Response of Sunflower Yield and Water Productivity to Saline Water Irrigation in the Coastal Zones of the Ganges Delta
Abstract
1. Introduction
2. Materials and Methods
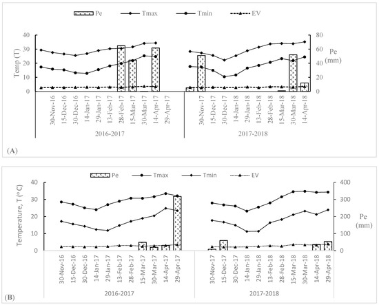
2.1. Location of the Study Sites, Weather and Soil Characteristics
2.2. Experimental Design and Treatments
2.3. Crop Management
2.4. Measuring Soil Water Content, Soil Electrical Conductivity and Solute Potential
2.5. Irrigation Water Salinity
2.6. Estimation of Irrigation Water Use
2.7. Sunflower Yield, Crop Water Productivity (CWP) and Irrigation Water Productivity (IWP)
2.8. Statistical Analysis
3. Results
3.1. Variation of Sunflower Seed Yield and Yield Components
3.2. Water Use, Crop Water Productivity and Irrigation Water Productivity
3.3. Variation in Soil Salinity
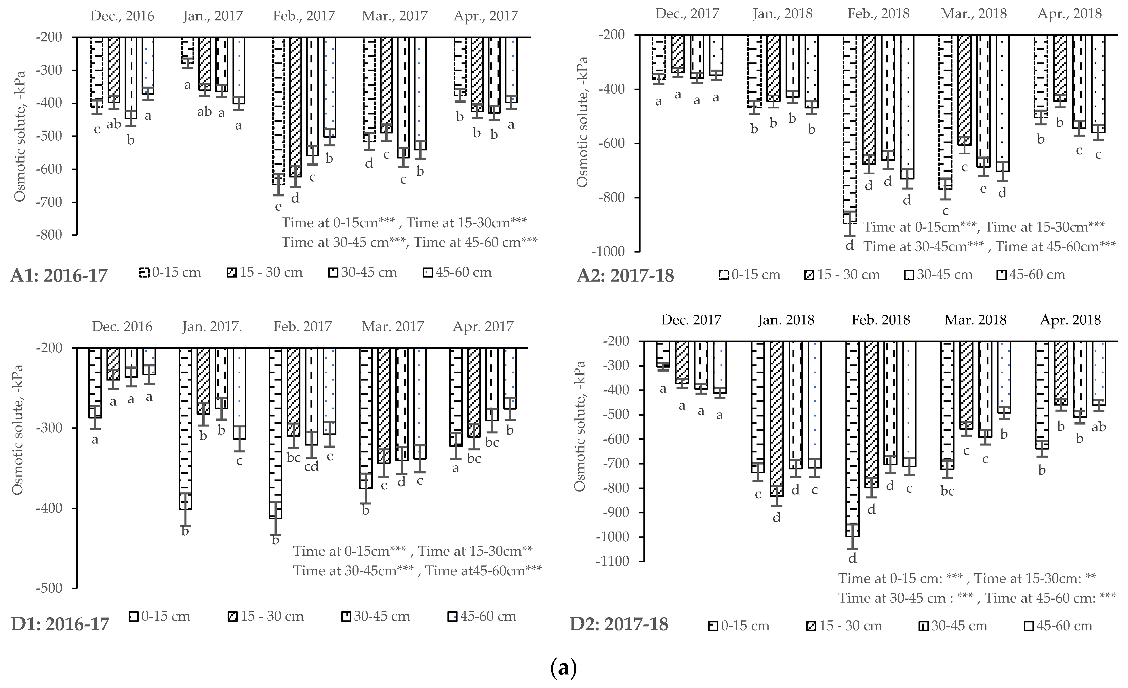
3.4. Variations of Solute Potential
3.5. Variations of Soil Water Content
4. Discussion
4.1. Variation of Sunflower Seed Yield and Yield Components
4.2. Seasonal Crop Water Use, Crop Water Productivity and Irrigation Water Productivity
4.3. Variation in Soil Salinity
4.4. Variations of Solute Potential
4.5. Variations of Soil Water Content
5. Conclusions
Author Contributions
Funding
Institutional Review Board Statement
Informed Consent Statement
Data Availability Statement
Acknowledgments
Conflicts of Interest
Abbreviations
References
- Vellinga, P.; Rahman, A.; Wolthuis, B.; Barrett-Lennard, E.G.; Choukr-Allah, R.; Elzenga, T.; Kaus, A.; Negacz, K. Saline agriculture: A call to Action. In Future of Sustainable Agriculture in Saline Environments, 1st ed.; Negacz, K., Vellinga, P., Barrett-Lennard, E.G., Choukr-Allah, R., Elzenga, T., Eds.; eBook Published; CRC Press: Boca Raton, FL, USA, 2021; pp. 1–13. [Google Scholar] [CrossRef]
- Mainuddin, M.; Rahman, M.A.; Maniruzaman, M.; Sarker, K.K.; Mandal, U.K.; Nanda, M.K.; Gaydon, D.S.; Sarangi, S.K.; Sarkar, S.; Yu, Y.; et al. The Water and Salt Balance of Polders/Islands in the Ganges Delta. J. Indian Soc. Coast. Agric. Res. 2019, 37, 45–50. [Google Scholar] [CrossRef]
- Schulthess, U.; Krupnik, T.J.; Ahmed, Z.U.; McDonald, A.J. Decentralized Surface Water Irrigation as a Pathway for Sustainable Intensification in Southern Bangladesh: On How Much Land Can the Drop Be Brought to the Crop? In Proceedings of the Conference on Revitalizing the Ganges Coastal Zone: Turning Science into Policy and Practices, Dhaka, Bangladesh, 21–23 October 2014; Humphreys, E., Tuong, T.P., Buisson, M.C., Pukinskis, I., Phillips, M., Eds.; CGIAR Challenge Program on Water and Food (CPWF): Colombo, Sri Lanka, 2015; pp. 542–552. [Google Scholar]
- Haque, M.A.; Jahiruddin, M.; Clarke, D. Effect of plastic mulch on crop yield and land degradation in south coastal saline soils of Bangladesh. Int. Soil Water Conserv. Res. 2018, 6, 317–324. [Google Scholar] [CrossRef]
- Rhodes, J.D.; Kandiah, A.; Mashali, A.M. The Use of Saline Water for Crop Production; FAO Irrigation and Drainage Paper 1992, No. 48; Food and Agriculture Organization of the United Nations (FAO): Rome, Italy, 1992. [Google Scholar]
- Humphreys, E.; Tuong, T.P.; Buisson, M.C.; Pukinskis, I.; Phillips, M. Revitalizing the Ganges Coastal Zone: Turning Science into Policy and Practices Conference Proceedings; CGIAR Challenge Program on Water and Food (CPWF): Colombo, Sri Lanka, 2015; 652p. [Google Scholar]
- Huq, N.; Hugé, J.; Boon, E.; Gain, A.K. Climate change impacts in agricultural communities in rural areas of coastal Bangladesh: A tale of many stories. Sustainability 2015, 7, 8437–8460. [Google Scholar] [CrossRef]
- Hoque, M.Z.; Haque, M.E. Impact of climate change on crop production and adaptation practices in coastal saline areas of Bangladesh. Int. J. Adv. Res. 2016, 2, 10–19. [Google Scholar]
- Saqib, M.; Akhtar, J.; Qureshi, R.H. Pot study on wheat growth in saline and waterlogged compact soil. Soil Tillage Res. 2004, 77, 169–177. [Google Scholar] [CrossRef]
- Chen, M.; Kang, Y.; Wan, S.; Liu, S. Drip irrigation with saline water for oleic sunflower (Helianthus annuus L.). Agric. Water Manag. 2009, 96, 1766–1772. [Google Scholar] [CrossRef]
- Mila, A.J.; Bell, R.W.; Barrett-Lennard, E.G.; Kabir, E. Salinity Dynamics and Water Availability in Water Bodies over a Dry Season in the Ganges Delta: Implications for Cropping Systems Intensification. In Future of Sustainable Agriculture in Saline Environments, 1st ed.; eBook Published; CRC Press: Boca Raton, FL, USA, 2021; pp. 305–322. [Google Scholar]
- Mojid, M.A.; Mia, M.S.; Saha, A.K.; Tabriz, S.S. Growth stage sensitivity of wheat to irrigation water salinity. J. Bangladesh Agric. Univ. 2014, 11, 147–152. [Google Scholar] [CrossRef]
- Hassanli, M.; Ebrahimian, H. Cyclic use of saline and non-saline water to increase water use efficiency and soil sustainability on drip irrigated maize. Span. J. Agric. Res. 2016, 14, e1204. [Google Scholar] [CrossRef]
- Mila, A.J.; Bell, R.W.; Barrett-Lennard, E.G.; Kabir, M.E.; Dell, B. Flowering is the critical growth stage for adverse effects of salinity on the grain yield of sunflower. Plant Soil 2023, 492, 285–299. [Google Scholar] [CrossRef]
- Mojid, M.A.; Hossain, A.B.M.Z. Conjunctive Use of Saline and Fresh Water for Irrigating Wheat (Triticum aestivum L.) at Different Growth Stages. Agriculturists 2013, 11, 15–23. [Google Scholar] [CrossRef]
- Murad, K.F.I.; Hossain, A.; Fakir, O.A.; Biswas, S.K.; Sarker, K.K.; Rannu, R.P.; Timsina, J. Conjunctive use of saline and fresh water increases the productivity of maize in saline coastal region of Bangladesh. Agric. Water Manag. 2018, 204, 262–270. [Google Scholar] [CrossRef]
- Xue, J.; Ren, L. Conjunctive use of saline and non-saline water in an irrigation district of the Yellow River Basin. Irrig. Drain. 2017, 66, 147–162. [Google Scholar] [CrossRef]
- Liu, X.W.; Til, F.; Chen, S.Y.; Shao, L.W.; Sun, H.Y.; Zhang, X.Y. Effects of saline irrigation on soil salt accumulation and grain yield in the winter wheat-summer maize double cropping system in the low plain of North China. J. Integr. Agric. 2016, 15, 2886–2898. [Google Scholar] [CrossRef]
- Sang, H.; Guo, W.; Gao, Y.; Jiao, X.; Pan, X. Effects of alternating fresh and saline water irrigation on soil salinity and chlorophyll fluorescence of summer maize. Water 2020, 12, 3054. [Google Scholar] [CrossRef]
- Chauhan, S.K.; Chauhan, C.P.S.; Minhas, P.S. Effect of cyclic use and blending of alkali and good quality waters on soil properties, yield and quality of potato, sunflower and Sesbania. Irrig. Sci. 2007, 26, 81–89. [Google Scholar] [CrossRef]
- Minhas, P.S.; Dubey, S.K.; Sharma, D.R. Comparative effects of intra/inter-seasonal cyclic uses and blending of alkali and good quality water on soil properties and crop yields under paddy wheat system. Agric. Water Manag. 2007, 87, 83–90. [Google Scholar] [CrossRef]
- Al Khamisi, S.A.; Prathapar, S.A.; Ahmed, M. Conjunctive use of reclaimed water and groundwater in crop rotations. Agric. Water Manag. 2023, 116, 228–234. [Google Scholar] [CrossRef]
- Wang, Q.; Huo, Z.; Zhang, L.; Wang, J.; Zhao, Y. Impact of saline water irrigation on water use efficiency and soil salt accumulation for spring maize in arid regions of China. Agric. Water Manag. 2016, 163, 125–138. [Google Scholar] [CrossRef]
- Pasternak, D.; De Malach, Y. Irrigation with brackish water under desert conditions X. Irrigation management of tomatoes (Lycopersicon esculentum Mills) on desert sand dunes. Agric. Water Manag. 1995, 28, 121–132. [Google Scholar] [CrossRef]
- Ma, W.; Mao, Z.; Zhenrong, Y.; van Mensvoort, M.E.F.; Driessen, M.P. Effects of saline water irrigation on soil salinity and yield of winter wheat–maize in North China Plain. Irrig. Drain. Syst. 2008, 22, 3–18. [Google Scholar] [CrossRef]
- Walkley, A.; Black, I.A. An examination of the Degtjareff method for determining soil organic matter, and a proposed modification of the chromic acid titration method. Soil Sci. 1934, 37, 29–38. [Google Scholar] [CrossRef]
- BARC (Bangladesh Agricultural Research Council). Fertilizer Recommendation Guide; BARC; Farmgate: Dhaka, Bangladesh, 2012.
- Paul, P.L.C.; Bell, R.W.; Barrett-Lennard, E.G.; Kabir, M.E. Opportunities and risks with early sowing of sunflower in a salt-affected coastal region of the Ganges Delta. Agron. Sustain. Dev. 2021, 41, 39. [Google Scholar] [CrossRef]
- Slavich, P.G.; Petterson, G.H. Estimating the electrical conductivity of saturated paste extracts from 1:5 soil: Water suspensions and texture. Aust. J. Soil Res. 1993, 31, 73–81. [Google Scholar] [CrossRef]
- Rengasamy, P. Soil processes affecting crop production in salt-affected soils. Funct. Plant Biol. 2010, 37, 613–620. [Google Scholar] [CrossRef]
- Devkota, M.; Devkota, K.P.; Martius, C.; Gupta, R.K.; McDonald, A.J.; Lamers, J.P.A. Managing soil salinity with permanent bed planting in irrigated production systems in Central Asia. Agric. Ecosyst. Environ. 2015, 202, 90–97. [Google Scholar] [CrossRef]
- Paul, P.L.C.; Bell, R.W.; Barrett-Lennard, E.G.; Kabir, M.E. Variation in the yield of sunflower (Helianthus annuus L.) due to differing tillage systems is associated with variation in solute potential of the soil solution in a salt-affected coastal region of the Ganges Delta. Soil Tillage Res. 2020, 197, 104489. [Google Scholar] [CrossRef]
- USSLS (United States Salinity Laboratory Stuff). Diagnosis and Important of Saline and Alkali Soils; Agriculture Handbook No. 60; US Government Printing Office: Washington, DC, USA, 1994. [Google Scholar]
- Reddi, G.H.S.; Reddy, T.Y. Efficient Use of Irrigation Water, 1st ed.; Reprint 2015; Kalyani Publishers: New Delhi, India, 1995; ISBN 81-272-0258-4. [Google Scholar]
- Michael, A.M. Irrigation: Theory and Practice, 1st ed.; Vikash Publishing House Pvt. Ltd.: New Delhi, India, 1978; 801p. [Google Scholar]
- Majumdar, D.K. Irrigation Water Management: Principles and Practice, 3rd ed.; Practice Hill of India Private Limited: New Delhi, India, 2004. [Google Scholar]
- Sarker, K.K.; Kamar, S.S.A.; Hossain, M.A.; Mainuddin, M.; Bell, R.W.; Barrett-Lennard, E.G.; Gaydon, D.; Glover, M.; Saha, R.R.; Ali, M.A.; et al. Cropping System Based Irrigation for Improving Crop and Water Productivity in the Coastal Zone of Bangladesh. J. Indian Soc. Coast. Agric. Res. 2019, 37, 82–97. [Google Scholar]
- Ierna, A.; Mauromicale, G. Potato growth, yield and water productivity response to different irrigation and fertilization regimes. Agric. Water Manag. 2018, 201, 21–26. [Google Scholar] [CrossRef]
- Smith, M. CROPWAT: A Computer Program for Irrigation Planning and Management; Irrigation and Drainage Paper; FAO (Food and Agriculture Organization): Rome, Italy, 1992; Volume 46. [Google Scholar]
- Alauddin, M.; Amarasinghe, U.A.; Sharma, B.R. Four decades of rice water productivity in Bangladesh: A spatio-temporal analysis of district level panel data. Econ. Anal. Policy 2014, 44, 51–64. [Google Scholar] [CrossRef]
- Wang, X.; Yang, J.; Liu, G.; Yao, R.; Yu, S. Impact of irrigation volume and water salinity on winter wheat productivity and soil salinity distribution. Agric. Water Manag. 2015, 149, 44–54. [Google Scholar] [CrossRef]
- R Core Team. R: A Language and Environment for Statistical Computing; R Foundation for Statistical Computing: Vienna, Austria, 2013; ISBN 3-900051-07-0. Available online: http://www.R-project.org/ (accessed on 9 August 2019).
- Kiani, A.; Mirlatifi, S. Effect of different quantities of supplemental irrigation and its salinity on yield and water use of winter wheat (Triticum aestivum). Irrig. Drain. 2012, 61, 89–98. [Google Scholar] [CrossRef]
- Gandahi, A.W.; Kubar, A.; Sarki, M.S.; Talpur, N.; Gandahi, M. Response of conjunctive use of fresh and saline water on growth and biomass of cotton genotypes. J. Basic Appl. Sci. 2017, 13, 326–334. [Google Scholar] [CrossRef]
- Gupta, R.K.; Abrol, I.P. Salt affected soils their reclamation and management for crop production. Adv. Soil Sci. 1990, 11, 223–288. [Google Scholar]
- Sarkar, R.K.; Chakrabarty, A. Yield components and yield of sunflower (Helianthus annuus), sesame (Sesamum indicum) and greengram (Phaseolus radiata) as influenced by irrigation and intercropping. Indian J. Agron. 1995, 40, 499–501. [Google Scholar]
- Jana, P.K.; Misra, B.; Kar, P.K. Effect of irrigation at different physiological stages of growth on yield attributes, yield, consumptive use and water use efficiency of sunflower. Indian Agric. 1982, 26, 39–42. [Google Scholar]
- Rashid, M.H.; Nasrin, S.; Mahalder, D. Zero tilled dibbled sunflower enables planting earlier and harvests more in the coastal saline area of Bangladesh. Int. J. Env. Sci. Dev. 2014, 5, 260–264. [Google Scholar] [CrossRef][Green Version]
- Mondal, M.K.; Paul, P.; Humphreys, E.; Tuong, T.; Ritu, S.; Rashid, M.; Humphreys, E.; Buisson, M.; Pukinskis, I.; Phillips, M. Opportunities for Cropping System Intensification in the Coastal Zone of Bangladesh. In Proceedings of the CPWF, GBDC, WLE Conference on Revitalizing the Ganges Coastal Zone: Turning Science into Policy and Practices, Dhaka, Bangladesh, 21–23 October 2015; Humphreys, E., Tuong, T.P., Buisson, M.C., Pukinskis, I., Phillips, M., Eds.; CGIAR Challenge Program on Water and Food (CPWF): Colombo, Sri Lanka, 2015; pp. 449–476. [Google Scholar]
- Sarangi, S.K.; Singh, S.; Kumar, V.; Srivastava, A.K.; Sharma, P.C.; Johnson, D.E. Tillage and crop establishment options for enhancing the productivity, profitability, and resource use efficiency of rice-rabi systems of the salt-affected coastal lowlands of eastern India. Field Crops Res. 2019, 247, 107494. [Google Scholar] [CrossRef]
- Pereira, S.I.A.; Moreira, H.; Argyras, K.; Castro, P.M.L.; Marquesa, A.P.G.C. Promotion of sunflower growth under saline water irrigation by the inoculation of beneficial microorganisms. Appl. Soil Ecol. 2016, 105, 36–47. [Google Scholar] [CrossRef]
- Erdem, T.; Delbes, L.; Orta, H. Water use characteristics of sunflower (Helianthus annuus L.) under deficit irrigation. Pak. J. Biol. Sci. 2001, 4, 766–769. [Google Scholar] [CrossRef]
- Patel, J.C.; Singh, R.M. Yield and nutrient uptake of sunflower (Helianthus annuus L.) as influenced by irrigation, mulch and cycocel. Ind. J. Agron. 1983, 28, 205–210. [Google Scholar]
- Kang, Y.; Chen, M.; Wan, S. Effects of drip irrigation with saline water on waxy maize (Zea mays L. var. ceratina Kulesh) in North China Plain. Agric. Water Manag. 2010, 97, 1303–1309. [Google Scholar] [CrossRef]
- Wan, S.; Kang, Y.; Wang, D.; Liu, S.P.; Feng, L.P. Effect of drip irrigation with saline water on tomato (Lycopersicon esculentum Mill) yield and water use in semi-humid area. Agric. Water Manag. 2007, 90, 63–74. [Google Scholar] [CrossRef]
- Ben-Asher, J.; Tsuyuki, I.; Bravdo, B.M.; Sagih, M. Irrigation of grapevines with saline water: I. Leaf area index, stomatal conductance, transpiration and photosynthesis. Agric. Water Manag. 2006, 83, 13–21. [Google Scholar] [CrossRef]
- Bakker, D.; Hamilton, M.; Hetherington, G.J.; Spann, R. Salinity dynamics and the potential for improvement of water logged and saline land in a Mediterranean climate using permanent raised beds. Soil Tillage Res. 2010, 110, 8–24. [Google Scholar] [CrossRef]
- Ashraf, M.; Saeed, M.M. Effect of improved cultural practices on crop yield and soil salinity under relatively saline groundwater applications. Irrig. Drain. Syst. 2006, 20, 111–124. [Google Scholar] [CrossRef]
- Oron, G.; DeMalach, Y.; Gillerman, L.; David, I.; Lurie, S. Effect of Water Salinity and Irrigation Technology on Yield and Quality of Pears. Biosyst. Eng. 2002, 81, 237–247. [Google Scholar] [CrossRef]
- Li, C.; Lei, J.; Zhao, Y.; Xu, X.; Li, S. Effect of saline water irrigation on soil development and plant growth in the Taklimakan Desert Highway shelterbelt. Soil Tillage Res. 2015, 146, 99–107. [Google Scholar] [CrossRef]
- Rahman, M.M.; Penny, G.; Mondal, M.S.; Zaman, M.H.; Kryston, A.; Salehin, M.; Nahar, Q.; Islam, M.S.; Bolster, D.; Tank, J.L.; et al. Salinization in large river deltas: Drivers, impacts and socio-hydrological Feedbacks. Water Secur. 2019, 6, 100024. [Google Scholar] [CrossRef]
- Francois, L.E. Salinity effects on four sunflower hybrids. Agron. J. 1996, 88, 215–219. [Google Scholar] [CrossRef]
- Bell, R.W.; Mainuddin, M.; Barrett-Lennard, E.G.; Sarangi, S.K.; Maniruzaman, M.; Brahmachari, K.; Sarker, K.K.; Burman, D.; Gaydon, D.S. Cropping Systems Intensification in the Coastal Zone of the Ganges Delta: Opportunities and Risks. J. Indian Soc. Coast. Agric. Res. 2019, 37, 153–161. [Google Scholar]
- Yu, Y.; Mainuddin, M.; Maniruzzaman MMandal, U.K.; Sarangi, S.K. Rainfall and temperature characteristics in the coastal zones of Bangladesh and West Bengal, India. J. Indian Soc. Coast. Agric. Res. 2019, 37, 12–23. [Google Scholar]
- Schulthess, U.; Ahmed, Z.U.; Aravindakshan, S.; Rokon, G.M.; Alanuzzaman Kurishi, A.S.M.; Krupnik, T.J. Farming on the fringe: Shallow groundwater dynamics and irrigation scheduling for maize and wheat in Bangladesh’s coastal delta. Field Crops Res. 2019, 239, 135–148. [Google Scholar] [CrossRef] [PubMed]
- Verma, A.K.; Gupta, S.K.; Isaac, R.K. Use of saline water for irrigation in monsoon climate and deep water table regions: Simulation modeling with SWAP. Agric. Water Manag. 2012, 115, 186–193. [Google Scholar] [CrossRef]
- Rengasamy, P. World Salinization with Emphasis on Australia. J. Exp. Bot. 2006, 57, 1017–1023. [Google Scholar] [CrossRef]
- Paul, P.L.C.; Bell, R.W.; Barrett-Lennard, E.G.; Kabir, E. Straw mulch and irrigation affect solute potential and sunflower yield in a heavy textured soil in the Ganges Delta. Agric. Water Manag. 2020, 239, 106211. [Google Scholar] [CrossRef]
- Doorenbos, J.; Kassam, A.H. Yield Response to Water; FAO Irrigation and Drainage, Paper 33; Food and Agriculture Organization of the United Nations: Rome, Italy, 1986. [Google Scholar]
- Unger, P.W. Irrigation effect on sunflower growth, development, and water use. Field Crops Res. 1983, 7, 181–194. [Google Scholar] [CrossRef]
- Cox, W.J.; Jolliff, G.D. Growth and yield of sunflower and soybean under soil water deficits. Agron. J. 1986, 78, 226–230. [Google Scholar] [CrossRef]
- Jiang, J.; Huo, Z.L.; Feng, S.F.; Zhang, C.B. Effect of irrigation amount and water salinity on water consumption and water productivity of spring wheat in North-west China. Field Crop Res. 2012, 137, 78–88. [Google Scholar] [CrossRef]
- Malash, N.; Ali, F.; Fatahalla, M.; Hatem, M.; Tawfic, S. Response of tomato to irrigation with saline water applied by different irrigation methods and water management strategies. Int. J. Plant Prod. 2012, 2, 101–116. [Google Scholar]
- Singh, A.; Panda, S.N. Effect of saline irrigation water on mustard (Brassica juncea) crop yield and soil salinity in a semi-arid area of North India. Exp. Agric. 2012, 48, 99–110. [Google Scholar] [CrossRef]







| Location | Soil Depth, cm | Field Capacity, % w/w | Clay (%) | Silt (%) | Texture Class | Bulk Density (g/cm3) | Organic Matter, g/kg |
|---|---|---|---|---|---|---|---|
| Amtali | 0–15 | 31.8 | 28 | 30 | Clay loam | 1.45 | 8.3 |
| 15–30 | 31.4 | 29 | 27 | Clay loam | 1.46 | 10.2 | |
| 30–45 | 31.9 | 31 | 28 | Clay loam | 1.43 | 9.5 | |
| 45–60 | 31.9 | 29 | 26 | Clay loam | 1.46 | 5.9 | |
| Dacope | 0–15 | 36.2 | 35 | 21 | Clay loam | 1.37 | 17.1 |
| 15–30 | 35.6 | 39 | 17 | Clay loam | 1.39 | 10.2 | |
| 30–45 | 37.4 | 42 | 15 | Clay | 1.31 | 9.3 | |
| 45–60 | 39.7 | 37 | 18 | Clay loam | 1.38 | 20.2 |
| Year | Location | Treatment | Irrigation (IR) Event | Amount of Applied IR Water (I, mm) | Pe (mm) | ΔSMC (mm) | ETa (mm) | ||
|---|---|---|---|---|---|---|---|---|---|
| 1st IR (mm) | 2nd IR (mm) | 3rd IR (mm) | |||||||
| 2016–2017 | Dacope | T1 | 28 | 66 | - | 94 | 90 | −13 | 171 |
| T2 | 28 | 66 | - | 94 | 90 | −14 | 170 | ||
| T3 | 28 | - | 68 | 96 | 90 | −16 | 170 | ||
| T4 | 28 | 66 | 68 | 162 | 90 | −19 | 233 | ||
| T5 | 28 | 66 | 68 | 162 | 90 | −21 | 231 | ||
| T6 | 28 | 66 | 68 | 162 | 90 | −23 | 229 | ||
| Amtali | T1 | 22 | 65 | - | 87 | 84 | −6 | 165 | |
| T2 | 22 | 65 | - | 87 | 84 | −7 | 164 | ||
| T3 | 22 | - | 12 | 34 | 84 | 4 | 122 | ||
| T4 | 22 | 65 | 12 | 99 | 84 | −12 | 171 | ||
| T5 | 22 | 65 | 12 | 99 | 84 | −9 | 174 | ||
| T6 | 22 | 65 | 12 | 99 | 84 | −10 | 173 | ||
| 2017–2018 | Dacope | T1 | 27 | 63 | - | 90 | 20 | 21 | 131 |
| T2 | 27 | 63 | - | 90 | 20 | 23 | 133 | ||
| T3 | 27 | - | 64 | 91 | 20 | 20 | 131 | ||
| T4 | 27 | 63 | 64 | 154 | 20 | 17 | 191 | ||
| T5 | 27 | 63 | 64 | 154 | 20 | 18 | 192 | ||
| T6 | 27 | 63 | 64 | 154 | 20 | 19 | 193 | ||
| Amtali | T1 | 21 | 61 | - | 82 | 23 | 25 | 130 | |
| T2 | 21 | 61 | - | 82 | 23 | 26 | 131 | ||
| T3 | 21 | - | 60 | 81 | 23 | 22 | 126 | ||
| T4 | 21 | 61 | 60 | 142 | 23 | 23 | 188 | ||
| T5 | 21 | 61 | 60 | 142 | 23 | 20 | 185 | ||
| T6 | 21 | 61 | 60 | 142 | 23 | 24 | 189 | ||
| Year 2016–2017 | Parameters | Seed No. Head−1 | Seed Weight Head−1, g | Hundred Seed Weight, g | Seed Yield, t ha−1 | CWP, kg m−3 | IWP kg m−3 |
|---|---|---|---|---|---|---|---|
| Analysis test codes (P) | |||||||
| Location (L) | ** | *** | ** | *** | ** | ** | |
| Treatment (T) | ns | *** | ns | *** | *** | *** | |
| Location × Treatment (L × T) | ns | * | ns | * | *** | *** | |
| Location | |||||||
| Dacope | 1238 a | 73.6 a | 7.0 a | 2.45 a | 1.25 a | 2.05 b | |
| Amtali | 1021 b | 57.4 b | 5.7 b | 1.80 b | 1.12 b | 2.39 a | |
| CV (%) | 10.3 | 8.3 | 7.6 | 5.2 | 5.6 | 6.3 | |
| Treatment | |||||||
| Treatment mean values | T1 | 1151 | 67.4 b | 6.37 | 2.17 b | 1.29 b | 2.39 b |
| T2 | 1121 | 58.4 c | 5.97 | 2.04 c | 1.22 b | 2.25 c | |
| T3 | 1198 | 65.6 b | 6.29 | 2.0 c | 1.36 a | 3.54 a | |
| T4 | 1139 | 67.9 b | 6.82 | 2.29 a | 1.15 c | 1.83 d | |
| T5 | 1096 | 51.0 c | 6.17 | 2.02 c | 0.99 d | 1.57 e | |
| T6 | 1173 | 72.7 a | 6.62 | 2.23 ab | 1.11 c | 1.75 d | |
| CV (%) | 4.1 | 4.9 | 8.8 | 4.8 | 4.7 | 4.4 | |
| Location × Treatment (L × T) | |||||||
| Dacope | T1 | 1233 | 79.5 a | 7.0 | 2.47 ab | 1.44 a | 2.63 b |
| T2 | 1261 | 65.8 cd | 6.67 | 2.33 b | 1.37 a | 2.48 b | |
| T3 | 1221 | 72.3 b | 7.01 | 2.47 ab | 1.46 a | 2.57 b | |
| T4 | 1227 | 74.5 ab | 7.2 | 2.52 a | 1.08 de | 1.56 ef | |
| T5 | 1223 | 70.8 bc | 6.83 | 2.39 ab | 1.04 ef | 1.47 f | |
| T6 | 1260 | 78.8 a | 7.23 | 2.53 a | 1.10 de | 1.56 ef | |
| Amtali | T1 | 1069 | 55.3 fg | 5.7 | 1.87 de | 1.13 cd | 2.15 c |
| T2 | 980 | 51.0 g | 5.27 | 1.76 de | 1.07 de | 2.02 cd | |
| T3 | 975 | 58.8 ef | 5.50 | 1.54 f | 1.26 b | 4.52 a | |
| T4 | 1050 | 61.3 de | 6.4 | 2.07 c | 1.21 bc | 2.09 cd | |
| T5 | 969 | 51.2 ef | 5.5 | 1.65 ef | 0.95 f | 1.67 e | |
| T6 | 1086 | 66.6 cd | 6.0 | 1.93 cd | 1.11 de | 1.95 d | |
| Year 2017–2018 | Parameters | Seed no. Head−1 | Seed Weight Head−1, g | Hundred Seed Weight, g | Seed Yield, t ha−1 | CWP, kg m−3 | IWP kg m−3 |
|---|---|---|---|---|---|---|---|
| Analysis test codes (P): | |||||||
| Location (L) | *** | *** | ** | ns | ns | ns | |
| Treatment (T) | ns | * | * | *** | *** | *** | |
| Location × Treatment (L × T) | * | ** | ns | ns | ns | ns | |
| Location | |||||||
| Dacope | 1136. a | 66.9 a | 7.4 a | 1.50 | 0.94 | 1.28 | |
| Amtali | 653 b | 54.4 b | 6.2 b | 1.39 | 0.89 | 1.31 | |
| CV (%) | 4.6 | 6.8 | 7.1 | 13.7 | 13.9 | 14.8 | |
| Treatment (T) | |||||||
| Treatment mean values | T1 | 832 | 58.9 bc | 6.84 ab | 1.29 b | 0.98 a | 1.49 a |
| T2 | 921 | 58.4 bc | 6.71 bc | 1.36 b | 1.03 a | 1.58 a | |
| T3 | 881 | 57.4 c | 6.51 c | 1.30 b | 1.01 a | 1.51 a | |
| T4 | 905 | 64.8 a | 6.84 ab | 1.63 a | 0.86 b | 1.10 b | |
| T5 | 910 | 61.5 abc | 6.80 bc | 1.57 a | 0.84 b | 1.06 b | |
| T6 | 919 | 62.9 ab | 7.13 a | 1.52 a | 0.79 b | 1.03 b | |
| CV (%) | 6.7 | 6.3 | 3.9 | 6.5 | 7.0 | 7.2 | |
| Location × Treatment (L × T) | |||||||
| Dacope | T1 | 969 b | 60.2 d | 6.39 | 1.24 | 0.94 | 1.37 |
| T2 | 1163 a | 60.7 cd | 6.15 | 1.40 | 1.06 | 1.56 | |
| T3 | 1166 a | 67.1 bc | 6.03 | 1.40 | 1.07 | 1.54 | |
| T4 | 1167 a | 74.2 a | 5.97 | 1.72 | 0.89 | 1.11 | |
| T5 | 1195 a | 68.2 ab | 6.10 | 1.64 | 0.86 | 1.07 | |
| T6 | 1159 a | 70.8 ab | 6.60 | 1.61 | 0.83 | 1.04 | |
| Amtali | T1 | 695 c | 57.7 d | 7.29 | 1.33 | 1.02 | 1.62 |
| T2 | 80 c | 55.9 d | 7.26 | 1.32 | 1.01 | 1.60 | |
| T3 | 595 c | 47.8 e | 6.99 | 1.19 | 0.95 | 1.48 | |
| T4 | 644 c | 55.4 d | 7.70 | 1.55 | 0.82 | 1.09 | |
| T5 | 625 c | 54.8 d | 7.50 | 1.50 | 0.81 | 1.06 | |
| T6 | 80 c | 55.0 d | 7.65 | 1.43 | 0.76 | 1.01 | |
Disclaimer/Publisher’s Note: The statements, opinions and data contained in all publications are solely those of the individual author(s) and contributor(s) and not of MDPI and/or the editor(s). MDPI and/or the editor(s) disclaim responsibility for any injury to people or property resulting from any ideas, methods, instructions or products referred to in the content. |
© 2024 by the authors. Licensee MDPI, Basel, Switzerland. This article is an open access article distributed under the terms and conditions of the Creative Commons Attribution (CC BY) license (https://creativecommons.org/licenses/by/4.0/).
Share and Cite
Sarker, K.K.; Mainuddin, M.; Bell, R.W.; Kamar, S.S.A.; Akanda, M.A.R.; Sarker, B.C.; Paul, P.L.C.; Glover, M.; Shahadat, M.K.; Khan, M.S.I.; et al. Response of Sunflower Yield and Water Productivity to Saline Water Irrigation in the Coastal Zones of the Ganges Delta. Soil Syst. 2024, 8, 20. https://doi.org/10.3390/soilsystems8010020
Sarker KK, Mainuddin M, Bell RW, Kamar SSA, Akanda MAR, Sarker BC, Paul PLC, Glover M, Shahadat MK, Khan MSI, et al. Response of Sunflower Yield and Water Productivity to Saline Water Irrigation in the Coastal Zones of the Ganges Delta. Soil Systems. 2024; 8(1):20. https://doi.org/10.3390/soilsystems8010020
Chicago/Turabian StyleSarker, Khokan Kumer, Mohammed Mainuddin, Richard W. Bell, SK Shamshul Alam Kamar, Mohammad A. R. Akanda, Bidhan Chandro Sarker, Priya Lal Chandra Paul, Mark Glover, Mustafa Kamal Shahadat, Mohammad Shahidul Islam Khan, and et al. 2024. "Response of Sunflower Yield and Water Productivity to Saline Water Irrigation in the Coastal Zones of the Ganges Delta" Soil Systems 8, no. 1: 20. https://doi.org/10.3390/soilsystems8010020
APA StyleSarker, K. K., Mainuddin, M., Bell, R. W., Kamar, S. S. A., Akanda, M. A. R., Sarker, B. C., Paul, P. L. C., Glover, M., Shahadat, M. K., Khan, M. S. I., Rashid, M. H., & Barrett-Lennard, E. G. (2024). Response of Sunflower Yield and Water Productivity to Saline Water Irrigation in the Coastal Zones of the Ganges Delta. Soil Systems, 8(1), 20. https://doi.org/10.3390/soilsystems8010020

