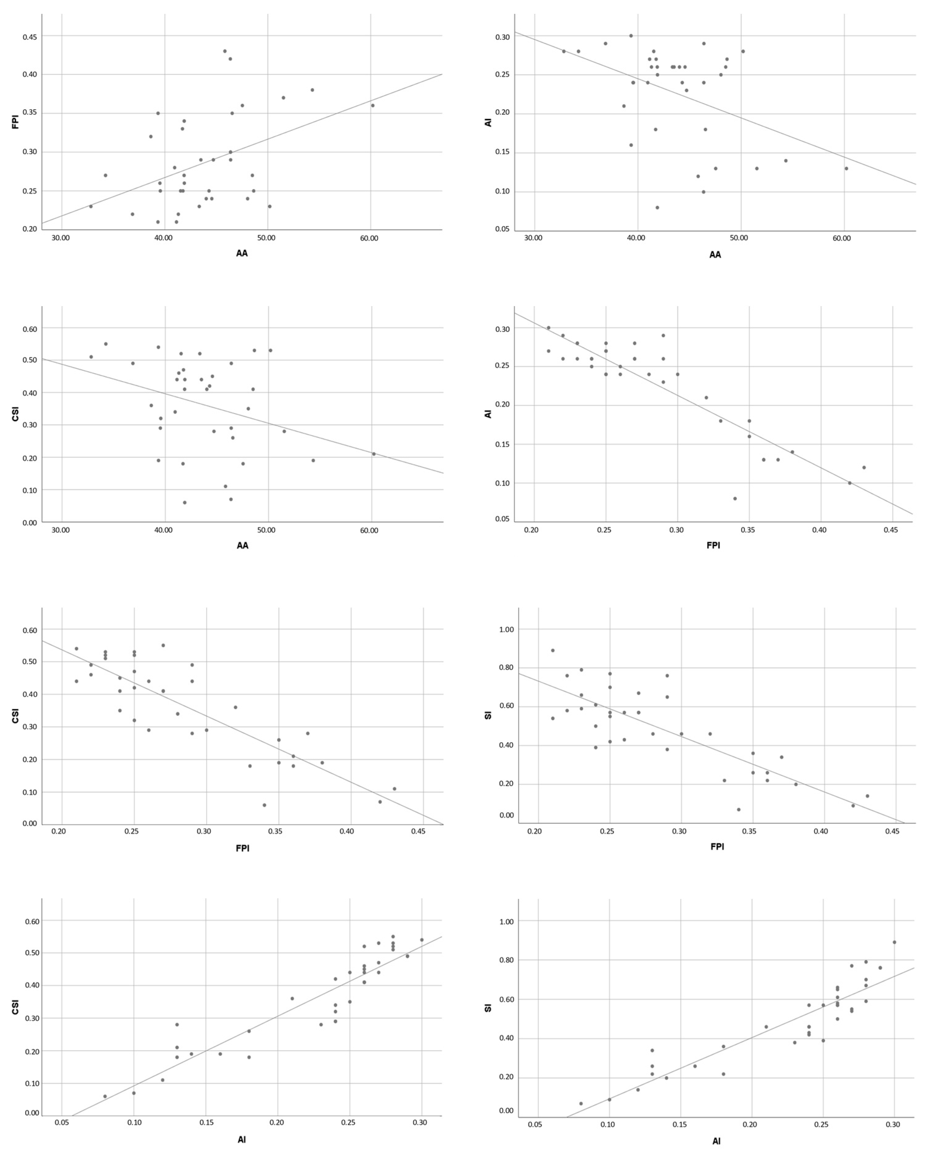
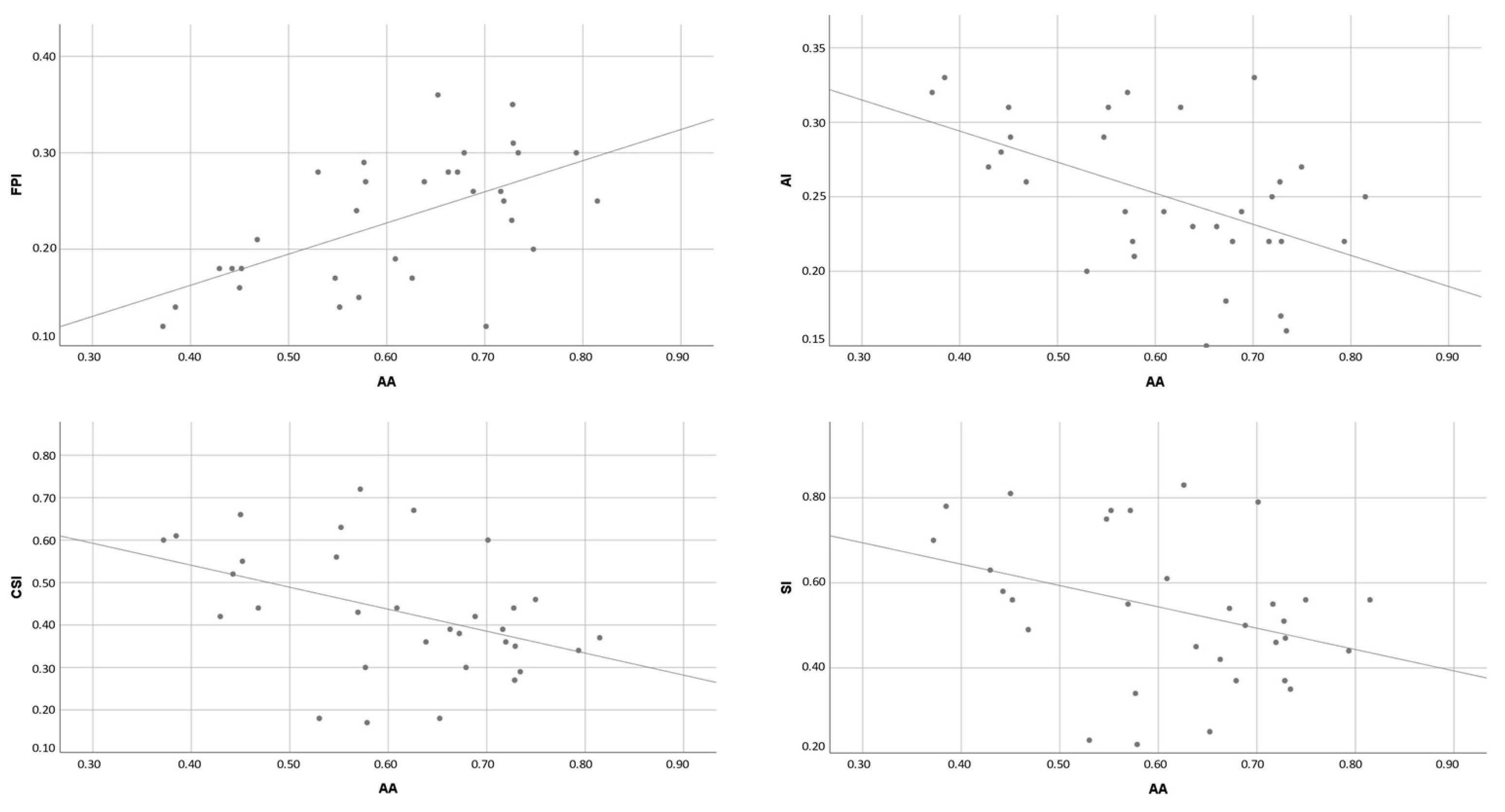
3. Results
3.1. Sample and Groups Characteristics
3.2. Neutral Foot Subjects
3.3. Flat Foot Subjects
4. Discussion
5. Conclusions
Author Contributions
Funding
Institutional Review Board Statement
Informed Consent Statement
Acknowledgments
Conflicts of Interest
References
- Sung, P.S. The Sensitivity of Thresholds by Ground Reaction Force and Postural Stability in Subjects with and Without Navicular Drop. J. Foot Ankle Surg. 2018, 57, 742–746. [Google Scholar] [CrossRef]
- Sung, P.S.; Zipple, J.T.; Andraka, J.M.; Danial, P. The kinetic and kinematic stability measures in healthy adult subjects with and without flat foot. Foot 2017, 30, 21–26. [Google Scholar] [CrossRef] [PubMed]
- Rogers, M.W.; Mille, M. Balance perturbations. Handb. Clin. Neurol. 2018, 159, 85–105. [Google Scholar] [PubMed]
- Peterka, R.J. Sensory integration for human balance control. Handb. Clin. Neurol. 2018, 159, 27–42. [Google Scholar]
- Mackinnon, C.D. Sensorimotor anatomy of gait, balance, and falls. Handb. Clin. Neurol. 2018, 159, 3–26. [Google Scholar] [PubMed]
- Young, A.S.; Rosengren, S.M.; Welgampola, M.S. Disorders of the inner-ear balance organs and their pathways. Handb. Clin. Neurol. 2018, 159, 385–401. [Google Scholar] [PubMed]
- Angin, S.; Mickle, K.J.; Nester, C.J. Contributions of foot muscles and plantar fascia morphology to foot posture. Gait Posture 2018, 61, 238–242. [Google Scholar] [CrossRef]
- Sung, P.S. The ground reaction force thresholds for detecting postural stability in participants with and without flat foot. J. Biomech. 2016, 49, 60–65. [Google Scholar] [CrossRef]
- Alonso-Montero, C.; Torres-Rubio, A.; Padrós-Flores, N.; Navarro-Flores, E.; Segura-Heras, J.V. Footprint Curvature in Spanish Women: Implications for Footwear Fit. Int. J. Environ. Res. Public Health 2020, 17, 1876. [Google Scholar] [CrossRef] [Green Version]
- Nagai, K.; Yamada, M.; Uemura, K.; Yamada, Y.; Ichihashi, N.; Tsuboyama, T. Differences in muscle coactivation during postural control between healthy older and young adults. Arch. Gerontol. Geriatr. 2011, 53, 338–343. [Google Scholar] [CrossRef] [Green Version]
- López-López, D.; Vilar-Fernández, J.M.; Barros-García, G.; Losa-Iglesias, M.E.; Palomo-López, P.; Becerro-De-Bengoa-Vallejo, R.; Calvo-Lobo, C. Foot Arch Height and Quality of Life in Adults: A Strobe Observational Study. Int. J. Environ. Res. Public Health 2018, 15, 1555. [Google Scholar] [CrossRef] [PubMed] [Green Version]
- Buldt, A.K.; Murley, G.S.; Butterworth, P.; Levinger, P.; Menz, H.B.; Landorf, K.B. The relationship between foot posture and lower limb kinematics during walking: A systematic review. Gait Posture 2013, 38, 363–372. [Google Scholar] [CrossRef] [PubMed]
- Buldt, A.K.; Levinger, P.; Murley, G.S.; Menz, H.B.; Nester, C.J.; Landorf, K.B. Foot posture is associated with kinematics of the foot during gait: A comparison of normal, planus and cavus feet. Gait Posture 2015, 42, 42–48. [Google Scholar] [CrossRef] [PubMed]
- Eslami, M.; Damavandi, M.; Ferber, R. Association of Navicular Drop and Selected Lower-Limb Biomechanical Measures During the Stance Phase of Running. J. Appl. Biomech. 2014, 30, 250–254. [Google Scholar] [CrossRef] [PubMed]
- Twomey, D.; McIntosh, A.S.; Simon, J.; Lowe, K.; Wolf, S.I. Kinematic differences between normal and low arched feet in children using the Heidelberg foot measurement method. Gait Posture 2010, 32, 1–5. [Google Scholar] [CrossRef]
- Gross, K.D.; Felson, D.T.; Niu, J.; Hunter, D.J.; Guermazi, A.; Roemer, F.W.; Dufour, A.B.; Gensure, R.H.; Hannan, M.T. Association of flat feet with knee pain and cartilage damage in older adults. Arthritis Care Res. 2011, 63, 937–944. [Google Scholar] [CrossRef] [Green Version]
- Levinger, P.; Zeina, D.; Teshome, A.K.; Skinner, E.; Begg, R.; Abbott, J.H. A real time biofeedback using Kinect and Wii to improve gait for post-total knee replacement rehabilitation: A case study report. Disabil. Rehabil. Assist. Technol. 2016, 11, 251–262. [Google Scholar] [CrossRef]
- Hunt, A.E.; Smith, R.M. Mechanics and control of the flat versus normal foot during the stance phase of walking. Clin. Biomech. 2004, 19, 391–397. [Google Scholar] [CrossRef]
- Buldt, A.K.; Forghany, S.; Landorf, K.B.; Levinger, P.; Murley, G.S.; Menz, H.B. Foot posture is associated with plantar pressure during gait: A comparison of normal, planus and cavus feet. Gait Posture 2018, 62, 235–240. [Google Scholar] [CrossRef]
- Kosashvili, Y.; Fridman, T.; Backstein, D.; Safir, O.; Ziv, Y.B. The Correlation between Pes Planus and Anterior Knee or Intermittent Low Back Pain. Foot Ankle Int. 2008, 29, 910–913. [Google Scholar] [CrossRef]
- Caravaggi, P.; Sforza, C.; Leardini, A.; Portinaro, N.; Panou, A. Effect of plano-valgus foot posture on midfoot kinematics during barefoot walking in an adolescent population. J. Foot Ankle Res. 2018, 11, 1–9. [Google Scholar] [CrossRef] [PubMed]
- López-López, D.; Becerro-De-Bengoa-Vallejo, R.; Losa-Iglesias, M.E.; Palomo-López, P.; Rodríguez-Sanz, D.; Brandariz-Pereira, J.M.; Calvo-Lobo, C. Evaluation of foot health related quality of life in individuals with foot problems by gender: A cross-sectional comparative analysis study. BMJ Open 2018, 8, e023980. [Google Scholar] [CrossRef] [PubMed] [Green Version]
- Zuil-Escobar, J.C.; Martínez-Cepa, C.B.; Martín-Urrialde, J.A.; Gómez-Conesa, A. Medial Longitudinal Arch: Accuracy, Reliability, and Correlation Between Navicular Drop Test and Footprint Parameters. J. Manip. Physiol. Ther. 2018, 41, 672–679. [Google Scholar] [CrossRef] [PubMed]
- Zuil-Escobar, J.C.; Martínez-Cepa, C.B.; Martín-Urrialde, J.A.; Gómez-Conesa, A. Evaluating the Medial Longitudinal Arch of the Foot: Correlations, Reliability, and Accuracy in People with a Low Arch. Phys. Ther. 2018, 99, 364–372. [Google Scholar] [CrossRef] [PubMed]
- Cho, Y.; Park, J.-W.; Nam, K. The relationship between foot posture index and resting calcaneal stance position in elementary school students. Gait Posture 2019, 74, 142–147. [Google Scholar] [CrossRef]
- Khanna, N.; Premavathy, D. Assessing occurrence of flatfoot condition among student population. Drug Investig. Today 2019, 11, 2477–2480. [Google Scholar]
- Kim, J.-a.; Lim, O.-b.; Yi, C.-h. Difference in static and dynamic stability between flexible flatfeet and neutral feet. Gait Posture 2015, 41, 546–550. [Google Scholar] [CrossRef]
- Chen, K.C.; Yeh, C.J.; Kuo, J.F.; Hsieh, C.L.; Yang, S.F.; Wang, C.H. Footprint analysis of flatfoot in preschool-aged children. Eur. J. Pediatr. 2011, 170, 611–617. [Google Scholar] [CrossRef]
- Tahmasebi, R.; Karimi, M.T.; Satvati, B.; Fatoye, F. Evaluation of Standing Stability in Individuals with flatfeet. Foot Ankle Spec. 2015, 8, 168–174. [Google Scholar] [CrossRef]
- Queen, R.M.; Mall, N.A.; Hardaker, W.M.; Nunley, J.A. Describing the Medial Longitudinal Arch Using Footprint Indices and a Clinical Grading System. Foot Ankle Int. 2007, 28, 456–462. [Google Scholar] [CrossRef]
- CCavanagh, P.R.; Rodgers, M.M. The arch index: A useful measure from footprints. J. Biomech. 1987, 20, 547–551. [Google Scholar] [CrossRef]
- Aboelnasr, E.A.; El-Talawy, H.A.; Abdelazim, F.H.; Hegazy, F.A. Sensitivity and specificity of normalized truncated navicular height in assessment of static foot posture in children aged 6–12 years. Hong Kong Physiother. J. 2019, 39, 15–23. [Google Scholar] [CrossRef]
- Roth, S.; Roth, A.; Jotanovic, Z.; Madarevic, T. Navicular index for differentiation of flatfoot from normal foot. Int. Orthop. 2013, 37, 1107–1112. [Google Scholar] [CrossRef] [Green Version]
- Wong, C.K.; Weil, R.; De Boer, E. Standardizing Foot-Type Classification Using Arch Index Values. Physiother. Can. 2012, 64, 280–283. [Google Scholar] [CrossRef] [Green Version]
- Holt, G.R. Declaration of Helsinki—The World’s Document of Conscience and Responsibility. South. Med. J. 2014, 107, 407. [Google Scholar] [CrossRef]
- Vandenbroucke, J.P.; von Elm, E.; Altman, D.G.; Gøtzsche, P.C.; Mulrow, C.D.; Pocock, S.J.; Poole, C.; Schlesselman, J.J.; Egger, M. STROBE Initiative. Strengthening the Reporting of Observational Studies in Epidemiology (STROBE): Explanation and elaboration. Int. J. Surg. 2014, 12, 1500–1524. [Google Scholar] [CrossRef] [Green Version]
- Tsai, L.C.; Yu, B.; Mercer, V.S.; Gross, M.T. Comparison of different structural foot types for measures of standing postural control. J. Orthop. Sports Phys. Ther. 2006, 36, 942–953. [Google Scholar] [CrossRef] [Green Version]
- Hopkins, W.G. A scale of magnitudes for effect statistics. New View Stat. 2002, 502, 411. [Google Scholar]
- Baumfeld, D.; Baumfeld, T.; Da Rocha, R.L.; Macedo, B.; Raduan, F.; Zambelli, R.; Silva, T.A.A.; Nery, C. Reliability of Baropodometry on the Evaluation of Plantar Load Distribution: A Transversal Study. BioMed Res. Int. 2017, 2017, 1–4. [Google Scholar] [CrossRef] [PubMed] [Green Version]
- Fernández-Seguín, L.M.; Diaz Mancha, J.A.; Sánchez Rodríguez, R.; Escamilla Martínez, E.; Gómez Martín, B.; Ramos Ortega, J. Comparison of plantar pressures and contact area between normal and cavus foot. Gait Posture 2014, 39, 789–792. [Google Scholar] [CrossRef] [PubMed]
- Menz, H.B.; Fotoohabadi, M.R.; Wee, E.; Spink, M.J. Visual categorisation of the arch index: A simplified measure of foot posture in older people. J. Foot Ankle Res. 2012, 5, 1–10. [Google Scholar] [CrossRef] [PubMed]




| N | Minimum | Maximum | Mean | Standard Deviation (SD) | |
|---|---|---|---|---|---|
| Age (years) | 37 | 18 | 35 | 23.10 | 4.30 |
| Height (m) | 1.47 | 1.85 | 1.70 | 9.55 | |
| Weight (kg) | 46.90 | 116.00 | 74.51 | 15.44 |
| Group | n | NDT (mm) | RCSP (º) | AA (º) | FPI (Score) | AI (Score) | CSI (Score) | SI (Score) |
|---|---|---|---|---|---|---|---|---|
| NF | 21 | 5.36 ± 2.31 | 2.15 ± 1.74 | 43.86 ± 5.34 | 0.28 ± 0.05 | 0.22 ± 0.06 | 0.36 ± 0.14 | 0.48 ± 0.20 |
| FF | 16 | 11.23 ± 1.45 | 4.72 ± 1.56 | 61.13 ± 12.21 | 0.23 ± 0.06 | 0.25 ± 0.05 | 0.43 ± 0.14 | 0.53 ± 0.17 |
| RCSP | AA | FPI | AI | CSI | SI | ||
|---|---|---|---|---|---|---|---|
| NDT | Correlation value | 0.267 | −0.193 | −0.018 | −0.011 | −0.005 | −0.029 |
| p-value | 0.087 | 0.259 | 0.917 | 0.949 | 0.978 | 0.868 | |
| RCSP | Correlation value | −0.269 | 0.084 | −0.076 | −0.052 | −0.036 | |
| p-value | 0.112 | 0.627 | 0.658 | 0.764 | 0.834 | ||
| AA | Correlation value | 0.443 | −0.434 | −0.341 | −0.303 | ||
| p-value | 0.007 | 0.008 | 0.042 | 0.072 | |||
| FPI | Correlation value | −0.901 | −0.850 | −0.813 | |||
| p-value | 0.000 | 0.000 | 0.000 | ||||
| AI | Correlation value | 0.928 | 0.918 | ||||
| p-value | 0.000 | 0.000 | |||||
| CSI | Correlation value | 0.965 | |||||
| p-value | 0.000 | ||||||
| RCSP | AA | FPI | AI | CSI | SI | ||
|---|---|---|---|---|---|---|---|
| NDT | Correlation value | 0.279 | 0.190 | 0.181 | −0.123 | −0.224 | −0.228 |
| p-value | 0.122 | 0.297 | 0.321 | 0.502 | 0.218 | 0.208 | |
| RCSP | Correlation value | −0.161 | 0.079 | −0.157 | −0.113 | −0.100 | |
| p-value | 0.378 | 0.668 | 0.390 | 0.539 | 0.584 | ||
| AA | Correlation value | 0.590 | −0.509 | −0.430 | −0.353 | ||
| p-value | 0.000 | 0.003 | 0.014 | 0.048 | |||
| FPI | Correlation value | −0.943 | −0.885 | −0.868 | |||
| p-value | 0.000 | 0.000 | 0.000 | ||||
| AI | Correlation value | 0.906 | 0.867 | ||||
| p-value | 0.000 | 0.000 | |||||
| CSI | Correlation value | 0.955 | |||||
| p-value | 0.000 | ||||||
Publisher’s Note: MDPI stays neutral with regard to jurisdictional claims in published maps and institutional affiliations. |
© 2021 by the authors. Licensee MDPI, Basel, Switzerland. This article is an open access article distributed under the terms and conditions of the Creative Commons Attribution (CC BY) license (https://creativecommons.org/licenses/by/4.0/).
Share and Cite
Marouvo, J.; Castro, M.A.; Santos, C.; Sousa, F. Correlation between Different Methods to Diagnose Foot Posture Condition. J 2021, 4, 233-243. https://doi.org/10.3390/j4030019
Marouvo J, Castro MA, Santos C, Sousa F. Correlation between Different Methods to Diagnose Foot Posture Condition. J. 2021; 4(3):233-243. https://doi.org/10.3390/j4030019
Chicago/Turabian StyleMarouvo, Joel, Maria António Castro, Carlos Santos, and Filipa Sousa. 2021. "Correlation between Different Methods to Diagnose Foot Posture Condition" J 4, no. 3: 233-243. https://doi.org/10.3390/j4030019
APA StyleMarouvo, J., Castro, M. A., Santos, C., & Sousa, F. (2021). Correlation between Different Methods to Diagnose Foot Posture Condition. J, 4(3), 233-243. https://doi.org/10.3390/j4030019

