Next Article in Journal
The Impact of Flood Frequency on the Heterogeneity of Floodplain Surface Soil Properties
Previous Article in Journal
The Reinforcement of Early Growth, Extract, and Oil of Silybum marianum L. by Polymer Organic Cover and Bacteria Inoculation under Water Deficit
 
 
Font Type:
Arial Georgia Verdana
Font Size:
Aa Aa Aa
Line Spacing:
Column Width:
Background:
Article

Microbial Degradation of Plant Residues Rapidly Causes Long-Lasting Hypoxia in Soil upon Irrigation and Affects Leaching of Nitrogen and Metals

by
Martin Siedt
1,2,*,
Eva-Maria Teggers
1,2,
Volker Linnemann
3,
Andreas Schäffer
2 and
Joost T. van Dongen
1
1
Molecular Ecology of the Rhizosphere, RWTH Aachen University, Worringerweg 1, 52074 Aachen, Germany
2
Institute for Environmental Research, RWTH Aachen University, Worringerweg 1, 52074 Aachen, Germany
3
Institute of Environmental Engineering, RWTH Aachen University, Krefelder Str. 299, 52070 Aachen, Germany
*
Author to whom correspondence should be addressed.
Soil Syst. 2023, 7(2), 62; https://doi.org/10.3390/soilsystems7020062
Submission received: 25 April 2023 / Revised: 6 June 2023 / Accepted: 15 June 2023 / Published: 20 June 2023

Abstract

With this study, we aim to relate the substrate quality of different organic materials derived from plant residues to the respiratory activity of soil microorganisms after amendment, the formation of oxygen gradients upon irrigation, and the leaching of macronutrients and metals in soil. Elemental analyses were performed to determine the chemical composition of wheat straw, green compost, and a biochar product, showing that carbon availability, C/N ratio, and metal contents varied markedly. Consequently, after application to well-aerated sandy loam soil at 1% w/w, only straw increased microbial activity substantially, and nitrate was depleted within one week. Upon intense irrigation of soil columns packed with differently amended soils, strong hypoxia formed only in straw–soil, where microbial oxygen demand for straw degradation was high. This was enhanced after the application of mineral fertilizers, and nitrate leaching was mitigated. With the decreasing redox potential in straw–soil, the leaching of Fe, Mn, Al, Ni, Co, and As was increased. However, nitrate from mineral fertilizer mitigated the reduction of redox potential and, thus, the leaching of these metals. Measuring oxygen at different depths revealed near anoxic conditions at −15 cm of straw–soil with NP-fertilizer applied within 12 h after the start of irrigation and remained for at least 60 h, while oxygen showed extensive fluctuations in the upper few centimeters. This study showed that organic soil amendments with high carbon availability induce microbial respiration to the extent that causes strong and long-lasting hypoxia upon irrigation, even in sandy soil, which leads to substantial effects on the mobility of nutrients and toxic metals. In contrast, organic soil amendments with low carbon availability did not cause such effects.

Graphical Abstract

1. Introduction

Organic soil amendments (OAs) based on plant residues are suggested sustainable measures to preserve agricultural soil fertility [1,2] by acting as slow-release, long-term fertilizers that maintain and restore soil organic matter (SOM). Since there is the political aim in Europe to reduce the use of mineral fertilizers (Farm to Fork Strategy, [3]) and to increase the incorporation and sequestration of carbon in soil [4], increased use of carbon-rich organic materials on agricultural soils is expected in the future. Plant-based waste materials are of particular interest to be incorporated into the soil to achieve these goals. However, the properties of different organic materials vary widely depending on the combination of raw materials and production conditions used. Accordingly, different impacts of soil amelioration are expected using different OAs.
Two important properties that vary between different OAs are the bioavailability of the carbon and the ratio of carbon to nitrogen (C/N). Both properties determine the changes to soil quality parameters after application. Recalcitrant carbon, as in composted or pyrolyzed materials such as biochar, will rather take part in physicochemical interactions, such as water retention or anion and cation exchange. Readily available carbon, as in fresh biomass or dry non-composted material such as straw, can strongly increase soil microbial activity. The resulting high microbial respiration and nutrient turnover rates could lead to competition with plants for oxygen and nitrogen compounds. Therefore, OAs should be applied with care to prevent undesirable consequences.
It is well-known that microbial organic matter decomposition is one major driver of oxygen consumption in soil. Soil respiration decreases in deeper soil layers because organic matter and oxygen are mainly supplied to the surface and upper layers of soil. If soil pores are filled with water due to precipitation, irrigation, or flooding events, aeration of the soil will be limited since oxygen diffuses 10,000 times slower through the water as compared to air [5]. This results in hypoxic conditions within the soil if the demand for oxygen exceeds the resupply. Plant roots, soil animals, and microorganisms of non-paddy soils that require oxygen might be harmed, and crop growth and yield might be reduced. Moreover, numerous chemical processes that depend on redox potential will be strongly affected, such as the mineral forms of nitrogen in the soil, leading to economically and ecologically problematic N-losses via leaching and gaseous emissions [6]. The mobility of metals in the soil will also be strongly affected by changes in redox potential. Some elements, such as Mn and Fe, are especially sensitive to changes in redox potential since their oxides precipitate, while their reduced ions are water soluble and mobile in soil. Oxides of Mn and Fe also contain other metals, so their mobility might be affected as well [5]. Thus, the redox potential is expected to change the mobility of essential plant micronutrients as well as toxic heavy metals. Because minerals, microorganisms, and plants react fast to changes in oxygen availability and redox potential, it is important to understand the dynamics of oxygen in organically amended soils upon rainfall.
Detailed records of soil oxygen concentrations in relation to precipitation during field experiments have been made in the context of greenhouse gas emissions [7]. During several events with substantial precipitation, oxygen concentrations did not decrease below 5% v/v at a depth of 30 cm in well-drained soil, whereas oxygen dropped to near 0% several times in poorly-drained soil [7]. This study showed that hypoxia can form in temperate soils upon precipitation, even without the additional application of organic material. However, a study on grassland soil found no substantial oxygen decrease in soils irrigated with up to 100 mm, except for a short-term drop to 13% v/v immediately after the deposition of urine [8]. In laboratory experiments, manure was found to deplete oxygen quickly after injection into soils, and anoxia prevailed for more than two days [9,10]. Similarly, the application of straw particles lowered oxygen concentrations of the surrounding soil below 10% within a few hours, while biochar, a recalcitrant carbon material, did not [11]. Applications of straw in a field experiment resulted in only slightly lowered or even increased oxygen concentrations, but when in combination with N-sources and higher precipitation, oxygen concentrations dropped to about 10% v/v [12]. These studies showed that the extent and speed of hypoxia formation in soil was increased with higher availability of carbon and nutrients and with higher precipitation.
However, there was a gap in the existing literature because most of the studies that provided insights into soil oxygen concentrations of non-paddy soils were limited to one type of organic soil amendment, did not measure microbial activity, or investigated the effects on either the N cycle or metals in soil. Thus, a study was missing that compared several OAs of different substrate qualities that allowed to link the properties of different organic materials to the observed effects on microbial respiration and oxygen consumption in irrigated non-paddy soil and combined these data with analyses of the macro- and micronutrients for plants and other metals leached from the soil. Therefore, the objectives of this study were to perform the following:
(i)
Compare different OAs of contrasting substrate quality regarding their effect on the microbial activity and availability of N in soil;
(ii)
Investigate whether an increased microbial activity due to OAs can lead to hypoxia in soil;
(iii)
Investigate how the OAs and the potentially resulting hypoxia affect the leaching of macronutrients and metals from soil.
To this end, we characterized the relationship between organic material properties, microbial activity, soil oxygen, mineral nutrients, and metals in soil to improve our understanding of the consequences of the application of OAs. These soil processes of interest were investigated in laboratory incubation and soil column leaching studies. The hypothesis was that biochar, compost, and straw represent a gradient of increasing C degradability for soil microorganisms and that this will result in increased microbial respiration, which causes hypoxia in soil upon irrigation with consequences for the leaching of nutrients and metals from soil.

2. Materials and Methods

2.1. Soil Characteristics

A sandy loam soil, the reference soil RefeSol 01-A, was obtained from the Fraunhofer Institute for Molecular Biology and Applied Ecology (IME, Schmallenberg, Germany). It was sampled from the topsoil (0–25 cm) of a Dystric Cambisol. The soil was sieved to 2 mm and stored in loosely tied plastic bags at 4 °C for less than three months before use. Soil characteristics as determined by IME were 69.8% sand, 24.4% silt, 5.9% clay, pHCaCl2 = 5.38, pHH2O = 6.03, Corg = 9.5 g kg−1, Ntotal = 0.81 g kg−1, CECeff (effective cation exchange capacity) = 1.4 cmol(+) kg−1, WHCmax (maximum water holding capacity) = 293 g kg−1.
As WHCmax depends on soil packing, we determined WHCmax for the soil packed in the soil columns used for the experiments of this study to be 257.5 g kg−1 (see Supplementary Material). This value was used as 100% WHCmax for setting WHC-related water contents in all experiments conducted.

2.2. Organic Soil Amendments

Three different organic materials were used for the amendment of soil. Shredded wheat straw was provided by a local farm near Aachen, Germany, and the stalks were further cut by hand with scissors to a length <6 cm. The compost and the biochar product (Palaterra® Initial) were provided by Palaterra, St. Alban, Germany. According to the manufacturer, the compost was made from green cuttings of municipal parks and lawns and was fully matured. The biochar product consisted of 80% biochar made from wood (>600 °C), mixed with 10% organic residues and 10% mineral amendments, inoculated with a mixture of microorganisms, and fermented (“loading” of the raw biochar). Such biological post-pyrolysis treatments are required before the application of biochar to temperate soils and lead to the formation of an organic coating on the biochar’s surface [13,14].
Relative dry mass of OAs was determined after drying at 105 °C to constant weight and was found to be 92.0% for straw, 67.2% for compost, and 45.5% for biochar product.

2.3. Chemical Analysis of Soil and Organic Amendments

2.3.1. Elemental CHN Analysis of Soil and Organic Amendments

The total content of C, N, and H of soil and the OAs were determined using an elemental analyzer in CHN mode (VARIO EL III, Elementar Analysensysteme, Langenselbold, Germany). The soil and OAs were dried at 105 °C until weight constancy, ground with a mortar, and afterward kept in a desiccator with silica gel. For soil and the OAs, four replicates of 20 mg and 5 mg, respectively, were prepared for analysis by packing the sample material into tin boats and placing them into the autosampler of the elemental analyzer. Before analysis of the samples, the device was calibrated with 6 replicates of 5 mg acetanilide. To calculate the changes of the C, N, and H contents of the soil due to the OAs, the dry weight of the OAs had to be considered because the fresh weight of the OAs was used for the amendment of the soil.

2.3.2. Metal Analysis of Soil, Organic Amendments, and Fertilizer

The contents of 12 metals in the soil, the OAs, and the mineral fertilizers ammonium nitrate and superphosphate were analyzed (aqua regia soluble fractions). The materials were dried and homogenized so a representative aliquot could be taken for analysis. The samples were digested according to [15] method B. For this purpose, 6 mL of HCl and 2 mL of HNO3 were added to 0.5 g of sample in microwave vessels and left for 30 min at room temperature. The vessels were placed in the microwave, and the following temperature program was started: 15 min heating up to 175 °C, 10 min holding 175 °C, and 30 min without heating. After reaching room temperature, the samples were filtered (2–3 μm). Process control using pure water was treated identically in parallel.
For measuring concentrations of manganese (Mn), iron (Fe), aluminum (Al), chromium (Cr), cobalt (Co), nickel (Ni), zinc (Zn), arsenic (As), cadmium (Cd), mercury (Hg), lead (Pb), and uranium (U), inductively coupled plasma–mass spectrometry (ICP–MS, SYS-IM-7700, Agilent Technologies, Santa Clara, CA, USA) was used. With the dilutions that were required to measure the different elements in their appropriate concentration rage, each sample was measured multiple times, so the quantification of elements could be confirmed by measuring another dilution of the same sample.

2.4. Soil Incubation Experiment in Buckets

The Soil Incubation Experiment was designed to investigate how microbial activity and nitrate availability in the soils developed after the organic amendment at a 1% rate. To this end, four buckets were each filled with 500 g of soil (dry weight). Three of them received additional 5 g of one of the three OAs (wet weight). All buckets received the same amount of water, which was calculated to set the non-amended soil to 50% of WHCmax and were homogenized with a spatula. The resulting three soil mixtures and the non-amended soil are jointly referred to as “soils”. The buckets were loosely sealed with aluminum foil, and the soils were incubated at 18 °C in the dark for seven weeks, regularly maintaining the water content according to loss of weight. Sampling for microbial activity assay and determination of nitrate was performed after 0, 1, 2, 3, 4, and 7 weeks during this incubation period, as described below.

2.4.1. Dimethyl Sulfoxide Reductase Activity Assay

As a measure of microbial activity, the dimethyl sulfoxide reductase activity assay [16] was performed with minor modifications. For this purpose, 1 g of soil was transferred into a 20 mL brown glass vial, 200 µL of a 5% aqueous solution of dimethyl sulfoxide (DMSO) was added, and the vial was sealed gas-tight (n = 3). After 24 h at 29 ± 2 °C, the amount of formed DMS was analyzed by manually injecting 100 µL of headspace into gas chromatography-mass spectrometry (GC–MS, Agilent Technologies, Santa Clara, CA, USA, 6890N, DB-5ms capillary column 30 m × 250 µm × 0.25 µm, split ratio 16.4:1, injection temperature 250 °C, oven isothermal at 50 °C). Quantification was performed according to a linear calibration (6.68–133.65 ng DMS per injection).

2.4.2. Analysis of Nitrate in Soils

To investigate the readily available amount of nitrate in the soils during the incubation, eluates were produced by shaking 16 g of soil (wet weight) in 80 mL of 0.01 M calcium chloride solution (1:5 w:v) for 1 h on an orbital shaker at 160 rpm (n = 1). After filtration (20 µm, Whatman 41), eluates were stored at −20 °C. Immediately after refrigerating of eluates, photometric determination of nitrate was performed according to [17] with slight modifications using a double-beam photometer (UV-160A, Shimadzu, Kyoto, Japan). Samples were acidified with H2SO4 and split. In one sample part, nitrate was reduced by copper-covered zinc granules overnight. The reduced sample was used as reference for the photometric measurement of the original sample at 210 nm. Linear calibration ranged from 0.2–3.6 mg NO3-N/L. While no technical replicates were performed for the nitrate determination, the sampling of a time series allowed us to validate the measurements.

2.5. Leaching Experiment in Soil Columns

For the amendment of the soil, 12.3 g of one of the OAs (wet weight) was mixed into 1230.3 g of soil (dry weight). The resulting three soil mixtures and the non-amended soil are jointly referred to as “soils”. All soils received the same amount of water, which was calculated to set the non-amended soil to 50% of WHCmax. Columns were made from PVC tubes (height of 33 cm, inner diameter of 5.9 cm). On the bottom, a funnel was attached, and the leachate was collected in a plastic bottle below. A sieve plate (PVC, 1 mm holes) was placed on the bottom of each soil column with a Whatman 41 paper filter and a glass wool layer on top. The experimental setup is presented in Figure 1A. The filling of the columns with the soil was performed in portions by gently compressing with a stamp to aim for a homogenous soil density of 1.5 g/cm3, resulting in a height of 30 ± 2 cm.
Six replicates were prepared from each soil for incubation at 18 ± 1 °C for seven weeks in the dark. The columns were loosely sealed with aluminum foil, and the water content was maintained by adding water according to loss of weight.

2.5.1. Oxygen Measurements

After seven weeks of incubation and prior to application, one oxygen sensor per column was installed at approx. 2 cm from the edge of the column and to a depth of 7 cm (as seen in Figure 1A). Fiber optic oxygen sensors (DP-PSt7-10, detection limit 15 ppb, PreSens, Regensburg, Germany) together with a stand-alone fiber optic oxygen transmitter device (Microx 4, PreSens, Regensburg, Germany) were used. Oxygen measurements at each sensor were performed manually about every 30 min during the first and third as well as during the beginning of the second and fourth irrigation events. A single measurement was performed between the second and third as well as after the fourth irrigation event. Because an optical measurement technique was used, a single measurement took only a few seconds and did not consume the oxygen required for detection. Before irrigation started, oxygen levels close to normoxia were detected at all oxygen sensors (19.4–21.2% v/v), indicating a thorough oxygen supply to all columns. To facilitate comparison of the data, these initial oxygen levels were set to 100% for each individual sensor.

2.5.2. Application of Fertilizer to Soil Columns

Application of mineral N- and P-fertilizers was performed on three of the six replicates from each soil with aqueous solutions of ammonium nitrate (EMSURE®, ≥95%, Merck) and superphosphate (Superphosphate 18%, ICL Fertilizers, Ludwigshafen, Germany). Per column, 39.1 mg of ammonium nitrate and 15.31 mg of superphosphate were applied (called “+F”), which equals 6.83 mg of NH4-N, 6.83 mg of NO3-N, and 0.68 mg of PO4-P, or 50 kg N ha−1 and 4.4 kg P ha−1. The three remaining replicates from each soil did not receive any application and were used as non-fertilized controls.

2.5.3. Irrigation of Soil Columns and Sampling

Irrigation was started 24 h after the application of fertilizer. Similar to [18], a rate of 200 mm 0.01 M calcium chloride solution was applied dropwise (548 mL per column). The amount was divided into four irrigation events of 50 mm each, applied over a period of approx. 60 h (0–4 h 50 mm, 6–10 h 50 mm, 48–52 h 50 mm, 54–58 h 50 mm). These are approximate values due to variations in dripping speed and infiltration rates between individual columns. The leachate samples were collected before the start of the next irrigation event.

2.5.4. Analysis of Ammonium, Nitrate, and Phosphate in Leachates

Photometric methods for determination of ammonium, nitrate, and phosphate were performed on a double-beam photometer (UV-160A, Shimadzu, Kyoto, Japan), according to [17], with slight modifications, immediately after refrigerating of leachate samples. In brief, for the determination of ammonium, samples were mixed with an alkaline solution of sodium nitroprusside, sodium salicylate, and sodium dichloroisocyanuric acid, and absorbance was photometrically measured at 660 nm after 30 min. Linear calibration ranged from 0.3–3.2 mg NH4-N/L. The determination of nitrate was conducted as described above (Section 2.4.2). For determination of ortho-phosphate, samples were filtered (0.45 µm) and mixed with ascorbic acid, ammonium heptamolybdate, and potassium antimonyl tartrate, and absorbance was photometrically measured at 700 nm after 10 min. Linear calibration ranged from 0.01–0.5 mg PO4-P/L.

2.5.5. Metal Analysis in Leachates

At each sampling time point after the four irrigation events, 10 mL of the leachate was taken for metal analysis and pre-stabilized with 100 μL of pure nitric acid. After all four pre-stabilized leachates from one soil column were pooled, 200 µL of pure hydrochloric acid was added. In addition to the collected samples, the 0.01 M CaCl2 solution used for irrigation and process control (pure water filtered to 0.45 µm) was analyzed. Measurements of metals were performed as described in Section 2.3.2. Metal contents of samples were calculated by subtracting the values of the process control to correct for potential background metal contamination.

2.5.6. Dissolved Organic Carbon in Leachates

To estimate the amount of dissolved organic carbon (DOC) leached from soil columns, UV absorption of the leachates of the second irrigation event was analyzed based on findings that the content of DOC in the soil solution is positively correlated (r2 = 0.93, n = 50, 0.5–14.7 mg DOC L−1) with the absorbance at λ = 254 nm [19]. Original leachate samples were filtered (0.45 µm) to remove particulate organic matter. Measurements were performed on the day of sampling. Amounts of DOC in soil solution were calculated from the absorbance at 254 nm (A254 nm, unit: m−1) according to Formula (1) from [19].
DOC [mg L−1] = 0.46 × A254nm + 1.0
The calculated DOC contents in the leachates of this study exceeded the range of 0.5–14.7 mg L−1 that was given by [19], but it was assumed that the linear relationship of DOC and A254nm was still valid for the range of the samples.

2.6. Vertical Oxygen Distribution Experiment in Soil Columns

In order to investigate the depth-relation of the oxygen concentration, three additional soil columns were set up: soil without amendment, straw–soil, and straw–soil +F. The soil columns were built and packed identically to the ones used in the Leaching Experiment but with fiber optic sensors (DP-PSt7-10, PreSens, Regensburg, Germany) being inserted horizontally from the side at different depths (at 2 cm, 7 cm, 15 cm, and 28 cm below the surface, Figure 1B). During packing of the columns, the sensors were inserted through small holes in the PVC tubes, with the tip of the sensor placed in the middle of the soil column. The holes were sealed with sealant (Terostat-IX, Henkel Technologies, Düsseldorf, Germany) from the outside of the column. Incubation, application of mineral fertilizers, and irrigation were done as described in Section 2.5.2 and Section 2.5.3. Before irrigation started, oxygen levels close to normoxia were detected at all oxygen sensors (19.4–20.6% v/v), indicating thorough oxygen supply to all columns and at all depths. For easier data evaluation, these initial oxygen levels were set to 100% for each individual sensor. Oxygen measurements were performed about every 30 min during irrigation and for a few hours after an irrigation event had ended.

2.7. Statistical Analysis

Analysis of variance (ANOVA, one-way, α = 0.05) followed by Tukey’s tests for multiple comparisons (α = 0.05) of CHN analysis data and leached amounts of nutrients, metals, and DOC were conducted in GraphPad Prism (version 6, Graphpad Software, Boston, MA, USA).

3. Results

3.1. Elemental CHN and Metal Analysis of Soil, Organic Amendments, and Mineral Fertilizers

Elemental analysis and calculation of C/N and H/C ratios revealed clear differences between the three investigated organic materials (see Table 1). Straw and biochar products both had high C/N ratios but differed widely regarding their molar H/C ratio, which was the lowest for biochar. The compost had a much lower C/N ratio than straw or biochar. The elemental analysis of the non-amended soil confirmed the low C total content of around 1%. The results of the elemental analysis of the individual materials therefore confirmed that the selected OAs comprised organic materials of different substrate qualities.
The amendment with biochar and straw increased the soil C content by about 30% (biochar-soil) and 40% (straw–soil). Total N was only slightly raised by 4% by straw and biochar but by 9% by the compost amendment. Consequently, the C/N ratio of the amended soils was much higher in straw–soil and biochar-soil than in compost-soil (Table 1). The application of the mineral fertilizers increased the soils’ total N content by only 1% (Table S1). These results showed that the use of carbon-rich plant-based OAs substantially increased C in soil much more than N and that the use of different OAs led to different elemental soil compositions.
The P-fertilizer superphosphate showed high values for several metals, including Cd and U (Table 2). The ammonium nitrate used was ordered from a laboratory supplier, and therefore it showed very low levels of metals in general. The OAs had very different contents of aqua regia soluble metals. In general, straw contained the lowest amounts, while compost showed the highest values for 10 out of 12 investigated metals when comparing the OAs and soil only. The two metals with higher contents in biochar than in compost were Mn and Cd, but none of the metal contents of any of the OAs exceeded the critical limits according to German law (Table 2).
The metal contents calculated for the amended and fertilized soils are presented in Table S1. The amendment of soil with straw did not change the content of any of the investigated metals substantially. Cd was increased by 3.6% in biochar-soil, while Hg (+2.3%), Ni (+2.4%), and Zn (+3.2%) were most increased in compost-soil compared to non-amended soil. Due to the low amounts of mineral fertilizers added in relation to the mass of soil per column, the fertilizers only negligibly changed the metal content in total. Even the amounts of Cd and U were only raised by 0.14% and 0.10%, respectively, after the application of the fertilizers. In short, the metal contents of the soil were not markedly changed due to the application of the OAs and fertilizers.
The results from the elemental and metal analyses showed that the straw had a high C/N ratio but was least contaminated with metals, the compost had the lowest C/N ratio but the highest metal contents, and the biochar had the lowest C availability, but contents of many metals in biochar were comparable to compost. The calculations of the amended soils showed that the C content, but not the metal contents, were markedly changed by the OAs. In short, the elemental analyses characterized the compositions of each of the soils right after the amendment.

3.2. Soil Incubation Experiment

3.2.1. Dimethyl Sulfoxide Reductase Activity Assay

Throughout the full incubation period of seven weeks, the DMSO-reductase activity of the soils followed the order of straw >> compost > biochar = soil (Figure 2). The much higher microbial activity in straw–soil was observed immediately upon amendment (sampled at 0 h, but the enzyme assay protocol included 24 h of incubation), showing that straw included readily available substrates that were metabolized within the first 24 h. The compost increased the microbial activity only slightly. The much smaller increase of microbial activity with compost compared to straw indicated a lower bioavailability of the C and N compounds contained in compost. No effect on microbial activity was observed in biochar-soil despite the input of C and N to the soil, supporting the observation of the low bioavailability of C in the biochar product, as indicated by the low H/C ratio in the elemental analysis. In general, the microbial reaction upon the amendment of the soil seemed to be mainly driven by the availability of the C in the OAs.

3.2.2. Nitrate in Soils during Incubation

The amount of nitrate in the different soils changed during incubation. As shown in Figure 3, all soils started at a similar nitrate level at timepoint 0, but the straw amendment led to the depletion of nitrate within the first week. Nitrate levels of all other soils increased four- or five-times during incubation. While the low number of replicates did not allow further differentiation of the nitrate levels in non-amended soil, compost-soil, and biochar-soil, the time series sampling showed a clear difference between these soils to the straw–soil. Straw–soil remained nitrate depleted, indicating an insufficient supply of N due to the high C/N ratio of the straw in combination with the high degradability of the C (Table 1). These results showed that the soils were in different conditions regarding the availability of mineral N and microbial activity seven weeks after the application of the OAs.

3.3. Leaching Experiment in Soil Columns

3.3.1. Soil Oxygen during Irrigation

Non-amended soil, compost-soil, and biochar-soil almost remained at their initial ambient oxygen levels during irrigation, as shown in Figure 4A. Oxygen levels decreased slightly in biochar-soil (lowest single value 71.7% O2), but only straw–soil became clearly hypoxic, with oxygen levels around 50.2–75.0% during the fourth irrigation event. This effect was even more pronounced after the application of mineral N- and P-fertilizers (Figure 4B), with the lowest single value of 2.4% O2 in straw–soil +F. Apparently, the availability of N and P promoted microbial activity, so oxygen consumption was higher in all soils with fertilizers compared to soils without fertilizers. The combination of fertilizers, C supply by the OAs, and heavy irrigation led to hypoxic conditions, especially in straw–soil. These observations fit the measured microbial activity of the soils (Figure 2), indicating that microbial respiration was the reason for oxygen consumption in irrigated soil columns.

3.3.2. Ammonium, Nitrate, and Phosphate in Leachates

Regarding ammonium (Figure 5A), similar amounts were leached from all soil columns after the first and second irrigation events. However, high amounts of ammonium leached with the third and fourth irrigation event from straw–soil and even more from straw–soil +F. The total amount of ammonium that leached from straw–soil +F was not found to be significantly higher than from soil +F and straw–soil (p-values 0.0561 and 0.0509, respectively) but significantly higher than from all other soils. These high amounts seemed to be directly linked to the low oxygen levels measured. Considering the lower leaching mobility of ammonium compared to nitrate, these data indicate that ammonium was the dominant mineral N compound during hypoxia. The highest amounts of ammonium in the fourth leachate from the straw–soil +F might have come from the ammonium applied with the fertilizer directly as well as being reduction products from the applied nitrate.
Regarding nitrate (Figure 5B), amounts detected in leachates from the soil, compost soil, and biochar soil were roughly six hundred times higher than for ammonium. Leached amounts of nitrate in soil and compost soil were similar but slightly higher in biochar soil. After the application of nitrate-containing fertilizers, leached nitrate was increased by 9.8–12.3 mg nitrate-N per column of soil, compost soil, or biochar soil. Therefore, the applied amount of 6.83 mg nitrate-N per column was even exceeded, indicating a transformation of some of the applied ammonium into nitrate during the 24 h between fertilizer application and the start of irrigation. In short, no substantially different amounts of ammonium-N and nitrate-N were leached from the soils that showed no clear hypoxia, comprising the compost soil, biochar soil, and non-amended soil columns.
Almost no nitrate was detected in leachates from straw–soil columns. The depletion of nitrate in straw–soil was already observed during the Soil Incubation Experiment. Thus, it was clear that the very low levels of nitrate in leachates from straw–soil columns were not a consequence of the irrigation-induced hypoxia but of the degradation of the straw with the high C/N ratio prior to irrigation. However, the 6.83 mg nitrate-N applied only 24 h before irrigation started was also almost completely retained, as nitrate-N was increased by only 0.44 mg in the leachate of straw–soil +F compared to straw–soil (no statistically significant increase). In other words, 94% of the nitrate applied to the fertilizer was protected from leaching.
Regarding phosphate (Figure 5C), similar amounts were found in the leachates from all soils (no significant differences). The different OAs did not have a strong effect on phosphate-P after seven weeks. The applied amount of mineral P fertilizer apparently was too low to affect the amounts of P in the leachates from +F columns (Figure 5C).
To sum up these results, the hypoxia that was induced by the straw amendment caused a substantial retention of nitrate, while the compost and biochar product had no strong effect on the leaching of plant macronutrients.

3.3.3. Metal Concentrations in Leachates

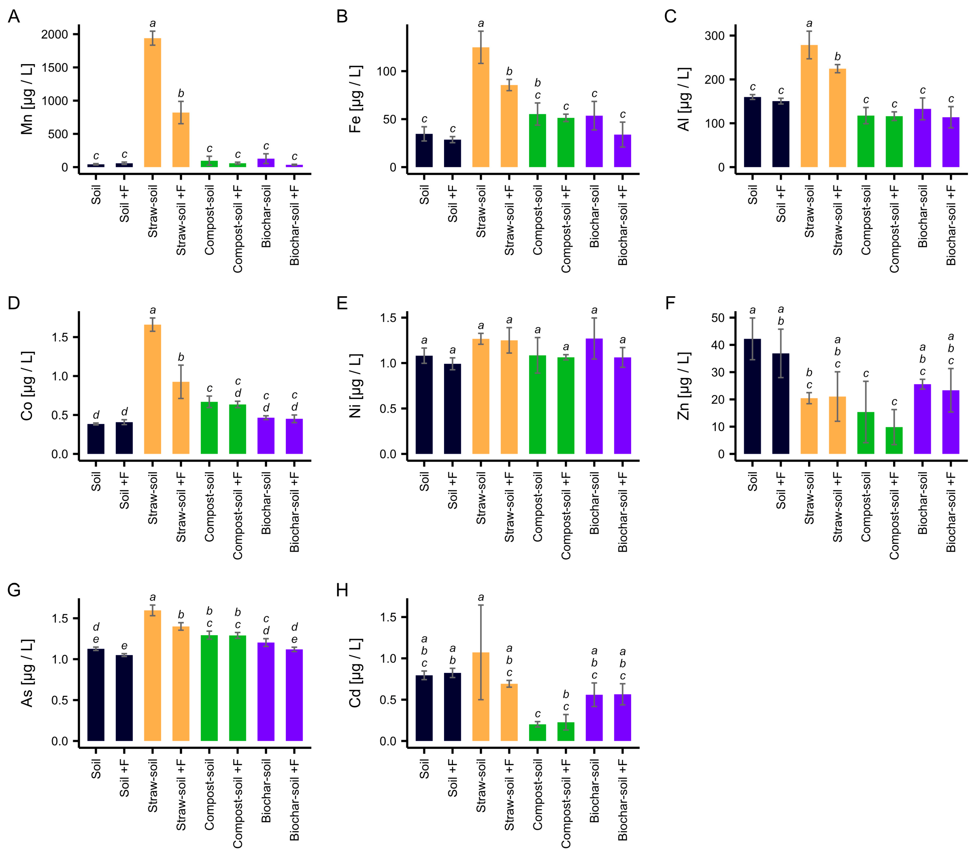
The concentrations of Mn, Fe, Al, Co, Ni, Zn, As, and Cd in the leachates are displayed in Figure 6, while Cr, Hg, Pb, and U were only seldomly found, or the amounts were below the limit of quantification. For all metals, the measured concentrations in the leachate can be found in Table S2.
Metal concentrations in leachates were not strongly affected by the biochar amendment (Figure 6). Concentrations of Mn, Fe, and Ni in leachate were slightly increased compared to non-amended soil (not statistically significant). Although the biochar product itself had higher Zn and Cd content than the soil, Zn and Cd concentrations in leachates were lower than from non-amended soil. Although the compost material contained the highest amounts of most of the metals, concentrations leached from compost-amended soils were often not substantially higher than from non-amended soil. Concentrations of Al, Zn, and Cd were even reduced by 26%, 64%, and 75% compared to the non-amended soil. Therefore, a rather high input of metals via compost did not necessarily transfer into the leachate. Metal concentrations in leachates were most strongly affected by straw amendment. For Mn, Fe, and Al, the highest concentrations were found in leachates from straw–soil. Especially Mn was increased 46 times compared to soil, despite the straw material having the lowest amounts of Mn. Apparently, the leachability of Mn, Fe, and Al already present in soil was strongly increased by the addition of straw. The effects of the OAs on the leaching of metals, therefore, were not related to the content of metals in the individual organic materials.
In a similar soil column experiment not presented here but conducted with the same soil and the same OAs, the OAs did not have a strong impact on the pH of the soil solution. There, the pH of the leachates from the first leaching event was measured. The pH-values were 6.9 for leachate from non-amended soil, 7.3 for straw–soil, 7.4 for compost-soil, and 7.0 for biochar-soil. Therefore, pH only varied within a small range of 0.5 pH units between the differently amended soils and might not have contributed substantially to the observed differences in metal mobility.
The data from the metal analysis of the leachates clearly showed that the leaching of metals could not be inferred from the metal composition of the OAs but rather correlated with the microbial activity (Figure 2) and DOC content, as described in the following section. Moreover, the application of mineral fertilizers reduced the leached concentrations of metals in almost all samples.

3.3.4. Dissolved Organic Carbon

The DOC content in the leachates increased in the order of biochar-soil = soil < compost-soil < straw–soil, irrespective of the application of mineral fertilizers (Figure 7). This pattern was similar to the pattern of the leachate concentrations of Mn, Fe, Al, Co, and As, indicating that higher amounts of DOC might have contributed to the mobility of these elements. Application of fertilizers slightly reduced the amounts of DOC leached (significantly reduced only in straw–soil +F).

3.4. Vertical Oxygen Distribution Experiment in Soil Columns

The spatiotemporal oxygen dynamics in the soil profiles of soil, straw–soil, and straw–soil with mineral fertilizers applied (+F) are shown in Figure 8A–C, respectively. At the start of the irrigation, the oxygen levels decreased in the upper layers first and lower layers, followed by a short delay. Again, only in straw-amended soils oxygen levels decreased substantially, and even more in straw–soil +F. The non-amended soil was able to maintain more than 60% of the initial oxygen level in the upper half of the soil column (15 cm) throughout all four irrigation events of 200 mm in total. In contrast, the oxygen level dropped below 60% already after 100 mm in the straw–soil column and already after 50 mm in the straw–soil +F.
At −28 cm in straw–soil and straw–soil +F, oxygen levels dropped below 1% of initial oxygen within 24 h and 12 h after the start of irrigation, respectively. Afterward, in straw–soil +F, the full column, except for the upper few centimeters, maintained this strong hypoxia for the rest of the experiment (60 h). There were high fluctuations of oxygen levels in the upper layers, especially at −2 cm, as shortly after irrigation ended, oxygen levels tended to rise quickly but also drop again quickly, even without the start of the next irrigation event. Most extreme fluctuations were observed at −2 cm of straw–soil +F, including decreases from 64% to 15% within 25 min or rises from 4% to 47% of initial oxygen within 40 min.

4. Discussion

4.1. Linking Organic Material Properties to Microbial Activity and Nitrate Consumption

The OAs compared in this study (straw from wheat, compost made from green cuttings, and biochar made from wood) were all plant-based, carbon-rich materials but represented a gradient of processing from non-processed to composted to pyrolyzed material. The higher the degree of processing, the more recalcitrant and less accessible the delivered carbon to the soil microorganisms, which was confirmed in the elemental analysis (Table 1) and DMSO-reductase activity assay (Figure 2). The H/C ratio was suggested as an indicator to compare the recalcitrance of biochars [20]. A low H/C value indicates high aromaticity and low degradability of the C for soil microorganisms. The H/C ratio of the biochar product was much lower than that of the straw and compost. However, the H/C ratio only works well for materials of high C content and low content of other H-binding partners, such as O and N. Therefore, the H/C ratio did not indicate the differences in the C degradability of the compost and straw properly. Instead, the microbial activity after the amendment was a better indicator of this.
The high microbial activity in straw–soil was related to the readily available C, which stimulates the activity of r-strategists in microbial communities [21]. The absence of such an increase of microbial activity in the other soils showed that the compost provided only a little, and the biochar provided no substantial amounts of readily degradable C to the soil. The remarkably high and variable microbial activity in straw–soil at week 0 (Figure 2) might be due to carbohydrates that were released from the straw material and were immediately available to the initial soil microbial community that was adapting its metabolism to the incubation conditions. However, with the nitrate depletion within the first week (Figure 3), straw degradation was delayed, and microbial activity was lower after one week. Then, K-strategists might have been in advance [22]. In short, the microbial activity was driven by the different availability of the C from the OAs.
Due to its high C/N ratio (Table 1), straw input caused a high microbial demand for N to convert the available C from straw into biomass. An appropriate C/N ratio for microbial degradation of organic materials is in the range of 25–30 [23]. Thus, the C/N ratio of the compost was the most suitable among the OAs and similar to what was reported for other green composts [24,25], and no nitrate depletion was observed. The C/N ratio of the biochar product was comparable to the straw, but due to the low availability of the C from biochar, no nitrate depletion occurred. Instead, nitrate concentrations in non-amended, compost soil, and biochar soil increased during incubation, indicating that net nitrification took place during the aerobic incubation conditions. The N content of the biochar product was higher than that of many raw wood-based biochars [26,27,28] since the biochar product used in this study had passed a biological post-pyrolysis treatment which “loaded” the biochar with nutrients. Nevertheless, the provision of N by biochar or compost was much less important for microbial activity than the provision of degradable C by straw, causing the observed clear differences (Figure 2).
The rise of the microbial activity from week two to week four in all soils indicated a growing microbial biomass that peaked at or after week four, while afterward, there was a decline observed in all soils (Figure 2). The incubation period of seven weeks was chosen to pass the microbial priming effect based on a study that reported that two months after compost application, the microbial biomass declined by 60–85% due to the decline of easily available compounds ([29], cited in [30]). This supports the microbial activity measurements of this study. Therefore, the seven weeks of incubation were suitable to pass the peak of the priming effect after the application of the OAs, and further treatments and analyses, such as the irrigation of the soil columns, took place during a more stable phase of the development of the soil microbial communities.
With the elemental analyses and the Soil Incubation Experiment, the first objective of this study, to compare different OAs of contrasting substrate quality regarding their effect on the microbial activity and availability of N in soil, was achieved.

4.2. Depletion of Oxygen in Organically Amended Soils

Strong hypoxia was observed in the straw-amended soil columns (Figure 4) due to the high microbial activity (high oxygen consumption rate) in combination with the heavy irrigation (low oxygen diffusion rate). Because the non-amended soil, compost soil, and biochar soil showed a much lower microbial activity (Figure 2), the oxygen consumption in these soils was much lower than in straw–soil. Consequently, the oxygen consumption rate was not high enough to cause extensive hypoxia in these soils upon irrigation. Similar results on a smaller scale were reported by [11], who observed the formation of hypoxia around straw particles in moist soil (at 85% of WHCmax). Surprisingly, the authors found that the soil around particles of biochar remained oxic. The authors attributed this observation to the high porosity of the biochar enhancing oxygen diffusion. In our study, however, biochar soil showed slightly stronger hypoxia than non-amended soil upon irrigation (Figure 4). This can be explained by the different properties of the biochar used. In the study reported by [11], raw biochar was used, while in our study, the biochar received a biological loading process. Thus, the biochar product used in our study did not increase oxygen diffusion but probably inhabited respiring microorganisms in its organic coating [13], resulting in the observed differences in these two studies.
From the Leaching Experiment, it was concluded that only straw but not compost or biochar amendments led to oxygen depletion in soil upon irrigation due to the provision of easily degradable carbon increasing the microbial oxygen demand, especially after the application of mineral N. Other studies support the finding that bioavailable organic matter controls bulk oxygen concentrations [31]. However, having only one sensor per soil column and the variability of the replicate soil columns being high (Figure 4), a more detailed investigation of the processes in the straw–soil columns were needed. The Vertical Oxygen Distribution Experiment was a repetition of parts of the Leaching Experiment with an improved setup (four oxygen sensors per column). Overall lower oxygen concentrations were measured as compared to the respective soil columns in the Leaching Experiment. This indicated that the installation of the oxygen sensors from the side and the possibility of sealing this spot with sealant was superior to the installation of the oxygen sensors from the top (without sealant). Thus, the results from the Vertical Oxygen Distribution Experiment were considered to be more precise. This experiment was not conducted with compost soil and biochar soil because their microbial activity was similar to the non-amended soil (Figure 2), and the Leaching Experiment showed that their oxygen concentrations upon irrigation were similar to the non-amended soil (Figure 4). Thus, the oxygen profile of the non-amended soil (Figure 8A) can be considered to be representative of the compost soil and biochar soil as well. To conclude, the use of multiple sensors at different depths in the Vertical Oxygen Distribution Experiment confirmed the findings from the Leaching Experiment but allowed a much deeper insight and improved our understanding of the spatiotemporal dynamics of the oxygen concentration in irrigated amended soils.
The dynamic fluctuations of oxygen in the upper centimeters of the soils (Figure 8) most likely occurred due to the resupply of oxygen from the atmosphere as soon as the irrigation stopped, as the water could drain well through the sandy soil and evaporate from the surface. Since the soil used was sieved and homogenously packed, no macropores were responsible for the oxygen influx, while an accelerated diffusion of oxygen between the soil and the walls of the column cannot be excluded. With a natural soil structure, the reoxygenation of the soil might be similar or even faster due to macropores. However, oxygen entering the column was consumed rapidly due to the high microbial oxygen demand or chemical redox reactions, resulting in the observed fluctuations. Because the mineral fertilizers enabled faster straw degradation, the depletion of oxygen was much faster in fertilizer-applied columns (Figure 8C). The resupply of oxygen from the atmosphere barely reached the sensor at −7 cm in the water-saturated straw–soil +F column but was consumed in the upper soil layers already. It took about 24 h after the second irrigation event had stopped for the oxygen levels to start rising again at the sensor at −7 cm. This data showed that the hypoxia was long-lasting in soil parts that were more than just a few centimeters away from the soil surface.
The experiments clearly showed that oxygen depletion is fast, extensive, and long-lasting in different depths of straw-amended soil after irrigation, even when the incorporation of the straw was already seven weeks ago (Figure 8). It is well known that straw-amended soils significantly increase basal respiration compared to unamended soils [32] and that this enhances methanogenesis in paddy soils [33,34]. Here, we show that straw amendments can result in almost anoxic conditions within a few hours upon irrigation, even in temperate sandy soils with low initial organic C and even months after the amendment with straw. Thus, the second objective, to investigate whether an increased microbial activity due to OAs can lead to hypoxia in soil, was achieved.

4.3. Consequences for Mineral Nutrients and Toxic Metals

The leaching of macronutrients and metals was markedly affected by the application of the OAs. The almost complete retention of fertilizer-applied nitrate in straw–soil +F was probably the result of denitrification, assimilation, and dissimilatory nitrate reduction to ammonium (DNRA). The hypoxic conditions in the straw–soil and straw–soil +F might have especially induced DNRA because a high C/N ratio of the substrate, like straw, favors DNRA, whereas a low ratio favors denitrification [35,36,37]. Consequently, the nitrate that was applied with the fertilizer was partly transformed into ammonium, which was found in the leachates of the straw-amended soils (Figure 5). Most of the leached ammonium was found in the leachates after the third and fourth irrigation events, indicating that DNRA-performing microorganisms were especially active between the second and third irrigation event, when straw-amended soils were clearly hypoxic. It was shown in other studies that nitrogen fixation could be greatly increased after the addition of straw followed by waterlogging [38,39,40], which also could have increased the amounts of ammonium in straw–soil and leachate. Therefore, these high amounts of ammonium most likely originated from the adaptation of the microbial metabolism to the hypoxic conditions and the substrate quality of the straw.
Regarding metals, especially the compost and superphosphate were found to contain elevated amounts of several metals, including contaminants such as Cd, As, or U (Table 2). There are currently no limits for U in organic or mineral fertilizers in Germany, but the German Environment Agency suggests setting limit values for P-fertilizers similar to Cd [41]. However, this input of metals via the application of OAs and mineral fertilizers was not reflected by the content of metals in the leachates. Instead, the mobility of metals initially present in soil was changed by the addition of OAs, most substantially by the addition of straw (Figure 6), due to changes in redox potential and the release of DOC (Figure 7). DOC can form complexes with multiple metals in soil and increase their leaching [42,43]. In low redox conditions, especially Mn(III,IV)oxides are reduced to Mn2+ and Fe(III)oxides to Fe2+, which increases their solubility, mobility, and plant availability. At decreasing redox potential, Mn ions are reduced earlier than Fe ions, resulting in higher mobility and earlier transfer of Mn than Fe in soils [5]. Consequently, Mn was found in even higher concentrations than Fe in leachate from straw-amended soil columns (Figure 6). Since Mn and Fe oxides often contain other metals, such as Mo, Co, Cu, and Zn, their reduction can increase the mobility of these metals as well [5]. Concentrations of Zn, however, were not increased from straw–soil, showing that further interactions caused a net reduction of the mobility of Zn in straw–soil. Higher amounts of Co and As leached from straw–soil while their content was low in the straw material; therefore, they might have been released from iron- and manganese-oxides in the reducing oxygen-depleted milieu. While Mn, Fe, Zn, and Ni are important micronutrients for crop plants and Co is needed by microorganisms that are essential to plants [44], As and Cd are toxic to all organisms. The impact of the straw-induced lower redox conditions, therefore, mobilized plant nutrients and toxicants at the same time.
Despite the stronger hypoxia in the mineral fertilized soils (Figure 4) that could have increased the leaching of metals, lower concentrations of metals leached from the fertilized soil columns overall. Because the phosphates and sulfates of the superphosphate are possible direct interaction partners for metal cations [45], they might have reduced the solubility of metals in soil by forming precipitates. The addition of nitrate with mineral N-fertilizer must have mitigated the reduction in redox potential, and therefore it partly prevented the reduction of Mn- and Fe-oxides since nitrate serves as an electron acceptor in the soil during hypoxia [46]. Consequently, the concentrations of Mn, Fe, and Al were not higher but significantly lower in leachates from straw–soil when the mineral fertilizers were applied.
Despite the metal adsorption potential that is often attributed to biochars [47,48], concentrations of metals were not strongly decreased in leachates from biochar-amended soil columns (Figure 6). Only the concentrations of Zn and Cd in the leachate were reduced, although their content was higher in the biochar material than in the soil. This indicated a binding capacity of the biochar for Zn and Cd, which prevented the leaching of parts of soil-borne Zn and Cd. However, the leaching of Zn and Cd was even stronger and reduced by the compost amendment. Many binding sites of the biochar product might have been already occupied due to the “loading” process of the biochar product and reduced adsorption capacity compared to raw biochar. Therefore, no adsorption potential to the biochar specifically was observed for any of the metals investigated. In all experiments conducted, the biochar product did not show strong effects on microbial activity, oxygen demand, leaching of nutrients and metals, DOC, or pH. Therefore, the biochar product might be suitable for increasing carbon sequestration in arable soil without causing substantial effects on soil processes and soil organisms. However, other interactions, such as the adsorption of organic substances, have not been investigated in this study.
Overall, the third objective, to investigate how the OAs and the hypoxia affect the leaching of macronutrients and metals from the soil, was achieved by conducting the Leaching Experiment.

4.4. Relevance for Field Situation

Many different types of soils are used as arable land, and the texture of the soil is one key parameter to drive the aeration of the soil. The soil used in this study was less prone to the formation of hypoxia due to the sandy texture, allowing good drainage, and the low initial carbon content, indicating low microbial biomass. Nevertheless, strong hypoxia was observed upon irrigation after the application of organic matter from straw and mineral fertilizers to this soil. This effect is expected to be promoted by fine soil texture, higher organic C, and shortly after straw incorporation—conditions that apply to many field situations.
The investigated upper 30 cm of soil represents the managed (plowed) soil horizon (Ap) in agricultural soils and the main crop root area. From a farmer’s perspective, the transition of nitrate into ammonium, as observed in the straw–soil columns, is beneficial for plant nutrition because ammonium is much less prone to leaching than nitrate. However, it is likely that not all nitrate was converted to ammonium in straw–soil, and large amounts of N were also lost to gaseous emissions of N2 and N2O, which have not been investigated in this study. Nevertheless, nitrate leaching into groundwater is a serious environmental impact of intensive agriculture. The presented data suggest that straw amendments can mitigate the leaching of nitrate after the application of mineral N fertilizer and retain N in soil. However, straw applications increase the competition of plants and microorganisms for oxygen and N, and the negative consequences of those conditions need to be considered and prevented.
There are only a few studies available that investigated soil oxygen concentrations in the field to compare our findings from the laboratory with the field situation. In a field trial in Northern China, oxygen concentrations were monitored under different crops, irrigation, and fertilization regimes [12]. Oxygen concentrations slightly dropped (to about 16–20% O2 v/v) within four hours after irrigation (short-term surface flooding, 70 mm), similar to the findings of our study, and rose again within the following one or two days after water infiltration. Formation of hypoxia was slower but more intense (about 6–18% O2 v/v) after an extreme rainfall (311 mm). Overall, hypoxia was less intense than in our study, despite the straw return and conventional N fertilization. This indicates that under field conditions, plant roots, and macropores ease the oxygen influx into soil. In addition, crop plants have a strong impact on the endpoints investigated in this study by influencing pH, carbon availability, and oxygen levels in their rhizosphere [49]. Therefore, plants are relevant to the field situation. Nevertheless, the main conclusion drawn from our oxygen measurements, that in water-saturated soils, microbial activity can cause hypoxic conditions that will last for longer than 24 h in parts that are more than just a few centimeters away from normoxic air, is expected to be also valid in the field situation.
Further research is required to investigate the occurrence of hypoxia in different soil types, upon different precipitation intensities, and during different arable management strategies. Other organic materials, such as liquid manure, which also cause fast anoxia in soil [9,10], are expected to have similar or even stronger impacts than straw and are used frequently in arable farming. Systematic investigations into such scenarios will allow a deeper mechanistic understanding and the evaluation of the importance of different parameters that play a role in the formation of hypoxia. This knowledge is needed to develop strategies to mitigate strong hypoxia in temperate agricultural soils to prevent the insufficient supply of oxygen and nitrogen to crop roots and the increased mobility of toxic metals in soil.

5. Conclusions

To conclude, the hypothesis was found to be true: the degree of processing determined the bioavailability of the C of the OAs and was overall the most determining factor that had a far-reaching impact on all endpoints measured. The strongest effect on microbial activity was observed by the straw amendment. Due to the high C/N ratio of straw, nitrate was depleted, and the high microbial oxygen demand resulted in steep oxygen gradients and almost anoxic conditions within a few hours after the start of irrigation. Especially, if mineral N- and P-fertilizers were added, hypoxia occurred fast and lasted for at least a few days. Apparently, microbial N cycling adapted to these conditions as amounts of ammonium were increased. The straw amendment, therefore, could mitigate nitrate leaching. However, it caused the mobilization and leaching of metals present in the soil, including essential plant micronutrients as well as toxic metals. The compost only slightly increased microbial activity and, despite high metal contents, reduced the leaching of Zn and Cd. The biochar product mostly showed no effect compared to non-amended soil throughout all experiments and, therefore, might be suitable for carbon sequestration without substantially affecting soil processes and organisms. Field studies that investigate the prevalence and effects of hypoxia in the presence of plant roots and macropores are required to close knowledge gaps in order to prevent negative impacts of the application of OAs with high bioavailability on crop plants, soil organisms, and the environment.

Supplementary Materials

The following supporting information can be downloaded at: https://www.mdpi.com/article/10.3390/soilsystems7020062/s1, Table S1: Comprehensive data of elemental analysis of organic amendments, soil, mineral fertilizers, as well as calculated values for the amended soils and fertilized amended soils. Table S2: Measured metal concentrations in leachates and CaCl2 solution. File S3: Determination of water holding capacity in soil columns. File S4: p-values from statistical analyses.

Author Contributions

Conceptualization, M.S., A.S. and J.T.v.D.; methodology, M.S., E.-M.T., V.L. and J.T.v.D.; formal analysis, M.S.; investigation, M.S. and E.-M.T.; resources, V.L., A.S. and J.T.v.D.; writing—original draft preparation, M.S.; writing—review and editing, E.-M.T., V.L., A.S. and J.T.v.D.; visualization, M.S.; supervision, A.S. and J.T.v.D.; project administration, M.S., A.S. and J.T.v.D.; funding acquisition, M.S., A.S. and J.T.v.D. All authors have read and agreed to the published version of the manuscript.

Funding

This work was supported by the Federal Agency for Nature Conservation, Bonn, Germany [grant number: 3518 84 0800], with Funds from the Federal Ministry for the Environment, Nature Conservation, Nuclear Safety and Consumer Protection (BMUV).

Institutional Review Board Statement

Not applicable.

Informed Consent Statement

Not applicable.

Data Availability Statement

The data presented in this study are available on request from the corresponding author.

Acknowledgments

We would like to express our gratitude to Mariola Gschwendtner from Institute for Environmental Engineering, RWTH Aachen University, for the ICP-MS measurements, to Joachim Böttcher from Palaterra Betriebs- und Beteiligungsgesellschaft mbH as well as Dietmar Veith for the kind provision of the organic materials, to Birgitta Goffart from Institute for Environmental Research, RWTH Aachen University, as well as Brigitta Ehrt from Molecular Ecology of the Rhizosphere, RWTH Aachen University, for their technical support in the lab, and to Felix Schweizer for contributing the 3D illustration of the soil column setup.

Conflicts of Interest

The authors declare no conflict of interest.

References

  1. Reganold, J.P.; Wachter, J.M. Organic agriculture in the twenty-first century. Nat. Plants 2016, 2, 15221. [Google Scholar] [CrossRef] [PubMed]
  2. Siedt, M.; Schäffer, A.; Smith, K.E.C.; Nabel, M.; Roß-Nickoll, M.; van Dongen, J.T. Comparing straw, compost, and biochar regarding their suitability as agricultural soil amendments to affect soil structure, nutrient leaching, microbial communities, and the fate of pesticides. Sci. Total Environ. 2021, 751, 141607. [Google Scholar] [CrossRef] [PubMed]
  3. European Commission. Farm to Fork Strategy. For a Fair, Healthy and Environmentally-Friendly Food System. 2020. Available online: https://food.ec.europa.eu/system/files/2020-05/f2f_action-plan_2020_strategy-info_en.pdf (accessed on 24 August 2022).
  4. “4 per 1000” Initiative. The International “4 per 1000” Initiative. Available online: https://4p1000.org/ (accessed on 20 December 2022).
  5. Schachtschabel, P.; Blume, H.-P.; Brümmer, G.; Hartge, K.H.; Schwertmann, U.; Auerswald, K.; Beyer, L.; Fischer, W.R.; Kögel-Knabner, I.; Renger, M.; et al. Lehrbuch der Bodenkunde: Scheffer/Schachtschabel, 14th ed.; Enke: Stuttgart, Germany, 1998; ISBN 3432847742. [Google Scholar]
  6. Song, X.; Ju, X.; Topp, C.F.E.; Rees, R.M. Oxygen Regulates Nitrous Oxide Production Directly in Agricultural Soils. Environ. Sci. Technol. 2019, 53, 12539–12547. [Google Scholar] [CrossRef] [PubMed]
  7. Krichels, A.; DeLucia, E.H.; Sanford, R.; Chee-Sanford, J.; Yang, W.H. Historical soil drainage mediates the response of soil greenhouse gas emissions to intense precipitation events. Biogeochemistry 2019, 142, 425–442. [Google Scholar] [CrossRef]
  8. Owens, J.; Clough, T.J.; Laubach, J.; Hunt, J.E.; Venterea, R.T.; Phillips, R.L. Nitrous Oxide Fluxes, Soil Oxygen, and Denitrification Potential of Urine- and Non-Urine-Treated Soil under Different Irrigation Frequencies. J. Environ. Qual. 2016, 45, 1169–1177. [Google Scholar] [CrossRef]
  9. Markfoged, R.; Nielsen, L.P.; Nyord, T.; Ottosen, L.D.M.; Revsbech, N.P. Transient N2O accumulation and emission caused by O2 depletion in soil after liquid manure injection. Eur. J. Soil Sci. 2011, 62, 541–550. [Google Scholar] [CrossRef]
  10. Zhu, K.; Bruun, S.; Larsen, M.; Glud, R.N.; Jensen, L.S. Heterogeneity of O2 dynamics in soil amended with animal manure and implications for greenhouse gas emissions. Soil Biol. Biochem. 2015, 84, 96–106. [Google Scholar] [CrossRef]
  11. Zhu, K.; Ye, X.; Ran, H.; Zhang, P.; Wang, G. Contrasting effects of straw and biochar on microscale heterogeneity of soil O2 and pH: Implication for N2O emissions. Soil Biol. Biochem. 2022, 166, 108564. [Google Scholar] [CrossRef]
  12. Song, X.; Wei, H.; Rees, R.M.; Ju, X. Soil oxygen depletion and corresponding nitrous oxide production at hot moments in an agricultural soil. Environ. Pollut. 2022, 292, 118345. [Google Scholar] [CrossRef]
  13. Hagemann, N.; Joseph, S.; Schmidt, H.-P.; Kammann, C.I.; Harter, J.; Borch, T.; Young, R.B.; Varga, K.; Taherymoosavi, S.; Elliott, K.W.; et al. Organic coating on biochar explains its nutrient retention and stimulation of soil fertility. Nat. Commun. 2017, 8, 1089. [Google Scholar] [CrossRef]
  14. Schmidt, H.-P.; Kammann, C.; Hagemann, N.; Leifeld, J.; Bucheli, T.D.; Sánchez Monedero, M.A.; Cayuela, M.L. Biochar in agriculture—A systematic review of 26 global meta-analyses. GCB Bioenergy 2021, 13, 1708–1730. [Google Scholar] [CrossRef]
  15. ISO 54321:2020(E); Soil, Treated Biowaste, Sludge and Waste—Digestion of Aqua Regia Soluble Fractions of Elements. International Organization for Standardization: Geneva, Switzerland, 2020.
  16. Alef, K.; Kleiner, D. Rapid and sensitive determination of microbial activity in soils and in soil aggregates by dimethylsulfoxide reduction. Biol. Fertil. Soils 1989, 8, 349–355. [Google Scholar] [CrossRef]
  17. Schinner, F.; Öhlinger, R.; Kandeler, E.; Margesin, R. (Eds.) Bodenbiologische Arbeitsmethoden, 2nd ed.; Springer: Berlin/Heidelberg, Germany, 1993; ISBN 978-3-642-77937-4. [Google Scholar]
  18. OECD Guidelines for the Testing of Chemicals 312: Leaching in Soil Columns; OECD: Paris, France, 2004.
  19. Brandstetter, A.; Sletten, R.S.; Mentler, A.; Wenzel, W.W. Estimating dissolved organic carbon in natural waters by UV absorbance (254 nm). Z. Für Pflanz. Und Bodenkd. 1996, 159, 605–607. [Google Scholar] [CrossRef]
  20. Xiao, X.; Chen, Z.; Chen, B. H/C atomic ratio as a smart linkage between pyrolytic temperatures, aromatic clusters and sorption properties of biochars derived from diverse precursory materials. Sci. Rep. 2016, 6, 22644. [Google Scholar] [CrossRef] [PubMed]
  21. Fontaine, S.; Mariotti, A.; Abbadie, L. The priming effect of organic matter: A question of microbial competition? Soil Biol. Biochem. 2003, 35, 837–843. [Google Scholar] [CrossRef]
  22. Fontaine, S.; Henault, C.; Aamor, A.; Bdioui, N.; Bloor, J.M.G.; Maire, V.; Mary, B.; Revaillot, S.; Maron, P.A. Fungi mediate long term sequestration of carbon and nitrogen in soil through their priming effect. Soil Biol. Biochem. 2011, 43, 86–96. [Google Scholar] [CrossRef]
  23. Jin, Z.; Shah, T.; Zhang, L.; Liu, H.; Peng, S.; Nie, L. Effect of straw returning on soil organic carbon in rice–wheat rotation system: A review. Food Energy Secur. 2020, 9, 806. [Google Scholar] [CrossRef]
  24. Houot, S.; Verge-Leviel, C.; Le Villio, M.; Clergeot, D. Influence of the Stability of the Compost Organic Matter on the Decay of Organic Pollutants During Composting and in Soil after Compost Application. In Applying Compost Benefits and Needs, Seminar Proceedings, Brüssel, 22–23 November 2001; BMLFUW; Amlinger, F., Nortcliff, S., Weinfurtner, K., Dreher, P., Eds.; European Commission: Vienna, Austria; Brussels, Belgium, 2003; pp. 191–199. ISBN 3-902 338-26-1. [Google Scholar]
  25. Ros, M.; Klammer, S.; Knapp, B.; Aichberger, K.; Insam, H. Long-term effects of compost amendment of soil on functional and structural diversity and microbial activity. Soil Use Manag. 2006, 22, 209–218. [Google Scholar] [CrossRef]
  26. Zhang, H.; Voroney, R.P.; Price, G.W. Effects of temperature and processing conditions on biochar chemical properties and their influence on soil C and N transformations. Soil Biol. Biochem. 2015, 83, 19–28. [Google Scholar] [CrossRef]
  27. Lehmann, J.; Rillig, M.C.; Thies, J.; Masiello, C.A.; Hockaday, W.C.; Crowley, D. Biochar effects on soil biota—A review. Soil Biol. Biochem. 2011, 43, 1812–1836. [Google Scholar] [CrossRef]
  28. Haider, G.; Steffens, D.; Moser, G.; Müller, C.; Kammann, C.I. Biochar reduced nitrate leaching and improved soil moisture content without yield improvements in a four-year field study. Agric. Ecosyst. Environ. 2017, 237, 80–94. [Google Scholar] [CrossRef]
  29. Kögel-Knabner, I.; Leifeld, J.; Siebert, S. Humifizierungsprozesse von Kompost nach Ausbringung auf den Boden. In Neue Techniken der Kompostierung: Kompostanwendung, Hygiene, Schadstoffabbau, Vermarktung, Abluftbehandlung: Dokumentation des 2. BMBF-Statusseminars “Neue Techniken zur Kompostierung” in Hamburg vom 6–8 November 1996; Stegmann, R., Ed.; Economica-Verl.: Bonn, Germany, 1996; pp. 73–87. ISBN 9783870811969. [Google Scholar]
  30. Amlinger, F.; Peyr, S.; Geszti, J.; Dreher, P.; Weinfurtner, K.; Nortcliff, S. Evaluierung der Nachhaltig Positiven Wirkung von Kompost auf Die Fruchtbarkeit und Produktivität von Böden; Bundesministerium für Land- und Forstwirtschaft, Umwelt und Wasserwirtschaft: Vienna, Austria, 2006. [Google Scholar]
  31. Keiluweit, M.; Gee, K.; Denney, A.; Fendorf, S. Anoxic microsites in upland soils dominantly controlled by clay content. Soil Biol. Biochem. 2018, 118, 42–50. [Google Scholar] [CrossRef]
  32. Dilly, O. Microbial respiratory quotient during basal metabolism and after glucose amendment in soils and litter. Soil Biol. Biochem. 2001, 33, 117–127. [Google Scholar] [CrossRef]
  33. Conrad, R.; Klose, M.; Lu, Y.; Chidthaisong, A. Methanogenic pathway and archaeal communities in three different anoxic soils amended with rice straw and maize straw. Front. Microbiol. 2012, 3, 4. [Google Scholar] [CrossRef]
  34. Yuan, Q.; Pump, J.; Conrad, R. Straw application in paddy soil enhances methane production also from other carbon sources. Biogeosciences 2014, 11, 237–246. [Google Scholar] [CrossRef]
  35. Tiedje, J.M. Ecology of denitrification and dissimilatory nitrate reduction to ammonium. In Environmental Microbiology of Anaerobes; Zehnder, A.J.B., Ed.; John Wiley and Sons: Hoboken, NJ, USA, 1988; pp. 179–244. [Google Scholar]
  36. Rütting, T.; Boeckx, P.; Müller, C.; Klemedtsson, L. Assessment of the importance of dissimilatory nitrate reduction to ammonium for the terrestrial nitrogen cycle. Biogeosciences 2011, 8, 1779–1791. [Google Scholar] [CrossRef]
  37. Pandey, C.B.; Kumar, U.; Kaviraj, M.; Minick, K.J.; Mishra, A.K.; Singh, J.S. DNRA: A short-circuit in biological N-cycling to conserve nitrogen in terrestrial ecosystems. Sci. Total Environ. 2020, 738, 139710. [Google Scholar] [CrossRef]
  38. Rice, W.A.; Paul, E.A.; Wetter, L.R. The role of anaerobiosis in asymbiotic nitrogen fixation. Can. J. Microbiol. 1967, 13, 829–836. [Google Scholar] [CrossRef]
  39. Brouzes, R.; Lasik, J.; Knowles, R. The effect of organic amendment, water content, and oxygen on the incorporation of 15N2 by some agricultural and forest soils. Can. J. Microbiol. 1969, 15, 899–905. [Google Scholar] [CrossRef]
  40. Surey, R.; Schimpf, C.M.; Sauheitl, L.; Mueller, C.W.; Rummel, P.S.; Dittert, K.; Kaiser, K.; Böttcher, J.; Mikutta, R. Potential denitrification stimulated by water-soluble organic carbon from plant residues during initial decomposition. Soil Biol. Biochem. 2020, 147, 107841. [Google Scholar] [CrossRef]
  41. Dienemann, C.; Utermann, J. Uran in Boden und Wasser. Texte 37/2012. 2012. Available online: https://www.umweltbundesamt.de/sites/default/files/medien/461/publikationen/4336.pdf (accessed on 15 May 2023).
  42. Ashworth, D.J.; Alloway, B.J. Influence of Dissolved Organic Matter on the Solubility of Heavy Metals in Sewage-Sludge-Amended Soils. Commun. Soil Sci. Plant Anal. 2008, 39, 538–550. [Google Scholar] [CrossRef]
  43. Gu, C.; Bai, Y. Heavy metal leaching and plant uptake in mudflat soils amended with sewage sludge. Environ. Sci. Pollut. Res. Int. 2018, 25, 31031–31039. [Google Scholar] [CrossRef] [PubMed]
  44. Hu, X.; Wei, X.; Ling, J.; Chen, J. Cobalt: An Essential Micronutrient for Plant Growth? Front. Plant Sci. 2021, 12, 768523. [Google Scholar] [CrossRef]
  45. Caporale, A.G.; Violante, A. Chemical Processes Affecting the Mobility of Heavy Metals and Metalloids in Soil Environments. Curr. Pollut. Rep. 2016, 2, 15–27. [Google Scholar] [CrossRef]
  46. Marschner, P. Processes in submerged soils—Linking redox potential, soil organic matter turnover and plants to nutrient cycling. Plant Soil 2021, 464, 1–12. [Google Scholar] [CrossRef]
  47. Beesley, L.; Marmiroli, M. The immobilisation and retention of soluble arsenic, cadmium and zinc by biochar. Environ. Pollut. 2011, 159, 474–480. [Google Scholar] [CrossRef] [PubMed]
  48. Li, H.; Dong, X.; da Silva, E.B.; de Oliveira, L.M.; Chen, Y.; Ma, L.Q. Mechanisms of metal sorption by biochars: Biochar characteristics and modifications. Chemosphere 2017, 178, 466–478. [Google Scholar] [CrossRef] [PubMed]
  49. Rudolph-Mohr, N.; Tötzke, C.; Kardjilov, N.; Oswald, S.E. Mapping water, oxygen, and pH dynamics in the rhizosphere of young maize roots. J. Plant Nutr. Soil Sci. 2017, 180, 336–346. [Google Scholar] [CrossRef]
Figure 1. (A) Illustration of experimental setup of soil columns for the Leaching Experiment. a: Reservoir for 0.01 M CaCl2; b: Fiber optic oxygen sensor (connected to j); c: Filter paper; d: Soil column; e: Glass wool layer; f: Filter paper; g: Sieve plate; h: Funnel extension; i: Sample container; j: Oxygen meter. (B) Photo of soil columns prepared for the Vertical Oxygen Distribution Experiment. Fiber optic oxygen sensors were inserted at depths of 2 cm, 7 cm, 15 cm, and 28 cm below the surface, and openings were sealed with sealant. Columns were loosely capped with aluminum foil during incubation. The aluminum foil was removed before the irrigation started.
Figure 1. (A) Illustration of experimental setup of soil columns for the Leaching Experiment. a: Reservoir for 0.01 M CaCl2; b: Fiber optic oxygen sensor (connected to j); c: Filter paper; d: Soil column; e: Glass wool layer; f: Filter paper; g: Sieve plate; h: Funnel extension; i: Sample container; j: Oxygen meter. (B) Photo of soil columns prepared for the Vertical Oxygen Distribution Experiment. Fiber optic oxygen sensors were inserted at depths of 2 cm, 7 cm, 15 cm, and 28 cm below the surface, and openings were sealed with sealant. Columns were loosely capped with aluminum foil during incubation. The aluminum foil was removed before the irrigation started.
Soilsystems 07 00062 g001
Figure 2. Microbial activity measured as dimethyl sulfoxide reductase activity during Soil Incubation Experiment. Mean values of n = 3 are shown with their respective standard deviations as error bars. DMS = dimethyl sulfide. dw = dry weight.
Figure 2. Microbial activity measured as dimethyl sulfoxide reductase activity during Soil Incubation Experiment. Mean values of n = 3 are shown with their respective standard deviations as error bars. DMS = dimethyl sulfide. dw = dry weight.
Soilsystems 07 00062 g002
Figure 3. Nitrate-N extracted from soils (1:5 w:v, 0.01 M CaCl2, n = 1) during incubation, referring to dry weight (dw). Negative values from the photometric assay were set to 0 (in the case of straw–soil in weeks one, two, and three).
Figure 3. Nitrate-N extracted from soils (1:5 w:v, 0.01 M CaCl2, n = 1) during incubation, referring to dry weight (dw). Negative values from the photometric assay were set to 0 (in the case of straw–soil in weeks one, two, and three).
Soilsystems 07 00062 g003
Figure 4. Oxygen concentrations during the Leaching Experiment in soil columns at a depth of 7 cm, (A) without or (B) with mineral N- and P-fertilizers applied 24 h before the start of the irrigation. Mean values of n = 3 are shown with their respective standard deviations as error bars.
Figure 4. Oxygen concentrations during the Leaching Experiment in soil columns at a depth of 7 cm, (A) without or (B) with mineral N- and P-fertilizers applied 24 h before the start of the irrigation. Mean values of n = 3 are shown with their respective standard deviations as error bars.
Soilsystems 07 00062 g004
Figure 5. Amount of (A) ammonium-N, (B) nitrate-N, and (C) phosphate-P leached from soil columns. “+F” indicates application of mineral N- and P-fertilizers before irrigation. Intensity of grey scale coloring indicates the mean (n = 3) contribution from each of the four irrigation events (50 mm each) to the total amount leached. Error bars show the standard deviation of the total amount leached (n = 3). Labeling total amounts leached with different letter(s) indicates belonging to statistically significantly different groups (Analysis of variance followed by Tukey’s multiple comparisons test, α = 0.05).
Figure 5. Amount of (A) ammonium-N, (B) nitrate-N, and (C) phosphate-P leached from soil columns. “+F” indicates application of mineral N- and P-fertilizers before irrigation. Intensity of grey scale coloring indicates the mean (n = 3) contribution from each of the four irrigation events (50 mm each) to the total amount leached. Error bars show the standard deviation of the total amount leached (n = 3). Labeling total amounts leached with different letter(s) indicates belonging to statistically significantly different groups (Analysis of variance followed by Tukey’s multiple comparisons test, α = 0.05).
Soilsystems 07 00062 g005
Figure 6. Concentrations of metals in pooled leachate samples from soil columns (n = 3). (A) Manganese, (B) iron, (C) aluminum, (D) cobalt, (E) nickel, (F) zinc, (G) arsenic, and (H) cadmium. “+F” indicates application of mineral N- and P-fertilizers before irrigation. Bars and error bars show the mean and standard deviations, respectively. Labeling with different letter(s) indicates belonging to statistically significantly different groups (Analysis of variance followed by Tukey’s multiple comparisons test, α = 0.05).
Figure 6. Concentrations of metals in pooled leachate samples from soil columns (n = 3). (A) Manganese, (B) iron, (C) aluminum, (D) cobalt, (E) nickel, (F) zinc, (G) arsenic, and (H) cadmium. “+F” indicates application of mineral N- and P-fertilizers before irrigation. Bars and error bars show the mean and standard deviations, respectively. Labeling with different letter(s) indicates belonging to statistically significantly different groups (Analysis of variance followed by Tukey’s multiple comparisons test, α = 0.05).
Soilsystems 07 00062 g006
Figure 7. Dissolved organic carbon based on absorption at λ = 254 nm of the 0.45 µm filtered leachate of soil columns. Error bars are standard deviations (n = 3). “+F” indicates application of mineral N- and P-fertilizers before irrigation. Labeling with different letter(s) indicates belonging to statistically significantly different groups (Analysis of variance followed by Tukey’s multiple comparisons test, α = 0.05).
Figure 7. Dissolved organic carbon based on absorption at λ = 254 nm of the 0.45 µm filtered leachate of soil columns. Error bars are standard deviations (n = 3). “+F” indicates application of mineral N- and P-fertilizers before irrigation. Labeling with different letter(s) indicates belonging to statistically significantly different groups (Analysis of variance followed by Tukey’s multiple comparisons test, α = 0.05).
Soilsystems 07 00062 g007
Figure 8. Spatiotemporal profiles of oxygen levels in soil columns during irrigation events (grey area) in the Vertical Oxygen Distribution Experiment. (A) Soil. (B) Straw–soil: 1% of soil dry weight was added as straw. (C) Straw–soil +F: mineral N- and P-fertilizers were applied to surface of straw–soil 24 h before irrigation started. At time = 0, all sensors showed normoxic oxygen levels set to 100% at time = 0.
Figure 8. Spatiotemporal profiles of oxygen levels in soil columns during irrigation events (grey area) in the Vertical Oxygen Distribution Experiment. (A) Soil. (B) Straw–soil: 1% of soil dry weight was added as straw. (C) Straw–soil +F: mineral N- and P-fertilizers were applied to surface of straw–soil 24 h before irrigation started. At time = 0, all sensors showed normoxic oxygen levels set to 100% at time = 0.
Soilsystems 07 00062 g008
Table 1. Elemental analysis of carbon, nitrogen, and hydrogen of organic amendments and soil (mean of n = 4) as well as calculated values for the amended soils. C/N mass ratio and H/C molar ratio based on total C content. Total content for C, N, and H is given in weight percentage of dry weight (dw). See Table S1 for full dataset. Within a row, labeling measured values with different letter(s) indicates belonging to statistically significantly different groups (Analysis of variance followed by Tukey’s multiple comparisons test, α = 0.05).
Table 1. Elemental analysis of carbon, nitrogen, and hydrogen of organic amendments and soil (mean of n = 4) as well as calculated values for the amended soils. C/N mass ratio and H/C molar ratio based on total C content. Total content for C, N, and H is given in weight percentage of dry weight (dw). See Table S1 for full dataset. Within a row, labeling measured values with different letter(s) indicates belonging to statistically significantly different groups (Analysis of variance followed by Tukey’s multiple comparisons test, α = 0.05).
Organic MaterialsSoilAmended Soils (Calculated)
StrawCompostBiochar Product Straw-
Soil
Compost-
Soil
Biochar-
Soil
C/N mass ratio109 a17.5 c91 b12.6 c16.713.015.7
H/C molar ratio1.7 b1.5 c0.5 d2.6 an.d.n.d.n.d.
Ctotal (% dw)42.2 b19.1 c66.7 a1.02 d1.401.141.32
Ntotal (% dw)0.39 c1.09 a0.74 b0.081 d0.0840.0880.084
Htotal (% dw)6.03 a2.36 b2.52 b0.22 cn.d.n.d.n.d.
n.d. = not determined.
Table 2. Aqua regia soluble metal contents of soil, organic materials, and mineral fertilizers (n = 1) in mg per kg dry weight. The metal concentrations of the process control (pure water processed like a sample) were subtracted from all samples. Value of 0 = metal concentration of sample was lower than process control. Metal contents were calculated based on dry weight (dw). Limits for organic fertilizers and soil amelioration products according to German fertilizer regulation of December 5, 2012, Annex 2. NA = not applicable. See Table S1 for full dataset.
Table 2. Aqua regia soluble metal contents of soil, organic materials, and mineral fertilizers (n = 1) in mg per kg dry weight. The metal concentrations of the process control (pure water processed like a sample) were subtracted from all samples. Value of 0 = metal concentration of sample was lower than process control. Metal contents were calculated based on dry weight (dw). Limits for organic fertilizers and soil amelioration products according to German fertilizer regulation of December 5, 2012, Annex 2. NA = not applicable. See Table S1 for full dataset.
SoilOrganic MaterialsLimitsMineral Fertilizers
StrawCompostBiochar ProductLabeling RequiredCritical LimitNH4NO3Super-Phosphate
Mn (mg kg−1 dw)37418.4182601NANA074.6
Fe (mg kg−1 dw)481693.560403531NANA19.73232
Al (mg kg−1 dw)517663.160614447NANA61.81888
Cr (mg kg−1 dw)14.30.26818.17.47300NA057.0
Co (mg kg−1 dw)1.250.0141.941.3740NA00.658
Ni (mg kg−1 dw)2.1107.654.2540800.16820.4
Zn (mg kg−1 dw)20.86.1897.680.41000NA0235
As (mg kg−1 dw)2.100.0773.360.75820400.0026.48
Cd (mg kg−1 dw)0.1000.1170.1950.7851.01.50.00211.6
Hg (mg kg−1 dw)0.0180.0230.0610.0200.51.000.019
Pb (mg kg−1 dw)12.10.37415.17.961001500.0552.04
U (mg kg−1 dw)0.52000.2940.237NANA041.3
Disclaimer/Publisher’s Note: The statements, opinions and data contained in all publications are solely those of the individual author(s) and contributor(s) and not of MDPI and/or the editor(s). MDPI and/or the editor(s) disclaim responsibility for any injury to people or property resulting from any ideas, methods, instructions or products referred to in the content.

Share and Cite

MDPI and ACS Style

Siedt, M.; Teggers, E.-M.; Linnemann, V.; Schäffer, A.; van Dongen, J.T. Microbial Degradation of Plant Residues Rapidly Causes Long-Lasting Hypoxia in Soil upon Irrigation and Affects Leaching of Nitrogen and Metals. Soil Syst. 2023, 7, 62. https://doi.org/10.3390/soilsystems7020062

AMA Style

Siedt M, Teggers E-M, Linnemann V, Schäffer A, van Dongen JT. Microbial Degradation of Plant Residues Rapidly Causes Long-Lasting Hypoxia in Soil upon Irrigation and Affects Leaching of Nitrogen and Metals. Soil Systems. 2023; 7(2):62. https://doi.org/10.3390/soilsystems7020062

Chicago/Turabian Style

Siedt, Martin, Eva-Maria Teggers, Volker Linnemann, Andreas Schäffer, and Joost T. van Dongen. 2023. "Microbial Degradation of Plant Residues Rapidly Causes Long-Lasting Hypoxia in Soil upon Irrigation and Affects Leaching of Nitrogen and Metals" Soil Systems 7, no. 2: 62. https://doi.org/10.3390/soilsystems7020062

APA Style

Siedt, M., Teggers, E.-M., Linnemann, V., Schäffer, A., & van Dongen, J. T. (2023). Microbial Degradation of Plant Residues Rapidly Causes Long-Lasting Hypoxia in Soil upon Irrigation and Affects Leaching of Nitrogen and Metals. Soil Systems, 7(2), 62. https://doi.org/10.3390/soilsystems7020062

Article Metrics

Back to TopTop