Life Cycle Assessment of Industrial Symbiosis for Circular Solid Waste Management: A Literature Review
Abstract
1. Introduction
2. Materials and Methods
2.1. Selection of Case Studies
2.2. Content Analysis
- Geographical scope;
- Background of IS cases;
- Scale of IS;
- Sectors involved (industrial diversity);
- Type of symbiotic exchanges;
- Type of solid materials exchanged.
- Goal and Scope: focus, functional unit, definition of system boundaries, LCA approaches, and use of other sustainability assessment methods;
- Life Cycle Inventory Analysis: LC inventory;
- Life Cycle Impact Assessment: impact assessment methods and categories, assessment of multiple scenarios;
- Interpretation: quality of output data (results details and classification of levels), sensitivity analysis, uncertainty analysis, interpretation of results, and recommendations.
2.3. Cross-Field Analysis
3. Results and Discussion
3.1. General Characteristics of the Selected Literature Corpus
3.2. Characterization of IS Cases
3.2.1. Geographical Scope
3.2.2. Background of IS Cases
3.2.3. Scale of IS
3.2.4. Sectors Involved (Industrial Diversity)
3.2.5. Type of Symbiotic Exchanges
3.2.6. Type of Solid Material Exchanged
3.3. Characterization of LCA Methodologies
3.3.1. Goal and Scope
Focus
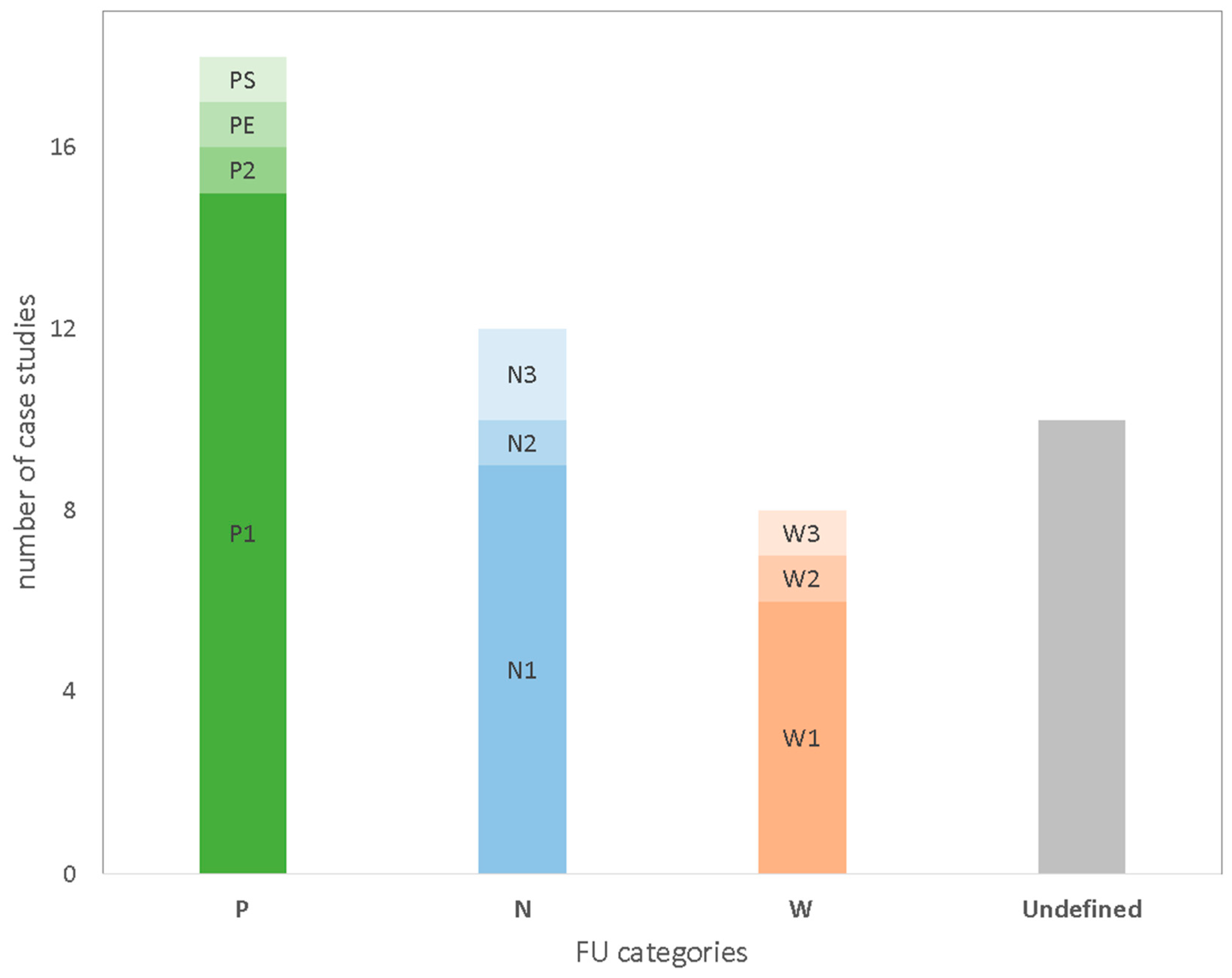
Functional Unit (FU)
Definition of System Boundaries
LCA Approaches and Use of Other Assessment Methods
3.3.2. Life Cycle Inventory (LCI)
Life Cycle Inventory
3.3.3. Life Cycle Impact Assessment
Impact Assessment Methods and Impact Categories
Assessment of Multiple Scenarios
3.3.4. Interpretation
Results Details and Classification of Levels
Sensitivity and Uncertainty Analysis
Interpretation of IS Results and Recommendations
3.4. Limitation of the Study
3.5. Future Directions
4. Conclusions
Supplementary Materials
Author Contributions
Funding
Data Availability Statement
Conflicts of Interest
Abbreviations
| BAU | Business As Usual |
| ENA | Ecological Network Analysis |
| EPD | Environmental Product Declaration |
| EU | European Union |
| FU | Functional Unit |
| GHG | Greenhouse Gases |
| IPCC | Intergovernmental Panel on Climate Change |
| IS | Industrial Symbiosis |
| ISN | Industrial Symbiosis Network |
| ISO | International Organization for Standardization |
| LCA | Life Cycle Assessment |
| LCC | Life Cycle Cost |
| LCI | Life Cycle Inventory |
| LCSA | Life Cycle Sustainability Assessment |
| MFA | Mass Flow Analysis |
| SME | Small–Medium Enterprises |
| UIS | Urban Industrial Symbiosis |
References
- Chertow, M.R. Industrial Symbiosis: Literature and Taxonomy. Annu. Rev. Energy Environ. 2000, 25, 313–337. [Google Scholar] [CrossRef]
- Neves, A.; Godina, R.; Azevedo, S.G.; Pimentel, C.; Matias, J.C.O. The Potential of Industrial Symbiosis: Case Analysis and Main Drivers and Barriers to Its Implementation. Sustainability 2019, 11, 7095. [Google Scholar] [CrossRef]
- Demartini, M.; Tonelli, F.; Govindan, K. An Investigation into Modelling Approaches for Industrial Symbiosis: A Literature Review and Research Agenda. Clean. Logist. Supply Chain 2022, 3, 100020. [Google Scholar] [CrossRef]
- Yu, C.; Davis, C.; Dijkema, G.P. Understanding the Evolution of Industrial Symbiosis Research: A Bibliometric and Network Analysis (1997–2012). J. Ind. Ecol. 2013, 18, 280–293. [Google Scholar] [CrossRef]
- Ardente, F.; Cellura, M.; Brano, V.L.; Mistretta, M. Life Cycle Assessment-Driven Selection of Industrial Ecology Strategies. Integr. Environ. Assess. Manag. 2010, 6, 52–60. [Google Scholar] [CrossRef]
- Mattila, T.J.; Pakarinen, S.; Sokka, L. Quantifying the Total Environmental Impacts of an Industrial Symbiosis: A Comparison of Process-, Hybrid-, and Input–Output-Based Life Cycle Assessment. Environ. Sci. Technol. 2010, 44, 4309–4314. [Google Scholar] [CrossRef]
- Zhang, Y.; Zheng, H.; Chen, B.; Su, M.; Liu, G. A Review of Industrial Symbiosis Research: Theory and Methodology. Front. Earth Sci. 2015, 9, 91–104. [Google Scholar] [CrossRef]
- Rahman, M.F.; Islam, K.; Islam, K.N. Industrial Symbiosis: A Review on Uncovering Approaches, Opportunities, Barriers and Policies. J. Civ. Eng. Environ. Sci. 2016, 2, 11–19. [Google Scholar] [CrossRef]
- Felicio, M.; Amaral, D.; Esposto, K.; Durany, X.G. Industrial Symbiosis Indicators to Manage Eco-Industrial Parks as Dynamic Systems. J. Clean. Prod. 2016, 118, 54–64. [Google Scholar] [CrossRef]
- Daddi, T.; Nucci, B.; Iraldo, F. Using Life Cycle Assessment (LCA) to Measure the Environmental Benefits of Industrial Symbiosis in an Industrial Cluster of SMEs. J. Clean. Prod. 2017, 147, 157–164. [Google Scholar] [CrossRef]
- ISO 14040; Environmental Management—Life Cycle Assessment—Principles and Framework. International Organization for Standardization: Geneva, Switzerland, 2006.
- ISO 14044; Environmental Management—Life Cycle Assessment—Requirements and Guidelines. International Organisation for Standardisation: Geneva, Switzerland, 2006.
- Kerdlap, P.; Low, J.S.C.; Ramakrishna, S. Life Cycle Environmental and Economic Assessment of Industrial Symbiosis Networks: A Review of the Past Decade of Models and Computational Methods through a Multi-Level Analysis Lens. Int. J. Life Cycle Assess. 2020, 25, 1660–1679. [Google Scholar] [CrossRef]
- Kerdlap, P.; Low, J.S.C.; Tan, D.Z.L.; Yeo, Z.; Ramakrishna, S. M3-IS-LCA: A Methodology for Multi-Level Life Cycle Environmental Performance Evaluation of Industrial Symbiosis Networks. Resour. Conserv. Recycl. 2020, 161, 104963. [Google Scholar] [CrossRef]
- European Commission. European Platform on LCA|EPLCA. 2025. Available online: https://eplca.jrc.ec.europa.eu/ (accessed on 17 September 2025).
- Yeo, Z.; Masi, D.; Low, J.S.C.; Ng, Y.T.; Tan, P.S.; Barnes, S. Tools for promoting industrial symbiosis: A systematic review. J. Ind. Ecol. 2019, 23, 1087–1108. [Google Scholar] [CrossRef]
- Mattila, T.; Lehtoranta, S.; Sokka, L.; Melanen, M.; Nissinen, A. Methodological Aspects of Applying Life Cycle Assessment to Industrial Symbioses. J. Ind. Ecol. 2012, 16, 51–60. [Google Scholar] [CrossRef]
- Martin, M.; Svensson, N.; Eklund, M. Who gets the benefits? An approach for assessing the environmental performance of industrial symbiosis. J. Clean. Prod. 2015, 98, 263–271. [Google Scholar] [CrossRef]
- Aissani, L.; Lacassagne, A.; Bahers, J.B.; Léonard de Féon, S. Life Cycle Assessment of Industrial Symbiosis: A Critical Review of Relevant Reference Scenarios. J. Ind. Ecol. 2019, 23, 972–985. [Google Scholar] [CrossRef]
- Wadström, C.; Johansson, M.; Wallen, M. A Framework for Studying Outcomes in Industrial Symbiosis. Renew. Sustain. Energy Rev. 2021, 151, 111526. [Google Scholar] [CrossRef]
- Neves, A.; Godina, R.; Azevedo, S.G.; Matias, J.C.O. A comprehensive review of industrial symbiosis. J. Clean. Prod. 2020, 247, 119113. [Google Scholar] [CrossRef]
- Ali, A.K.; Kio, P.N.; Alvarado, J.; Wang, Y. Symbiotic Circularity in Buildings: An Alternative Path for Valorizing Sheet Metal Waste Stream as Metal Building Facades. Waste Biomass Valoriz. 2020, 11, 7127–7145. [Google Scholar] [CrossRef]
- Ammenberg, J.; Baas, L.; Eklund, M.; Feiz, R.; Helgstrand, A.; Marshall, R. Improving the CO2 Performance of Cement, Part III: The Relevance of Industrial Symbiosis and How to Measure Its Impact. J. Clean. Prod. 2015, 98, 145–155. [Google Scholar] [CrossRef]
- Ansanelli, G.; Fiorentino, G.; Chifari, R.; Meisterl, K.; Leccisi, E.; Zucaro, A. Sustainability Assessment of Coffee Silverskin Waste Management in the Metropolitan City of Naples (Italy): A Life Cycle Perspective. Sustainability 2023, 15, 16281. [Google Scholar] [CrossRef]
- Bastias, F.A.; Rodríguez, P.D.; Arena, A.P.; Peiró, L.T. Measuring the Symbiotic Performance of Single Entities within Networks Using an LCA Approach. J. Environ. Chem. Eng. 2023, 11, 111023. [Google Scholar] [CrossRef]
- Arcentales-Bastidas, D.; Silva, C.; Ramirez, A.D. The Environmental Profile of Ethanol Derived from Sugarcane in Ecuador: A Life Cycle Assessment Including the Effect of Cogeneration of Electricity in a Sugar Industrial Complex. Energies 2022, 15, 5421. [Google Scholar] [CrossRef]
- Barrau, E.; Tanguy, A.; Glaus, M. Closing the Loop: Structural, Environmental and Regional Assessments of Industrial Symbiosis. Sustain. Prod. Consum. 2024, 50, 87–97. [Google Scholar] [CrossRef]
- Blengini, G.A.; Busto, M.; Fantoni, M.; Fino, D. Eco-Efficient Waste Glass Recycling: Integrated Waste Management and Green Product Development through LCA. Waste Manag. 2012, 32, 1000–1008. [Google Scholar] [CrossRef] [PubMed]
- Capucha, F.; Henriques, J.; Ferrão, P.; Iten, M.; Margarido, F. Analysing Industrial Symbiosis Implementation in European Cement Industry: An Applied Life Cycle Assessment Perspective. Int. J. Life Cycle Assess. 2023, 28, 516–535. [Google Scholar] [CrossRef]
- Chertow, M.; Gordon, M.; Hirsch, P.; Ramaswami, A. Industrial Symbiosis Potential and Urban Infrastructure Capacity in Mysuru, India. Environ. Res. Lett. 2019, 14, 075003. [Google Scholar] [CrossRef]
- Deschamps, J.; Simon, B.; Tagnit-Hamou, A.; Amor, B. Is open-loop recycling the lowest preference in a circular economy? Answering through LCA of glass powder in concrete. J. Clean. Prod. 2018, 185, 14–22. [Google Scholar] [CrossRef]
- Di Maria, A.; Salman, M.; Dubois, M.; Van Acker, K. Life cycle assessment to evaluate the environmental performance of new construction material from stainless steel slag. Int. J. Life Cycle Assess. 2018, 23, 2091–2109. [Google Scholar] [CrossRef]
- Dong, H.; Ohnishi, S.; Fujita, T.; Geng, Y.; Fujii, M.; Dong, L. Achieving carbon emission reduction through industrial & urban symbiosis: A case of Kawasaki. Energy 2014, 64, 277–286. [Google Scholar] [CrossRef]
- Dong, L.; Liang, H.; Zhang, L.; Liu, Z.; Gao, Z.; Hu, M. Highlighting regional eco-industrial development: Life cycle benefits of an urban industrial symbiosis and implications in China. Ecol. Model. 2017, 361, 164–176. [Google Scholar] [CrossRef]
- Eckelman, M.J.; Chertow, M.R. Life cycle energy and environmental benefits of a US industrial symbiosis. Int. J. Life Cycle Assess. 2013, 18, 1524–1532. [Google Scholar] [CrossRef]
- Geng, Y.; Tsuyoshi, F.; Chen, X. Evaluation of innovative municipal solid waste management through urban symbiosis: A case study of Kawasaki. J. Clean. Prod. 2010, 18, 993–1000. [Google Scholar] [CrossRef]
- Gobetti, A.; Cornacchia, G.; Tomasoni, G.; Dey, K.; Ramorino, G. Steel slag as a low-impact filler in rubber compounds for environmental sustainability. Mater. Manuf. Process. 2024, 39, 1830–1841. [Google Scholar] [CrossRef]
- Haq, H.; Välisuo, P.; Niemi, S. Modelling sustainable industrial symbiosis. Energies 2021, 14, 1172. [Google Scholar] [CrossRef]
- Hashimoto, S.; Fujita, T.; Geng, Y.; Nagasawa, E. Realizing CO2 emission reduction through industrial symbiosis: A cement production case study for Kawasaki. Resour. Conserv. Recycl. 2010, 54, 704–710. [Google Scholar] [CrossRef]
- Hildebrandt, J.; O’Keeffe, S.; Bezama, A.; Thrän, D. Revealing the Environmental Advantages of Industrial Symbiosis in Wood-Based Bioeconomy Networks: An Assessment From a Life Cycle Perspective. J. Ind. Ecol. 2019, 23, 808–822. [Google Scholar] [CrossRef]
- Hossain, M.U.; Xuan, D.; Ng, S.T.; Amor, B. Designing sustainable partition wall blocks using secondary materials: A life cycle assessment approach. J. Build. Eng. 2021, 43, 103035. [Google Scholar] [CrossRef]
- Ilias, A.V.; Meletios, R.G.; Yiannis, K.A.; Nikolaos, B. Integration & assessment of recycling into c-Si photovoltaic module’s life cycle. Int. J. Sustain. Eng. 2018, 11, 186–195. [Google Scholar] [CrossRef]
- Kerdlap, P.; Low, J.S.C.; Tan, D.Z.L.; Yeo, Z.; Ramakrishna, S. UM3-LCE3-ISN: A methodology for multi-level life cycle environmental and economic evaluation of industrial symbiosis networks. Int. J. Life Cycle Assess. 2024, 29, 1409–1429. [Google Scholar] [CrossRef]
- Lessard, J.-M.; Habert, G.; Tagnit-Hamou, A.; Amor, B. Assessing robustness of consequential LCA: Insights from a multiregional economic model tailored to the cement industrial symbiosis. J. Ind. Ecol. 2024, 28, 1392–1408. [Google Scholar] [CrossRef]
- Liao, K.; Feng, Z.; Wu, J.; Liang, H.; Wang, Y.; Zeng, W.; Wang, Y.; Tian, J.; Liu, R.; Chen, L. Cement kiln geared up to dispose industrial hazardous wastes of megacity under industrial symbiosis. Resour. Conserv. Recycl. 2024, 202, 107358. [Google Scholar] [CrossRef]
- Liu, Q.; Jiang, P.; Zhao, J.; Zhang, B.; Bian, H.; Qian, G. Life cycle assessment of an industrial symbiosis based on energy recovery from dried sludge and used oil. J. Clean. Prod. 2011, 19, 1700–1708. [Google Scholar] [CrossRef]
- Marcinkowski, A. The spatial limits of environmental benefit of industrial symbiosis—Life cycle assessment study. J. Sustain. Dev. Energy Water Environ. Syst. 2019, 7, 521–538. [Google Scholar] [CrossRef]
- Martin, M. Quantifying the environmental performance of an industrial symbiosis network of biofuel producers. J. Clean. Prod. 2015, 102, 202–212. [Google Scholar] [CrossRef]
- Martin, M. Evaluating the environmental performance of producing soil and surfaces through industrial symbiosis. J. Ind. Ecol. 2020, 24, 626–638. [Google Scholar] [CrossRef]
- Martin, M.; Harris, S. Prospecting the sustainability implications of an emerging industrial symbiosis network. Resour. Conserv. Recycl. 2018, 138, 246–256. [Google Scholar] [CrossRef]
- Martin, M.; Weidner, T.; Gullström, C. Estimating the Potential of Building Integration and Regional Synergies to Improve the Environmental Performance of Urban Vertical Farming. Front. Sustain. Food Syst. 2022, 6, 849304. [Google Scholar] [CrossRef]
- Paulu, A.; Vitvarová, M.; Kočí, V. Quantifying the industry-wide symbiotic potential: LCA of construction and energy waste management in the Czech Republic. Sustain. Prod. Consum. 2022, 34, 55–64. [Google Scholar] [CrossRef]
- Renzulli, P.A.; Notarnicola, B.; Tassielli, G.; Arcese, G.; Di Capua, R. Life cycle assessment of steel produced in an Italian integrated steel mill. Sustainability 2016, 8, 719. [Google Scholar] [CrossRef]
- Viana, L.R.; Dessureault, P.-L.; Marty, C.; Boucher, J.-F.; Paré, M.C. Life Cycle Assessment of Oat Flake Production with Two End-of-Life Options for Agro-Industrial Residue Management. Sustainability 2023, 15, 5124. [Google Scholar] [CrossRef]
- Secchi, M.; Castellani, V.; Orlandi, M.; Collina, E. Use of Lignin side-streams from biorefineries as fuel or co-product? Life cycle analysis of bio-ethanol and pulp production processes. BioResources 2019, 14, 4832–4865. [Google Scholar] [CrossRef]
- Sharib, S.; Halog, A. Enhancing value chains by applying industrial symbiosis concept to the Rubber City in Kedah, Malaysia. J. Clean. Prod. 2017, 141, 1095–1108. [Google Scholar] [CrossRef]
- Simões, F.; Rios-Davila, F.-J.; Paiva, H.; Morais, M.; Ferreira, V.M. Sustainability Evaluation of a Paper and Pulp Industrial Waste Incorporation in Bituminous Pavements. Appl. Sci. 2024, 14, 4846. [Google Scholar] [CrossRef]
- Sokka, L.; Lehtoranta, S.; Nissinen, A.; Melanen, M. Analyzing the Environmental Benefits of Industrial Symbiosis: Life Cycle Assessment Applied to a Finnish Forest Industry Complex. J. Ind. Ecol. 2011, 15, 137–155. [Google Scholar] [CrossRef]
- Strazza, C.; Magrassi, F.; Gallo, M.; Del Borghi, A. Life Cycle Assessment from food to food: A case study of circular economy from cruise ships to aquaculture. Sustain. Prod. Consum. 2015, 2, 40–51. [Google Scholar] [CrossRef]
- Vitale, P.; Napolitano, R.; Colella, F.; Menna, C.; Asprone, D. Cement-matrix composites using CFRP waste: A circular economy perspective using industrial symbiosis. Materials 2021, 14, 1484. [Google Scholar] [CrossRef] [PubMed]
- Wang, S.; Lu, C.; Gao, Y.; Wang, K.; Zhang, R. Life cycle assessment of reduction of environmental impacts via industrial symbiosis in an energy-intensive industrial park in China. J. Clean. Prod. 2019, 241, 118358. [Google Scholar] [CrossRef]
- Wang, Y.; Dong, J.; Liu, J.; Zheng, R.; Yue, Y.; Zhang, Y.; Qian, G. Toward a Sustainable Municipal Solid Waste Incineration Fly-Ash Utilization Network: Integrating Hybrid Life Cycle Assessment with Multiobjective Optimization. ACS Sustain. Chem. Eng. 2022, 10, 7635–7647. [Google Scholar] [CrossRef]
- Xue, R.; Wang, S.; Gao, G.; Liu, D.; Long, W.; Zhang, R. Evaluation of symbiotic technology-based energy conservation and emission reduction benefits in iron and steel industry: Case study of Henan, China. J. Clean. Prod. 2022, 338, 130616. [Google Scholar] [CrossRef]
- Yu, F.; Han, F.; Cui, Z. Assessment of life cycle environmental benefits of an industrial symbiosis cluster in China. Environ. Sci. Pollut. Res. 2015, 22, 5511–5518. [Google Scholar] [CrossRef] [PubMed]
- Zhang, S.; Wang, H.; Bi, X.; Clift, R. Synthesis and assessment of a biogas-centred agricultural eco-industrial park in British Columbia. J. Clean. Prod. 2021, 321, 128767. [Google Scholar] [CrossRef]
- Zhang, Y.; Duan, S.; Li, J.; Shao, S.; Wang, W.; Zhang, S. Life cycle assessment of industrial symbiosis in Songmudao chemical industrial park, Dalian, China. J. Clean. Prod. 2017, 158, 192–199. [Google Scholar] [CrossRef]
- Vahidzadeh, R.; Bertanza, G. Industrial symbiosis and eco-industrial parks. In Environmental Sustainability and Industries: Technologies for Solid Waste, Wastewater, and Air Treatment; Elsevier: Amsterdam, The Netherlands, 2022; pp. 405–431. [Google Scholar] [CrossRef]
- Vahidzadeh, R.; Bertanza, G.; Sbaffoni, S.; Vaccari, M. Regional industrial symbiosis: A review based on social network analysis. J. Clean. Prod. 2021, 280, 124054. [Google Scholar] [CrossRef]
- Domini, M.; Vahidzadeh, R.; Vaccari, M.; Sbaffoni, S.; De Marco, E.; Beltrani, T.; Bertanza, G. Regional industrial symbiosis networks for waste minimisation: A case study from Italy. J. Environ. Manag. 2025, 394, 127376. [Google Scholar] [CrossRef]
- Carissimi, M.C.; Hameed, H.B.; Creazza, A. Circular economy: The future nexus for sustainable and resilient supply chains? Sustain. Future 2024, 8, 100365. [Google Scholar] [CrossRef]
- Ruini, A.; Sporchia, F.; Niccolucci, V.; Pulselli, F.M.; Bastianoni, S. Rethinking environmental benefit allocation in industrial symbiosis. Sci. Total Environ. 2025, 992, 179932. [Google Scholar] [CrossRef]
- Konradsen, F.; Hansen, K.S.H.; Ghose, A.; Pizzol, M. Same product, different score: How methodological differences affect EPD results. Int. J. Life Cycle Assess. 2024, 29, 291–307. [Google Scholar] [CrossRef]
- Durão, V.; Silvestre, J.D.; Mateus, R.; de Brito, J. Assessment and communication of the environmental performance of construction products in Europe: Comparison between PEF and EN 15804 compliant EPD schemes. Resour. Conserv. Recycl. 2020, 156, 104703. [Google Scholar] [CrossRef]












| n. | Title | Authors | Source Title | Year | Ref. |
|---|---|---|---|---|---|
| 1 | Symbiotic Circularity in Buildings: An Alternative Path for Valorizing Sheet Metal Waste Stream as Metal Building Facades | Ali A.K.; Kio P.N.; Alvarado J.; Wang Y. | Waste and Biomass Valorization | 2020 | [22] |
| 2 | Improving the CO2 performance of cement, part III: The relevance of industrial symbiosis and how to measure its impact | Ammenberg J.; Baas L.; Eklund M.; Feiz R.; Helgstrand A.; Marshall R. | Journal of Cleaner Production | 2015 | [23] |
| 3 | Sustainability Assessment of Coffee Silverskin Waste Management in the Metropolitan City of Naples (Italy): A Life Cycle Perspective | Ansanelli G.; Fiorentino G.; Chifari R.; Meisterl K.; Leccisi E.; Zucaro A. | Sustainability (Switzerland) | 2023 | [24] |
| 4 | Measuring the symbiotic performance of single entities within networks using an LCA approach | Arce Bastias F.; Rodríguez P.D.; Arena A.P.; Talens Peiró L. | Journal of Environmental Chemical Engineering | 2023 | [25] |
| 5 | The Environmental Profile of Ethanol Derived from Sugarcane in Ecuador: A Life Cycle Assessment Including the Effect of Cogeneration of Electricity in a Sugar Industrial Complex | Arcentales-Bastidas D.; Silva C.; Ramirez A.D. | Energies | 2022 | [26] |
| 6 | Life cycle assessment-driven selection of industrial ecology strategies | Ardente F.; Cellura M.; Brano V.L.; Mistretta M. | Integrated Environmental Assessment and Management | 2010 | [5] |
| 7 | Closing the loop: Structural, environmental and regional assessments of industrial symbiosis | Barrau E.; Tanguy A.; Glaus M. | Sustainable Production and Consumption | 2024 | [27] |
| 8 | Eco-efficient waste glass recycling: Integrated waste management and green product development through LCA | Blengini G.A.; Busto M.; Fantoni M.; Fino D. | Waste Management | 2012 | [28] |
| 9 | Analysing industrial symbiosis implementation in European cement industry: an applied life cycle assessment perspective | Capucha F.; Henriques J.; Ferrão P.; Iten M.; Margarido F. | International Journal of Life Cycle Assessment | 2023 | [29] |
| 10 | Industrial symbiosis potential and urban infrastructure capacity in Mysuru, India | Chertow M.; Gordon M.; Hirsch P.; Ramaswami A. | Environmental Research Letters | 2019 | [30] |
| 11 | Using Life Cycle Assessment (LCA) to measure the environmental benefits of industrial symbiosis in an industrial cluster of SMEs | Daddi T.; Nucci B.; Iraldo F. | Journal of Cleaner Production | 2017 | [10] |
| 12 | Is open-loop recycling the lowest preference in a circular economy? Answering through LCA of glass powder in concrete | Deschamps J.; Simon B.; Tagnit-Hamou A.; Amor B. | Journal of Cleaner Production | 2018 | [31] |
| 13 | Life cycle assessment to evaluate the environmental performance of new construction material from stainless steel slag | Di Maria A.; Salman M.; Dubois M.; Van Acker K. | International Journal of Life Cycle Assessment | 2018 | [32] |
| 14 | Achieving carbon emission reduction through industrial and urban symbiosis: A case of Kawasaki | Dong H.; Ohnishi S.; Fujita T.; Geng Y.; Fujii M.; Dong L. | Energy | 2014 | [33] |
| 15 | Highlighting regional eco-industrial development: Life cycle benefits of an urban industrial symbiosis and implications in China | Dong L.; Liang H.; Zhang L.; Liu Z.; Gao Z.; Hu M. | Ecological Modelling | 2017 | [34] |
| 16 | Life cycle energy and environmental benefits of a US industrial symbiosis | Eckelman M.J.; Chertow M.R. | International Journal of Life Cycle Assessment | 2013 | [35] |
| 17 | Evaluation of innovative municipal solid waste management through urban symbiosis: A case study of Kawasaki | Geng Y.; Tsuyoshi F.; Chen X. | Journal of Cleaner Production | 2010 | [36] |
| 18 | Steel slag as a low-impact filler in rubber compounds for environmental sustainability | Gobetti A.; Cornacchia G.; Tomasoni G.; Dey K.; Ramorino G. | Materials and Manufacturing Processes | 2024 | [37] |
| 19 | Modelling sustainable industrial symbiosis | Haq H.; Välisuo P.; Niemi S. | Energies | 2021 | [38] |
| 20 | Realizing CO2 emission reduction through industrial symbiosis: A cement production case study for Kawasaki | Hashimoto S.; Fujita T.; Geng Y.; Nagasawa E. | Resources, Conservation and Recycling | 2010 | [39] |
| 21 | Revealing the Environmental Advantages of Industrial Symbiosis in Wood-Based Bioeconomy Networks: An Assessment From a Life Cycle Perspective | Hildebrandt J.; O’Keeffe S.; Bezama A.; Thrän D. | Journal of Industrial Ecology | 2019 | [40] |
| 22 | Designing sustainable partition wall blocks using secondary materials: A life cycle assessment approach | Hossain M.U.; Xuan D.; Ng S.T.; Amor B. | Journal of Building Engineering | 2021 | [41] |
| 23 | Integration & assessment of recycling into c-Si photovoltaic module’s life cycle | Ilias A.V.; Meletios R.G.; Yiannis K.A.; Nikolaos B. | International Journal of Sustainable Engineering | 2018 | [42] |
| 24 | UM3-LCE3-ISN: a methodology for multi-level life cycle environmental and economic evaluation of industrial symbiosis networks | Kerdlap P.; Low J.S.C.; Tan D.Z.L.; Yeo Z.; Ramakrishna S. | International Journal of Life Cycle Assessment | 2024 | [43] |
| 25 | M3-IS-LCA: A Methodology for Multi-level Life Cycle Environmental Performance Evaluation of Industrial Symbiosis Networks | Kerdlap P.; Low J.S.C.; Tan D.Z.L.; Yeo Z.; Ramakrishna S. | Resources, Conservation and Recycling | 2020 | [14] |
| 26 | Assessing robustness of consequential LCA: Insights from a multiregional economic model tailored to the cement industrial symbiosis | Lessard J.-M.; Habert G.; Tagnit-Hamou A.; Amor B. | Journal of Industrial Ecology | 2024 | [44] |
| 27 | Cement kiln geared up to dispose industrial hazardous wastes of megacity under industrial symbiosis | Liao K.; Feng Z.; Wu J.; Liang H.; Wang Y.; Zeng W.; Wang Y.; Tian J.; Liu R.; Chen L. | Resources, Conservation and Recycling | 2024 | [45] |
| 28 | Life cycle assessment of an industrial symbiosis based on energy recovery from dried sludge and used oil | Liu Q.; Jiang P.; Zhao J.; Zhang B.; Bian H.; Qian G. | Journal of Cleaner Production | 2011 | [46] |
| 29 | The spatial limits of environmental benefit of industrial symbiosis—Life cycle assessment study | Marcinkowski A. | Journal of Sustainable Development of Energy, Water and Environment Systems | 2019 | [47] |
| 30 | Quantifying the environmental performance of an industrial symbiosis network of biofuel producers | Martin M. | Journal of Cleaner Production | 2015 | [48] |
| 31 | Evaluating the environmental performance of producing soil and surfaces through industrial symbiosis | Martin M. | Journal of Industrial Ecology | 2020 | [49] |
| 32 | Prospecting the sustainability implications of an emerging industrial symbiosis network | Martin M.; Harris S. | Resources, Conservation and Recycling | 2018 | [50] |
| 33 | Estimating the Potential of Building Integration and Regional Synergies to Improve the Environmental Performance of Urban Vertical Farming | Martin M.; Weidner T.; Gullström C. | Frontiers in Sustainable Food Systems | 2022 | [51] |
| 34 | Quantifying the industry-wide symbiotic potential: LCA of construction and energy waste management in the Czech Republic | Paulu A.; Vitvarová M.; Kočí V. | Sustainable Production and Consumption | 2022 | [52] |
| 35 | Life cycle assessment of steel produced in an Italian integrated steel mill | Renzulli P.A.; Notarnicola B.; Tassielli G.; Arcese G.; Di Capua R. | Sustainability (Switzerland) | 2016 | [53] |
| 36 | Life Cycle Assessment of Oat Flake Production with Two End-of-Life Options for Agro-Industrial Residue Management | Viana L.R.; Dessureault P.-L.; Marty C.; Boucher J.-F.; Paré M.C. | Sustainability (Switzerland) | 2023 | [54] |
| 37 | Use of Lignin side-streams from biorefineries as fuel or co-product? Life cycle analysis of bio-ethanol and pulp production processes | Secchi M.; Castellani V.; Orlandi M.; Collina E. | BioResources | 2019 | [55] |
| 38 | Enhancing value chains by applying industrial symbiosis concept to the Rubber City in Kedah, Malaysia | Sharib S.; Halog A. | Journal of Cleaner Production | 2017 | [56] |
| 39 | Sustainability Evaluation of a Paper and Pulp Industrial Waste Incorporation in Bituminous Pavements | Simões F.; Rios-Davila F.-J.; Paiva H.; Morais M.; Ferreira V.M. | Applied Sciences (Switzerland) | 2024 | [57] |
| 40 | Analyzing the Environmental Benefits of Industrial Symbiosis: Life Cycle Assessment Applied to a Finnish Forest Industry Complex | Sokka L.; Lehtoranta S.; Nissinen A.; Melanen M. | Journal of Industrial Ecology | 2011 | [58] |
| 41 | Life Cycle Assessment from food to food: A case study of circular economy from cruise ships to aquaculture | Strazza C.; Magrassi F.; Gallo M.; Del Borghi A. | Sustainable Production and Consumption | 2015 | [59] |
| 42 | Cement-matrix composites using cfrp waste: A circular economy perspective using industrial symbiosis | Vitale P.; Napolitano R.; Colella F.; Menna C.; Asprone D. | Materials | 2021 | [60] |
| 43 | Life cycle assessment of reduction of environmental impacts via industrial symbiosis in an energy-intensive industrial park in China | Wang S.; Lu C.; Gao Y.; Wang K.; Zhang R. | Journal of Cleaner Production | 2019 | [61] |
| 44 | Toward a Sustainable Municipal Solid Waste Incineration Fly-Ash Utilization Network: Integrating Hybrid Life Cycle Assessment with Multiobjective Optimization | Wang Y.; Dong J.; Liu J.; Zheng R.; Yue Y.; Zhang Y.; Qian G. | ACS Sustainable Chemistry and Engineering | 2022 | [62] |
| 45 | Evaluation of symbiotic technology-based energy conservation and emission reduction benefits in iron and steel industry: Case study of Henan, China | Xue R.; Wang S.; Gao G.; Liu D.; Long W.; Zhang R. | Journal of Cleaner Production | 2022 | [63] |
| 46 | Assessment of life cycle environmental benefits of an industrial symbiosis cluster in China | Yu F.; Han F.; Cui Z. | Environmental Science and Pollution Research | 2015 | [64] |
| 47 | Synthesis and assessment of a biogas-centred agricultural eco-industrial park in British Columbia | Zhang S.; Wang H.; Bi X.; Clift R. | Journal of Cleaner Production | 2021 | [65] |
| 48 | Life cycle assessment of industrial symbiosis in Songmudao chemical industrial park, Dalian, China | Zhang Y.; Duan S.; Li J.; Shao S.; Wang W.; Zhang S. | Journal of Cleaner Production | 2017 | [66] |
| Aspects for Categorization of Scenarios | Main Observations | Reference |
|---|---|---|
| Types of Reference (Baseline) Systems | Current conventional practice (landfilling, incineration) | [36,57] |
| Hypothetical non-IS system | [25,61] | |
| Standalone/traditional production systems | [22,58] | |
| Number of Scenarios | Simple: IS scenario vs. reference one | [10,48] |
| Multiple: more than five scenarios, reflecting variations | [34,41] | |
| Purpose or Reason for using multiple scenarios | Structural: IS vs. non-IS | [25,60] |
| Incremental improvements (current vs. optimized IS) | [49,51] | |
| Methodological variations (allocation, transport, displacement) | [14,26] | |
| Product substitution (circular vs. conventional) | [31,52] |
| Investigated Categories | Input Flows Quality | Transport Condition | Production Processes | Output Context | LCA Methodological Assumption |
|---|---|---|---|---|---|
| Parameters changed in the sensitivity analysis | Energy input (electricity mix), e.g., [48]; input flows, e.g., [44]; and suppliers, e.g., [31] | Distance, e.g., [32] | Material replacement rate, e.g., [54]; process yield, e.g., [55]; and technology penetration rate, e.g., [63] | Content and quantity of the waste-derived product, e.g., [63]; product physical characteristics (thickness), e.g., [49]; lifetime of the product, e.g., [31]; and market price for by-products, e.g., [62] | Excluding avoided products, e.g., [28]; different data sources or inventories, e.g., [59]; and reference systems (data chosen for reference systems), e.g., [50] |
Disclaimer/Publisher’s Note: The statements, opinions and data contained in all publications are solely those of the individual author(s) and contributor(s) and not of MDPI and/or the editor(s). MDPI and/or the editor(s) disclaim responsibility for any injury to people or property resulting from any ideas, methods, instructions or products referred to in the content. |
© 2025 by the authors. Licensee MDPI, Basel, Switzerland. This article is an open access article distributed under the terms and conditions of the Creative Commons Attribution (CC BY) license (https://creativecommons.org/licenses/by/4.0/).
Share and Cite
Vahidzadeh, R.; Domini, M.; Bertanza, G. Life Cycle Assessment of Industrial Symbiosis for Circular Solid Waste Management: A Literature Review. Clean Technol. 2025, 7, 100. https://doi.org/10.3390/cleantechnol7040100
Vahidzadeh R, Domini M, Bertanza G. Life Cycle Assessment of Industrial Symbiosis for Circular Solid Waste Management: A Literature Review. Clean Technologies. 2025; 7(4):100. https://doi.org/10.3390/cleantechnol7040100
Chicago/Turabian StyleVahidzadeh, Reza, Marta Domini, and Giorgio Bertanza. 2025. "Life Cycle Assessment of Industrial Symbiosis for Circular Solid Waste Management: A Literature Review" Clean Technologies 7, no. 4: 100. https://doi.org/10.3390/cleantechnol7040100
APA StyleVahidzadeh, R., Domini, M., & Bertanza, G. (2025). Life Cycle Assessment of Industrial Symbiosis for Circular Solid Waste Management: A Literature Review. Clean Technologies, 7(4), 100. https://doi.org/10.3390/cleantechnol7040100

