Upstream Microplastic Removal in Industrial Wastewater: A Pilot Study on Agglomeration-Fixation-Reaction Based Treatment for Water Reuse and Waste Recovery
Abstract
1. Introduction
2. Materials and Methods
2.1. Description of the Pilot Plant
2.2. Test Site
2.3. Test Runs and Sampling
2.4. Analytics
2.4.1. pH Value
2.4.2. COD
2.4.3. Microplastics—Particle Counting
2.4.4. Photometric-TSS and Turbidity
2.4.5. Gravimetric-TSS
2.5. Agglomerate Analytics
2.6. Reuse Concepts—MP Agglomerates and Further Inclusion of Parameters
3. Results
3.1. Microplastics Removal by TSS
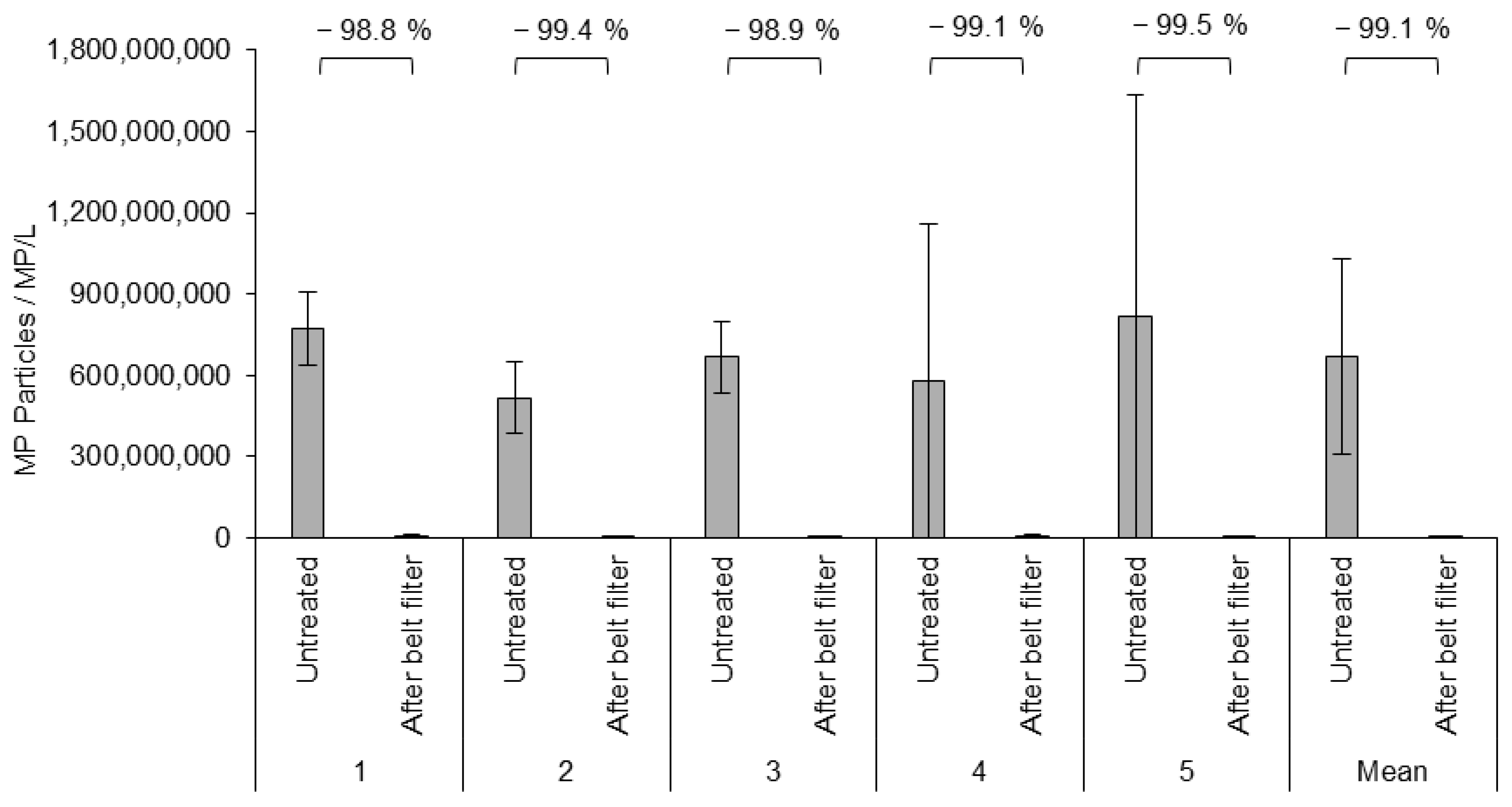
3.2. Microplastics Removal by Particle Count
3.3. COD Removal
3.4. Turbidity Removal
3.5. pH Value Analytics
3.6. Correlation Analysis
3.7. Avoided MP Emissions and Agglomerate Production
3.8. Agglomerate Analytics Results
4. Discussion
4.1. Microplastic Removal Performance of the Pilot Plant
4.2. Benefits of Upstream Removal of Microplastics
- 1.
- Status quo, i.e., no MP removal;
- 2.
- Removal of MP from municipal wastewater effluent;
- 3.
- Removal of MP from industrial wastewater effluent.
- Less total wastewater to be treated with a higher overall removal efficiency.
- Less energy and time required.
- Water can be reused in industrial processes, reducing freshwater demand.
- Adheres to the polluter pays principle, relieving the financial and technical burden from the municipality.
5. Conclusions
Author Contributions
Funding
Data Availability Statement
Acknowledgments
Conflicts of Interest
Abbreviations
| BTXE | Benzene, Toluene, Ethylbenzene, Xylenes |
| COD | Chemical oxygen demand |
| DR | Dry Residue |
| LOI | Loss on Ignition |
| MOH | Mineral oil hydrocarbons |
| MPs | Microplastics |
| S.D. | Standard deviation |
| SDG | Sustainable Development Goal |
| TSS | Total suspended solids |
References
- He, C.; Liu, Z.; Wu, J.; Pan, X.; Fang, Z.; Li, J.; Bryan, B.A. Future global urban water scarcity and potential solutions. Nat. Commun. 2021, 12, 4667. [Google Scholar] [CrossRef]
- McDonald, R.I.; Green, P.; Balk, D.; Fekete, B.M.; Revenga, C.; Todd, M.; Montgomery, M. Urban growth, climate change, and freshwater availability. Proc. Natl. Acad. Sci. USA 2011, 108, 6312–6317. [Google Scholar] [CrossRef]
- Schwarzenbach, R.P.; Egli, T.; Hofstetter, T.B.; Von gunten, U.; Wehrli, B. Global Water Pollution and Human Health. Annu. Rev. Environ. Resour. 2010, 35, 109–136. [Google Scholar] [CrossRef]
- Mishra, B.; Kumar, P.; Saraswat, C.; Chakraborty, S.; Gautam, A. Water Security in a Changing Environment: Concept, Challenges and Solutions. Water 2021, 13, 490. [Google Scholar] [CrossRef]
- Intergovernmental Panel on Climate Change. Synthesis Report. Contribution of Working Groups I, II and III to the Fifth Assessment Report of the Intergovernmental Panel on Climate Change; Cambridge University Press: Cambridge, UK, 2014. [Google Scholar]
- Schewe, J.; Heinke, J.; Gerten, D.; Haddeland, I.; Arnell, N.W.; Clark, D.B.; Dankers, R.; Eisner, S.; Fekete, B.M.; Colón-González, F.J.; et al. Multimodel assessment of water scarcity under climate change. Proc. Natl. Acad. Sci. USA 2014, 111, 3245–3250. [Google Scholar] [CrossRef]
- Vörösmarty, C.J.; Green, P.; Salisbury, J.; Lammers, R.B. Global water resources: Vulnerability from climate change and population growth. Science 2000, 289, 284–288. [Google Scholar] [CrossRef]
- UNESCO World Water Assessment Programme. The United Nations World Water Development Report 2024: Water for Prosperity and Peace. Available online: https://unesdoc.unesco.org/ark:/48223/pf0000388952 (accessed on 1 July 2025).
- Panda, M.R.; Kim, Y. Gridded global dataset of industrial water use predicted using the Random Forest. Sci. Data 2024, 11, 1331. [Google Scholar] [CrossRef]
- OECD. OECD Environmental Outlook to 2050; OECD: Paris, France, 2012; ISBN 9789264122161. [Google Scholar]
- Procházková, M.; Touš, M.; Horňák, D.; Miklas, V.; Vondra, M.; Máša, V. Industrial wastewater in the context of European Union water reuse legislation and goals. J. Clean. Prod. 2023, 426, 139037. [Google Scholar] [CrossRef]
- Angelakis, A.N.; Durham, B. Water recycling and reuse in EUREAU countries: Trends and challenges. Desalination 2008, 218, 3–12. [Google Scholar] [CrossRef]
- Smol, M.; Adam, C.; Preisner, M. Circular economy model framework in the European water and wastewater sector. J. Mater. Cycles Waste Manag. 2020, 22, 682–697. [Google Scholar] [CrossRef]
- United Nations Human Settlements Programme (UN-Habitat), World Health Organization. Progress on the Proportion of Domestic and Industrial Wastewater Flows Safely Treated: Mid-Term Status of SDG Indicator 6.3.1 and Acceleration Needs, with a Special Focus on Climate Change, Wastewater Reuse and Health. Available online: https://www.unwater.org/sites/default/files/2024-08/SDG6_Indicator_Report_631_Progress-on-Wastewater-Treatment_2024_EN_0.pdf (accessed on 1 July 2025).
- Fred, T.; Heinonen, M.; Sundell, L.; Toivikko, S. Air emissions at large municipal wastewater treatment plants in Finland for national E-PRTR reporting register. Water Pract. Technol. 2009, 4, wpt2009029. [Google Scholar] [CrossRef]
- Sörme, L.; Palm, V.; Finnveden, G. Using E-PRTR data on point source emissions to air and water—First steps towards a national chemical footprint. Environ. Impact Assess. Rev. 2016, 56, 102–112. [Google Scholar] [CrossRef]
- Mutuku, J.; Yanotti, M.; Tocock, M.; Hatton MacDonald, D. The Abundance of Microplastics in the World’s Oceans: A Systematic Review. Oceans 2024, 5, 398–428. [Google Scholar] [CrossRef]
- Xue, Y.; Lu, H.; Feng, S.; Kang, J.; Guan, Y.; Li, H.; Zhang, K.; Weiss, L. Standardization of monitoring data reassesses spatial distribution of aquatic microplastics concentrations worldwide. Water Res. 2024, 254, 121356. [Google Scholar] [CrossRef]
- Jin, X.; Li, Z.; Peñuelas, J.; Sardan, J.; Wu, Q.; Peng, Y.; Heděnec, P.; Li, Z.; Yuan, C.; Yuan, J.; et al. Quantitative assessment on the distribution patterns of microplastics in global inland waters. Commun. Earth Environ. 2025, 6, 331. [Google Scholar] [CrossRef]
- Roy, S.; Garg, A.; Garg, S.; Tran, T.A. (Eds.) Advanced Industrial Wastewater Treatment and Reclamation of Water; Springer International Publishing: Cham, Switzerland, 2022; ISBN 978-3-030-83810-2. [Google Scholar]
- Garg, S.; Chowdhury, Z.Z.; Faisal, A.N.M.; Rumjit, N.P.; Thomas, P. Impact of Industrial Wastewater on Environment and Human Health. In Advanced Industrial Wastewater Treatment and Reclamation of Water; Roy, S., Garg, A., Garg, S., Tran, T.A., Eds.; Springer International Publishing: Cham, Switzerland, 2022; pp. 197–209. ISBN 978-3-030-83810-2. [Google Scholar]
- Singh, S.; Kalyanasundaram, M.; Diwan, V. Removal of microplastics from wastewater: Available techniques and way forward. Water Sci. Technol. 2021, 84, 3689–3704. [Google Scholar] [CrossRef]
- Nasir, M.S.; Tahir, I.; Ali, A.; Ayub, I.; Nasir, A.; Abbas, N.; Sajjad, U.; Hamid, K. Innovative technologies for removal of micro plastic: A review of recent advances. Heliyon 2024, 10, e25883. [Google Scholar] [CrossRef]
- Gkika, D.A.; Tolkou, A.K.; Evgenidou, E.; Bikiaris, D.N.; Lambropoulou, D.A.; Mitropoulos, A.C.; Kalavrouziotis, I.K.; Kyzas, G.Z. Fate and Removal of Microplastics from Industrial Wastewaters. Sustainability 2023, 15, 6969. [Google Scholar] [CrossRef]
- Wagner, M.; Bauer, S. Industrial and Municipal Wastewater Treatment with a Focus on Water Reuse; MDPI: Basel, Switzerland, 2023. [Google Scholar] [CrossRef]
- Abbaszadegan, M.; Alum, A.; Kitajima, M.; Fujioka, T.; Matsui, Y.; Sano, D.; Katayama, H. Water Reuse—Retrospective Study on Sustainable Future Prospects. Water 2025, 17, 789. [Google Scholar] [CrossRef]
- Meese, A.F.; Kim, D.J.; Wu, X.; Le, L.; Napier, C.; Hernandez, M.T.; Laroco, N.; Linden, K.G.; Cox, J.; Kurup, P.; et al. Opportunities and Challenges for Industrial Water Treatment and Reuse. ACS EST Eng. 2022, 2, 465–488. [Google Scholar] [CrossRef]
- Kato, S.; Kansha, Y. Comprehensive review of industrial wastewater treatment techniques. Environ. Sci. Pollut. Res. Int. 2024, 31, 51064–51097. [Google Scholar] [CrossRef] [PubMed]
- Gude, V.G. Desalination and water reuse to address global water scarcity. Rev. Environ. Sci. Biotechnol. 2017, 16, 591–609. [Google Scholar] [CrossRef]
- Sturm, M.T.; Herbort, A.F.; Horn, H.; Schuhen, K. Comparative study of the influence of linear and branched alkyltrichlorosilanes on the removal efficiency of polyethylene and polypropylene-based microplastic particles from water. Environ. Sci. Pollut. Res. Int. 2020, 27, 10888–10898. [Google Scholar] [CrossRef]
- Sturm, M.T.; Horn, H.; Schuhen, K. Removal of Microplastics from Waters through Agglomeration-Fixation Using Organosilanes—Effects of Polymer Types, Water Composition and Temperature. Water 2021, 13, 675. [Google Scholar] [CrossRef]
- Sturm, M.T.; Myers, E.; Schober, D.; Korzin, A.; Thege, C.; Schuhen, K. Comparison of AOP, GAC, and Novel Organosilane-Based Process for the Removal of Microplastics at a Municipal Wastewater Treatment Plant. Water 2023, 15, 1164. [Google Scholar] [CrossRef]
- Sturm, M.T.; Myers, E.; Schober, D.; Korzin, A.; Schuhen, K. Beyond Microplastics: Implementation of a Two-Stage Removal Process for Microplastics and Chemical Oxygen Demand in Industrial Wastewater Streams. Water 2024, 16, 268. [Google Scholar] [CrossRef]
- Karakurt, O.; Altuntaş, O.; Şimşek, İ.; Hatinoğlu, D.; Sanin, F.D. Microplastics from industrial sources: A known but overlooked problem. J. Water Process Eng. 2025, 72, 107487. [Google Scholar] [CrossRef]
- International Organization for Standardization. Water quality—Determination of the chemical oxygen demand index (ST-COD)—Small-scale sealed tube method (ISO Standard No. 15705:2002). 2002. Available online: https://www.iso.org/standard/26417.html (accessed on 1 July 2025).
- Sturm, M.T.; Myers, E.; Korzin, A.; Polierer, S.; Schober, D.; Schuhen, K. Fast Forward: Optimized Sample Preparation and Fluorescent Staining for Microplastic Detection. Microplastics 2023, 2, 334–349. [Google Scholar] [CrossRef]
- Sturm, M.T.; Myers, E.; Schober, D.; Korzin, A.; Schuhen, K. Development of an Inexpensive and Comparable Microplastic Detection Method Using Fluorescent Staining with Novel Nile Red Derivatives. Analytica 2023, 4, 27–44. [Google Scholar] [CrossRef]
- Shim, W.J.; Song, Y.K.; Hong, S.H.; Jang, M. Identification and quantification of microplastics using Nile Red staining. Mar. Pollut. Bull. 2016, 113, 469–476. [Google Scholar] [CrossRef] [PubMed]
- Bundesministerium für Umwelt, Naturschutz und nukleare Sicherheit. Verordnung Über Deponien und Langzeitlager: Deponieverordnung-DepV. Bundesgesetzblatt Teil I, Nr. 19; Bundesministerium für Umwelt, Naturschutz und nukleare Sicherheit: Berlin, Germany, 2009; pp. 900–966. Available online: https://www.gesetze-im-internet.de/depv_2009/DepV.pdf (accessed on 1 July 2025).
- Länderarbeitsgemeinschaft Abfall. Anforderungen an Die Stoffliche Verwertung Von Mineralischen Abfällen—Technische Regeln (LAGA M20, Gesamtfassung). Available online: https://www.laga-online.de/documents/m20-gesamtfassung_1643296687.pdf (accessed on 1 July 2025).
- Länderarbeitsgemeinschaft Abfall. Methodensammlung Zur Abfalluntersuchung—Version 3.0. Available online: https://www.lanuk.nrw.de/fileadmin/lanuv/abfall/untersuchungsmethoden/LAGA_Methodensammlung.pdf (accessed on 1 July 2025).
- Geerdink, R.B.; van den Sebastiaan Hurk, R.; Epema, O.J. Chemical oxygen demand: Historical perspectives and future challenges. Anal. Chim. Acta 2017, 961, 1–11. [Google Scholar] [CrossRef]
- Papadopoulos, K.P.; Argyriou, R.; Economou, C.N.; Charalampous, N.; Dailianis, S.; Tatoulis, T.I.; Tekerlekopoulou, A.G.; Vayenas, D.V. Treatment of printing ink wastewater using electrocoagulation. J. Environ. Manag. 2019, 237, 442–448. [Google Scholar] [CrossRef]
- Emamjomeh, M.M.; Kakavand, S.; Jamali, H.A.; Alizadeh, S.M.; Safdari, M.; Mousavi, S.E.S.; Hashim, K.S.; Mousazadeh, M. The treatment of printing and packaging wastewater by electrocoagulation– flotation: The simultaneous efficacy of critical parameters and economics. Desalin. Water Treat. 2020, 205, 161–174. [Google Scholar] [CrossRef]
- Sayın, F.E.; Karatas, O.; Özbay, İ.; Gengec, E.; Khataee, A. Treatment of real printing and packaging wastewater by combination of coagulation with Fenton and photo-Fenton processes. Chemosphere 2022, 306, 135539. [Google Scholar] [CrossRef] [PubMed]
- Kulkarni, D.; Jaspal, D. Surfactants in waste water: Development, current status and associated challenges. Mater. Today Proc. 2023. [Google Scholar] [CrossRef]
- Rößler, A.; Metzger, S. Application of SAC254 measurement for the assessment of micropollutant removal in the adsorptive treatment stage of a municipal wastewater treatment plant. Water Pract. Technol. 2016, 11, 503–515. [Google Scholar] [CrossRef][Green Version]
- Günther, B.; Gebauer, K.; Barkowski, R.; Rosenthal, M.; Bues, C.-T. Calorific value of selected wood species and wood products. Eur. J. Wood Prod. 2012, 70, 755–757. [Google Scholar] [CrossRef]
- Oreto, C.; Veropalumbo, R.; Viscione, N.; Biancardo, S.A.; Russo, F. Investigating the environmental impacts and engineering performance of road asphalt pavement mixtures made up of jet grouting waste and reclaimed asphalt pavement. Environ. Res. 2021, 198, 111277. [Google Scholar] [CrossRef] [PubMed]
- Russo, F.; Veropalumbo, R.; Pontoni, L.; Oreto, C.; Biancardo, S.A.; Viscione, N.; Pirozzi, F.; Race, M. Sustainable asphalt mastics made up recycling waste as filler. J. Environ. Manag. 2022, 301, 113826. [Google Scholar] [CrossRef]
- Puhar, J.; Sturm, M.T.; Myers, E.; Schober, D.; Korzin, A.; Vujanović, A.; Schuhen, K. When Technology Meets Sustainability: Microplastic Removal from Industrial Wastewater, Including Impact Analysis and Life Cycle Assessment. Water 2025, 17, 671. [Google Scholar] [CrossRef]
- Bayo, J.; López-Castellanos, J.; Olmos, S. Membrane bioreactor and rapid sand filtration for the removal of microplastics in an urban wastewater treatment plant. Mar. Pollut. Bull. 2020, 156, 111211. [Google Scholar] [CrossRef]
- Wolff, S.; Weber, F.; Kerpen, J.; Winklhofer, M.; Engelhart, M.; Barkmann, L. Elimination of Microplastics by Downstream Sand Filters in Wastewater Treatment. Water 2021, 13, 33. [Google Scholar] [CrossRef]
- Acarer, S. A review of microplastic removal from water and wastewater by membrane technologies. Water Sci. Technol. 2023, 88, 199–219. [Google Scholar] [CrossRef]
- Poerio, T.; Piacentini, E.; Mazzei, R. Membrane Processes for Microplastic Removal. Molecules 2019, 24, 4148. [Google Scholar] [CrossRef] [PubMed]
- Chai, J.; Shi, Y.; Wang, Y.; Yang, X.; Pi, K.; Gerson, A.R. Surfactant-assisted air flotation: A novel approach for the removal of microplastics from municipal solid waste incineration bottom ash. Sci. Total Environ. 2023, 884, 163841. [Google Scholar] [CrossRef]
- Wang, Z.; Xue, L.; Zhang, Y.; Xu, J.; Wang, X.; Huang, L.; Liu, C.; Xia, G.; Ren, X.; Zhang, J. Ubiquitous photoaging of microplastics: Potential challenges to air flotation. J. Water Process Eng. 2025, 75, 107953. [Google Scholar] [CrossRef]
- Kim, S.; Sin, A.; Nam, H.; Park, Y.; Lee, H.; Han, C. Advanced oxidation processes for microplastics degradation: A recent trend. Chem. Eng. J. Adv. 2022, 9, 100213. [Google Scholar] [CrossRef]
- Yang, Z.; Li, Y.; Zhang, G. Degradation of microplastic in water by advanced oxidation processes. Chemosphere 2024, 357, 141939. [Google Scholar] [CrossRef]
- Azizi, N.; Pirsaheb, M.; Jaafarzadeh, N.; Nabizadeh Nodehi, R. Microplastics removal from aquatic environment by coagulation: Selecting the best coagulant based on variables determined from a systematic review. Heliyon 2023, 9, e15664. [Google Scholar] [CrossRef]
- Khan, M.T.; Ahmad, M.; Hossain, M.F.; Nawab, A.; Ahmad, I.; Ahmad, K.; Panyametheekul, S. Microplastic removal by coagulation: A review of optimizing the reaction conditions and mechanisms. Water Emerg. Contam. Nanoplastics 2023, 2, 22. [Google Scholar] [CrossRef]
- UN-Water. The United Nations World Water Development Report 2025—Mountains and Glaciers: Water Towers; UNESCO: Paris, France, 2025; ISBN 9789231007439. [Google Scholar]
- Singh, B.J.; Chakraborty, A.; Sehgal, R. A systematic review of industrial wastewater management: Evaluating challenges and enablers. J. Environ. Manag. 2023, 348, 119230. [Google Scholar] [CrossRef] [PubMed]










| Method | Principle | Pros | Cons |
|---|---|---|---|
| Physical Separation | |||
| Screening and Filtration | Physical barrier (meshes, membranes) | High removal for various sizes (esp. fine membranes); established | Fouling (clogging); high energy/cost for fine membranes |
| Sedimentation | Gravity settling (heavier particles) | Simple, low cost for larger/denser MPs; common primary step | Ineffective for small/light MPs; needs large tanks; generates sludge |
| Flotation (DAF) | Air bubbles lift MPs to surface | Good for buoyant MPs; fast; high efficiency (with flocculants) | Less effective for dense MPs (without chemicals); energy use; creates sludge |
| Centrifugation | Centrifugal force separates particles | Effective for various sizes/densities; fast | High cost (capital/operating); not for large volumes; complex maintenance |
| Chemical/Physico-Chemical | |||
| Coagulation/Flocculation | Chemicals clump MPs for easier removal | Boosts removal for small MPs; enhances other methods; widely used | Chemical use/cost; more sludge; variable effectiveness |
| Advanced Oxidation Processes (AOPs) | Strong oxidizers degrade some MPs | Can break down polymers, effective for various organics | High cost (energy/chemicals); may form small byproducts; complex control |
| Adsorption | MPs stick to adsorbent material | Effective for specific MP types; removes other organics | Adsorbent disposal/regeneration issues; limited capacity; variable effectiveness |
| Biological (Indirect) | |||
| Activated Sludge Process | Microbes entrap MPs in biological flocs | Part of standard wastewater treatment; incidental MP removal | MPs concentrated in sludge; re-release risk if sludge is mismanaged |
| Unit | Untreated | Treated | |
|---|---|---|---|
| Mean | µm | 22.7 | 10.2 |
| S.D. | µm | 23.5 | 39.5 |
| Min. | µm | 2.9 | 2.9 |
| Max. | µm | 416.8 | 571.2 |
| P5 | µm | 3.7 | 2.9 |
| P25 | µm | 8.3 | 3.7 |
| P50 (Median) | µm | 16.2 | 5.2 |
| P75 | µm | 29.4 | 8.1 |
| P95 | µm | 62.3 | 22.1 |
| Unit | Per m3 | Pilot Study | Per Day * | Per Year * | |
|---|---|---|---|---|---|
| Wastewater treated | m3 | 1 | 17 | 4.2 | 1016 |
| Agglomerates (wet) | kg | 5.9 | 100.5 | 24.7 | 5976 |
| Agglomerates (pressed) | kg | 4.4 | 74.0 | 18.3 | 4423 |
| Agglomerates (dry) | kg | 1.9 | 32.3 | 7.9 | 1912 |
| Avoided MP mass | kg | 1.7 | 28.5 | 7.1 | 1706 |
| Avoided MP particles | n | 6.7 × 1011 | 1.1 × 1013 | 2.8 × 1012 | 6.8 × 1014 |
| Avoided COD | kg | 6.0 | 101.9 | 25.2 | 6089 |
| abcr eco Wasser3.0 PE-X®, industrial wastewater used | kg | 0.7 | 11.9 | 2.9 | 711 |
| Energy used | kWh | 1.4 | 23.8 | 5.9 | 1422 |
Disclaimer/Publisher’s Note: The statements, opinions and data contained in all publications are solely those of the individual author(s) and contributor(s) and not of MDPI and/or the editor(s). MDPI and/or the editor(s) disclaim responsibility for any injury to people or property resulting from any ideas, methods, instructions or products referred to in the content. |
© 2025 by the authors. Licensee MDPI, Basel, Switzerland. This article is an open access article distributed under the terms and conditions of the Creative Commons Attribution (CC BY) license (https://creativecommons.org/licenses/by/4.0/).
Share and Cite
Korzin, A.; Sturm, M.T.; Myers, E.; Schober, D.; Ronsse, P.; Schuhen, K. Upstream Microplastic Removal in Industrial Wastewater: A Pilot Study on Agglomeration-Fixation-Reaction Based Treatment for Water Reuse and Waste Recovery. Clean Technol. 2025, 7, 67. https://doi.org/10.3390/cleantechnol7030067
Korzin A, Sturm MT, Myers E, Schober D, Ronsse P, Schuhen K. Upstream Microplastic Removal in Industrial Wastewater: A Pilot Study on Agglomeration-Fixation-Reaction Based Treatment for Water Reuse and Waste Recovery. Clean Technologies. 2025; 7(3):67. https://doi.org/10.3390/cleantechnol7030067
Chicago/Turabian StyleKorzin, Anika, Michael Toni Sturm, Erika Myers, Dennis Schober, Pieter Ronsse, and Katrin Schuhen. 2025. "Upstream Microplastic Removal in Industrial Wastewater: A Pilot Study on Agglomeration-Fixation-Reaction Based Treatment for Water Reuse and Waste Recovery" Clean Technologies 7, no. 3: 67. https://doi.org/10.3390/cleantechnol7030067
APA StyleKorzin, A., Sturm, M. T., Myers, E., Schober, D., Ronsse, P., & Schuhen, K. (2025). Upstream Microplastic Removal in Industrial Wastewater: A Pilot Study on Agglomeration-Fixation-Reaction Based Treatment for Water Reuse and Waste Recovery. Clean Technologies, 7(3), 67. https://doi.org/10.3390/cleantechnol7030067

