Assessment of the Impact of Ceftriaxone on the Functional Profile of Soil Microbiota Using Biolog EcoPlateTM
Abstract
1. Introduction
2. Materials and Methods
2.1. Soil Sampling
2.2. Test Organism and Assessed Chemical
2.3. Experimental Design
2.4. Microbial Functional Profile
2.5. Analysis of EcoPlate Data
2.6. Statistical Analysis
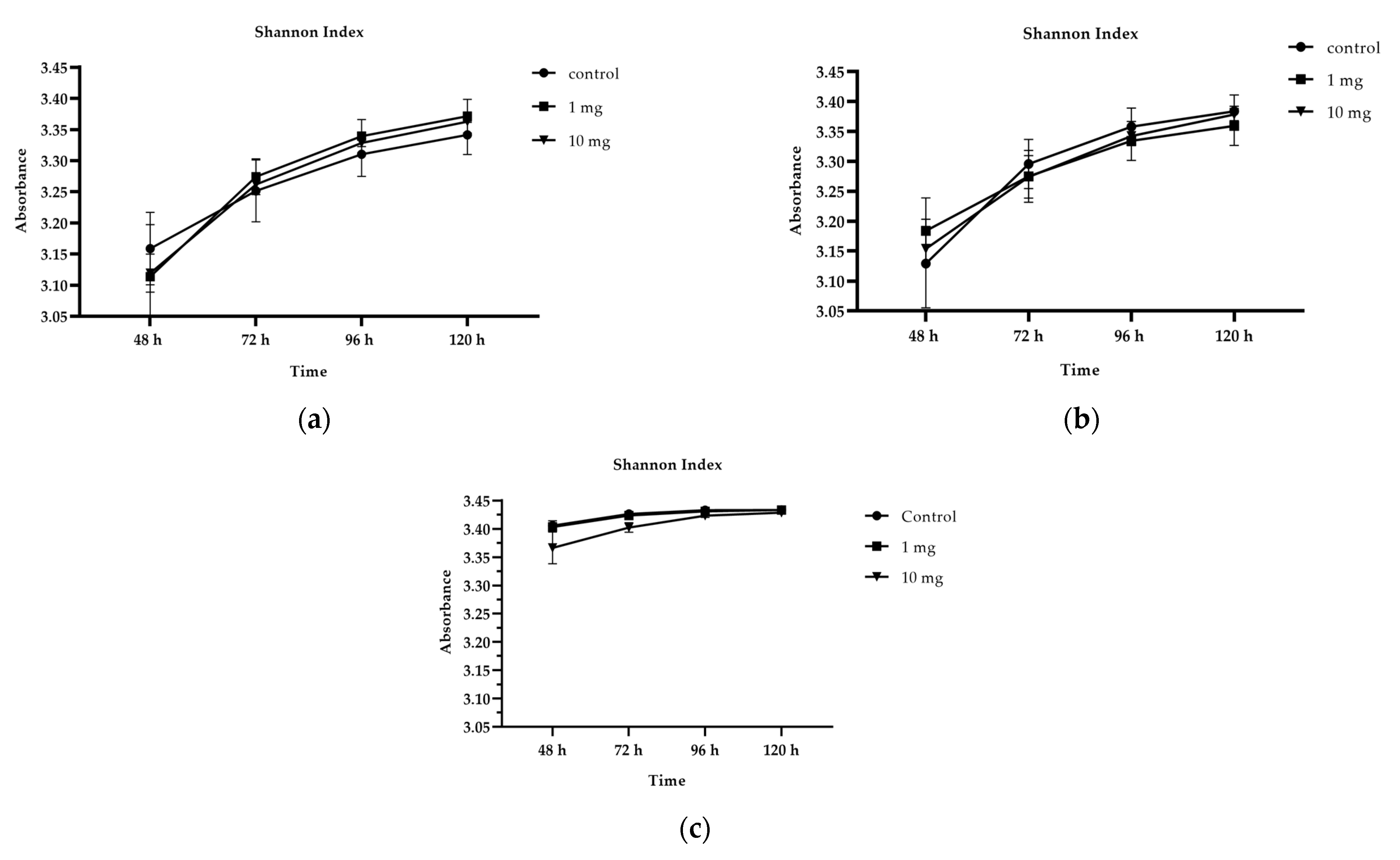
3. Results
4. Discussion
5. Conclusions
Author Contributions
Funding
Institutional Review Board Statement
Informed Consent Statement
Data Availability Statement
Acknowledgments
Conflicts of Interest
References
- Loganathan, P.; Vigneswaran, S.; Kandasamy, J.; Cuprys, A.K.; Maletskyi, Z.; Ratnaweera, H. Treatment Trends and Combined Methods in Removing Pharmaceuticals and Personal Care Products from Wastewater—A Review. Membranes 2023, 13, 158. [Google Scholar] [CrossRef]
- Yang, Q.; Gao, Y.; Ke, J.; Show, P.L.; Ge, Y.; Liu, Y.; Guo, R.; Chen, J. Antibiotics: An overview on the environmental occurrence, toxicity, degradation, and removal methods. Bioengineered 2021, 12, 7376–7416. [Google Scholar] [CrossRef] [PubMed]
- Silva, L.H.M.; Jardim, W.F. Occurrence, fate and analysis of pharmaceuticals in the aquatic environment: A review. Braz. J. Water Resour. 2014, 19, 331–352. [Google Scholar]
- World Health Organization. Global Antimicrobial Resistance Surveillance System (GLASS) Report: Early Implementation 2017–2018; WHO: Geneva, Switzerland, 2018. [Google Scholar]
- Rawson, T.M.; Moore, L.S.P.; Zhu, N.; Ranganathan, N.; Skolimowska, K.; Gilchrist, M.; Satta, G.; Cooke, G.; Holmes, A.H. Bacterial and Fungal Coinfection in Individuals with Coronavirus: A Rapid Review to Support COVID-19 Antimicrobial Prescribing. Clin. Infect. Dis. 2020, 71, 2459–2468. [Google Scholar] [CrossRef]
- Tängdén, T.; Cars, O. Cephalosporins. In Antibiotic Development and Resistance; Mohamed Shakil, A.F., Ed.; Academic Press: Cambridge, MA, USA, 2019; pp. 161–178. [Google Scholar]
- Saviano, A.M.; Lourenço, F.R. Rapid microbiological methods (RMMs) for evaluating the activity of cephalosporin antibiotics employing triphenyltetrazolium chloride. Talanta 2018, 185, 520–527. [Google Scholar] [CrossRef]
- Estrada, A.L.; Li, Y.Y.; Wang, A. Biodegradability enhancement of wastewater containing cefalexin by means of the electro–fenton oxidation process. J. Hazard. Mater. 2012, 227–228, 41–48. [Google Scholar] [CrossRef]
- Newman, R.E.; Hedican, E.B.; Herigon, J.C.; Williams, D.D.; Williams, A.R.; Newland, J.G. Impact of a Guideline on Management of Children Hospitalized with Community-Acquired Pneumonia. Pediatrics 2012, 129, e597–e604. [Google Scholar] [CrossRef]
- Wacharachaisurapol, N.; Jitrungruengnij, N.; Janewongwirot, P.; Suchartlikitwong, P.; Chautrakarn, S.; Jantarabenjakul, W.; Anugulruengkitt, S.; Theerawit, T.; Sophonphan, J.; Deerojanawong, J.; et al. High prescribing rates of third-generation cephalosporins in children hospitalized with acute lower respiratory infections at a university hospital. Int. J. Infect. Dis. 2020, 102, 369–374. [Google Scholar] [CrossRef] [PubMed]
- Salmon, S.A.; Watts, J.L.; Yancey, R.J., Jr. In vitro activity of ceftiofur and its primary metabolite, desfuroylceftiofur, against organisms of veterinary importance. J. Vet. Diagn. Investig. 1996, 8, 332–336. [Google Scholar] [CrossRef] [PubMed]
- Hornish, R.E.; Katarski, S.F. Cephalosporins in veterinary medicine-ceftiofur use in food animals. Curr. Top. Med. Chem. 2002, 2, 717–731. [Google Scholar] [CrossRef]
- Yuan, L.; Sun, J.; Wang, R.; Sun, L.; Zhu, L.; Luo, X.; Fang, B.; Liu, Y. Pharmacokinetics and bioavailability of cefquinome in healthy ducks. Am. J. Vet. Res. 2011, 72, 122–126. [Google Scholar] [CrossRef]
- An, B.; Xu, X.; Ma, W.; Huo, M.; Wang, H.; Liu, Z.; Cheng, G.; Huang, L. The adsorption-desorption characteristics and degradation kinetics of ceftiofur in different agricultural soils. Ecotoxicol. Environ. Saf. 2021, 222, 112503. [Google Scholar] [CrossRef]
- Cycoń, M.; Mrozik, A.; Piotrowska-Seget, Z. Antibiotics in the Soil Environment-Degradation and Their Impact on Microbial Activity and Diversity. Front. Microbiol. 2019, 10, 338. [Google Scholar] [CrossRef] [PubMed]
- Schulte, R.P.O.; Creamer, R.E.; Donnellan, T.; Farrelly, N.; Fealy, R.; O’Donoghue, C.; O’hUallachain, D. Functional land management: A framework for managing soil-based ecosystem services for the sustainable intensification of agriculture. Environ. Sci. Policy 2014, 38, 45–58. [Google Scholar] [CrossRef]
- Baldrian, P. The known and the unknown in soil microbial ecology. FEMS Microbiol. Ecol. 2019, 95, fiz005. [Google Scholar] [CrossRef]
- Li, Z.; Yuan, L.; Shao, W.; Sheng, G. Evaluating the interaction of soil microorganisms and gut of soil fauna on the fate and spread of antibiotic resistance genes in digested sludge-amended soil ecosystem. J. Hazard. Mater. 2021, 420, 126672. [Google Scholar] [CrossRef] [PubMed]
- Jansson, J.K.; Hofmockel, K.S. Soil microbiomes and climate change. Nat. Rev. Microbiol. 2020, 18, 35–46. [Google Scholar] [CrossRef]
- Yang, Q.; Zhang, J.; Zhu, K.; Zhang, H. Influence of oxytetracycline on the structure and activity of microbial community in wheat rhizosphere soil. J. Environ. Sci. 2009, 21, 954–959. [Google Scholar] [CrossRef]
- Akimenko, Y.V.; Kazeev, K.S.; Kolesnikov, S.I. Impact assessment of soil contamination with antibiotics (For example, an ordinary chernozem). Am. J. Appl. Sci. 2015, 12, 80–88. [Google Scholar] [CrossRef]
- Xu, Y.; Yu, W.; Ma, Q.; Wang, J.; Zhou, H.; Jiang, C. The combined effect of sulfadiazine and copper on soil microbial activity and community structure. Ecotoxicol. Environ. Saf. 2016, 134, 43–52. [Google Scholar] [CrossRef]
- Wang, H.-T.; Ding, J.; Xiong, C.; Zhu, D.; Li, G.; Jia, X.-Y.; Zhu, Y.-G.; Xue, X.-M. Exposure to microplastics lowers arsenic accumulation and alters gut bacterial communities of earthworm Metaphire californica. Environ. Pollut. 2019, 251, 110–116. [Google Scholar] [CrossRef] [PubMed]
- Koner, S.; Chen, J.S.; Hsu, B.M.; Rathod, J.; Huang, S.W.; Chien, H.Y.; Hussain, B.; Chan, M.W. Depth-resolved microbial diversity and functional profiles of trichloroethylene-contaminated soils for Biolog EcoPlate-based biostimulation strategy. J. Hazard. Mater. 2022, 424, 127266. [Google Scholar] [CrossRef]
- Pino-Otín, M.R.; Ferrando, N.; Ballestero, D.; Langa, E.; Roig, F.J.; Terrado, E.M. Impact of eight widely consumed antibiotics on the growth and physiological profile of natural soil microbial communities. Chemosphere 2022, 305, 135473. [Google Scholar] [CrossRef]
- Zhu, D.; Ding, J.; Yin, Y.; Ke, X.; O’Connor, P.; Zhu, Y.-G. Effects of Earthworms on the Microbiomes and Antibiotic Resistomes of Detritus Fauna and Phyllospheres. Environ. Sci. Technol. 2020, 54, 6000–6008. [Google Scholar] [CrossRef]
- Zhu, D.; Delgado-Baquerizo, M.; Su, J.-Q.; Ding, J.; Li, H.; Gillings, M.R.; Penuelas, J.; Zhu, Y.-G. Deciphering Potential Roles of Earthworms in Mitigation of Antibiotic Resistance in the Soils from Diverse Ecosystems. Environ. Sci. Technol. 2021, 55, 7445–7455. [Google Scholar] [CrossRef]
- Pu, Q.; Wang, H.T.; Pan, T.; Li, H.; Su, J.Q. Enhanced removal of ciprofloxacin and reduction of antibiotic resistance genes by earthworm Metaphire vulgaris in soil. Sci. Total Environ. 2020, 742, 140409. [Google Scholar] [CrossRef]
- Arora, S.; Saraswat, S.; Rajpal, A.; Shringi, H.; Mishra, R.; Sethi, J.; Rajvanshi, J.; Nag, A.; Saxena, S.; Kazmi, A. Effect of earthworms in reduction and fate of antibiotic resistant bacteria (ARB) and antibiotic resistant genes (ARGs) during clinical laboratory wastewater treatment by vermifiltration. Sci. Total Environ. 2021, 773, 145152. [Google Scholar] [CrossRef] [PubMed]
- Li, S.; Li, J.; Li, Z.; Ke, X.; Wu, L.; Christie, P. Toxic effects of norfloxacin in soil on fed and unfed Folsomia candida (Isotomidae: Collembola) and on gut and soil microbiota. Sci. Total Environ. 2021, 788, 147793. [Google Scholar] [CrossRef] [PubMed]
- Bardgett, R.D.; Caruso, T. Soil microbial community responses to climate extremes: Resistance, resilience and transitions to alternative states. Philos. Trans. R. Soc. Lond. B Biol. Sci. 2020, 375, 20190112. [Google Scholar] [CrossRef]
- van Bruggen, A.H.; Goss, E.M.; Havelaar, A.; van Diepeningen, A.D.; Finckh, M.R.; Morris, J.G., Jr. One Health—Cycling of diverse microbial communities as a connecting force for soil, plant, animal, human and ecosystem health. Sci. Total Environ. 2019, 664, 927–937. [Google Scholar] [CrossRef] [PubMed]
- Ramires, P.F.; Tavella, R.A.; Escarrone, A.L.; Volcão, L.M.; Honscha, L.C.; Brum, R.D.L.; da Silva, A.B.; da Silva Júnior, F.M.R. Ecotoxicity of triclosan in soil: An approach using different species. Environ. Sci. Pollut. Res. Int. 2021, 28, 41233–41241. [Google Scholar] [CrossRef]
- Volcão, L.M.; Fraga, L.S.; de Lima Brum, R.; De Moura, R.R.; Bernardi, E.; Ramos, D.F.; da Silva Júnior, F.M.R. Toxicity of Biocide Formulations in the Soil to the Gut Community in Balloniscus selowii Brandt, 1983 (Crustacea: Isopoda: Oniscidea). Water Air Soil Pollut. 2020, 231, 306. [Google Scholar] [CrossRef]
- Da Silva Júnior, F.M.R.; Silva, P.F.; Garcia, E.M.; Klein, R.D.; Peraza-Cardoso, G.; Baisch, P.R.; Vargas, V.M.F.; Muccillo-Baisch, A.L. Toxic effects of the ingestion of water-soluble elements found in soil under the atmospheric influence of an industrial complex. Environ. Geochem. Health 2013, 35, 317–331. [Google Scholar] [CrossRef] [PubMed]
- Da Silva Júnior, F.M.R.; Feijo Fernandes, C.L.; Tavella, R.A.; Hoscha, L.C.; Martins Baisch, P.R. Genotoxic damage in coelomocytes of Eisenia andrei exposed to urban soils. Mutation research. Genet. Toxicol. Environ. Mutagen. 2019, 842, 111. [Google Scholar] [CrossRef]
- Honscha, L.C.; de Moura, R.R.; Baisch, P.R.M.; Tavella, R.A.; Hoscha, L.C. Increasingly Distant from Eden—A Look at the Soils of Protected Areas Using Ecotoxicological Tests and Chemical Analysis. Water Air Soil Pollut. 2019, 230, 162. [Google Scholar] [CrossRef]
- Orlewska, K.; Piotrowska-Seget, Z.; Cycoń, M. Use of the PCR-DGGE method for the analysis of the bacterial community structure in soil treated with the cephalosporin antibiotic cefuroxime and/or inoculated with a multidrug-resistant Pseudomonas putida strain MC1. Front. Microbiol. 2018, 9, 1387. [Google Scholar] [CrossRef]
- De Lima Brum, R.; Volcão, L.M.; da Silva Freitas, L.; de Lima Brum, R.; Volcão, L.M.; da Silva Freitas, L.; Santos, J.E.K.; Coronas, M.V.; Ventura-Lima, J.; da Silva Júnior, F.M.R.; et al. Metabolic Profile of the Soil Microbial Community Exposed to Arsenite and Arsenate: A 1-Year Experiment. Water Air Soil Pollut. 2022, 233, 317. [Google Scholar] [CrossRef]
- Sofo, A.; Ricciuti, P. A Standardized Method for Estimating the Functional Diversity of Soil Bacterial Community by Biolog® EcoPlatesTM Assay—The Case Study of a Sustainable Olive Orchard. Appl. Sci. 2019, 9, 4035. [Google Scholar] [CrossRef]
- Muniz, S.; Lacarta, J.; Pata, M.P.; Jimenez, J.J.; Navarro, E. Analysis of the diversity of substrate utilisation of soil bacteria exposed to Cd and earthworm activity using generalised additive models. PLoS ONE 2014, 9, e85057. [Google Scholar] [CrossRef]
- Frąc, M.; Oszust, K.; Lipiec, J. Community level physiological profiles (CLPP), characterization and microbial activity of soil amended with dairy sewage sludge. Sensors 2012, 12, 3253–3268. [Google Scholar] [CrossRef]
- Kenarova, A.; Radeva, G.; Traykov, I.; Boteva, S. Community level physiological profiles of bacterial communities inhabiting uranium mining impacted sites. Ecotoxicol. Environ. Saf. 2014, 100, 226–232. [Google Scholar] [CrossRef] [PubMed]
- Sala, M.M.; Pinhassi, J.; Gasol, J.M. Estimation of bacterial use of dissolved organic nitrogen compounds in aquatic ecosystems using Biolog plates. Aquat. Microb. Ecol. 2006, 42, 1–5. [Google Scholar] [CrossRef]
- Da Silva Júnior, F.M.R. Brazil: “The continent” that does not look at its ground. Environ. Toxicol. Chem. 2020, 39, 1859–1860. [Google Scholar] [CrossRef] [PubMed]
- Dávila-Estrada, M.; Ramírez-García, J.J.; Solache-Ríos, M.J.; Gallegos-Pérez, J.L. Kinetic and equilibrium sorption studies of ceftriaxone and paracetamol by surfactant-modified zeolite. Water Air Soil Pollut. 2018, 229, 123. [Google Scholar] [CrossRef]
- Dong, X.; Rao, D.; Tian, L.; Wang, Q.; Yang, K. A slurry microcosm study on the interaction between antibiotics and soil bacterial community. Heliyon 2020, 6, e03348. [Google Scholar] [CrossRef] [PubMed]
- Mardani, G.; Ahankoub, M.; Faradonbeh, M.A.; Shahraki, H.R. Biodegradation of ceftriaxone in soil using dioxygenase-producing genetically engineered Pseudomonas putida. Bioremediat. J. 2022, 26, 1–12. [Google Scholar] [CrossRef]
- Medina-Sauza, R.M.; Álvarez-Jiménez, M.; Delhal, A.; Reverchon, F.; Blouin, M.; Guerrero-Analco, J.A.; Cerdán, C.R.; Guevara, R.; Villain, L.; Barois, I. Earthworms Building Up Soil Microbiota, a Review. Front. Environ. Sci. 2019, 7, 81. [Google Scholar] [CrossRef]
- Xia, H.; Chen, J.; Chen, X.; Huang, K.; Wu, Y. Effects of tetracycline residuals on humification, microbial profile and antibiotic resistance genes during vermicomposting of dewatered sludge. Environ. Pollut. 2019, 252, 1068–1077. [Google Scholar] [CrossRef]
- Natal-Da-Luz, T.; Lee, I.; Verweij, R.A.; Morais, P.V.; Van Velzen, M.J.; Sousa, J.P.; van Gestel, K. Influence of earthworm activity on microbial communities related with the degradation of persistent pollutants. Environ. Toxicol. Chem. 2012, 31, 794–803. [Google Scholar] [CrossRef]
- Preston-Mafham, J.; Boddy, L.; Randerson, P.F. Analysis of microbial community functional diversity using sole-carbon-source utilisation profiles—A critique. FEMS Microbiol. Ecol. 2002, 42, 1–14. [Google Scholar] [CrossRef]







| Substrates | Carbon Sources |
|---|---|
| Polymers | Tween 40 Tween 80 α-Cyclodextrin Glycogen |
| Carbohydrates | D-Cellobiose α-D-Lactose beta–Methyl-D-Glucoside D-Xylose i-Erythritol D-Mannitol N-Acety l-D-Glucosamine Glucose-1-Phosphate D, L-α-glycerol Phosphate D-Galactonic acid γ-Lactone |
| Carboxylic acids | Pyruvic acid methyl ester D-Glucosaminic acid D-Galacturonic acid γ-Hydroxybutyric acid Itaconic acid α-Ketobutyric acid D-Malic acid |
| Amino acids | L-Arginine L-Asparagine L-Phenylalanine L-Serine L-Threonine Glycyl-L-glutamic acid 2-Hydroxy benzoic acid 4-Hydroxy benzoic acid |
| Amines/amides | Phenylethylanine Putrescine |
| Source of Variation | df | Mean Square | F | p-Value | |
|---|---|---|---|---|---|
| AWCD | Interaction | 4 | 0.000006333 | 0.57 | 0.6878 |
| Groups | 2 | 0.000006333 | 0.57 | 0.5754 | |
| Treatment | 2 | 0.00001633 | 1.47 | 0.2562 | |
| Residual | 18 | 0.00001111 | |||
| Shannon index (H) | Interaction | 4 | 0.001832 | 0.2867 | 0.8827 |
| Groups | 2 | 0.4749 | 74.32 | 0.0001 | |
| Treatment | 2 | 0.00171 | 0.2677 | 0.7681 | |
| Residual | 18 | 0.006389 | |||
| NUSE | Interaction | 4 | 1.431 | 0.3705 | 0.8265 |
| Groups | 2 | 3.256 | 0.8428 | 0.4468 | |
| Treatment | 2 | 0.8235 | 0.2132 | 0.8100 | |
| Residual | 18 | 3.863 | |||
| PUSE | Interaction | 4 | 1.774 | 2.906 | 0.0511 |
| Groups | 2 | 1.093 | 1.79 | 0.1954 | |
| Treatment | 2 | 0.469 | 0.7681 | 0.4785 | |
| Residual | 18 | 0.6106 | |||
| Source of Variation | df | Mean Square | F | p-Value | |
|---|---|---|---|---|---|
| Treatment | 0.009718 | 2 | 0.0048589 | 1.0943 | 0.3353 |
| Group | 0.095721 | 2 | 0.047861 | 10.779 | 0.0001 |
| Interaction | 0.021498 | 4 | 0.0053746 | 1.2104 | 0.2664 |
| Residual | 0.079926 | 18 | 0.0044404 | ||
| Total | 0.20686 | 26 | |||
| Soil | Soil with Earthworms | Earthworms Gut | |
|---|---|---|---|
| Soil | 0.33 | 0.0003 | |
| Soil with earthworms | 0.33 | 0.0003 | |
| Earthworms gut | 0.0003 | 0.0003 |
Disclaimer/Publisher’s Note: The statements, opinions and data contained in all publications are solely those of the individual author(s) and contributor(s) and not of MDPI and/or the editor(s). MDPI and/or the editor(s) disclaim responsibility for any injury to people or property resulting from any ideas, methods, instructions or products referred to in the content. |
© 2023 by the authors. Licensee MDPI, Basel, Switzerland. This article is an open access article distributed under the terms and conditions of the Creative Commons Attribution (CC BY) license (https://creativecommons.org/licenses/by/4.0/).
Share and Cite
da Silva Freitas, L.; de Lima Brum, R.; da Silva Bonifácio, A.; Volcão, L.M.; da Silva Júnior, F.M.R.; Ramos, D.F. Assessment of the Impact of Ceftriaxone on the Functional Profile of Soil Microbiota Using Biolog EcoPlateTM. Soil Syst. 2023, 7, 55. https://doi.org/10.3390/soilsystems7020055
da Silva Freitas L, de Lima Brum R, da Silva Bonifácio A, Volcão LM, da Silva Júnior FMR, Ramos DF. Assessment of the Impact of Ceftriaxone on the Functional Profile of Soil Microbiota Using Biolog EcoPlateTM. Soil Systems. 2023; 7(2):55. https://doi.org/10.3390/soilsystems7020055
Chicago/Turabian Styleda Silva Freitas, Livia, Rodrigo de Lima Brum, Alícia da Silva Bonifácio, Lisiane Martins Volcão, Flavio Manoel Rodrigues da Silva Júnior, and Daniela Fernandes Ramos. 2023. "Assessment of the Impact of Ceftriaxone on the Functional Profile of Soil Microbiota Using Biolog EcoPlateTM" Soil Systems 7, no. 2: 55. https://doi.org/10.3390/soilsystems7020055
APA Styleda Silva Freitas, L., de Lima Brum, R., da Silva Bonifácio, A., Volcão, L. M., da Silva Júnior, F. M. R., & Ramos, D. F. (2023). Assessment of the Impact of Ceftriaxone on the Functional Profile of Soil Microbiota Using Biolog EcoPlateTM. Soil Systems, 7(2), 55. https://doi.org/10.3390/soilsystems7020055

