Influence of Annual Ryegrass (Lolium multiflorum) as Cover Crop on Soil Water Dynamics in Fragipan Soils of Southern Illinois, USA
Abstract
1. Introduction
2. Materials and Methods
3. Results and Discussion
3.1. Particle Size Distribution
3.2. Bulk Density
3.3. Soil pH and Nutrients
3.4. Soil Water Retention Parameters
3.5. Relationships Between Plant Available Water and Soil Properties
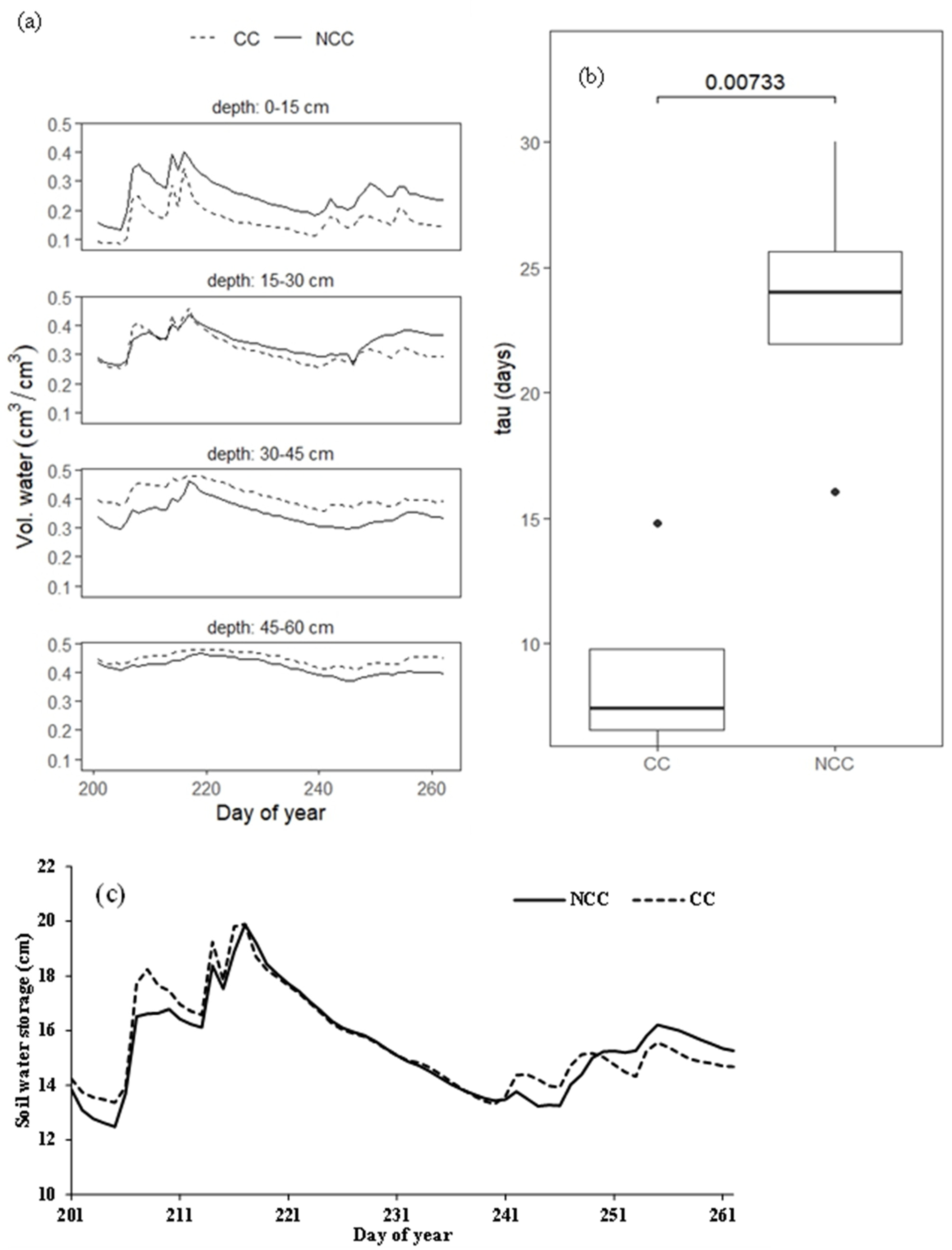
3.6. Changes in Soil Water at Springerton During Soybean Growth Phase (2022)
4. Conclusions
Author Contributions
Funding
Institutional Review Board Statement
Informed Consent Statement
Data Availability Statement
Acknowledgments
Conflicts of Interest
References
- Graveel, J.G.; Tyler, D.D.; Jones, J.R.; McFee, W.W. Crop yield and rooting as affected by fragipan depth in loess soils in the southeast USA. Soil. Till Res. 2002, 68, 153–161. [Google Scholar] [CrossRef]
- Bockheim, J.G.; Hartemink, A.E. Soils with fragipans in the USA. Catena 2013, 104, 233–242. [Google Scholar] [CrossRef]
- Matocha, C.J.; Karathanasis, T.D.; Murdock, L.W.; Grove, J.H.; Goodman, J.; Call, D. Influence of ryegrass on physico-chemical properties of a fragipan soil. Geoderma 2018, 317, 32–38. [Google Scholar] [CrossRef]
- Lindbo, D.L.; Rhoton, F.E.; Bigham, J.M.; Hudnall, W.H.; Jones, F.S.; Smeck, N.E.; Tyler, D.D. Loess Toposequences in the Lower Mississippi River Valley.1. Fragipan Morphology and Identification. Soil. Sci. Soc. Am. J. 1995, 59, 487–500. [Google Scholar] [CrossRef]
- Franzmeier, D.P.; Norton, L.D.; Steinhardt, G.C. Fragipan Formation in Loess of the Midwestern United States1. In Fragipans: Their Occurrence, Classification, and Genesis; Wiley Online Library: Hoboken, NJ, USA, 1989; pp. 69–97. [Google Scholar]
- McDaniel, P.A.; Regan, M.P.; Brooks, E.; Boll, J.; Bamdt, S.; Falen, A.; Young, S.K.; Hammel, J.E. Linking fragipans, perched water tables, and catchment-scale hydrological processes. Catena 2008, 73, 166–173. [Google Scholar] [CrossRef]
- Wilson, M.A.; Indorante, S.J.; Lee, B.D.; Follmer, L.; Williams, D.R.; Fitch, B.C.; McCauley, W.M.; Bathgate, J.D.; Grimley, D.A.; Kleinschmidt, K. Location and expression of fragic soil properties in a loess-covered landscape, Southern Illinois, USA. Geoderma 2010, 154, 529–543. [Google Scholar] [CrossRef]
- Falsone, G.; Bonifacio, E. Pore-size distribution and particle arrangement in fragipan and nonfragipan horizons. J. Plant Nutr. Soil. Sci. 2009, 172, 696–703. [Google Scholar] [CrossRef]
- Rhoton, F.E. Soybean Yield Response to Various Depths of Erosion on a Fragipan Soil. Soil. Sci. Soc. Am. J. 1990, 54, 1073–1079. [Google Scholar] [CrossRef]
- Frye, W.W.; Murdock, L.W.; Blevins, R.L. Corn Yield—Fragipan Depth Relations on a Zanesville Soil. Soil. Sci. Soc. Am. J. 1983, 47, 1043–1045. [Google Scholar] [CrossRef]
- Bradford, J.M.; Blanchar, R.W. Profile Modification of a Fragiudalf to Increase Crop Production. Soil. Sci. Soc. Am. J. 1977, 41, 127–131. [Google Scholar] [CrossRef]
- Olson, K.R.; Mokma, D.L.; Lal, R.; Schumacher, T.E.; Lindstrom, M.J. Erosion impacts on crop yield for selected soils of the north central United States. In Soil Quality and Soil Erosion; CRC Press: Boca Raton, FL, USA, 1999; pp. 259–283. [Google Scholar]
- Bradford, J.M.; Blanchar, R.W. The Effect of Profile Modification of a Fragiudalf on Water Extraction and Growth by Grain-Sorghum. Soil. Sci. Soc. Am. J. 1980, 44, 374–378. [Google Scholar] [CrossRef]
- Duiker, S.W. In-row subsoiling benefits maize yield on soil with a shallow fragipan. Crop Forage Turf Man. 2020, 6, e20008. [Google Scholar] [CrossRef]
- Chen, G.H.; Weil, R.R. Penetration of cover crop roots through compacted soils. Plant Soil. 2010, 331, 31–43. [Google Scholar] [CrossRef]
- Illinois State Water Survey. Illinois Climate Network: Station Metadata: Snicarte. Available online: https://warm.isws.illinois.edu/warm/climnet/stationmeta.asp?site=SNI (accessed on 17 November 2024).
- Natural Resource Conservation Service (NRCS); United States Department of Agriculture. Soil Series Classification Database. 2024. Available online: https://www.nrcs.usda.gov/resources/data-and-reports/official-soil-series-descriptions-osd (accessed on 29 March 2024).
- Soltanpour, P.N.; Johnson, G.W.; Workman, S.M.; Jones, J.B., Jr.; Miller, R.O. Inductively Coupled Plasma Emission Spectrometry and Inductively Coupled Plasma-Mass Spectrometry. In Methods of Soil Analysis; Wiley Online Library: Hoboken, NJ, USA, 1996; pp. 91–139. [Google Scholar]
- Faé, G.S.; Montes, F.; Bazilevskaya, E.; Añó, R.M.; Kemanian, A.R. Making Soil Particle Size Analysis by Laser Diffraction Compatible with Standard Soil Texture Determination Methods. Soil Sci. Soc. Am. J. 2019, 83, 1244–1252. [Google Scholar] [CrossRef]
- Dane, J.H.; Hopmans, J.W. 3.3.2 Laboratory. In Methods of Soil Analysis; Wiley Online Library: Hoboken, NJ, USA, 2002; pp. 675–720. [Google Scholar]
- Vangenuchten, M.T. A Closed-Form Equation for Predicting the Hydraulic Conductivity of Unsaturated Soils. Soil Sci. Soc. Am. J. 1980, 44, 892–898. [Google Scholar] [CrossRef]
- da Silva, A.R.; de Lima, R.P. An R package to determine soil preconsolidation pressure. Comput. Geosci. 2015, 84, 54–60. [Google Scholar] [CrossRef]
- R Core Team. R: A Language and Environment for Statistical Computing; R Foundation for Statistical Computing: Vienna, Austria, 2024. [Google Scholar]
- Patrignani, A. 69: Soil Moisture Drydowns. Available online: https://soilwater.github.io/pynotes-agriscience/exercises/drydowns.html (accessed on 29 March 2024).
- Lenth, R.V. emmeans: Estimated Marginal Means, aka Least-Squares Means. R Package Version 1.10. 4.900001. 2024. Available online: https://CRAN.R-project.org/package=emmeans (accessed on 29 March 2024).
- Karathanasis, A.D. Mineral Solubility Relationships in Fragiudalfs of Western Kentucky. Soil Sci. Soc. Am. J. 1987, 51, 474–481. [Google Scholar] [CrossRef]
- Norfleet, M.L.; Karathanasis, A.D. Some physical and chemical factors contributing to fragipan strength in Kentucky soils. Geoderma 1996, 71, 289–301. [Google Scholar] [CrossRef]
- Drohan, P.J.; Thompson, J.A.; Lindbo, D.L.; Beaudette, D.E.; Dadio, S.D. Redefining the fragipan to improve field recognition and land use relevance. Soil Sci. Soc. Am. J. 2020, 84, 1055–1066. [Google Scholar] [CrossRef]
- Ogilvie, C.M.; Ashiq, W.; Vasava, H.B.; Biswas, A. Quantifying Root-Soil Interactions in Cover Crop Systems: A Review. Agriculture 2021, 11, 218. [Google Scholar] [CrossRef]
- Lucas, M.; Schlüter, S.; Vogel, H.J.; Vetterlein, D. Roots compact the surrounding soil depending on the structures they encounter. Sci. Rep. 2019, 9, 16236. [Google Scholar] [CrossRef] [PubMed]
- Weisenborn, B.N.; Schaetzl, R.J. Range of fragipan expression in some Michigan soils: I. Morphological, micromorphological, and pedogenic characterization. Soil Sci. Soc. Am. J. 2005, 69, 168–177. [Google Scholar] [CrossRef]
- Nichols, V.A.; Moore, E.B.; Gailans, S.; Kaspar, T.C.; Liebman, M. Site-specific effects of winter cover crops on soil water storage. Agrosystems Geosci. Environ. 2022, 5, e220238. [Google Scholar] [CrossRef]
- Bodner, G.; Leitner, D.; Kaul, H.P. Coarse and fine root plants affect pore size distributions differently. Plant Soil 2014, 380, 133–151. [Google Scholar] [CrossRef]
- Benson, C.H.; Chiang, I.; Chalermyanont, T.; Sawangsuriya, A. Estimating van Genuchten parameters α and n for clean sands from particle size distribution data. In From Soil Behavior Fundamentals to Innovations in Geotechnical Engineering: Honoring Roy E. Olson; Academic Press: Cambridge, MA, USA, 2014; pp. 410–427. [Google Scholar]
- Rhoton, F.E.; Romkens, M.J.M. Water distribution in a fragipan soil during the growing season. Agron. J. 1998, 90, 368–375. [Google Scholar] [CrossRef]
- Day, R.L.; Calmon, M.A.; Stiteler, J.M.; Jabro, J.D.; Cunningham, R.L. Water balance and flow patterns in a fragipan using in situ soil block. Soil Sci. 1998, 163, 517–528. [Google Scholar] [CrossRef]


| Depth | Sand% | Silt% | Clay% | |||
|---|---|---|---|---|---|---|
| (cm) | NCC | CC | NCC | CC | NCC | CC |
| Marion | ||||||
| 0–15 | 5.33 (0.96) a | 5.53 (0.06) a | 74.2 (0.62) a | 74.3 (0.64) a | 20.5 (0.47) a | 20.1 (0.57) a |
| 15–30 | 4.37 (2.25) a | 3.73 (0.76) a | 69.9 (1.85) a | 70.3 (1.04) a | 25.8 (0.76) a | 26.0 (0.70) a |
| 30–45 | 2.70 (1.49) a | 2.80 (1.40) a | 72.7 (0.31) a | 70.5 (1.47) b | 24.5 (1.19) a | 26.7 (2.03) a |
| 45–60 | 2.17 (0.57) a | 2.33 (0.31) a | 74.4 (0.35) a | 74.5 (1.95) a | 23.5 (0.91) a | 23.2 (1.69) a |
| Springerton | ||||||
| 0–15 | 11.6 (5.91) a | 13.5 (4.54) a | 66.7 (4.28) a | 66.1 (3.98) a | 21.7 (2.08) a | 20.5 (1.04) a |
| 15–30 | 7.05 (3.90) a | 6.18 (3.71) a | 67.0 (2.92) a | 66.6 (4.28) a | 26.0 (1.18) a | 27.2 (2.35) a |
| 30–45 | 4.55 (2.83) a | 7.48 (4.84) a | 68.0 (2.21) a | 67.0 (3.31) a | 27.5 (0.91) a | 25.0 (1.66) b |
| 45–60 | 4.65 (1.71) a | 5.05 (5.44) a | 68.1 (2.97) a | 68.6 (3.67) a | 27.3 (1.53) a | 26.3 (2.15) a |
| 60–75 | 4.88 (2.17) a | 9.58 (5.59) a | 69.5 (3.41) a | 66.8 (4.02) a | 25.7 (2.66) a | 23.6 (3.06) a |
| 75–90 | 13.8 (3.26) a | 12.5 (7.95) | 62.7 (0.88) a | 65.9 (6.19) a | 23.6 (2.44) a | 21.7 (2.94) a |
| Depth (cm) | Bulk Density (Mg m−3) | pH | Total Carbon (g kg−1) | Total N (g kg−1) | Mehlich3-P (mg kg−1) | Mehlich3-Fe (mg kg−1) | Mehlich 3-Al (mg kg−1) | |||||||
|---|---|---|---|---|---|---|---|---|---|---|---|---|---|---|
| NCC | CC | NCC | CC | NCC | CC | NCC | CC | NCC | CC | NCC | CC | NCC | CC | |
| Marion | ||||||||||||||
| 0–15 | 1.17 a | 1.22 a | 5.91 a | 5.44 a | 11.7 a | 10.2 a | 1.40 a | 1.27 a | 27.3 a | 22.5 a | 237 a | 226 a | 616 a | 672 a |
| 15–30 | 1.27 a | 1.27 a | 6.40 a | 6.02 a | 4.33 a | 5.33 a | 0.63 a | 0.83 a | 9.16 a | 10.5 a | 169 a | 173 a | 760 a | 749 a |
| 30–45 | 1.18 a | 1.20 a | 5.95 a | 6.14 a | 3.07 a | 2.73 a | 0.60 a | 0.53 a | 12.1 a | 9.00 b | 172 a | 159 a | 897 a | 820 a |
| 45–60 | 1.25 a | 1.20 a | 5.22 a | 5.51 a | 2.40 a | 2.03 a | 0.53 a | 0.50 a | 9.2 a | 10.3 a | 198 a | 172 a | 1018 a | 892 a |
| Springerton | ||||||||||||||
| 0–15 | 1.17 a | 1.17 a | 5.09 a | 4.98 a | 11.7 a | 10.9 | 1.35 a | 1.40 a | 16.4 a | 16.6 a | 200 a | 208 a | 762 a | 754 a |
| 15–30 | 1.22 b | 1.36 a | 4.82 a | 4.73 a | 4.20 a | 2.97 a | 0.68 a | 0.58 a | 5.75 a | 4.67 a | 183 a | 161 a | 1073 a | 1073 a |
| 30–45 | 1.22 b | 1.29 a | 4.04 a | 4.10 a | 2.38 a | 1.93 a | 0.55 a | 0.53 a | 2.69 a | 2.33 a | 237 a | 213 a | 1432 a | 1403 a |
| 45–60 | 1.25 b | 1.31 a | 4.02 a | 4.02 a | 4.20 a | 1.65 a | 0.60 a | 0.50 a | 5.48 a | 3.74 a | 260 a | 246 a | 1362 b | 1509 a |
| 60–75 | 1.30 b | 1.36 a | 4.06 a | 4.07 a | 1.90 a | 1.33 a | 0.48 a | 0.43 a | 8.44 a | 6.56 a | 251 a | 202 a | 1253 a | 1314 a |
| 75–90 | 1.36 a | 1.33 a | 4.14 a | 4.12 a | 1.40 a | 1.17 a | 0.35 a | 0.30 a | 9.29 a | 9.83 a | 200 a | 186 a | 1086 a | 1157 a |
| Depth (cm) | ThetaS (cm3 cm−3) | ThetaR (cm3 cm−3) | Alpha (KPa−1) | n | Plant Available Water (mm) | |||||
|---|---|---|---|---|---|---|---|---|---|---|
| NCC | CC | NCC | CC | NCC | CC | NCC | CC | NCC | CC | |
| Marion | ||||||||||
| 0–15 | 0.45 a | 0.43 a | 0.08 a | 0.06 a | 0.01 a | 0.01 a | 2.72 a | 2.73 a | 55.8 a | 54.6 a |
| 15–30 | 0.40 a | 0.42 a | 0.11 a | 0.10 a | 0.01 a | 0.01 a | 2.77 a | 2.99 a | 44.4 a | 47.3 a |
| 30–45 | 0.40 a | 0.42 a | 0.12 a | 0.10 a | 0.01 a | 0.01 a | 2.85 a | 2.71 a | 43.1 a | 47.8 a |
| 45–60 | 0.44 a | 0.45 a | 0.17 a | 0.12 a | 0.01 a | 0.02 a | 2.87 a | 2.23 b | 41.4 b | 48.7 a |
| Storage | 202 a | 220 a | ||||||||
| Springerton | ||||||||||
| 0–15 | 0.34 a | 0.33 a | 0.09 a | 0.09 a | 0.01 a | 0.01 a | 4.39 a | 4.49 a | 37.5 a | 36.5 a |
| 15–30 | 0.36 a | 0.40 a | 0.14 a | 0.12 a | 0.01 a | 0.0 a | 4.06 a | 3.34 a | 31.9 a | 42.6 a |
| 30–45 | 0.39 a | 0.42 a | 0.20 a | 0.20 a | 0.01 a | 0.01 a | 5.15 a | 3.25 b | 29.5 a | 33.6 a |
| 45–60 | 0.41 a | 0.46 a | 0.17 b | 0.22 a | 0.01 a | 0.01 a | 3.22 a | 2.95 a | 35.4 a | 36.0 a |
| 60–75 | 0.40 b | 0.45 a | 0.17 b | 0.21 a | 0.01 a | 0.01 a | 3.62 a | 3.29 a | 34.4 a | 36.3 a |
| 75–90 | 0.38 b | 0.42 a | 0.16 b | 0.19 a | 0.01 a | 0.01 a | 3.67 a | 3.58 a | 33.3 a | 35.0 a |
| Storage | 184 a | 198 a | ||||||||
| Site | Marion | Springerton | Marion | Springerton | Marion | Springerton | Marion | Springerton | Springerton | |
|---|---|---|---|---|---|---|---|---|---|---|
| Depth | 0–15 cm | 15–30 cm | 30–45 cm | 45–60 cm | 60–75 cm | 75–90 cm | ||||
| Sand | 0.16 | −0.41 | 0.48 | 0.01 | 0.10 | 0.42 | −0.07 | −0.12 | −0.21 | 0.39 |
| Silt | 0.23 | 0.46 | −0.70 | −0.01 | −0.73 | −0.27 | 0.80 | 0.48 | 0.51 | −0.06 |
| Clay | −0.42 | 0.17 | 0.35 | −0.01 | 0.60 | −0.59 | −0.80 | −0.57 | −0.31 | −0.73 |
| BD | −0.28 | 0.36 | −0.30 | 0.66 | −0.28 | 0.50 | 0.22 | 0.28 | 0.60 | 0.37 |
| pH | −0.49 | 0.71 | −0.55 | 0.64 | 0.27 | −0.07 | 0.25 | −0.17 | 0.26 | 0.50 |
| Mehlich 3-P | −0.06 | −0.44 | 0.26 | 0.30 | 0.11 | −0.69 | 0.14 | −0.34 | 0.33 | 0.60 |
| Mehlich 3-Al | 0.22 | −0.23 | −0.46 | −0.50 | −0.65 | −0.18 | −0.37 | 0.49 | −0.20 | −0.49 |
| Mehlich 3-Fe | −0.10 | −0.73 | 0.60 | −0.44 | −0.40 | −0.23 | −0.37 | 0.33 | −0.47 | −0.67 |
Disclaimer/Publisher’s Note: The statements, opinions and data contained in all publications are solely those of the individual author(s) and contributor(s) and not of MDPI and/or the editor(s). MDPI and/or the editor(s) disclaim responsibility for any injury to people or property resulting from any ideas, methods, instructions or products referred to in the content. |
© 2024 by the authors. Licensee MDPI, Basel, Switzerland. This article is an open access article distributed under the terms and conditions of the Creative Commons Attribution (CC BY) license (https://creativecommons.org/licenses/by/4.0/).
Share and Cite
Chatterjee, A.; Dinnes, D.L.; Olk, D.C.; O’Brien, P.L. Influence of Annual Ryegrass (Lolium multiflorum) as Cover Crop on Soil Water Dynamics in Fragipan Soils of Southern Illinois, USA. Soil Syst. 2024, 8, 126. https://doi.org/10.3390/soilsystems8040126
Chatterjee A, Dinnes DL, Olk DC, O’Brien PL. Influence of Annual Ryegrass (Lolium multiflorum) as Cover Crop on Soil Water Dynamics in Fragipan Soils of Southern Illinois, USA. Soil Systems. 2024; 8(4):126. https://doi.org/10.3390/soilsystems8040126
Chicago/Turabian StyleChatterjee, Amitava, Dana L. Dinnes, Daniel C. Olk, and Peter L. O’Brien. 2024. "Influence of Annual Ryegrass (Lolium multiflorum) as Cover Crop on Soil Water Dynamics in Fragipan Soils of Southern Illinois, USA" Soil Systems 8, no. 4: 126. https://doi.org/10.3390/soilsystems8040126
APA StyleChatterjee, A., Dinnes, D. L., Olk, D. C., & O’Brien, P. L. (2024). Influence of Annual Ryegrass (Lolium multiflorum) as Cover Crop on Soil Water Dynamics in Fragipan Soils of Southern Illinois, USA. Soil Systems, 8(4), 126. https://doi.org/10.3390/soilsystems8040126

