Abstract
Adsorption is an effective method frequently used for removing contaminants, including dyes, from liquid effluents. This study uses silk fibroin nanoparticles produced by the Bombyx mori moth as an adsorbent material to remove methylene blue dye from aqueous solutions. Batch tests were carried out to examine the effect of pH and temperature on methylene blue adsorption and to obtain kinetic and equilibrium data. The experimental data were fitted to different kinetic models (pseudo-first-order, pseudo-second-order, Elovich, intraparticular diffusion and Bangham) and isotherm models (Langmuir, Freundlich, Sips and Redlich–Peterson). The experimental data can be best explained by the pseudo-second-order and Bangham kinetic models. The adsorption capacity increases with temperature so adsorption is an endothermic process. The maximum adsorption capacities achieved in the experiments were 122 mg·g−1, 132 mg·g−1, and 155 mg·g−1 at temperatures of 10 °C, 25 °C, and 40 °C, respectively. Among the models studied, the ones that best describe the equilibrium data are Freundlich and Redlich–Peterson models.
1. Introduction
A large variety of synthetic organic dyes are currently produced for use in numerous industries, including textiles, tanning, paper production, food production, agriculture and cosmetics [1,2]. A significant amount of these compounds is discharged into the environment through domestic and industrial effluents. The presence of these compounds in water can change their appearance, cause visible coloration, and alter clarity, which greatly affects the activity of living organisms present. Furthermore, some of these substances are highly toxic and/or carcinogenic, requiring the treatment of effluents containing them. Since synthetic dyes are poorly biodegradable, conventional biological treatments are not sufficiently effective for their removal [1,3,4,5].
The most commonly used technologies for removing dyes from liquid effluents include chemical and physicochemical methods, advanced oxidation processes, enzymatic decomposition, and electrochemical methods. However, some of these treatments can be costly due to the use of expensive equipment or high operating costs [5,6,7].
The adsorption process offers numerous advantages, including high efficiency, ease of design, and the absence of toxic by-products. However, its use may be limited due to the cost of the adsorbent, and regenerating it can be difficult [8,9,10,11]. For this reason, the use of inexpensive materials, alternatives to activated carbon, have been studied as potential adsorbents for treating liquid effluents contaminated by synthetic dyes. These adsorbents include low- or no-cost renewable natural materials, such as agricultural and forestry by-products, shells and bark from various fruits, algae, industrial process by-products, zeolites, and clays [5,12,13,14,15,16].
Due to their prominent properties, such as massive functional groups, biodegradability, biocompatibility and lower toxicity, protein-based adsorbents such as keratin, casein, soy proteins, silk protein or whey protein are proving increasingly interesting for the removal of contaminants from liquid effluents [17,18,19,20,21].
Silk fibroin has been identified as a promising green material for the fabrication of nanoparticles with a wide range of applications [22], including in the fields of biomedicine [23], food processing [24,25], cosmetic dermatology [26], and water treatment, due to its tenable biodegradability, biocompatibility, excellent mechanical properties, and high thermal sensitivity [27].
Among its applications in water treatment, its use as an adsorbent material stands out, having been successfully used for the elimination of heavy metals [28,29,30] and dyes [31]. Another application in the field of water treatment is the separation of oil/water mixtures and water-in-oil emulsions [32].
In this study, silk fibroin nanoparticles (SF) were used as an adsorbent material, which could be considered an alternative to the adsorbents currently in use. The dye to be removed was methylene blue (MB), a model compound for cationic dyes. It is easily soluble in water and forms a very intense dark blue solution. It has a wide range of applications in the textile industry, including dyeing wool, cotton, and silk, as well as in other fields such as chemistry, biology, and medicine. The use of MB for dyeing fibres in the textile industry means that it is present in the coloured effluents of this industry, and its removal must be studied [33,34].
There are some studies on the elimination of MB in silk fibroin, such as adsorption on feather keratin/silk fibroin porous aerogels [35], cellulose/silk fibroin-assisted calcium phosphate growth [36] and silk fibroin–graphene oxide nanocomposites [37]. However, none of them were on silk fibroin nanoparticles.
This work aims to investigate the adsorption of MB from an aqueous solution using SF. The adsorbent material has been characterized by determining its particle size, polydispersity index, zeta potential, and the functional groups that may be involved in dye adsorption. The influence of pH and temperature on adsorption capacity has been investigated. Adsorption kinetics have been studied using the same initial dye concentration at different temperatures, adjusting the experimental data to different kinetic models. The adsorption isotherms at different temperatures were obtained, and the experimental data were adjusted to different isotherm models.
2. Materials and Methods
2.1. Adsorbent Material
In this study, silk fibroin nanoparticles were used as an adsorbent material. Silk is produced by various arthropods [38,39]. In this study, it was obtained from Bombyx mori silk cocoons from different breeds raised at the Murcia Institute for Agricultural and Environmental Research and Development (IMIDA) and fed with fresh mulberry leaves.
Silk is basically composed of two proteins: sericin (15–35%) and fibroin (65–85%) [38,39,40]. To use silk as a biomaterial, such as for its use in the textile industry, the sericin is first removed by boiling it in a soap solution or sodium carbonate. After filtration, a thread with a texture like cotton is obtained, consisting entirely of fibroin [39,41]. The preparation of SF was carried out using ionic liquids for dissolution according to the method described in the work of Lozano-Pérez et al. (2015) [41]. First, the unprocessed white silk cocoons were degummed by boiling them twice in an aqueous solution of Na2CO3. The resulting solid (S1) was then washed with ultrapure water and dried in an oven. After that, an S1 solution in ionic liquid (SIL) was prepared by ultrasonication and silk fibroin nanoparticles (SF) were obtained from this solution. This solution was diluted with ultrapure water and added drop by drop to cold methanol while stirring. This caused the silk fibroin particles to precipitate. The solid particles were separated from the suspension by centrifugation and then washed first with methanol and subsequently several times with ultrapure water. Finally, the solid particles were freeze-dried to obtain lyophilised SF [41].
2.2. Characterization of the Adsorbent Material
2.2.1. Determination of Particle Size, Polydispersity Index and Zeta Potential
The size, polydispersity index and zeta potential of the SF used as the adsorbent solid were determined using a Malvern ZSP Zetasizer Nano nanoparticle analyser (Malvern Instruments Ltd., Grovewood, UK) at a temperature of 25 °C. In terms of particle size, the analyser provides information on average diameter (Dpm), polydispersity index (PdI), and particle size distributions by intensity, number, and volume. To determine the size, polydispersity index, and zeta potential of the particles, the test was performed in duplicate.
The samples were prepared using the following procedure:
First, 2 mg of particles and 1.5 mL of Milli-Q water were added to a vial. Next, the particle suspension was sonicated using a Branson Digital Sonifier 450 ultrasonicator (Branson Ultrasonics Corp, Danbury, CT, USA) to homogenize it. Once sonication was complete, 8 μL of the sample was placed in a cuvette for analysis in the nanoparticle analyser, taking care to avoid the formation of bubbles that could alter the measurement. The test to determine the size, polydispersity index, and zeta potential of the particles was carried out in triplicate on two samples of the particle suspension.
2.2.2. Characterization of Active Groups
Total attenuated reflection Fourier transform infrared (ATR-FTIR) spectroscopy technique was employed to characterize the SF and detect any functional groups responsible for dye adsorption. For this purpose, the infrared spectra corresponding to MB and SF before and after dye adsorption were obtained. For the ATR-FTIR analysis, the samples of the ground solid were placed directly in a diamond crystal module (ATR iD7) of a Nicolet™ iS™ 5 FTIR spectrometer from Thermo Scientific (Thermo Fisher Scientific, Waltham, MA, USA). The measurements were performed with a resolution of 4 cm−1 in the spectral range of 4000 cm−1–250 cm−1, with 64 scans.
2.3. Adsorbate
MB (Basic Blue 9, C.I. 52015) was purchased from Sigma-Aldrich (Madrid, Spain). The concentration of MB in the solutions was measured, after dilution when it was necessary, using a UV–visible spectrophotometer Shimadzu UV-1603 (Shimadzu Europe GmbH, Duisburg, Germany). Standard solutions of MB with concentrations ranging from 0 mg·L−1 to 8 mg·L−1 were prepared from a stock solution of 200 mg·L−1. The absorbance of each dye solution was measured at the wavelength of maximum absorbance (λmax = 664 nm) to obtain the calibration curve.
2.4. Adsorption Study
2.4.1. Influence of pH
The effect of pH on the adsorption of MB by fibroin particles was determined by conducting adsorption tests at a constant pH value. In each test, 100 mL of a 50 mg·L−1 MB solution with a predetermined pH was mixed with 0.05 g of silk fibroin in a glass jar. The suspension was kept under agitation at 25 °C, maintaining the pH at the desired value by adding small volumes of NaOH or HNO3 solutions. The tests were performed at pH values of 2, 4, 6, 8, and 10. After approximately 24 h, a sample of the supernatant was taken and centrifuged to determine the dye concentration in the solution. The adsorption capacity, q (mg MB·g−1), was calculated using a mass balance (Equation (1)).
where
C0 = initial MB concentration in the solution (mg·L−1);
C = MB concentration in the solution at time t (mg·L−1);
V0 = initial solution volume (L);
V = final solution volume (L);
m = mass of adsorbent used (g).
2.4.2. Adsorption Kinetic Experiments
The kinetics of adsorption were studied in a stirred tank with a jacket to maintain a constant temperature. Tests were carried out at 10 °C, 25 °C, and 40 °C. Temperature has a significant impact on the adsorption process [42]. These temperatures have been selected to represent a range of operational conditions that may be encountered in real environmental scenarios, while ensuring that there is sufficient separation between them to allow for noticeable differences in the results. Additionally, the study at different temperatures enables analysis of thermodynamic parameters, which are essential to understanding the adsorption mechanism. In each test, 200 mL of a 100 mg·L−1 MB solution with a pH of 9 was mixed with 0.1 g of adsorbent solid (adsorbent dose, r = 0.5 g·L−1). The pH of the suspension was kept at a constant value of 9 throughout the test by adding small volumes of NaOH or HNO3 solutions as required. Samples of the suspension were taken at different times from the start of the test. Each sample was centrifuged at 4500 rpm for one minute. The solution was separated and diluted when necessary, and its absorbance was measured to determine the dye concentration in the solution. The tests were considered complete when the dye concentration in the solution remained practically constant, indicating that the contact time was longer than that required to reach equilibrium.
Various kinetic models (pseudo-first- and pseudo-second-order, Elovich, intraparticle diffusion and Bangham) have been used to obtain information about the adsorption mechanism (Table 1) [5,15,43].
Table 1.
Adsorption kinetic models.
2.4.3. Biosorption Isotherm Experiments
To obtain equilibrium data on the adsorption of MB dye onto silk fibroin nanoparticles, batch tests were conducted at a constant pH of 9, which was controlled by adding NaOH and HNO3 solutions as required. In 100 mL glass bottles, 50 mL of MB solution with varying initial concentrations, ranging from 25 mg·L−1 to 500 mg·L−1, was brought into contact with 0.025 g of adsorbent solid (adsorbent dose of 0.5 g·L−1). The mixture was stirred magnetically for 8 h, which was enough time to reach equilibrium. After contact, the final amount of solution was determined, the suspension was subjected to centrifugation, and the dye concentration in the upper solution was determined. Experiments were conducted at constant temperatures of 10 °C, 25 °C and 40 °C using a thermostatic bath, where glass bottles were immersed. The tests were carried out in triplicate.
The analysis of equilibrium data obtained experimentally and the development of correlations for their description can be facilitated by the employment of adsorption isotherm models. These models provide highly interesting information about the mechanisms involved in the adsorption process. Numerous adsorption isotherm models have been used to describe the adsorption of dyes by a variety of adsorbents. In this study, two-parameter models (Langmuir and Freundlich) and three-parameter models (Sips and Redlich–Peterson) have been employed (Table 2) [5,15,46].
Table 2.
Adsorption isotherm models.
2.5. Statistical Analysis
As mentioned in Section 2.4.3, the batch isotherm experiments were carried out in triplicate. Sigmaplot 14.0 was used to calculate the average values and the standard deviation.
The characteristic parameters of each kinetic and isotherm model were obtained by fitting the experimental data to the model’s representative equation using nonlinear regression with the Microsoft Excel Solver tool and minimizing the mean relative error function (ARE, %), which is defined as follows (Equation (2)) [47].
where qexp is the amount of dye adsorbed per unit mass of adsorbent determined experimentally, qcal is the value of this amount calculated using the model, and “k” is the number of experimental data points.
3. Results and Discussion
3.1. Characterization of Fibroin Nanoparticles Used as Adsorbent Solid
3.1.1. Particle Size, Polydispersity Index, and Zeta Potential
Figure 1 shows the intensity-based particle size distribution graphs for the two analyzed samples, and Figure 2 illustrates the distribution of zeta potential. Table 3 shows the values obtained for Dpm, PdI, and zeta potential (Z) for each measurement, as well as the calculated average and standard deviation for each sample.
Figure 1.
Intensity-based particle size distribution for SF.
Figure 2.
Distribution of zeta potential for SF.
Table 3.
Average diameter values (Dpm), polydispersity index (PdI), and zeta potential (Z) for SF.
Similar average particle diameter values were obtained for the two samples (230.8 nm and 222.0 nm) with a polydispersity index of 0.282 in both cases. The PdI is a parameter used to measure the uniformity of the size of a nanoparticle sample. The value of PdI ranges from 0 (perfectly uniform size distribution) to 1 (highly polydisperse sample) [50,51,52,53,54]. The PdI value obtained in this study indicates a suspension with a fairly uniform particle size distribution. It is widely accepted in the literature that PdI values below 0.2 indicate a uniform particle size distribution. However, for applications such as particle nanocarriers or polymer nanoparticles used in cosmetics, food or pharmaceuticals, values up to 0.3 are considered acceptable for describing a relatively homogeneous particle size distribution, indicating a suspension with a fairly uniform particle size distribution [51,52,53,55].
The average zeta potential values obtained were −23.3 mV and −22.8 mV for samples 1 and 2, respectively. These values are close to those recommended for a stable colloidal suspension, demonstrating the system’s stability and low tendency to aggregate [55,56].
MB is a positively charged cationic dye that can be easily adsorbed onto negatively charged surfaces by electrostatic attraction [9]; therefore, a negative zeta potential favours adsorption [57].
3.1.2. ATR-FTIR Analysis
The ability of adsorbents to remove contaminants can be attributed to the presence of certain active groups on their surface. The number of such functional groups will determine the adsorption capacity of the adsorbent, and their nature will condition its selectivity [58,59,60,61].
Figure 3 shows the infrared spectrum corresponding to SF before and after MB adsorption, as well as the spectrum corresponding to this dye. The adsorbent material exhibits many absorption bands, which indicates its complex structure. Thus, characteristic bands of water-insoluble crystalline fibroin, or type II silk (β-sheet structure), are visible at 3300 cm−1 (corresponding to O–H and N–H stretching vibrations of hydrogen bonds) [62], 1629 cm−1 corresponding to amide I (C=O stretching), 1517 cm−1 associated to amide II (N–H blending), and 1232 cm−1 attributed to amide III (C–N stretching and N–H deformation) [62,63,64,65,66,67,68]. Additionally, other absorption bands can be observed at 3100 cm−1–2900 cm−1 and at 1445 cm−1 (associated with the C–H bond in alkyl, aliphatic and aromatic groups) and at 1166 cm–1 and 1067 (assigned to C-N vibrations) [69,70].
Figure 3.
ATR-FTIR spectra: (SF) silk fibroin nanoparticles before adsorption, (SF + MB) silk fibroin nanoparticles after biosorption of MB, (MB) methylene blue dye.
Analysis of silk fibroin spectra, before and after MB adsorption, shows that, after adsorption, the characteristic peaks of silk fibroin shift slightly and that additional peaks, which are present in the MB spectrum, appear at wavenumbers from 1384 cm−1 to 1328 cm−1 (corresponding to C-N and C=S+ stretching vibrations of heterocycles) and from 885 cm−1 to 827 cm−1 (attributed to C–H stretching in the aromatic rings) [69,70]. These results confirm the interaction between the fibroin particles and MB dye.
3.2. Influence of pH on MB Adsorption
pH is one of the variables that has a considerable influence on adsorption. The affinity of the adsorbent solid for the adsorbate can vary significantly with changes in the pH of the solution, as this can modify the characteristics of both the surface of the adsorbent solid and the adsorbate [71,72,73].
Figure 4 shows the effect of pH value on the removal of MB by adsorption on silk fibroin. The adsorption capacity of MB by fibroin increases as the pH increases. The adsorption capacity is very low at pH values below 5.5, with values below 40 mg·g−1. For pH values above 5.5, the adsorption capacity increases considerably as the pH increases, reaching a value of 185 mg·g−1 for pH = 9.4.
Figure 4.
Influence of pH on adsorption capacity of MB on silk fibroin nanoparticles.
The observed behaviour can be explained by considering that MB is a cationic dye and considering that the zero charge point (pHpzc) of SF is 6.8 [62]. At low pH values, below 6.8, the adsorbent surface is positively charged, and the protons, which compete with the cationic dye for adsorption sites, are preferentially adsorbed due to their high concentration and mobility. In addition, the adsorption of protons causes the surface of the adsorbent to increase its positive surface charge, hindering the adsorption of the dye. Increasing the pH above 6 increases the negative charge of the adsorbent surface, increasing the electrostatic attraction between the adsorbent surface and MB and favouring the adsorption of the dye [74,75,76].
All subsequent adsorption tests were performed at pH = 9, for which the highest adsorption capacity is obtained.
3.3. Adsorption Kinetic Results
To design the equipment where adsorption takes place, it is necessary to know the rate at which the adsorbate is transferred from the solution to the adsorbent. Studying adsorption kinetics allows us to determine the rate at which the adsorbate is removed from the solution and provides information on the mechanism that controls the process [5,15,77,78,79].
Figure 5 shows the evolution over contact time of the amount of MB adsorbed per unit mass of adsorbent solid in tests carried out with initial dye concentrations of approximately 100 mg·L−1, pH = 9 and temperatures of 10 °C (a), 25 °C (b) and 40 °C (c). Along with the experimental data obtained, their nonlinear regression fit to the kinetic models used in this study is shown. It can be observed that initially the amount of MB adsorbed per unit mass of adsorbent solid increases rapidly. This high adsorption rate is because the dye concentrations in both phases are far from equilibrium and the number of adsorption sites available on the surface of the adsorbent solid is high. Subsequently, the adsorption rate decreases as equilibrium is approached. Finally, the amount of dye adsorbed remains practically constant because equilibrium has been reached. The contact time required to achieve equilibrium is shorter than 4 h.
Figure 5.
MB biosorption kinetic on silk fibroin nanoparticles. Experimental data and predictions by kinetic models. (a) T = 10 °C; (b) T = 25 °C; (c) T = 40 °C.
To study the kinetic of dye adsorption, various mathematical models can be found in the literature for investigating the adsorption mechanism and its controlling stage [80,81]. In this work, the experimental data obtained were fitted to the following kinetics: pseudo-first-order, pseudo-second-order, Elovich, intraparticle diffusion and Bangham [5,15,44,77,82]. These models have been widely used in the bibliography on adsorption processes, appearing in many works as a reliable reference for understanding the mechanisms involved in dye removal by adsorption [5,15,42,44,77,82].
Table 4 shows the characteristic parameters of the different kinetic models used for each test, together with the average relative error (ARE) values.
Table 4.
Kinetic parameters obtained for the adsorption of MB by silk fibroin.
In general, the models studied adequately fit the experimental data, with the pseudo-second-order and Bangham models presenting the lowest calculated mean relative error values for all temperatures (less than 4.1%).
The pseudo-first-order model assumes that adsorption occurs on an homogeneous surface and the adsorption rate is proportional to the number of unoccupied sites. This model is commonly applied to describe physisorption-controlled processes, relying on weak van der Waals forces for interaction between the adsorbate and the adsorbent [5,9,11,12,15,33,43,44].
The pseudo-second-order model is often associated with chemisorption as well as with strong binding formed between adsorbate and adsorbent. The model assumes that adsorption takes place uniformly over the surface of the adsorbent [5,9,11,12,15,33,43,44].
The theoretical qe values obtained in the pseudo-first-order and pseudo-second-order models range between 73 mg·g−1 and 90 mg·g−1 and are like the experimental values.
The Elovich equation is a kinetic model used to describe chemical adsorption on heterogeneous adsorbents. This model is particularly useful for systems wherein surface activation energy varies significantly [5,9,11,12,15,43,44]. The initial adsorption rate, α, ranges from 211 to 688 mg·g−1·min−1. β is a constant related to surface coverage and activation energy in chemical adsorption [83,84] and it varies from 0.088 g·mg−1 to 0.114 g·mg−1. Some authors have proposed that this constant is the desorption rate [84,85].
The intraparticle diffusion model is particularly relevant for porous adsorbents, where internal diffusion governs the overall rate of adsorption [5,15,43,44,45]. In the intraparticle diffusion model, kd is the intraparticle diffusion rate constant (mg·g−1·min−1/2) and C (mg·g−1) is a constant related to the thickness of the boundary layer. The C values determined in this work are between 45.9 mg·g−1 and 75.4 mg·g−1, which indicates a film resistance to mass transfer surrounding the adsorbent particle.
The Bangham model is used to confirm whether the rate-limiting step of an adsorption process is intraparticle diffusion. It is satisfactorily applied when adsorption predominantly occurs within the porous structure of the adsorbent [5,15,43,44]. If the experimental data fit the Bangham equation well, adsorption kinetics are limited by pore diffusion [43,77]. The kB values range from 0.44 L·g−1 to 0.87 L·g−1 and the σ values range from 0.06 to 0.17 for all the temperatures that were studied.
Analysis of the kinetic models of intraparticle diffusion and Bangham suggests that both intraparticle diffusion and the film surrounding the adsorbent particle are involved in the transfer of the MB from the solution to the surface of SF [86].
3.4. Biosorption Isotherm Results
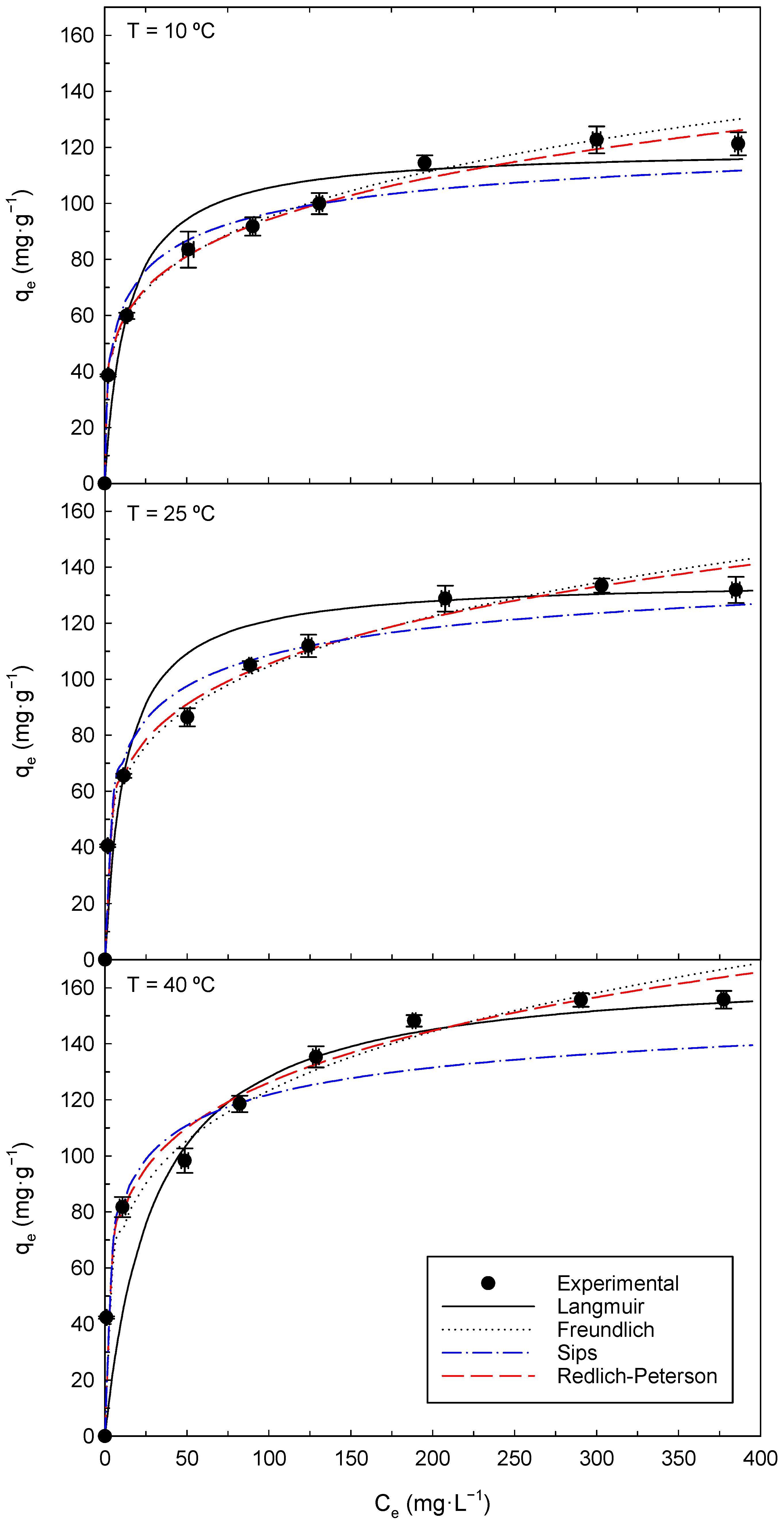
Adsorption isotherms relate the concentration of adsorbate in the solid phase and in the liquid phase once equilibrium has been reached at a given temperature. A comprehensive understanding of adsorption isotherms is fundamental, as these indicate the limits of the adsorption process. Furthermore, the study of adsorption isotherms will reveal the nature of the interaction between the adsorbate and the active groups present on the adsorbent’s surface. The adsorption isotherms of MB on silk fibroin were obtained at pH 9 and at temperatures of 10 °C, 25 °C, and 40 °C. Figure 6 shows the experimental results obtained, as well as the graphs of their fit to the Langmuir, Freundlich, Sips and Redlich–Peterson isotherm models. Table 5 shows the characteristic parameters of the isotherm models used, together with the average relative error (ARE) values.
Figure 6.
MB biosorption equilibrium on SF at 10 °C, 25 °C, and 40 °C. Experimental data (the symbols are the average values, and the bars indicate the standard deviation) and predictions by isotherm models.
Table 5.
Isotherm parameters for the sorption of MB by silk fibroin nanoparticles.
The concavity of the adsorption isotherms, directed toward the concentration axis within the liquid phase, signifies the occurrence of a favourable adsorption process, indicating a strong affinity between the dye molecules and the adsorbent material. As the MB concentration in the solution increases, the dye concentration in the adsorbent solid increases until saturation is reached. At low concentrations of adsorbates in solution (below 25 mg·L−1), isotherms have high slopes. This is due to the existence of numerous accessible adsorption sites on the surface of the adsorbent, and the uptake of MB by silk fibroin is almost 100%. When the MB concentrations are higher, the amount of MB adsorbed by the adsorbent tends to stabilize due to approaching saturation. For sufficiently high concentrations, this saturation is attained, reaching the maximum adsorption capacity.
On the other hand, when the temperature rises, the dye removal increases, revealing the endothermic nature of the adsorption process.
Taking into account the ARE function values obtained, it can be stated that the Freundlich and Redlich–Peterson models provide adequate description of the adsorption isotherms at the three temperatures studied, with the lowest values of ARE function.
The Langmuir model provides poorer results at all temperature values (ARE values greater than 12%). The maximum adsorption capacity values (qm) increase as the temperature rises, and the values calculated using this model (119.8 mg·g−1 at 10 °C, 135.6 mg·g−1 at 25 °C, and 167.3 mg·g−1 at 40 °C) are very similar to those that would be expected based on the experimental data (122 mg·g−1 at 10 °C, 132 mg·g−1 at 25 °C, and 155 mg·g−1 at 40 °C, approximately).
From parameter b, it is possible to obtain the dimensionless separation factor or equilibrium parameter (RL), defined by Equation (3) [47,87]:
where C0 (mg·L−1) is the initial dye concentration. The RL value indicates the type of adsorption: if RL = 0, it will be irreversible; if 0 < RL < 1, it will be favourable; if RL = 1, it will be linear; and if RL > 1, it will be unfavourable. All cases show that the adsorption of MB on silk fibroin is favourable, as evidenced by the fact that the values of RL are less than 1.
As mentioned above, the Freundlich model provides an adequate description of the adsorption of MB onto silk fibroin particles at all three tested temperatures, with ARE function values below 3.5%. This model accurately describes the behaviour at MB concentrations in the solution when there is a considerable increase in the value of qe with concentration Ce. However, at high concentrations of MB in solution, the solid approaches saturation, and the Freundlich model provides qe values greater than those obtained experimentally. The parameter n of the model is related to the affinity between the adsorbate and the adsorbent. Values of n between 1 and 10 suggest that adsorption is favourable, and the higher the value of n, the greater the strength of adsorption. In all cases, n values greater than 1 have been obtained, and these decrease as the temperature increases. The value of 1/n can be associated with the heterogeneity of the adsorbent surface, such that lower values indicate greater heterogeneity. Values of 1/n lower than 0.5 have been obtained, showing that the surface of the adsorbent has a moderate to high degree of heterogeneity.
As the Langmuir and Freundlich models are based on different suppositions about the adsorption mechanisms, the three-parameter models of Sips and Redlich–Peterson have been utilized to enhance comprehension of the interactions between adsorbate and adsorbent.
The Sips model accurately describes the adsorption of MB onto silk fibroin particles at all three tested temperatures, with ARE function values below 6.6%. This model combines the Langmuir and Freundlich models, such that at low adsorbate concentrations it reduces to the Freundlich model, while at high concentrations it possesses the characteristics of the Langmuir model. The qm values predicted by this model at 10 °C and 25 °C (135.1 mg·g−1 and 157.9 mg·g−1, respectively) are higher than those obtained with the Langmuir model. However, the value calculated at 40 °C (169.0 mg·g−1) is very similar to that given by the Langmuir model. The parameter n is also known as the heterogeneity index because it relates to the heterogeneity of the adsorbent surface. The higher the value of n, the more heterogeneous the surface is considered to be. Conversely, values close to unity imply a homogeneous surface, with adsorption described by monolayer chemisorption corresponding to the Langmuir isotherm. The values of n obtained are ≈2, indicating that the adsorbent surface is moderately to highly heterogeneous [88].
Like the Sips isotherm, the Redlich–Peterson one combines characteristics of the Langmuir and the Freundlich models. The Redlich–Peterson equation reduces to a linear isotherm at low concentrations, to a Freundlich isotherm at high concentrations and, in the case of β = 1, to a Langmuir isotherm. At all tested temperatures, the Redlich–Peterson isotherm provides an adequate fit to equilibrium data obtained for the adsorption of MB onto silk fibroin particles (ARE < 2.9%). As the temperature rises, the values of the aR coefficient decrease. The value of β is approximately 0.8. Its proximity to unity highlights the similarity between the Redlich–Peterson model and the Langmuir model. Its lies between 0 and 1 also suggests that adsorption is favourable.
Numerous studies have been conducted on the adsorption of MB onto different adsorbents, determining equilibrium data and using various adsorption isotherm models to improve our understanding of the mechanisms involved. Ma et al. (2015) [87], for example, studied the adsorption of methylene blue (MB) onto banana peel (OBP) and banana peel-activated carbon (BPAC) using Langmuir and Freundlich models. They found that the Langmuir model most accurately described the adsorption isotherms, with maximum adsorption capacities of 250 mg·g−1 and 1263 mg·g−1 for the OBP and BPAC adsorbents, respectively. They also obtained values for b of 0.0065 L·mg−1 and 0.194 L·mg−1 respectively, and RL values lower than 1. According to Freundlich’s model, they obtained values of n greater than 1.
Singh et al. (2020) [89] evaluated the use of Ginkgo biloba leaves for MB adsorption and employed the Langmuir and Freundlich adsorption isotherm models. They found that Freundlich’s model best described the equilibrium data, although they report a value of n less than one. The qm value obtained from the Langmuir model was 45.5 mg·g−1, with an RL value lower than 1.
Similarly, Lobo et al. (2025) [90] used the Langmuir and Freundlich models to describe the adsorption isotherms of MB on three types of açaí seed biosorbent: untreated (UAS), acid-treated (ATAS) and base-treated (BTAS). They verified that Langmuir’s model was the one that most accurately described the system under investigation, obtaining qm values of 60.45 mg·g−1, 56.59 mg·g−1, and 80.90 mg·g−1 for UAS, ATAS, and BTAS, respectively, and RL values between 0 and 1. Based on the Freundlich model, they obtained values of n ranging from 1 to 6.
Parushuram et al. (2022) [67] also use the Langmuir and Freundlich models in the adsorption of MB on silk fibroin and silk fibroin–gold nanoparticle nanocomposite film adsorbents. The Freundlich model provides the most adequate description of the adsorption process in these systems, with values of n greater than 1. The qm values found using the Langmuir model are around 300 mg·g−1, with RL parameter values below 1.
For their part, Pham et al. (2025) [62] indicate the incompatibility of the Langmuir and Freundlich models with the adsorption of MB in silk-based microparticles.
As has been shown, the Langmuir and Freundlich models are the most widely used in the study of MB adsorption isotherms.
Table 6 shows qm values for MB adsorption by different adsorbents.
Table 6.
MB maximum adsorption capacities of different adsorbents.
3.5. Adsorption Thermodynamics
The effect of temperature on the adsorption equilibrium of MB on silk fibroin can be seen in Figure 7. As indicated, an increase in temperature results in an increase in the removal of dye, which is evidence of the endothermic nature of the process. This suggests that adsorption can be both physical and chemical in nature [87]. References to the endothermic nature of MB adsorption by various adsorbents, including hemicellulose adsorbent [45], modified agricultural wastes [105], white pine sawdust [106], and chemically modified açaí seeds [90], can be found in the bibliography. Moreover, references can be found that establish the exothermic nature of MB adsorption on citrus sinensis bagasse [107], activated carbon derived from acacia wood [104], coconut leaves [108], and other adsorbents.
Figure 7.
Determination of the thermodynamic parameters for MB biosorption on silk fibroin nanoparticles.
Various thermodynamic functions have been calculated, including the change in Gibbs free energy (ΔG0), the change in enthalpy (ΔH0), and the change in entropy (ΔS0). Equations (4) and (5) have been used for this purpose [87,109].
where T is the solution temperature in Kelvin, R is the gas constant (8.314 J mol−1 K−1) and kd is the equilibrium constant, which is obtained using Equation (6) [87,109].
where Ce (mg·L−1) is the equilibrium concentration of MB in the liquid phase and qAe (mg·L−1) is the equilibrium concentration of MB adsorbed onto the SF adsorbent (i.e., the amount of MB adsorbed onto the adsorbent in one litre of solution).
The Kd value can be determined by plotting qAe·Ce−1 vs. Ce, when the concentration Ce tends to 0 [87,89]. The values of ΔH0 and ΔS0 can be found on the linear plot of ln Kd versus T−1. The ordinate at the origin of this plot gives the value of ΔS0·R−1, while the slope corresponds to the value of −ΔH0·R−1. Figure 7 illustrates this representation, and Table 7 provides a list of the calculated values.
Table 7.
Thermodynamic parameters for MB biosorption on silk fibroin nanoparticles.
Negative values of ΔG0 indicate that adsorption occurs spontaneously, and the spontaneity of the process is favoured by increasing the temperature.
ΔG0 values ranging from −400 kJ·mol−1 to −80 kJ·mol−1 are associated with chemisorption, while those between 0 kJ·mol−1 and −20 kJ·mol−1 suggest physisorption [45,89]. In the adsorption of MB by SF, values of ΔG0 between −7.9 kJ·mol−1 and −9.5 kJ·mol−1 have been obtained, which indicates that the adsorption is physical in nature.
The endothermic character of the adsorption process has been confirmed by the positive value of ΔH0, as well as the possibility of physisorption occurring. These results agree with the adsorption isotherms obtained.
The value of ΔH0 may be associated with the physical or chemical nature of the adsorption process. Adsorption can be considered to be physical when ΔH0 is between 2.09 kJ·mol−1 and 20.9 kJ·mol−1. If ΔH0 is between 20.9 kJ·mol−1 and 418.4 kJ·mol−1 (adsorption enthalpy of the same order as the enthalpy of chemical reactions), it can be established that the adsorption is chemical [45,89]. In this study, a ΔH0 of 7.6 kJ·mol−1 has been obtained for the adsorption of MB by SF, which reveals that physisorption occurs. This suggests that electrostatic interactions and electron exchange are strong between the functional groups on the adsorbent surface and the dye molecules. Lobo et al. 2025 [90] obtained a positive ΔH0 value for the adsorption of MB on base-treated açaí seeds.
A very low positive value of ΔS0 (0.055 kJ·mol−1·K−1) has been achieved, implying a slight increase in randomness at the solid–liquid interface during adsorption, as indicated by Zhang et al. (2014), Lobo et al. (2025) and Nasuha and Hameed (2011) [45,90,109]. The observed increase in entropy could be due to the release of counterions that occurs in the SF-MB interaction, as well as to the hydrophobic effect that may exist between the solid and the dye molecules. SF is made up of both hydrophobic and hydrophilic repeating peptide sequences, with a high proportion of hydrophobic amino acids [110]. Otherwise, MB is a hydrophobic dye due to the presence of methyl groups and aromatic rings in its structure [111]. In this way, hydrophobic interactions between the hydrophobic regions of SF and the MB molecules can cause an increase in the entropy of water molecules released from the interacting surfaces [112].
3.6. Adsorption Mechanism
The mechanism of adsorption of an adsorbate onto an adsorbent is dependent on the interactions between the functional groups present on the surface of the adsorbent material and the adsorbate molecules (chemical structure).
The MB molecule contains several aromatic rings and a permanently charged quaternary nitrogen atom (at any pH value), thus classifying it as a cationic dye.
The pHpzc of silk fibroin is approximately 6.8 [62]. Thus, at pH values below 6.8, SF has a net positive surface charge, while at pH values above 6.8, it has a negative charge. Additionally, the zeta potential determined for SF (negative) is an indication that its surface is negatively charged.
As has been verified by studying the effect of pH on adsorption capacity, this capacity is low at low pH values and increases as the pH rises. At low pH, electrostatic repulsion occurs between the positively charged surface of the adsorbent and the MB molecules, which are also positively charged. As the pH increases, especially to values above the pHpzc value, MB uptake increases due to the attraction between the positive charge of the dye and the negatively charged surface of the SF.
On the other hand, the main functional groups present in silk fibroin at low pH values may be protonated, which results in an increase in the electrostatic repulsion towards the cationic dye.
The values of ∆G0 and ∆H0 obtained indicate that adsorption is fundamentally physical in nature.
The FTIR spectrum of the adsorbent reveals the presence of hydroxyl, carbonyl and amide groups. The observation of the spectra of SF, MB and the SF + MB system reveals the interaction between the adsorbent and the adsorbate molecules. The functional groups mainly involved in this interaction are those situated in the 1700 cm−1 to 800 cm−1 region.
In an aqueous solution, MB molecules are solvated by water molecules. Nevertheless, solvated dye molecules are adsorbed onto the solid’s surface, forming a complex stabilized by additional hydrogen bonds between the solvation water molecules and the solid [62]. Furthermore, the hydrophobic effect between the solid and the dye molecules can cause the release of water molecules initially retained by the solid.
Thus, taking into account the functional groups identified in the adsorbent, as well as its electrical charge as a function of pH, and the structure of the MB molecule and its electrical charge (positive at any pH value), the following adsorbate–adsorbent interactions could be suggested [62,113]:
- Electrostatic interactions between positively charged MB molecules and the negatively charged surface of the adsorbent at pH values above 6.8;
- The formation of hydrogen bonds between the hydrogen atoms of the hydroxyl groups and the amide groups present on the surface of the adsorbent and the nitrogen atoms of the MB;
- π-π interactions between aromatic rings present in both the dye molecule and the adsorbent;
- Hydrophobic interactions between MB alkyl groups and fibroin segments.
4. Conclusions
The SF nanoparticles used as adsorbent for the removal of MB dye from aqueous solutions have an average particle diameter of 226 nm, a polydispersity index of 0.282 and an average zeta potential of −23 mV. These values are close to those recommended for a stable colloidal suspension, indicating the formation of such a suspension with a low tendency to aggregate and a uniform particle size distribution. The negative zeta potential of the nanoparticles favours electrostatic attraction with the cationic dye methylene blue. FTIR analysis confirmed the structure of the silk fibroin nanoparticle complex and the presence of characteristic type II silk fibroin bands.
The adsorption capacity of methylene blue by silk fibroin is greatly influenced by pH, increasing as pH rises and reaching a maximum at pH 9.4. The negative charge of the adsorbent surface at pH levels above 6 favours dye adsorption.
The adsorption process is endothermic. Experimental kinetic data were well fitted by the pseudo-second-order and Bangham models (ARE less than 4.1%).
The Freundlich and Redlich–Peterson models adequately describe the adsorption isotherms at the three studied temperatures. The lowest ARE function values indicate heterogeneity of the sorbent surface. The maximum adsorption capacities obtained using the Langmuir model are 119.8 mg·g−1 at 10 °C, 135.6 mg·g−1 at 25 °C, and 167.3 mg·g−1 at 40 °C.
This study has demonstrated the ability of silk fibroin nanoparticles to adsorb methylene blue in an aqueous solution, showcasing their potential as a material for the removal of other drugs and emerging pollutants from aqueous solutions.
However, to assess the practical applicability of the SF adsorbent, further testing is required using other adsorbates and real effluents. Additionally, it would be highly beneficial to conduct assays investigating the regeneration and reuse of the adsorbent material.
Author Contributions
Conceptualization, M.-I.A., M.L., V.-F.M., J.-F.O. and A.-B.P.-M.; methodology, M.-I.A., M.L., V.-F.M., J.-F.O., A.-B.P.-M. and R.V.; software, M.-I.A., M.L., V.-F.M., J.-F.O. and A.-B.P.-M.; validation, M.-I.A., M.L., V.-F.M., J.-F.O., A.-B.P.-M. and R.V.; formal analysis, M.-I.A., M.L., V.-F.M., J.-F.O. and A.-B.P.-M.; investigation, M.-I.A., M.L., V.-F.M., J.-F.O., A.-B.P.-M. and R.V.; resources, M.-I.A., M.L., V.-F.M., J.-F.O. and A.-B.P.-M.; data curation, M.-I.A., M.L., V.-F.M., J.-F.O. and A.-B.P.-M.; writing—original draft preparation, M.-I.A., M.L., V.-F.M., J.-F.O. and A.-B.P.-M.; writing—review and editing, M.-I.A., M.L., V.-F.M., J.-F.O. and A.-B.P.-M.; visualization, M.-I.A., M.L., V.-F.M., J.-F.O. and A.-B.P.-M.; supervision, M.-I.A., M.L., V.-F.M., J.-F.O. and A.-B.P.-M.; funding acquisition, M.-I.A., M.L., V.-F.M., J.-F.O. and A.-B.P.-M. All authors have read and agreed to the published version of the manuscript.
Funding
This research was partially funded by the European Commission (FEDER/ERDF) and the Spanish Ministry of Economy and Competitiveness (MINECO) (Refs. CTQ2014-57467-R and CTQ2017-87708-R).
Institutional Review Board Statement
Not applicable.
Informed Consent Statement
Not applicable.
Data Availability Statement
The data presented in this study are available on request from the corresponding author.
Acknowledgments
The authors would like to express their gratitude to the research group “Ingeniería Química Verde y Nanotecnología” at the Department of Chemical Engineering (Faculty of Chemistry, University of Murcia) for their support in synthesizing silk fibroin nanoparticles.
Conflicts of Interest
The authors declare no conflicts of interest.
References
- Bazin, I.; Ibn Hadj Hassine, A.; Haj Hamouda, Y.; Mnif, W.; Bartegi, A.; Lopez-Ferber, M.; De Waard, M.; Gonzalez, C. Estrogenic and Anti-Estrogenic Activity of 23 Commercial Textile Dyes. Ecotoxicol. Environ. Saf. 2012, 85, 131–136. [Google Scholar] [CrossRef]
- Velić, N.; Stjepanović, M.; Ostojčić, M.; Švarc, H.; Strelec, I.; Budžaki, S. Valorisation of Eggshell Waste for Effective Biosorption of Congo Red Dye from Wastewater. Clean Technol. 2025, 8, 2. [Google Scholar] [CrossRef]
- Birhanli, A.; Ozmen, M. Evaluation of the Toxicity and Teratogenity of Six Commercial Textile Dyes Using the Frog Embryo Teratogenesis Assay-Xenopus. Drug Chem. Toxicol. 2005, 28, 51–65. [Google Scholar] [CrossRef]
- Oliveira, D.P.; Carneiro, P.A.; Sakagami, M.K.; Zanoni, M.V.B.; Umbuzeiro, G.A. Chemical Characterization of a Dye Processing Plant Effluent-Identification of the Mutagenic Components. Mutat. Res.-Genet. Toxicol. Environ. Mutagen. 2007, 626, 135–142. [Google Scholar] [CrossRef]
- Aguilar, M.I.; Lloréns, M.; Ortuño, J.F.; Meseguer, V.F.; Pérez-Marín, A.B.; Cases, A. Use of the Box–Behnken Experimental Design for the Optimization of Orange II (Acid Orange 7) Adsorption on Aloe Vera. Sustainability 2023, 15, 15727. [Google Scholar] [CrossRef]
- Wang, J.; Yao, J.; Wang, L.; Xue, Q.; Hu, Z.; Pan, B. Multivariate Optimization of the Pulse Electrochemical Oxidation for Treating Recalcitrant Dye Wastewater. Sep. Purif. Technol. 2020, 230, 115851. [Google Scholar] [CrossRef]
- Rondina, D.J.G.; Ymbong, D.V.; Cadutdut, M.J.M.; Nalasa, J.R.S.; Paradero, J.B.; Mabayo, V.I.F.; Arazo, R.O. Utilization of a Novel Activated Carbon Adsorbent from Press Mud of Sugarcane Industry for the Optimized Removal of Methyl Orange Dye in Aqueous Solution. Appl. Water Sci. 2019, 9, 181. [Google Scholar] [CrossRef]
- Oloo, C.M.; Onyari, J.M.; Wanyonyi, W.C.; Wabomba, J.N.; Muinde, V.M. Adsorptive Removal of Hazardous Crystal Violet Dye Form Aqueous Solution Using Rhizophora Mucronata Stem-Barks: Equilibrium and Kinetics Studies. Environ. Chem. Ecotoxicol. 2020, 2, 64–72. [Google Scholar] [CrossRef]
- Crini, G.; Badot, P.-M. Application of Chitosan, a Natural Aminopolysaccharide, for Dye Removal from Aqueous Solutions by Adsorption Processes Using Batch Studies: A Review of Recent Literature. Prog. Polym. Sci. 2008, 33, 399–447. [Google Scholar] [CrossRef]
- Vučurović, V.M.; Razmovski, R.N.; Miljić, U.D.; Puškaš, V.S. Removal of Cationic and Anionic Azo Dyes from Aqueous Solutions by Adsorption on Maize Stem Tissue. J. Taiwan Inst. Chem. Eng. 2014, 45, 1700–1708. [Google Scholar] [CrossRef]
- Yagub, M.T.; Sen, T.K.; Afroze, S.; Ang, H.M. Dye and Its Removal from Aqueous Solution by Adsorption: A Review. Adv. Colloid Interface Sci. 2014, 209, 172–184. [Google Scholar] [CrossRef]
- Malakootian, M.; Faraji, M.; Malakootian, M.; Nozari, M. Ciprofloxacin Removal from Aqueous Media by Adsorption Process: A Systematic Review and Meta-Analysis. Desalin. Water Treat. 2021, 229, 252–282. [Google Scholar] [CrossRef]
- Singh Nee Nigam, P.; Pandey, A. Biotechnology for Agro-Industrial Residues Utilisation: Utilisation of Agro-Residues; Springer: Dordrecht, The Netherlands, 2009; ISBN 9781402099410. [Google Scholar]
- Singh, M.; Ahsan, M.; Pandey, V.; Singh, A.; Mishra, D.; Tiwari, N.; Singh, P.; Karak, T.; Khare, P. Comparative Assessment for Removal of Anionic Dye from Water by Different Waste-Derived Biochar Vis a Vis Reusability of Generated Sludge. Biochar 2022, 4, 13. [Google Scholar] [CrossRef]
- Meseguer, V.F.; Ortuño, J.F.; Aguilar, M.I.; Lloréns, M.; Pérez-Marín, A.B.; Fuentes, E. Ciprofloxacin Uptake from an Aqueous Solution via Adsorption with K2CO3-Activated Biochar Derived from Brewing Industry Bagasse. Processes 2024, 12, 199. [Google Scholar] [CrossRef]
- Pérez-Marín, A.B.; Ortuño, J.F.; Aguilar, M.I.; Lloréns, M.; Meseguer, V.F. Competitive Effect of Zinc and Cadmium on the Biosorption of Chromium by Orange Waste. Processes 2024, 12, 148. [Google Scholar] [CrossRef]
- Zhang, M.; Wang, X. Egg White Protein–Soybean Protein Isolate Hierarchical Network Hydrogel for Enhanced Adsorption of Methylene Blue. Water 2024, 16, 3357. [Google Scholar] [CrossRef]
- Li, S.; Duan, Y.; Fang, J.; Chen, S.; Wang, J.; Jiang, H.; Xiao, R.; Ni, C.; Wu, S.; Deng, Q.; et al. Soybean Hull Hemicellulose-Soybean Protein Isolate Composite Aerogel: Adsorption Material for Remediation of Heavy Metal-Polluted Water. Int. J. Biol. Macromol. 2025, 310, 143298. [Google Scholar] [CrossRef] [PubMed]
- Ramírez-Rodríguez, L.C.; Mendoza-Castillo, D.I.; Bonilla-Petriciolet, A.; Jiménez-Junca, C. Comparison of Adsorption Performance of Nanocomposite Materials of Whey Protein Nanofibrils, Polycaprolactone and Activated Carbon for Mercury Removal. Environ. Nanotechnol. Monit. Manag. 2023, 20, 100826. [Google Scholar] [CrossRef]
- Rahmi; Depari, Y.; Julinawati; Tanjung, A.A.; Kacaribu, A.A. Broccoli Waste Protein Hydrolysate–Modified Chitosan with Iron Sand for Methylene Blue Adsorption from Water. Results Chem. 2026, 23, 103164. [Google Scholar] [CrossRef]
- Teklemedhin, T.B.; Wan, Z.; Hossain, N.; Guo, Y.; Li, H. Bio-Adsorbents Derived from Carbohydrates, Lignin, and Protein Biomass as Potential Environmental Remediation: A Comprehensive Review. Int. J. Biol. Macromol. 2025, 320, 145861. [Google Scholar] [CrossRef] [PubMed]
- Akdag, Z.; Ulag, S.; Kalaskar, D.M.; Duta, L.; Gunduz, O. Advanced Applications of Silk-Based Hydrogels for Tissue Engineering: A Short Review. Biomimetics 2023, 8, 612. [Google Scholar] [CrossRef] [PubMed]
- Lin, Y.; Zhao, L.; Jin, H.; Gu, Q.; Lei, L.; Fang, C.; Pan, X. Multifunctional Applications of Silk Fibroin in Biomedical Engineering: A Comprehensive Review on Innovations and Impact. Int. J. Biol. Macromol. 2025, 309, 143067. [Google Scholar] [CrossRef]
- Panneerselvam, D.; Murugesan, P.; Moses, J.A. Silk Fibroin and Prospective Applications in the Food Sector. Eur. Polym. J. 2024, 212, 113058. [Google Scholar] [CrossRef]
- Xu, L.; Wu, C.; Lay Yap, P.; Losic, D.; Zhu, J.; Yang, Y.; Qiao, S.; Ma, L.; Zhang, Y.; Wang, H. Recent Advances of Silk Fibroin Materials: From Molecular Modification and Matrix Enhancement to Possible Encapsulation-Related Functional Food Applications. Food Chem. 2024, 438, 137964. [Google Scholar] [CrossRef] [PubMed]
- Li, S.; Chen, H.; Dan, X.; Ju, Y.; Li, T.; Liu, B.; Li, Y.; Lei, L.; Fan, X. Silk Fibroin for Cosmetic Dermatology. Chem. Eng. J. 2025, 506, 159986. [Google Scholar] [CrossRef]
- Shi, P.; Goh, J.C.H. Self-Assembled Silk Fibroin Particles: Tunable Size and Appearance. Powder Technol. 2012, 215–216, 85–90. [Google Scholar] [CrossRef]
- Shilpa, M.; Harisha, K.S.; Thripthi, S.; Arpitha, M.A.; Sangappa, Y. Eco-Friendly Magnetic Silk Fibroin Films for Heavy Metal Adsorption in Water Purification. Next Mater. 2025, 9, 101062. [Google Scholar] [CrossRef]
- Farooq, M.U.; Khan, H.; Arshad, M.; Usama, M.; Khan, M.I.; Hussain, S.; Hamid, A. Unveiling the Biosorption Performance of Silk Fibroin Fiber for Pb(II) and Cr(VI) Removal: Machine Learning and DFT Analysis. J. Water Process Eng. 2024, 68, 106312. [Google Scholar] [CrossRef]
- Hassan, A.F.; Elhassanein, A.; Shaltout, W.A.; Ahmed, G.H.G. Efficient Hg2+ Adsorption Using a Silk Fibroin/MOF-2/Alginate Composite: Kinetics and Thermodynamics. Int. J. Biol. Macromol. 2025, 294, 139465. [Google Scholar] [CrossRef]
- Wang, X.; Liu, B.; Liu, Z.; Li, J.; Lu, R.; Gao, H.; Pan, C.; Zhou, W. Promising Adsorbent for Dye Detoxification: Exploring the Potential of Chitosan Sodium Carboxymethylcellulose Silk Fibroin Aerogel. Int. J. Biol. Macromol. 2024, 260, 129127. [Google Scholar] [CrossRef] [PubMed]
- Huang, J.; Mao, Y.; Wang, Y.; Xu, W. Modification of Ultrafine Silk Fibroin Powder for Efficient Oil/Water Separation. Adv. Powder Technol. 2025, 36, 104817. [Google Scholar] [CrossRef]
- Yaqub, A.; Zahid, M.; Un Nisa, M.; Iqbal, T.; Hussain Shah, K.; Samad Shah, N.; Draz, M.U. Sustainable Removal of Methylene Blue Dye from Textile Effluents by Magnetized Tea Waste and Peanut Shells. Chem. Eng. Sci. 2024, 299, 120498. [Google Scholar] [CrossRef]
- Patel, B.Y.; Patel, H.K. Current Approaches toward the Removal of Methylene Blue Dye from Synthetic Textile Effluent Using Bacterial Treated Agricultural Waste Absorbent through Statistical Design. Heliyon 2023, 9, e19857. [Google Scholar] [CrossRef] [PubMed]
- Xing, X.; Zhang, X.; Feng, Y.; Yang, X. Adsorption of Methylene Blue Dye on Feather Keratin/Silk Fibroin Porous Aerogels. J. Taiwan Inst. Chem. Eng. 2025, 166, 105298. [Google Scholar] [CrossRef]
- Salama, A. Cellulose/Silk Fibroin Assisted Calcium Phosphate Growth: Novel Biocomposite for Dye Adsorption. Int. J. Biol. Macromol. 2020, 165, 1970–1977. [Google Scholar] [CrossRef] [PubMed]
- Martis, L.J.; Parushuram, N.; Sangappa, Y. Preparation, Characterization, and Methylene Blue Dye Adsorption Study of Silk Fibroin–Graphene Oxide Nanocomposites. Environ. Sci. Adv. 2022, 1, 285–296. [Google Scholar] [CrossRef]
- Saad, M.; El-Samad, L.M.; Gomaa, R.A.; Augustyniak, M.; Hassan, M.A. A Comprehensive Review of Recent Advances in Silk Sericin: Extraction Approaches, Structure, Biochemical Characterization, and Biomedical Applications. Int. J. Biol. Macromol. 2023, 250, 126067. [Google Scholar] [CrossRef]
- Burgos Gomez, D.S.; Rada-Mendoza, M.; Chito-Trujillo, D.M. Optimization of the Green Conventional Extraction Method of Sericin from Silkworm. Polymers 2025, 17, 1823. [Google Scholar] [CrossRef] [PubMed]
- Manjubala, I.; Somaiya, Y.R.; Ye, C.Z.; Priya, G.; Narendrakumar, U. Extraction and Characterization of Sericin Protein from Bombyx mori. Environ. Eng. Manag. J. 2020, 19, 885–890. [Google Scholar] [CrossRef]
- Lozano-Pérez, A.A.; Montalbán, M.G.; Aznar-Cervantes, S.D.; Cragnolini, F.; Cenis, J.L.; Víllora, G. Production of Silk Fibroin Nanoparticles Using Ionic Liquids and High-Power Ultrasounds. J. Appl. Polym. Sci. 2015, 132, 41702. [Google Scholar] [CrossRef]
- Sangoremi, A.A. Adsorption Kinetic Models and Their Applications: A Critical Review. Int. J. Res. Sci. Innov. 2025, XII, 245–258. [Google Scholar] [CrossRef]
- Barkakati, P.; Begum, A.; Das, M.L.; Rao, P.G. Adsorptive Separation of Ginsenoside from Aqueous Solution by Polymeric Resins: Equilibrium, Kinetic and Thermodynamic Studies. Chem. Eng. J. 2010, 161, 34–45. [Google Scholar] [CrossRef]
- Largitte, L.; Pasquier, R. A Review of the Kinetics Adsorption Models and Their Application to the Adsorption of Lead by an Activated Carbon. Chem. Eng. Res. Des. 2016, 109, 495–504. [Google Scholar] [CrossRef]
- Zhang, J.; Xiao, H.; Zhao, Y. Hemicellulose-Based Absorbent toward Dye: Adsorption Equilibrium and Kinetics Studies. J. Environ. Inform. 2014, 24, 32–38. [Google Scholar] [CrossRef]
- Majd, M.M.; Kordzadeh-Kermani, V.; Ghalandari, V.; Askari, A.; Sillanpää, M. Adsorption Isotherm Models: A Comprehensive and Systematic Review (2010−2020). Sci. Total Environ. 2022, 812, 151334. [Google Scholar] [CrossRef] [PubMed]
- Al-Ghouti, M.A.; Da’ana, D.A. Guidelines for the Use and Interpretation of Adsorption Isotherm Models: A Review. J. Hazard. Mater. 2020, 393, 122383. [Google Scholar] [CrossRef]
- Rangabhashiyam, S.; Anu, N.; Giri Nandagopal, M.S.; Selvaraju, N. Relevance of Isotherm Models in Biosorption of Pollutants by Agrocultural Byproducts. J. Environ. Chem. Eng. 2014, 2, 398–414. [Google Scholar] [CrossRef]
- Rajabi, M.; Keihankhadiv, S.; Suhas; Tyagi, I.; Karri, R.R.; Chaudhary, M.; Mubarak, N.M.; Chaudhary, S.; Kumar, P.; Singh, P. Comparison and Interpretation of Isotherm Models for the Adsorption of Dyes, Proteins, Antibiotics, Pesticides and Heavy Metal Ions on Different Nanomaterials and Non-Nano Materials—A Comprehensive Review. J. Nanostructure Chem. 2023, 13, 43–65. [Google Scholar] [CrossRef]
- Mudalige, T.; Qu, H.; Van Haute, D.; Ansar, S.M.; Paredes, A.; Ingle, T. Characterization of Nanomaterials: Tools and Challenges. In Nanomaterials for Food Applications; Elsevier: Amsterdam, The Netherlands, 2019; pp. 313–353. ISBN 9780128141311. [Google Scholar]
- Abosabaa, S.A.; Elmeshad, A.N.; Arafa, M.G. Chitosan Nanocarrier Entrapping Hydrophilic Drugs as Advanced Polymeric System for Dual Pharmaceutical and Cosmeceutical Application: A Comprehensive Analysis Using Box–Behnken Design. Polymers 2021, 13, 677. [Google Scholar] [CrossRef]
- Danaei, M.; Dehghankhold, M.; Ataei, S.; Hasanzadeh Davarani, F.; Javanmard, R.; Dokhani, A.; Khorasani, S.; Mozafari, M.R. Impact of Particle Size and Polydispersity Index on the Clinical Applications of Lipidic Nanocarrier Systems. Pharmaceutics 2018, 10, 57. [Google Scholar] [CrossRef]
- Şahin, Ş.; Kaya-Tilki, E.; Baysal, M.; Öztürk, A.A. Preparation and Evaluation of Temozolomide Loaded PLGA Nanoparticles for the Treatment of Glioblastoma Multiforme. Sci. Rep. 2025, 15, 36194. [Google Scholar] [CrossRef] [PubMed]
- Filho, I.K.; Machado, C.S.; Diedrich, C.; Karam, T.K.; Nakamura, C.V.; Khalil, N.M.; Mainardes, R.M. Optimized Chitosan-Coated Gliadin Nanoparticles Improved the Hesperidin Cytotoxicity over Tumor Cells. Braz. Arch. Biol. Technol. 2021, 64, e21200795. [Google Scholar] [CrossRef]
- Romero-Pérez, A.; García-García, E.; Zavaleta-Mancera, A.; Ramírez-Bribiesca, J.E.; Revilla-Vázquez, A.; Hernández-Calva, L.M.; López-Arellano, R.; Cruz-Monterrosa, R.G. Designing and Evaluation of Sodium Selenite Nanoparticles in Vitro to Improve Selenium Absorption in Ruminants. Vet. Res. Commun. 2010, 34, 71–79. [Google Scholar] [CrossRef] [PubMed]
- do Nascimento, T.G.; da Silva, P.F.; Azevedo, L.F.; da Rocha, L.G.; de Moraes Porto, I.C.C.; Lima e Moura, T.F.A.; Basílio-Júnior, I.D.; Grillo, L.A.M.; Dornelas, C.B.; Fonseca, E.d.S.J.; et al. Polymeric Nanoparticles of Brazilian Red Propolis Extract: Preparation, Characterization, Antioxidant and Leishmanicidal Activity. Nanoscale Res. Lett. 2016, 11, 301. [Google Scholar] [CrossRef] [PubMed]
- Zhao, W.; Huang, X.; Wang, Y.; Sun, S.; Zhao, C. A Recyclable and Regenerable Magnetic Chitosan Absorbent for Dye Uptake. Carbohydr. Polym. 2016, 150, 201–208. [Google Scholar] [CrossRef] [PubMed]
- Bertoni, F.A.; Medeot, A.C.; Gonzalez, J.C.; Sala, L.F.; Bellu, S.E. Application of Green Seaweed Biomass for Mo(VI) Sorption from Contaminated Waters. Kinetic, Thermodynamic and Continuous Sorption Studies. J. Colloid Interface Sci. 2015, 446, 122–132. [Google Scholar] [CrossRef] [PubMed]
- Pavasant, P.; Apiratikul, R.; Sungkhum, V.; Suthiparinyanont, P.; Wattanachira, S.; Marhaba, T.F. Biosorption of Cu2+, Cd2+, Pb2+, and Zn2+ Using Dried Marine Green Macroalga Caulerpa Lentillifera. Bioresour. Technol. 2006, 97, 2321–2329. [Google Scholar] [CrossRef]
- Guyo, U.; Mhonyera, J.; Moyo, M. Pb(II) Adsorption from Aqueous Solutions by Raw and Treated Biomass of Maize Stover—A Comparative Study. Process Saf. Environ. Prot. 2015, 93, 192–200. [Google Scholar] [CrossRef]
- Masoumi, A.; Hemmati, K.; Ghaemy, M. Low-Cost Nanoparticles Sorbent from Modified Rice Husk and a Copolymer for Efficient Removal of Pb(II) and Crystal Violet from Water. Chemosphere 2016, 146, 253–262. [Google Scholar] [CrossRef] [PubMed]
- Pham, D.T.; Ha, P.T.M.; Pham, N.B.; Nguyen, N.Y.; Vo, N.T.; Dang, D.K.; Ra, D.S.; Pham-Phan, A.M.; Nguyen, M.Q.; Thuy, B.T.P. Silk-Based Microparticles for the Adsorption of Methylene Blue: Formulations, Characterization, Adsorption Study, in Silico Molecular Docking, and Molecular Dynamics Simulation. RSC Adv. 2025, 15, 14042–14057. [Google Scholar] [CrossRef]
- de Moraes, M.A.; Nogueira, G.M.; Weska, R.F.; Beppu, M.M. Preparation and Characterization of Insoluble Silk Fibroin/Chitosan Blend Films. Polymers 2010, 2, 719–727. [Google Scholar] [CrossRef]
- Cheng, G.; Wang, X.; Tao, S.; Xia, J.; Xu, S. Differences in Regenerated Silk Fibroin Prepared with Different Solvent Systems: From Structures to Conformational Changes. J. Appl. Polym. Sci. 2015, 132, 41959. [Google Scholar] [CrossRef]
- Wang, H.-Y.; Zhang, Y.-Q. Processing and Characterisation of a Novel Electropolymerized Silk Fibroin Hydrogel Membrane. Sci. Rep. 2014, 4, 6182. [Google Scholar] [CrossRef] [PubMed]
- Zhang, H.; Li, L.-L.; Dai, F.-Y.; Zhang, H.-H.; Ni, B.; Zhou, W.; Yang, X.; Wu, Y.-Z. Preparation and Characterization of Silk Fibroin as a Biomaterial with Potential for Drug Delivery. J. Transl. Med. 2012, 10, 117. [Google Scholar] [CrossRef] [PubMed]
- Parushuram, N.; Ranjana, R.; Harisha, K.S.; Shilpa, M.; Narayana, B.; Neelakandan, R.; Sangappa, Y. Silk Fibroin and Silk Fibroin-Gold Nanoparticles Nanocomposite Films: Sustainable Adsorbents for Methylene Blue Dye. J. Dispers. Sci. Technol. 2022, 43, 1161–1176. [Google Scholar] [CrossRef]
- Parushuram, N.; Ranjana, R.; Narayana, B.; Mahendra, M.; Sangappa, Y. Facile Fabrication of Silk Fibroin Microparticles: Their Characterization and Potential Adsorption Study. J. Dispers. Sci. Technol. 2020, 42, 1513.1531. [Google Scholar] [CrossRef]
- Ovchinnikov, O.V.; Evtukhova, A.V.; Kondratenko, T.S.; Smirnov, M.S.; Khokhlov, V.Y.; Erina, O.V. Manifestation of Intermolecular Interactions in FTIR Spectra of Methylene Blue Molecules. Vib. Spectrosc. 2016, 86, 181–189. [Google Scholar] [CrossRef]
- Koroma, J.M.; Pu, K.; Zhang, H.; Bai, J.; Almouctar, M.S.; Wang, Y. Methylene Blue Adsorption on Parinari Excelsa Biochar in Aqueous Solution. Desalin. Water Treat. 2021, 233, 351–360. [Google Scholar] [CrossRef]
- Zaheer, Z.; AbuBaker Bawazir, W.; Al-Bukhari, S.M.; Basaleh, A.S. Adsorption, Equilibrium Isotherm, and Thermodynamic Studies to the Removal of Acid Orange 7. Mater. Chem. Phys. 2019, 232, 109–120. [Google Scholar] [CrossRef]
- Al-Zawahreh, K.; Barral, M.T.; Al-Degs, Y.; Paradelo, R. Comparison of the Sorption Capacity of Basic, Acid, Direct and Reactive Dyes by Compost in Batch Conditions. J. Environ. Manag. 2021, 294, 113005. [Google Scholar] [CrossRef] [PubMed]
- Khataee, A.R.; Vafaei, F.; Jannatkhah, M. Biosorption of Three Textile Dyes from Contaminated Water by Filamentous Green Algal Spirogyra Sp.: Kinetic, Isotherm and Thermodynamic Studies. Int. Biodeterior. Biodegrad. 2013, 83, 33–40. [Google Scholar] [CrossRef]
- Shi, Y.; Song, G.; Li, A.; Wang, J.; Wang, H.; Sun, Y.; Ding, G. Graphene Oxide-Chitosan Composite Aerogel for Adsorption of Methyl Orange and Methylene Blue: Effect of PH in Single and Binary Systems. Colloids Surf. A Physicochem. Eng. Asp. 2022, 641, 128595. [Google Scholar] [CrossRef]
- Alizadeh, N.; Salimi, A.; Rashidzadeh, B. Eco-Friendly Preparation of Carbon-Silica Modified Calcium Aluminosilicate Nanoparticles Using Waste Coal Ash for Collaborative Adsorption and Degradation of Methylene Blue. Results Chem. 2025, 18, 102787. [Google Scholar] [CrossRef]
- Bakhtaoui, Y.; Ben Ali, M.; Ouakki, M.; El Khattabi, O.; El Azzouzi, N.; Srhir, B. Efficient Adsorption of Methylene Blue onto Raw Olive Pomace from Moroccan Industrial Oil Mills: Linear and Nonlinear Isotherm and Kinetic Modeling with Error Analysis. Next Mater. 2025, 9, 101072. [Google Scholar] [CrossRef]
- Meseguer, V.F.; Ortuño, J.F.; Aguilar, M.I.; Pinzón-Bedoya, M.L.; Lloréns, M.; Sáez, J.; Pérez-Marín, A.B. Biosorption of Cadmium (II) from Aqueous Solutions by Natural and Modified Non-Living Leaves of Posidonia Oceanica. Environ. Sci. Pollut. Res. 2016, 23, 24032–24046. [Google Scholar] [CrossRef] [PubMed]
- Hanafiah, M.A.K.M.; Mohd Jamaludin, S.Z.; Khalid, K.; Ibrahim, S. Methylene Blue Adsorption on Aloe Vera Rind Powder: Kinetics, Isotherm and Mechanisms. Nat. Environ. Pollut. Technol. 2018, 17, 1055–1064. [Google Scholar]
- Liu, X.; Han, B.; Su, C.L.; Han, Q.; Chen, K.J.; Chen, Z. qiong Optimization and Mechanisms of Biosorption Process of Zn(II) on Rape Straw Powders in Aqueous Solution. Environ. Sci. Pollut. Res. 2019, 26, 32151–32164. [Google Scholar] [CrossRef]
- Paska, O.M.; Pacurariu, C.; Muntean, S.G. Kinetic and Thermodynamic Studies on Methylene Blue Biosorption Using Corn-Husk. RSC Adv. 2014, 4, 62621–62630. [Google Scholar] [CrossRef]
- Mitrogiannis, D.; Markou, G.; Çelekli, A.; Bozkurt, H. Biosorption of Methylene Blue onto Arthrospira Platensis Biomass: Kinetic, Equilibrium and Thermodynamic Studies. J. Environ. Chem. Eng. 2015, 3, 670–680. [Google Scholar] [CrossRef]
- Makrygianni, M.; Lada, Z.G.; Manousou, A.; Aggelopoulos, C.A.; Deimede, V. Removal of Anionic Dyes from Aqueous Solution by Novel Pyrrolidinium-Based Polymeric Ionic Liquid (PIL) as Adsorbent: Investigation of the Adsorption Kinetics, Equilibrium Isotherms and the Adsorption Mechanisms Involved. J. Environ. Chem. Eng. 2019, 7, 103163. [Google Scholar] [CrossRef]
- Lugo-Lugo, V.; Hernandez-Lopez, S.; Barrera-Diaz, C.; Urena-Nunez, F.; Bilyeu, B. A Comparative Study of Natural, Formaldehyde-Treated and Copolymer-Grafted Orange Peel for Pb(II) Adsorption under Batch and Continuous Mode. J. Hazard. Mater. 2009, 161, 1255–1264. [Google Scholar] [CrossRef] [PubMed]
- Wu, F.-C.; Tseng, R.-L.; Juang, R.-S. Characteristics of Elovich Equation Used for the Analysis of Adsorption Kinetics in Dye-Chitosan Systems. Chem. Eng. J. 2009, 150, 366–373. [Google Scholar] [CrossRef]
- Renugadevi, N.; Krishnaveni, J. Kinetic Modelling of the Adsorption of Methylene Blue onto Blue Green Algae. Res. J. Chem. Environ. 2012, 16, 120–124. [Google Scholar]
- Cabal, B.; Ania, C.O.; Parra, J.B.; Pis, J.J. Kinetics of Naphthalene Adsorption on an Activated Carbon: Comparison between Aqueous and Organic Media. Chemosphere 2009, 76, 433–438. [Google Scholar] [CrossRef]
- Ma, J.; Huang, D.; Zou, J.; Li, L.; Kong, Y.; Komarneni, S. Adsorption of Methylene Blue and Orange II Pollutants on Activated Carbon Prepared from Banana Peel. J. Porous Mater. 2015, 22, 301–311. [Google Scholar] [CrossRef]
- Shikuku, V.O.; Jemutai-Kimosop, S. Efficient Removal of Sulfamethoxazole onto Sugarcane Bagasse-Derived Biochar: Two and Three-Parameter Isotherms, Kinetics and Thermodynamics. S. Afr. J. Chem. 2020, 73, 111–119. [Google Scholar]
- Singh, R.; Singh, T.S.; Odiyo, J.O.; Smith, J.A.; Edokpayi, J.N. Evaluation of Methylene Blue Sorption onto Low-Cost Biosorbents: Equilibrium, Kinetics, and Thermodynamics. J. Chem. 2020, 2020, 8318049. [Google Scholar] [CrossRef]
- Lobo, W.V.; de Souza, L.K.C.; Kumar, V.; de Freitas, F.A. Eco-Friendly Adsorption of Methylene Blue and Remazol Brilliant Blue R from Effluents Using Chemically Modified Açaí Seeds. Surf. Interfaces 2025, 72, 106970. [Google Scholar] [CrossRef]
- Xiao, S.; Wang, Z.; Ma, H.; Yang, H.; Xu, W. Effective Removal of Dyes from Aqueous Solution Using Ultrafine Silk Fibroin Powder. Adv. Powder Technol. 2014, 25, 574–581. [Google Scholar] [CrossRef]
- McKay, G.; Porter, J.F.; Prasad, G.R. The Removal of Dye Colours from Aqueous Solutions by Adsorption on Low-Cost Materials. Water Air Soil Pollut. 1999, 114, 423–438. [Google Scholar] [CrossRef]
- Hameed, B.H.; Ahmad, A.A. Batch Adsorption of Methylene Blue from Aqueous Solution by Garlic Peel, an Agricultural Waste Biomass. J. Hazard. Mater. 2009, 164, 870–875. [Google Scholar] [CrossRef] [PubMed]
- Dutta, S.; Bhattacharyya, A.; Ganguly, A.; Gupta, S.; Basu, S. Application of Response Surface Methodology for Preparation of Low-Cost Adsorbent from Citrus Fruit Peel and for Removal of Methylene Blue. Desalination 2011, 275, 26–36. [Google Scholar] [CrossRef]
- Gouamid, M.; Ouahrani, M.R.; Bensaci, M.B. Adsorption Equilibrium, Kinetics and Thermodynamics of Methylene Blue from Aqueous Solutions Using Date Palm Leaves. Energy Procedia 2013, 36, 898–907. [Google Scholar] [CrossRef]
- Jawad, A.H.; Rashid, R.A.; Mahmuod, R.M.A.; Ishak, M.A.M.; Kasim, N.N.; Ismail, K. Adsorption of Methylene Blue onto Coconut (Cocos Nucifera) Leaf: Optimization, Isotherm and Kinetic Studies. Desalin. Water Treat. 2016, 57, 8839–8853. [Google Scholar] [CrossRef]
- Wong, K.T.; Eu, N.C.; Ibrahim, S.; Kim, H.; Yoon, Y.; Jang, M. Recyclable Magnetite-Loaded Palm Shell-Waste Based Activated Carbon for the Effective Removal of Methylene Blue from Aqueous Solution. J. Clean. Prod. 2016, 115, 337–342. [Google Scholar] [CrossRef]
- Ma, H.; Li, J.-B.; Liu, W.-W.; Miao, M.; Cheng, B.-J.; Zhu, S.-W. Novel Synthesis of a Versatile Magnetic Adsorbent Derived from Corncob for Dye Removal. Bioresour. Technol. 2015, 190, 13–20. [Google Scholar] [CrossRef] [PubMed]
- Ying, Z.; Chen, X.; Li, H.; Liu, X.; Zhang, C.; Zhang, J.; Yi, G. Efficient Adsorption of Methylene Blue by Porous Biochar Derived from Soybean Dreg Using a One-Pot Synthesis Method. Molecules 2021, 26, 661. [Google Scholar] [CrossRef]
- Utomo, H.D.; Phoon, R.Y.N.; Shen, Z.; Ng, L.H.; Lim, Z.B. Removal of Methylene Blue Using Chemically Modified Sugarcane Bagasse. Nat. Resour. 2015, 6, 209. [Google Scholar] [CrossRef]
- Jong, T.S.; Yoo, C.Y.; Kiew, P.L. Feasibility Study of Methylene Blue Adsorption Using Magnetized Papaya Seeds. Prog. Energy Environ. 2020, 14, 1–12. [Google Scholar]
- Ofomaja, A.E.; Ho, Y.S. Equilibrium Sorption of Anionic Dye from Aqueous Solution by Palm Kernel Fibre as Sorbent. Dye. Pigment. 2007, 74, 60–66. [Google Scholar] [CrossRef]
- Annadurai, G.; Juang, R.S.; Lee, D.J. Use of Cellulose-Based Wastes for Adsorption of Dyes from Aqueous Solutions. J. Hazard. Mater. 2002, 92, 263–274. [Google Scholar] [CrossRef] [PubMed]
- Yusop, M.F.M.; Ahmad, M.A.; Rosli, N.A.; Manaf, M.E.A. Adsorption of Cationic Methylene Blue Dye Using Microwave-Assisted Activated Carbon Derived from Acacia Wood: Optimization and Batch Studies. Arab. J. Chem. 2021, 14, 103122. [Google Scholar] [CrossRef]
- Coşkun, Y.İ. Adsorptive Methylene Blue Removal Using Modified Agricultural Wastes. Desalin. Water Treat. 2023, 315, 49–61. [Google Scholar] [CrossRef]
- Salazar-Rabago, J.J.; Leyva-Ramos, R.; Rivera-Utrilla, J.; Ocampo-Perez, R.; Cerino-Cordova, F.J. Biosorption Mechanism of Methylene Blue from Aqueous Solution onto White Pine (Pinus durangensis) Sawdust: Effect of Operating Conditions. Sustain. Environ. Res. 2017, 27, 32–40. [Google Scholar] [CrossRef]
- Bhatti, H.N.; Akhtar, N.; Saleem, N. Adsorptive Removal of Methylene Blue by Low-Cost Citrus Sinensis Bagasse: Equilibrium, Kinetic and Thermodynamic Characterization. Arab. J. Sci. Eng. 2012, 37, 9–18. [Google Scholar] [CrossRef]
- Jawad, A.H.; Sabar, S.; Ishak, M.A.M.; Wilson, L.D.; Ahmad Norrahma, S.S.; Talari, M.K.; Farhan, A.M. Microwave-Assisted Preparation of Mesoporous-Activated Carbon from Coconut (Cocos Nucifera) Leaf by H3PO4 Activation for Methylene Blue Adsorption. Chem. Eng. Commun. 2017, 204, 1143–1156. [Google Scholar] [CrossRef]
- Nasuha, N.; Hameed, B.H. Adsorption of Methylene Blue from Aqueous Solution onto NaOH-Modified Rejected Tea. Chem. Eng. J. 2011, 166, 783–786. [Google Scholar] [CrossRef]
- Wongpanit, P.; Rujiravanit, R. Combinatorial Effects of Charge Characteristics and Hydrophobicity of Silk Fibroin on the Sorption and Release of Charged Dyes. J. Biomater. Sci. Polym. Ed. 2012, 23, 1199–1215. [Google Scholar] [CrossRef] [PubMed]
- Sannino, F.; Allia, P.; Barrera, G.; Cinquegrana, A.; Cirillo, C.; Latte, A.; Sonia Olivetti, E.; Maria Tiberto, P.; Pirozzi, D. Two Alternative Approaches for the Magnetic Adsorption of the Hydrophobic Dye Methylene Blue. J. Mol. Liq. 2024, 409, 125395. [Google Scholar] [CrossRef]
- Pollard, T.D.; Earnshaw, W.C.; Lippincott-Schwartz, J.; Johnson, G.T. Chapter 4—Biophysical Principles. In Cell Biology, 3rd ed.; Elsevier: Amsterdam, The Netherlands, 2017; pp. 53–62. ISBN 9780323341264. [Google Scholar]
- Rosales, E.; Meijide, J.; Pazos, M.; Sanromán, M.A. Challenges and Recent Advances in Biochar as Low-Cost Biosorbent: From Batch Assays to Continuous-Flow Systems. Bioresour. Technol. 2017, 246, 176–192. [Google Scholar] [CrossRef]
Disclaimer/Publisher’s Note: The statements, opinions and data contained in all publications are solely those of the individual author(s) and contributor(s) and not of MDPI and/or the editor(s). MDPI and/or the editor(s) disclaim responsibility for any injury to people or property resulting from any ideas, methods, instructions or products referred to in the content. |
© 2026 by the authors. Licensee MDPI, Basel, Switzerland. This article is an open access article distributed under the terms and conditions of the Creative Commons Attribution (CC BY) license.






