Abstract
This study aimed to evaluate changes in abundance, structure, and enzyme activity of the soil microbiome in response to 4 years of mulching using either black polyethylene plastic film (PM) or wheat straw (SM). Soil samples (depth 0–5 and 5–10 cm) were collected from conventional strawberry plots, in two samplings: 1 week prior (S1) and 7 weeks after straw application (S2). Selected soil properties were monitored in each system and the abundance and structure of microbial communities were characterized via phospholipid fatty acid (PLFA) analysis. The investigation of soil microbial functions included activities of the enzymes chitinase, leucine aminopeptidase, and acid phosphatase, as well as function genes involved in nitrogen transformation. Each mulch system resulted in distinct physicochemical properties. In particular, a pH value higher by one-unit under PM (7.6 ± 0.3) compared to SM (6.5 ± 0.3) was observed. Values for SOC, DOC, and total-N were 15%, 22%, and 16% higher in PM than in SM. The microbial biomass (total PLFAs) was 1.5-fold higher in SM compared to PM. The abundance of soil fungi (F) and bacteria (B) increased by 37% and 44% after straw incorporation compared to PM (S2). In particular, Gram-negative bacteria (gr–) increased by twofold in SM. Consequently, wider F:B and gr+:gr– ratios were observed in PM. According to the shifts in microbial abundance, the activity of the enzyme chitinase was lower by 27% in PM, while the activity of the acid phosphatase increased by 32%. Denitrification genes were not affected by the mulching systems. In conclusion, the abundance and structure of the investigated microbial groups and the enzyme activities were strongly influenced by the mulching system. In detail, effects on microbiota were primarily attributed to the altered soil pH and probably the input of degradable organic matter with straw mulching in SM. This resulted in higher abundance of soil microorganisms in SM, although measures within this cultivation system such as fungicide application may have exerted adverse effects on the microbiota.
1. Introduction
The high productivity of strawberry crops in Europe relies on the adoption of cultivation systems improving productivity and extending the harvest seasons [1]. Mulching in combination with fungicides is a widely applied agricultural practice in strawberry cultivation that enables early harvests and better yields by improving soil temperature and moisture [2,3] and reducing plant diseases [4,5]. In central Europe, straw (SM) and black polyethylene plastic films (plastic mulch—PM—or film mulch) are commonly used mulching materials and are often combined with high tunnels or fleece protection to effectively respond to weather conditions during cultivation [6]. In general, plastic mulches are used for a period of approximately two consecutive years in strawberry cultivation [3], combined with specific fertilization, pesticide management, and irrigation regimes. The extent of such management practices depends on environmental and geographic conditions, and the type of cultivation, adapted to the requirements of the field to optimize crop performance and economic benefits [7].
The benefits of plastic mulches on fruit quality and yield are irrefutable and are based on increases in soil temperature and soil water content [2]. Accordingly, plastic films may modify biogeochemical soil processes with yet largely unknown consequences for nutrient status and soil biological metabolism and diversity, as reviewed by Steinmetz, et al. [8]. For example, elevated temperatures and soil moisture increase soil biological activity and metabolism, with expected higher levels for dissolved organic carbon. Also, CO2 from soil respiration is retained under the plastic film, and it acts as fertilizer, increasing root biomass and thus enhancing the plant nutrient uptake from the soil. Other than PM, organic mulches, for example, straw, provide additional substrate inputs [9], changing the nutrient status of soil. Furthermore, SM generate a cooling effect, slightly reducing soil temperature compared to plastic covers [10]. Fu, et al. [11] reported a reduction of bacterial diversity and richness in PM compared to SM or no mulch at 0–10 cm depth, resulting from the elevated soil temperature under the plastic film, and due to increased C & N fractions from the application of straw residues as mulching. Further studies have demonstrated a reduction of the alpha diversity for soil bacteria by approximately 10% in ridge-furrow PM compared to SM, as a response to soil C and N nutrient status [12]. Shifts in microbial communities were observed by means of N-cycle functional groups: film mulching resulted in a significantly lower abundance of narG and nirS genes compared to no mulch [13]. Yet, this effect reversed in the presence of increased fertilization. Further, additional C-inputs and improved soil moisture as a consequence of the use of straw mulches resulted in an increase of the enzyme activity of the hydrolytic enzymes urease, phosphatase, and invertase, and the oxidative enzyme catalase [14]. Similar effects were reported by Masciandaro, et al. [15] for the enzymes β-glucosidase and urease activity as an expression of C and N cycles. Nutrient status, temperature, and humidity are the key factors affecting the abundance, structure, and activity of the soil microbiome, and they are modified by the different mulching systems. Anyhow, a comparison between systems and studies is difficult due to the heterogeneity generated by the climatic and geographic conditions; type of soil; modalities of cultivation; as well as the combination with highly diverse use of fertilizers, irrigation regimes, and pesticides.
It must not be disregarded that mulching systems such as SM and PM are typically combined with further agricultural measures such as a specific pesticide management and irrigation regimes. Hence, it is required to compare not only individual agricultural measures but multi-facetted cultivation systems. Fungicide application, in particular, differs among mulching systems in conventional strawberry cultivation and is typically less under PM [16]. Additionally, plastic films offer a substantial mechanical barrier to the fungicide entry into soils [17], which is not the case in SM. Thus, the fungicide residual concentrations in SM soils are expected to be considerably higher compared to PM [18]. Anyhow, recent studies have shown that fungicides can reach the soil, even under the use of impervious plastic covers [17,18], leading for example to a decrease by ca. 60% of microbial biomass [18,19]. It is obvious that fungicides can cause a community shift from fungi to a larger bacterial share [20] and to a restricted soil respiration and enzyme activity [21]. Not only the fungicide translocation into soil but also the effects in soil are modulated by the mulching system, due to the aforementioned effects on pedoclimate and nutrient status [8]. Reports on the effects of mulching treatments in combination with fungicide application have been so far restricted to plant fitness and fruit yields [22]. Studies considering various facets of a mulching system are largely missing.
The current evidence clearly states that the use of mulching in combination with agrochemicals plays an important role in the physicochemical status of the soil and in shaping the abundance, structure, and activity of soil microbial communities. In the present study, we aimed to investigate how applied mulching systems namely PM and SM modify soil parameters and how this is reflected in the abundance, structure, and activity of the soil microbiome at the topsoil after 4 years of SM and PM systems. Conventional strawberry cultivation was investigated since plastic films are laid out on the soil for at least 2 years, so that more pronounced effects of the mulching systems are expected. Both mulching systems were combined with fungicide application. Hence, two samplings were conducted: 1 week prior (S1) and 7 weeks after straw application (S2), in order to assess changes in the structure and functionality of soil microbial communities in two multi-facetted systems, SM and PM, both under fungicide treatments. The abundance and structure of soil microbial communities were investigated via PLFA biomarkers. Soil enzyme activities were determined, i.e., chitinase; leucine aminopeptidase; and acid phosphatase, covering the C, N, and P cycles, and by nitrogen transformation functional genes. We hypothesized: (1) The mulching systems PM or SM generate distinct conditions in soil, such as changes in physicochemical parameters, particularly soil water content, pH, and C and N status. This results in a dissimilar abundance of soil microorganisms and in a shift in the microbial community structure. We expect, however, (2) that enzyme activities and functional gene abundance are directly modified by changes in physical and chemical parameters in the soil under the respective systems, rather than by changes in the abundance and structural diversity of soil microorganisms. This is due to soil parameters i.e., pH mimicking in situ reaction rates or due to a stabilization of enzymes in the soil matrix [23,24].
2. Materials and Methods
2.1. Site and Sampling Description
The study was conducted on conventionally managed fields of a commercial strawberry farm located in Offenbach an der Queich, Rhineland-Palatinate, Germany (latitude 49°11′29.6′′, longitude 8°10′35.1′′, 130 m above sea level). Fields of the same farm were selected to avoid interferences related to variations in soil type, planting strategy, climatic conditions, and fertilization [25]. The strawberry variety cultivated was Fragaria x ananassa. The soil was classified as Eutric Cambisol with a silty loam texture. Two experimental areas were selected for sampling, each 10 m × 25 m corresponding to the mulching systems investigated, namely wheat straw mulching in matted planting rows (SM) and black polyethylene film in a ridge-furrow-ridge system under high tunnels (PM). Both systems were performed continuously under the same conditions for 4 years. Hence, we assumed that if differences existed before the establishment of the systems, they should be secondary compared to the effects associated with the different mulching systems [25]. In SM, wheat straw was applied to SM areas annually in early spring, 2 weeks after the first fungicide application. Meanwhile in PM, ridges were continuously covered with black PE film of 50 µm. In both systems, irrigation was performed on demand with subsurface drip irrigation for PM and overhead irrigation on the SM field. In total, two fungicide applications within a period of 3 weeks were performed simultaneously in each mulching system. The fungicides cyprodinil and fludioxonil (Switch®) were used in both systems, whereas azoxystrobin (Ortiva®) and fenhexamid (Teldor®) were additionally applied to SM. In strawberry cultivation, fungicides with different modes of action are applied alternately, to prolong their activities and as part of an integrated pest control [26,27]. Other than plastic films, wheat straw is a substrate for fungi, as well for pathogenic fungi [28]. Also, Botrytis inoculum is present in the soil [29], and straw mulch does not prevent contact of fruit with soil the way PM does, due to its impervious matter. The soil degradation rates (DT50 values) for the applied fungicides: fenhexamid, cyprodinil, azoxystrobin, and fludioxonil were respectively 0.45, 37, 78, and 164 days [30], so that residual concentrations in soil of cyprodinil, azoxystrobin, and fludioxonil, but not fenhexamid, were expected at the sampling dates S1 and S2, respectively, 1 and 5 weeks after fungicide application. Fungicide concentration was not measured in the soil samples. However, we expect that higher pesticide loads may reach the soil in SM compared to PM, due to the number of fungicides used in SM and the absence of the mechanical plastic barrier impeding the infiltration of fungicides into the soil [17,18]. The SM plots were fertilized once a year in spring (total amount per hectare: 50 kg N, 10 kg P, 70 kg K, and 20 kg Mg). In contrast, PM plots were fertilized once per week for up to 10 weeks from the start of the vegetation period (total amount from 10 fertilizations: 50 kg N, 15 kg P, 100 kg K). The outlined management conditions are in accordance with current practices for conventional strawberry cultivation. Soil temperature was monitored in the subsequent year at the same plots using temperature sensors and a data logger (EcoTech® Temperature Measuring Chain, Bonn, Germany).
This study was conducted to evaluate the multi-facetted cultivation systems SM and PM in conventional strawberry cultivation under commercial practices, and not the single management activities such as the use of straw or plastic or the effect of the fungicides. Soil samples were collected from SM and PM areas first on 2 April (S1), corresponding to 1 week prior to the straw management and 1 week after the fungicide application (S1), and on 26 May (S2), approximately 7 weeks after straw and 5 weeks after the fungicide application. The sampling dates were selected based on the time for straw incorporation (S1) and beginning of the harvest (S2). A second criterion for selection was that the fungicides were present in soil at both samplings according to their rate of degradation. This strategy ensured that both S1 and S2 were under the effect of fungicides. All samples were collected from two topsoil depths (0–5 and 5–10 cm) using stainless steel soil sampling rings (100 cm3), in order to assess the effect of the mulching system in the soil fraction that is in close contact with the mulching material. Each experimental area consisted of five ridges and furrows planted with strawberries in double rows. In each area, four plots were randomly chosen for soil sampling. Both outer ridges and the first/last 5 m in each ridge were left out of the sampling to avoid edge effects. In each plot, five single point samples were taken from a distance of 5 m in the plant rows and subsequently pooled and homogenized to receive one composite soil sample. In total, 32 composite soil samples were analyzed in this study, corresponding to four replicates per mulching systems, per depth (0–5 cm and 5–10 cm), and at two different sampling dates (S1 and S2). All soil samples were sieved ≤2 mm, split into two subsamples, and stored at 4 °C or −20 °C, respectively, until analysis.
2.2. Physicochemical Characterization
The soil water content (SWC) was determined gravimetrically at 105 °C. The pH was measured in 0.01 M CaCl2 solution [31]. Contents of total carbon and total nitrogen (Ntot) were measured by dry combustion using an elemental analyzer (Vario MicroCUBE, Elementar Analysensysteme GmbH, Langenselbold, Germany). Inorganic carbon (IC) in CaCO3 was determined by TGA-MS (STA 449 F3 Jupiter thermal analyzer coupled via heated capillary with QMS 403 C Aëolos, Netzsch, Selb, Germany), via loss on ignition between 550 and 1000 °C. Data on soil organic carbon (SOC) were calculated as the difference between total carbon and inorganic carbon. Dissolved organic carbon (DOC) content was determined in 0.45 µm-filtered water extracts (soil-to-water ratio 1:5 w/w) using a multiNC 2100S system (Analytik Jena, Jena, Germany), according to DIN1484 [32]. Selected ratios were calculated from these data, e.g., the ratio C:N was used to assess changes in the C and N balance in soil. The microbial quotient MBC:SOC was used to assess the turnover of C in microbial biomass [33] and served as a proxy for soil quality [34].
2.3. Abundance and Structure of Soil Microbial Communities
The microbial biomass C (MBC) was determined by the chloroform-fumigation extraction method in fresh samples [35,36]. Changes in the chemotaxonomic structure of the microbial community were investigated via phospholipid fatty acid (PLFA) analysis. The microbial groups indicated by the selected PLFA were fungi as well as general, Gram-positive (gr+) and Gram-negative bacteria (gr−). The extraction method followed the procedure described by Bligh and Dyer [37] and White, et al. [38] with small modifications [39,40]. Briefly, phospholipids were extracted from 2 g of freeze-dried soil using a mixture of 2 mL chloroform, 4 mL methanol, and 1.6 mL phosphate buffer as extraction solution. Extracts were agitated for 1 h in an overhead shaker (16 rpm), and phospholipids were separated from the neutral lipids and glycolipids using solid-phase extraction clean-up (Chromabond, Macherey-Nagel, Düren, Germany). Eluted PLFAs were transesterified with methanolic trimethylsulfonium hydroxide solution (0.25 M) [41]. The extracts were analyzed via GC-FID (Varian CP-3800, Varian, Darmstadt, Germany) and quantified based on external calibration with reference standards. The PLFA used as quantitative standards and as biomarkers for soil microbial community groups were: i15:0 and i17:0 for gr+ bacteria, 16:1ω7c,18:1ω9c and 18:1ω7c for gr- bacteria [42,43], 16:1ω5c for AM fungi [44,45], and 18:2ω6c for saprophytic fungi [43,46,47]. Total PLFA is expressed as molar concentration per gram of soil and corresponds to the sum of individual PLFA biomarkers and used as proxy for the total viable microbial biomass [48]. Molar concentrations were used to compensate differences in the mass weight of the individual biomarkers and thus facilitate comparison between taxonomic groups. Changes in the chemotaxonomic structure of microbial communities were evaluated using the fungi:bacteria (F:B) and the Gram-positive to Gram-negative bacteria (gr+:gr−) ratios; values were normalized to the total molar PLFA content and expressed as mol%.
2.4. Soil Enzyme Activity and Functional Gene Abundance
Soil extracellular enzyme activity: Effects on the functioning of the soil microbiome were investigated with a set of enzyme activities, covering the major nutrient cycles. Mineralization activity was investigated according to Marx, et al. [49], based on a microplate fluorimetric assay. Briefly, field-moist soil samples corresponding to 0.5 g dry soil were mixed to a 50 mL soil suspension. In addition, 50 mL substrate dilution buffer [pH 6.1 for methylumbelliferone (MUB) and pH 7.8 for 7-amino-4-methylcoumarin (AMC) substrates] and 100 mL buffer containing the MUB- or AMC-coupled substrate were mixed. These solutions were kept in multi-well plates for 120 min under laboratory conditions. Final enzyme activities were expressed as MUB or AMC released in nmol per gram soil and hour in dry matter (nmol g−1 soil d.m. h−1). The following enzymes were analyzed: MUB-N-acetyl-β-D-glucosaminide for chitinase (EC 3.2.1.14), MUB-phosphate for acid phosphatase (EC 3.1.3.2), and L-leucin-AMC for leucine-aminopeptidase (EC 3.4.11.1). The enzyme chitinase is associated with C-cycling, while the leucine-aminopeptidase and acid phosphatase activity reflect the N- and P-cycling, respectively.
Quantification of functional microorganisms involved in denitrification potential: Functional genes related to denitrification were investigated because of the assumption that PM (effect on gas exchange) and/or SM (degradable nutrient source) may affect soil oxygen status. The denitrification potential was estimated via analysis of the functional genes encoding the nitrate (napA and narG) and nitrite (nirS and nirK) reductase potential, according to established methods [50,51]. DNA was extracted from soil samples according to Heuer and Smalla [52], using the Nucleo Spin Soil set from Macherey-Nagel (Düren, Germany) following the suppliers instructions. The 16S rRNA gene and the functional genes napA, narG nirS, and nirK, were quantified using a SybrGreen®-based real-time PCR technique with a qPCR system from Analytik Jena (Jena, Germany). DNA extracts were diluted 1:50 prior to quantification to avoid inhibitory effects on PCR amplification after testing the optimal dilution in preliminary experiments. Final DNA amounts in the qPCR reactions were in the range of 1 ng (0.5–1.4 ng). The composition of the PCR mixes and the used primers as well as thermocycler programs are listed in Tables S1–S3 (Supplementary Materials). Standard curves were constructed using 10-fold serial dilutions of plasmids containing the partial sequence of (i) the 16S rRNA genes from Pseudomonas putida and Bacillus subtilis, (ii) the Pseudomonas stutzeri nirS gene, (iii) the Azospirillum irakense nirK gene, (iv) the PA 01 napA gene, and (v) the narG genes from Pseudomonas aeruginosa PA 01. All amplifications were performed in triplicates (including a control without template) in 96-well plates. Efficiencies of qPCR were very good for nirK, nirS, and 16S genes with around 100%, while they were acceptable for narG and napA genes ranging between 70% and 80%. Denitrifier abundance is presented as log10 gene copy numbers per mg of dry soil. The ratios napA/narG and nirK/nirS were used as indicators for changes in composition of the nitrate [53] and nitrite [54] reducer community, respectively. Ratios were calculated using the number of gene copies per mg of dry soil.
2.5. Data Analysis
Analysis of physicochemical parameters, abundance, and structure of soil microbial communities and enzyme activity was performed in each of the 32 composite samples collected from two soil depths. Statistical analysis was performed using IBM SPSS® Statistics version 25. Data is presented as bar charts representing the arithmetic mean ± standard deviation. Normality and variance homogeneity of residuals was verified graphically using residual vs. fitted and quantile-quantile plots and Shapiro–Wilk test. Log10 transformation was applied to conform data to normality. Multifactorial analysis of variance (ANOVA) was used in combination with Tukey post hoc tests to determine significant differences between the mulching systems, soil depths, and samplings. The data is presented in tabular form and also as bar charts corresponding to average values with the respective standard deviations. The graphs show the results without considering soil depth, as this variable proved to be non-significant. Nevertheless, correlations were conducted with the data obtained for each of the 32 samples from two depths. The structure of microbial communities, namely F:B and gr+:gr− ratios, was correlated to soil parameters using Spearman Rho correlation coefficient using non-transformed data. The activity of the investigated enzymes was evaluated via multiple linear regression using the same physicochemical variables and additionally by the total PLFAs (abundance) and the ratios F:B and gr+:gr- (structure). The threshold of statistical significance was set to p < 0.05.
3. Results
3.1. Soil Physicochemical Parameters and General Microbial Indices
Throughout the monitoring period of several weeks, the soil temperature (depth 5 cm) was on average 2.8 °C higher in the PM plot compared to SM. Average soil temperature in SM was 11.9 ± 1.7 °C in April and 13.6 ± 2.2 °C May. In PM, the average values for April were 14.5 ± 2.2 °C and for May 17.3 ± 2.5 °C. The soil water content (SWC) was similar for both systems and ranged between 11.7 and 20.4%. It varied over time and decreased by 30% (SM) and 22% (PM), respectively, from sampling time S1 to S2 (p < 0.001). Soil pH values were on average 1 pH unit higher (p < 0.001) in PM (7.6 ± 0.3) compared to SM (6.5 ± 0.3). This was not confirmed by IC contents that were largely similar in soils under both mulching systems (below 1%). In S1, the IC contents did not vary between PM and SM. However, an increase was observed in PM from S1 (0.15 ± 0.01%) to S2 (0.43 ± 0.01%). SOC ranged between 0.9 and 1.4%. PM samples were characterized by 23% higher SOC contents than in SM at S1 (p < 0.001), while differences became negligible at S2. DOC values in SM increased from S1 (24.7 ± 3.9 mg kg−1) to S2 (29.4 ± 4.1 mg kg−1). On the contrary, in PM, values dropped by 10% from S1 to S2. Ntot values were higher in PM (0.16 ± 0.01%) compared to SM (0.13 ± 0.01%), in both S1 and S2 (p < 0.001). Overall, the C:N ratio did not differ significantly between the mulching systems, nor between S1 or S2. Soil physicochemical and general microbial parameters are presented in Table 1. Significant correlations were observed for SWC with DOC (r = −0.509, p = 0.030) and C/N (r = −0.372, p = 0.036), and for soil pH with DOC (r = 0.538, p = 0.001) and MBC:SOC (r = −0.499, p = 0.004).
Table 1.
Physicochemical and microbial characterization corresponding to soil samples collected in S1 and S2, from straw (SM) and plastic mulching (PM) systems.
3.2. Abundance and Structure of Soil Microbial Communities
The contents of MBC ranged between 92.8 and 194.5 mg kg−1 and were in general 5–12% higher in SM compared to PM (p = 0.05). No significant differences in MBC were observed between soil depths or sampling dates. The abundance of soil microorganisms as indicated by total PLFAs (Figure 1A) was 38% higher in SM compared to PM (p < 0.001). Bacterial (Figure 1B) and fungal (Figure 1C) PLFAs were 1.7 and 1.3-fold higher, respectively, in SM compared to PM. An effect of sampling time was only observed in SM: bacteria and fungi increased by 11% and by 22% (p = 0.05), respectively, from S1 to S2. These differences were stronger at the soil depth 0–5 cm with differences of 31% and 17% for bacteria and fungi, respectively. The structure of the microbial communities as expressed by the F:B (Figure 2A) and gr+:gr− (Figure 2B) ratios was significantly affected by the mulching system (p < 0.001) with wider ratios in PM than in SM. Temporal differences were observed only in SM. In SM, the F:B ratio increased slightly from S1 (0.14 ± 0.02) to S2 (0.16 ± 0.01), in PM the values remained similar. Data on total PLFAs and the microbial ratios differentiated by system, sampling date, and soil depth are presented in Figures S1–S3 in the Supplementary Materials section. Soil pH positively correlated with F:B (r = 0.731, p < 0.001) and gr+:gr− (r = 0.653, p < 0.001) ratios. Nevertheless, negative correlations were observed with the MBC:SOC quotient: r = −0.668, p < 0.001 (F:B) and r = −0473, p = 0.006 (gr+:gr−).
Figure 1.
Abundance of PLFA biomarkers in soil samples differentiated by mulching system (Straw vs. Plastic) and sampling date: April (S1) and May (S2). Graphic (A): Corresponds to total PLFAs, (B): Soil fungi, and (C): Soil bacteria.
Figure 2.
Structure of soil microbial communities as determined by PLFA analysis differentiated by mulching system (straw vs. plastic mulching) and sampling date: April (S1) and May (S2). (A): Molar % ratio of fungi to bacteria (F:B); (B): Molar % ratio Gram-positive to Gram-negative bacteria (gr+:gr−).
3.3. Soil Enzyme Activities and Functional Gene Abundance in SM and PM Systems
The activity of the enzyme chitinase (Figure 3A) was 26% higher in SM compared to PM (p < 0.001). Leucine aminopeptidase (Figure 3B) was slightly affected by the sampling with values 1.4-fold higher in S2 compared to S1 (p = 0.016). Enzyme activities differentiated by soil depth are presented in Figures S4–S6 in the Supplementary Materials section.
Figure 3.
Soil chitinase (A), leucine aminopeptidase (B), and acid phosphatase (C) activity differentiated by mulching system (straw vs. plastic mulching) and sampling day (S1 & S2).
The activity of acid phosphatase (Figure 3C) was higher by 46% in PM (p < 0.001). Different correlations were found between the activity of the investigated enzymes and the physicochemical parameters and microbial ratios (Table 2). All enzymes correlated significantly with soil pH. Further, chitinase and acid phosphatase correlated positively with the MBC:SOC ratio. Chitinase and acid phosphatase were significantly affected by the abundance of the soil microbial biomass (total PLFAs) and by the structure of the microbial communities (F:B), in contrast to leucine aminopeptidase activity.
Table 2.
Correlation matrix between soil enzyme activities and soil physicochemical (SWC, pH, DOC, C:N and MBC:SOC) and microbial parameters (Total PLFAs, F:B and gr+:gr− ratios). Significant correlations in bold print.
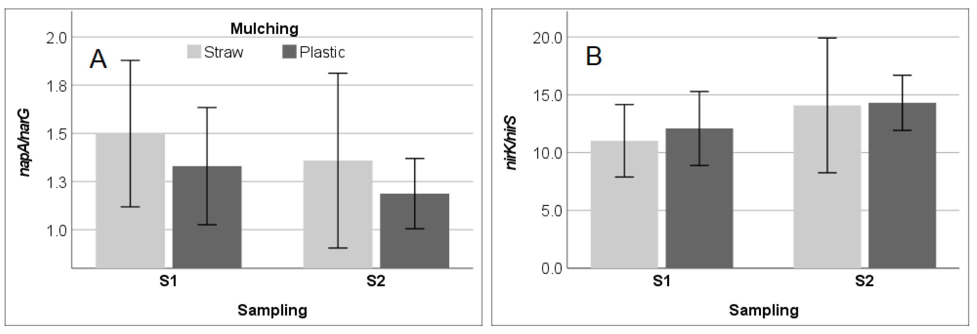
The abundance of the functional genes involved in the denitrification potential varied between samples, and average copy numbers (copies mg−1 soil) declined in the sequence nirK (3.6 × 106) > napA (1.1 × 106) > narG (0.85 × 106) > nirS (0.28 × 106) (see Figures S7–S10). However, mulching systems, sampling dates, or soil depth did not significantly affect their abundance. Differences between systems and sampling became noticeable when the structure of the nitrate and nitrite reducer community was evaluated by the ratios of the genes involved in the nitrate and nitrite reductase potential (Figure 4, Figures S11 and S12). The ratios napA/narG were significantly affected by the mulching system (p = 0.015), with a drop of 12% in PM compared to SM. Further, the napA/narG ratios decreased by 10% (p = 0.039) from S1 to S2. In contrast, the nirK/nirS ratios increased during the same period by 19% (p < 0.001). The structure of the nitrate and nitrite reducer community significantly correlated with soil physicochemical and microbial parameters. The ratio of napA/narG significantly correlated with all investigated physicochemical and microbial ratios, with the exception of water content and C:N (Table 2). Meanwhile, nirK/nirS was only related to the DOC and water content, but not to other soil microbial parameters.
Figure 4.
Relative ratios of the genes involved in denitrification potential of the studied plots, differentiated by mulching system (straw vs. plastic mulching) and sampling day (S1 & S2). (A): napA:narG, and (B): nirK:nirS.
4. Discussion
4.1. Changes in the Abundance and Structure of Microbial Communities as a Consequence of the Physicochemical Soil Parameters under the Mulching Systems
The two mulching systems led to changes in the investigated soil physicochemical properties with higher values for soil pH and SOC in PM compared to SM. The mulching system was the most significant factor affecting the abundance and structure of microbial communities in the studied samples. The straw mulching system (SM) positively affected the microbial biomass, leading to higher contents of MBC as well as of total, bacterial, and fungal PLFAs compared to PM. Similar positive effects of straw mulching were reported in previous studies [10,11]. This effect may be attributed to microbial growth based on the decomposition of the organic mulching material over time that can be regarded as transient C pool [55]. The finding of higher SOC in PM than in SM and of a negative correlation between SOC and the investigated PLFAs may not necessarily pose a contradiction. The input of additional organic matter from a straw mulching layer into the topsoil horizon may be negligible in the light of the existing organic carbon storage in soil [56], with this study reflecting 4 years of continuous management. Additionally, adding straw organic matter can be compensated by a priming effect, amplifying soil organic matter degradation [57,58]. Hence, straw mulching is not necessarily reflected by changes in total SOC values. Besides, fungi and even more so bacteria are sensitive to organic material inputs responding to subtle changes in the nutrient substrate status of soil [59]. Accordingly, the increase in bacterial PLFA was even stronger than that of fungal PLFA, resulting in narrower F:B ratios in SM compared to PM.
Soil pH was among the physicochemical parameters that clearly differed between the two mulching systems. The pH (6.5 ± 0.3 in SM compared to 7.6 ± 0.3 in PM) best explained the differences in the investigated microbial groups in the present study, validated by a negative correlation with the investigated PLFA biomarkers. Correspondingly, soil pH is known as a strong predictor of differences in the F:B ratio of soils [58,60]. In soils with IC values below 1%, as in this study, release or uptake of protons from root respiration, microbial activity, or basic cations from fertilizers are not well buffered and may result in relatively high short term pH variations [61]. We observed that the pH is negatively related to the MBC:SOC ratio and positively to DOC. Therefore, we assume that here pH is affected by the mulching systems via a higher microbial activity, which is accompanied by H+ release [62]. In SM, higher SOC mineralization is expected from available C−inputs, leading to a higher acidification in SM than in PM [63]. In PM instead, it is assumed that the higher soil temperature monitored under PM in this and other studies (e.g., Torres−Olivar, et al. [64]) led to higher soil microbial activity as well (e.g., Allison, et al. [65]), while gas exchange is presumably reduced under PM [66]. This could have resulted in more reducing conditions, because of oxygen depletion, which are accompanied by an increase in soil pH [67]. Consequently, the changes in the investigated soil physicochemical properties with higher values for soil pH and SOC in PM compared to SM can be related to the two mulching systems.
Irrespective of the smaller F:B ratio in SM, the content of fungal PLFA was higher in SM than in PM (Figure 1 and Figure 2), although the effect of more complex fungicide mixture in SM (cyprodinil, fludioxonil, azoxystrobin, and fenhexamid) would be stronger than the effects of the two fungicides in PM (cyprodinil & fludioxonil). Also, higher residual concentrations are expected in the SM system [18], because plastic films may act as a physical barrier or as a sorbent material restricting the transfer of fungicides in the soil. Thus, we suggest that transient C-inputs from straw material [68,69,70] together with soil pH [71], which was in the preferred mildly acidic range in SM, may have stimulated fungal growth to an extent that it counteracted possible adverse effects of fungicides applied to SM. Furthermore, PM was previously shown to reduce fungal richness [72]. Changes in the structure of the microbial communities were also observed by larger gr+:gr− ratios in PM than in SM, which was especially due to a higher abundance of gr− bacteria in SM. This confirms the suggested contribution of a transient C-pool to the microbial community [70], since gr− bacteria are more efficient users of available plant-derived C and N sources than gr+ [73], thus profiting more from the decomposition of the straw mulching material. Changes in the abundance and structure of microbial groups are typically first of all attributed to differences in soil water content and temperature [74]. Almeida, et al. [10] reported an increase of MBC in SM, where soil water content was higher, while in contrast temperature was lower compared to PM. Hence, they concluded that MBC depends on soil water content while soil temperature is secondary. In the here presented study, soil temperature was also lower in SM compared to PM (on average by 2.8 °C), however, soil water contents were similar. This indicates that it is not only the soil water content but a lower soil temperature (14.5 ± 2.2 °C in SM compared to 17.3 ± 2.5 °C in PM) that contributed to enhance MBC. Also, C:N ratios have been discussed as a key factor affecting the structure of the soil microbial community [75]. However, differences in C:N ratios between the investigated systems (8.01 ± 0.33 in SM compared to 7.86 ± 0.88 in PM) were not large enough to induce an effect on the investigated PLFA biomarkers [76].
The results of the present study confirm hypothesis 1. Each mulching system generated specific conditions as observed by soil physicochemical parameters, which in turn resulted in different microbial ratios. Although pH was identified as the best predictor of the structure of microbial communities, changes cannot be attributed to single soil parameters but rather to the contribution of the cover materials and the resulted soil properties in the systems [48].
4.2. Soil Enzyme Activity in Response to Soil Parameters under Straw and Plastic Mulching
The enzyme activity was modulated by the mulching system, especially through the aforementioned alterations in soil properties. The activity of chitinase and to a lower extent leucine aminopeptidase was higher in SM compared to PM plots, meanwhile the opposite was observed for the acid phosphatase. In this study, soil pH was the soil parameter that most affected the activity of the investigated enzymes. The activity of chitinase and leucine aminopeptidase decreased with increasing pH, in contrast to the observed decline in acid phosphatase. Soil pH affects the catalytic efficiency and abundance of a given enzyme [77], resulting in optimum conditions for mineralization. Hendriksen, et al. [78] reported a small, yet significant, negative correlation between soil pH and chitinase activity across European soils. Optimum values for chitinase activity correspond to slightly acidic soil [79,80], conditions observed in SM, and reported findings are in line with the results of the present study. Niemi and Vepsäläinen [81] observed that leucine aminopeptidase activity is at optimum at pH values of 7.5 or higher. The average pH values in SM and PM were 6.5 ± 0.3 and 7.6 ± 0.3, respectively, suggesting a suboptimal activity in the investigated soils and explaining why only small differences were observed between the investigated systems. Acid phosphatase has an optimum activity at slightly acidic soils. Yet, a higher phosphatase activity was observed in PM than in SM. Thus, the nutrient status of the soil may additionally modulate the activity of acid phosphatase, in particular the P-sources and availability [82] determined in this study by the different fertilization patterns for SM (1 × 10 kg P) and PM (10 × 1.5 kg P). Also, lateral water flows together with the impervious matter of PM reducing rainfall infiltration may counteract nutrient leaching [83], with a better P-status in PM compared to SM. Straw amendments are known to support enzyme activity in soils [84]. We observed a positive correlation between acid phosphatase activity with DOC and total N values. Thus, the activity of the enzymes was not only attributed to variations in soil pH within the observed range (5.9–8.2), but to the modulation by multiple soil physicochemical parameters such as total nitrogen, soil temperature, and total soil carbon [85,86]. Consistent correlations were observed between soil microbial ratios, namely MBC:SOC and F:B, and the investigated enzymes, confirming that the activity of the investigated enzymes can be also modulated by microbial factors [87], as confirmed for chitinase and acid phosphatase.
Tan, et al. [24] reported that kinetics of soil enzymes are mostly explained by soil chemical properties rather than the abundance and the structure of the active or potentially active microbial groups. Exoenzymes may accumulate in soil and may not necessarily depend on living organisms [23,88]. Therefore, the enzyme activity cannot be attributed to a single factor such as fungicide application. The enzyme activity is the result of combined factors in a multi-facetted system. Further, soil physicochemical properties (i.e., organic carbon, pH) are more major determinants of soil enzyme activity than soil fungicide pollution [89], in particular in agricultural systems with a long history of repeated fungicide application as a kind of microbial adaptation to chemicals [90].
The abundance of the genes involved in nitrate (napA and narG) and nitrite (nirS and nirK) reductase potential was, in contrast to enzyme activities, not affected by the investigated variables namely mulching system, sampling, or soil depth. This may be assigned to the substantial but similar amount of mineral fertilizer N that was applied to both mulching systems. The fertilization regime significantly shapes the composition of the denitrifying communities in agricultural soils through effects on soil NO3− [91,92,93], thus possibly decoupling it from other impacts such as the type of mulching layer. However, due to the fac that pH was more acidic in SM and the impact of soil pH and soil microbial properties as already discussed, it was probably still high enough so as not to lead to distinct differences in the abundance of the investigated functional genes. A reduction in the abundance of the functional genes narG, napA, nirK, and nirS is linked to acidic conditions with pH ≤ 5.5 [94]. Assessing ratios of gene abundance, however, revealed a dissimilar distribution of the genes responsible for the processes of nitrate and nitrite reduction, respectively. The wider napA/narG ratios in SM compared to PM and the increase in nirK/nirS ratios from S1 to S2, may indicate a dissimilar taxonomic distribution of denitrification genes, as reviewed by Levy-Booth, et al. [95]. Higher proportions of nirS-type denitrifiers than nirK-type can be favored by more moist soil conditions as in S1 [96]. In this study, no significant differences of water content were observed in the mulching systems, however, a significant correlation was observed between the ratios of nirK/nirS and soil water content. These results should be considered, however, only as a temporary effect that is strongly modulated by climatic conditions such as temperature and rainfall events [97]. Temporal variations of temperature and soil water content have been observed in the course of long-term monitoring in PM and SM systems, derived from the nature of the mulching materials (i.e., optical properties) and the availability of water to infiltrate the soil after rain events [25,83].
Finally, the results of this study confirm hypothesis 2. PM and SM systems generate unique physicochemical conditions (in particular soil pH), which modulate the activity of microbial enzymes, rather than the structure of microbial communities. This, however, is not applicable to the potential soil enzyme activity investigated in this study by the abundance of specific functional genes involved in denitrification.
5. Conclusions
This study revealed that each mulching system generates unique soil conditions, mirrored by variations in specific soil parameters. Among the clearly affected parameters, soil pH further affected the investigated microbial properties and indices. A difference between PM and SM of 1 pH unit is large enough to generate significant changes in the abundance and structure of the soil microbial community and its enzyme activities. Furthermore, SM with its addition of straw mulch to soil favors the growth of soil bacteria and fungi, even counteracting the action of fungicides. We interpret the substrate input through straw mulch as transient and subtle change in the C-dynamics of soil. Effects of mulching systems on microbial parameters, however, are not uniform but vary between biomass and activity-related parameters with the microbial ratio indices being most informative. The effect of the mulching system was clearly evident for the investigated microbial ratios, namely F:B, gr+:gr−, and napA:narG and nirK:nirS ratios. This confirms a shift of microbial function pathways as a consequence of the mulching system. The mulching system further affects the activity of enzymes, especially chitinase and acid phosphatase. In particular, changes in soil physicochemical parameters, rather than changes in the structure of the microbial communities, are the main drivers shaping the enzyme activity. Although soil pH is the common denominator, the activity of the investigated enzymes was further modulated by the action of additional soil parameters i.e., SOC:MBC. In conclusion, the specific soil conditions generated under the investigated PM and SM systems, soil pH, and transient C-pools, favored changes in the soil microbial community structure and functioning, with larger bacterial and fungal fractions in SM than PM. Furthermore, both mulching systems SM and PM differently modulated the enzyme activities in the C-, N-, and P-cycle.
Supplementary Materials
The following supporting information can be downloaded at: https://www.mdpi.com/article/10.3390/soilsystems6010021/s1, Figure S1. Total PLFAs differentiated by mulching system (Straw vs. Plastic) and by soil depth (0–5 and 5–10 cm). Graphic A: Corresponds to samples collected in April (S1) and graphic B, to samples collected in May (S2); Figure S2. Fungi:bacteria ratio (F:B) ratios differentiated by mulching system (Straw vs. Plastic) and by soil depth (0–5 and 5–10 cm). Graphic A: Corresponds to samples collected in April (S1) and graphic B, to samples collected in May (S2); Figure S3. Ratio gram+:gram− bacterial (gr+:gr−) differentiated by mulching system (Straw vs. Plastic) and by soil depth (0–5 and 5–10 cm). Graphic A: Corresponds to samples collected in April (S1) and graphic B, to samples collected in May (S2); Figure S4. Chitinase activity differentiated by mulching system (Straw vs. Plastic) and by soil depth (0–5 and 5–10 cm). Graphic A: Corresponds to samples collected in April (S1) and graphic B, to samples collected in May (S2); Figure S5. Leucine aminopeptidase activity differentiated by mulching system (Straw vs. Plastic) and by soil depth (0–5 and 5–10 cm). Graphic A: Corresponds to samples collected in April (S1) and graphic B, to samples collected in May (S2); Figure S6. Acidic phosphatase activity differentiated by mulching system (Straw vs. Plastic) and by soil depth (0–5 and 5–10 cm). Graphic A: Corresponds to samples collected in April (S1) and graphic B, to samples collected in May (S2); Figure S7. napA genes differentiated by mulching system (Straw vs. Plastic) and by soil depth (0–5 and 5–10 cm). Graphic A: Corresponds to samples collected in April (S1) and graphic B, to samples collected in May (S2); Figure S8. narG genes differentiated by mulching system (Straw vs. Plastic) and by soil depth (0–5 and 5–10 cm). Graphic A: Corresponds to samples collected in April (S1) and graphic B, to samples collected in May (S2); Figure S9. nirK genes differentiated by mulching system (Straw vs. Plastic) and by soil depth (0–5 and 5–10 cm). Graphic A: Corresponds to samples collected in April (S1) and graphic B, to samples collected in May (S2); Figure S10. nirS genes differentiated by mulching system (Straw vs. Plastic) and by soil depth (0–5 and 5–10 cm). Graphic A: Corresponds to samples collected in April (S1) and graphic B, to samples collected in May (S2); Figure S11. napA/narG ratios differentiated by mulching system (Straw vs. Plastic) and by soil depth (0–5 and 5–10 cm). Graphic A: Corresponds to samples collected in April (S1) and graphic B, to samples collected in May (S2); Figure S12. nirK/nirS ratios differentiated by mulching system (Straw vs. Plastic) and by soil depth (0–5 and 5–10 cm). Graphic A: Corresponds to samples collected in April (S1) and graphic B, to samples collected in May (S2); Table S1. Primers and standard species used for real time PCR of 16S rRNA and functional genes [98,99,100,101,102]; Table S2. Composition of the mastermix for real time PCR analysis of functional genes; all data in µL; Table S3. Thermocycler temperature programs for real time PCR analysis of functional genes.
Author Contributions
Conceptualization, K.M. and S.T.-B.; Formal analysis, K.M., K.G.J.K., M.M. and D.D.; Funding acquisition, K.M., S.T.-B. and G.E.S.; Investigation, K.M., S.T.-B. and D.D.; Methodology, K.M., S.T.-B., K.G.J.K., M.M., Z.S. and D.D.; Project administration, K.M.; Resources, S.T.-B. and G.E.S.; Software, Z.S.; Supervision, K.M. and G.E.S.; Visualization, G.E.S.; Writing—original draft, K.M., S.T.-B. and D.D.; Writing—review & editing, K.M., S.T.-B., Z.S. and D.D. All authors have read and agreed to the published version of the manuscript.
Funding
The study was financed by the Ministry for Education, Sciences, Further Education and Culture of the State of Rhineland-Palatinate (MBWWK) in the frame of the Interdisciplinary Research Group Environment (Uni_KoLa_F5) of University Koblenz-Landau, and partly by the research fund of the University of Trier and the University of Koblenz-Landau.
Data Availability Statement
The data presented in this study are available on request from the corresponding author.
Acknowledgments
We thank E. Sieberger, P. Ziegler, M. Riese M. Ortner, and S. Scopchanova for valuable assistance during field sampling and in the laboratory, and in particular M. Schaefer for the PLFA analysis and Jan David for IC measurements. Analysis of functional genes was generously supported by the group of M. Schloter, Helmholtz Center Munich.
Conflicts of Interest
The authors declare no conflict of interest.
References
- Mezzetti, B.; Giampieri, F.; Zhang, Y.-T.; Zhong, C.-F. Status of strawberry breeding programs and cultivation systems in Europe and the rest of the world. J. Berry Res. 2018, 8, 205–221. [Google Scholar] [CrossRef]
- Lamont, W.J. Plastics: Modifying the microclimate for the production of vegetable crops. Horttechnology 2005, 15, 477–481. [Google Scholar] [CrossRef]
- Lieten, P.; Hokanson, S.; Jamieson, A. Protected Cultivation of Strawberries in Central Europe. In Strawberry Research to 2001. Proceedings of the 5th North American Strawberry Conference, Niagara Falls, ON, Canada, 14–16 January 2001; ASHS Press: Alexandria, VA, USA, 2002; pp. 102–107. [Google Scholar]
- Weber, R.W.; Hahn, M. Grey mould disease of strawberry in northern Germany: Causal agents, fungicide resistance and management strategies. Appl. Microbiol. Biotechnol. 2019, 103, 1589–1597. [Google Scholar] [CrossRef]
- Paulus, A.O. Fungal diseases of strawberry. HortScience 1990, 25, 885–889. [Google Scholar] [CrossRef] [Green Version]
- Neri, D.; Baruzzi, G.; Massetani, F.; Faedi, W. Strawberry production in forced and protected culture in Europe as a response to climate change. Can. J. Plant Sci. 2012, 92, 1021–1036. [Google Scholar] [CrossRef]
- Stevens, M.D.; Black, B.L.; Lea-Cox, J.D.; Feuz, D. Horticultural and economic considerations in the sustainability of three cold-climate strawberry production systems. HortScience 2011, 46, 445–451. [Google Scholar] [CrossRef] [Green Version]
- Steinmetz, Z.; Wollmann, C.; Schaefer, M.; Buchmann, C.; David, J.; Tröger, J.; Muñoz, K.; Frör, O.; Schaumann, G.E. Plastic mulching in agriculture. Trading short-term agronomic benefits for long-term soil degradation? Sci. Total Environ. 2016, 550, 690–705. [Google Scholar] [CrossRef]
- Zhou, Z.; Zeng, X.; Chen, K.; Li, Z.; Guo, S.; Shangguan, Y.; Yu, H.; Tu, S.; Qin, Y. Long-term straw mulch effects on crop yields and soil organic carbon fractions at different depths under a no-till system on the Chengdu Plain, China. J. Soils Sediments 2019, 19, 2143–2152. [Google Scholar] [CrossRef]
- Almeida, D.d.O.; Klauberg Filho, O.; Almeida, H.C.; Gebler, L.; Felipe, A.F. Soil microbial biomass under mulch types in an integrated apple orchard from Southern Brazil. Sci. Agric. 2011, 68, 217–222. [Google Scholar] [CrossRef]
- Fu, X.; Wang, J.; Sainju, U.M.; Zhao, F.; Liu, W. Soil microbial community and carbon and nitrogen fractions responses to mulching under winter wheat. Appl. Soil Ecol. 2019, 139, 64–68. [Google Scholar] [CrossRef]
- Huang, F.; Liu, Z.; Mou, H.; Li, J.; Zhang, P.; Jia, Z. Impact of farmland mulching practices on the soil bacterial community structure in the semiarid area of the loess plateau in China. Eur. J. Soil Biol. 2019, 92, 8–15. [Google Scholar] [CrossRef]
- Cui, Y.; Zhang, Y.; Duan, C.; Wang, X.; Zhang, X.; Ju, W.; Chen, H.; Yue, S.; Wang, Y.; Li, S.; et al. Ecoenzymatic stoichiometry reveals microbial phosphorus limitation decreases the nitrogen cycling potential of soils in semi-arid agricultural ecosystems. Soil Tillage Res. 2020, 197, 104463. [Google Scholar] [CrossRef]
- Akhtar, K.; Wang, W.; Ren, G.; Khan, A.; Feng, Y.; Yang, G. Changes in soil enzymes, soil properties, and maize crop productivity under wheat straw mulching in Guanzhong, China. Soil Tillage Res. 2018, 182, 94–102. [Google Scholar] [CrossRef]
- Masciandaro, G.; Ceccanti, B.; Benedicto, S.; Lee, H.; Cook, H. Enzyme activity and C and N pools in soil following application of mulches. Can. J. Soil Sci. 2004, 84, 19–30. [Google Scholar] [CrossRef]
- Muñoz, K.; Buchmann, C.; Meyer, M.; Schmidt-Heydt, M.; Steinmetz, Z.; Diehl, D.; Thiele-Bruhn, S.; Schaumann, G. Physicochemical and microbial soil quality indicators as affected by the agricultural management system in strawberry cultivation using straw or black polyethylene mulching. Appl. Soil Ecol. 2017, 113, 36–44. [Google Scholar] [CrossRef]
- Guo, B.; Meng, J.; Wang, X.; Yin, C.; Hao, W.; Ma, B.; Tao, Z. Quantification of pesticide residues on plastic mulching films in typical farmlands of the North China. Front. Environ. Sci. Eng. 2020, 14, 2. [Google Scholar] [CrossRef]
- Meyer, M.; Diehl, D.; Schaumann, G.E.; Muñoz, K. Agricultural mulching and fungicides—impacts on fungal biomass, mycotoxin occurrence, and soil organic matter decomposition. Environ. Sci. Pollut. Res. 2021, 28, 36535–36550. [Google Scholar] [CrossRef]
- Reganold, J.P.; Andrews, P.K.; Reeve, J.R.; Carpenter-Boggs, L.; Schadt, C.W.; Alldredge, J.R.; Ross, C.F.; Davies, N.M.; Zhou, J. Fruit and soil quality of organic and conventional strawberry agroecosystems. PLoS ONE 2010, 5, e12346. [Google Scholar] [CrossRef]
- Wang, F.; Li, X.; Zhu, L.; Du, Z.; Zhang, C.; Wang, J.; Wang, J.; Lv, D. Responses of Soil Microorganisms and Enzymatic Activities to Azoxystrobin in Cambisol. Pol. J. Environ. Stud. 2018, 27, 2775–2783. [Google Scholar] [CrossRef]
- Zhang, C.; Zhou, T.; Zhu, L.; Du, Z.; Li, B.; Wang, J.; Wang, J.; Sun, Y. Using enzyme activities and soil microbial diversity to understand the effects of fluoxastrobin on microorganisms in fluvo-aquic soil. Sci. Total Environ. 2019, 666, 89–93. [Google Scholar] [CrossRef]
- Meyer, M.; Hausbeck, M. Using soil-applied fungicides to manage Phytophthora crown and root rot on summer squash. Plant Dis. 2013, 97, 107–112. [Google Scholar] [CrossRef] [Green Version]
- Nannipieri, P.; Trasar-Cepeda, C.; Dick, R.P. Soil enzyme activity: A brief history and biochemistry as a basis for appropriate interpretations and meta-analysis. Biol. Fertil. Soils 2018, 54, 11–19. [Google Scholar] [CrossRef]
- Tan, X.; Nie, Y.; Ma, X.; Guo, Z.; Liu, Y.; Tian, H.; Megharaj, M.; Shen, W.; He, W. Soil chemical properties rather than the abundance of active and potentially active microorganisms control soil enzyme kinetics. Sci. Total Environ. 2021, 770, 144500. [Google Scholar] [CrossRef]
- Meyer, M.; Diehl, D.; Schaumann, G.; Muñoz, K. Analysis of biogeochemical processes in plastic-covered soil during establishment period in strawberry cultivation. SN Appl. Sci. 2020, 2, 1749. [Google Scholar] [CrossRef]
- Lieten, P. Strawberry Production in Central Europe. Int. J. Fruit Sci. 2005, 5, 91–105. [Google Scholar] [CrossRef]
- Wedge, D.E.; Smith, B.J.; Quebedeaux, J.P.; Constantin, R.J. Fungicide management strategies for control of strawberry fruit rot diseases in Louisiana and Mississippi. Crop Prot. 2007, 26, 1449–1458. [Google Scholar] [CrossRef]
- Wang, H.; Guo, Q.; Li, X.; Li, X.; Yu, Z.; Li, X.; Yang, T.; Su, Z.; Zhang, H.; Zhang, C. Effects of long-term no-tillage with different straw mulching frequencies on soil microbial community and the abundances of two soil-borne pathogens. Appl. Soil Ecol. 2020, 148, 103488. [Google Scholar] [CrossRef]
- Petrasch, S.; Knapp, S.J.; van Kan, J.A.L.; Blanco-Ulate, B. Grey mould of strawberry, a devastating disease caused by the ubiquitous necrotrophic fungal pathogen Botrytis cinerea. Mol. Plant Pathol. 2019, 20, 877–892. [Google Scholar] [CrossRef] [Green Version]
- Lewis, K.; Green, A.; Tzilivakis, J.; Warner, D. The Pesticide Properties Database (PPDB) Developed by the Agriculture & Environment Research Unit (AERU). 2015. Available online: http://sitem.herts.ac.uk/aeru/ppdb/ (accessed on 14 December 2021).
- ISO 10390:2005-12; Soil Quality-Determination of pH. ISO: Geneva, Switzerland, 2005.
- DIN1484, German Institute for Standarization; Water Analysis—Guidelines for the Determination of Total Organic Carbon (TOC) and Dissolved Organic Carbon (DOC). 1997. Available online: https://www.din.de/en/getting-involved/standards-committees/textilnorm/publications/wdc-beuth:din21:301999219 (accessed on 14 December 2021).
- Joergensen, R.G.; Emmerling, C. Methods for evaluating human impact on soil microorganisms based on their activity, biomass, and diversity in agricultural soils. J. Plant Nutr. Soil Sci. 2006, 169, 295–309. [Google Scholar] [CrossRef]
- Anderson, T.-H. Microbial eco-physiological indicators to asses soil quality. Agric. Ecosyst. Environ. 2003, 98, 285–293. [Google Scholar] [CrossRef]
- ISO14240-2; Soil Quality—Determination of Soil Microbial Biomass—Part 2: Fumigation-Extraction Method. ISO: Geneva, Switzerland, 1997.
- Vance, E.D.; Brookes, P.C.; Jenkinson, D.S. Microbial biomass measurements in forest soils: The use of the chloroform fumigation-incubation method in strongly acid soils. Soil Biol. Biochem. 1987, 19, 697–702. [Google Scholar] [CrossRef]
- Bligh, E.G.; Dyer, W.J. A rapid method of total lipid extraction and purification. Can. J. Biochem. Physiol. 1959, 37, 911–917. [Google Scholar]
- White, D.; Davis, W.; Nickels, J.; King, J.; Bobbie, R. Determination of the sedimentary microbial biomass by extractible lipid phosphate. Oecologia 1979, 40, 51–62. [Google Scholar] [CrossRef]
- Steinmetz, Z.; Kurtz, M.P.; Zubrod, J.P.; Meyer, A.H.; Elsner, M.; Schaumann, G.E. Biodegradation and photooxidation of phenolic compounds in soil—A compound-specific stable isotope approach. Chemosphere 2019, 230, 210–218. [Google Scholar] [CrossRef]
- Kenngott, K.G.; Riess, K.; Muñoz, K.; Schaumann, G.E.; Buhk, C.; Diehl, D. Flood Pulse Irrigation of Meadows Shapes Soil Chemical and Microbial Parameters More Than Mineral Fertilization. Soil Syst. 2021, 5, 24. [Google Scholar] [CrossRef]
- Gómez-Brandón, M.; Lores, M.; Domínguez, J. A new combination of extraction and derivatization methods that reduces the complexity and preparation time in determining phospholipid fatty acids in solid environmental samples. Bioresour. Technol. 2010, 101, 1348–1354. [Google Scholar] [CrossRef]
- Frostegård, Å.; Tunlid, A.; Bååth, E. Use and misuse of PLFA measurements in soils. Soil Biol. Biochem. 2011, 43, 1621–1625. [Google Scholar] [CrossRef]
- Kaiser, C.; Frank, A.; Wild, B.; Koranda, M.; Richter, A. Negligible contribution from roots to soil-borne phospholipid fatty acid fungal biomarkers 18: 2ω6, 9 and 18: 1ω9. Soil Biol. Biochem. 2010, 42, 1650–1652. [Google Scholar] [CrossRef] [Green Version]
- Van Aarle, I.M.; Olsson, P.A. Fungal lipid accumulation and development of mycelial structures by two arbuscular mycorrhizal fungi. Appl. Environ. Microbiol. 2003, 69, 6762–6767. [Google Scholar] [CrossRef] [Green Version]
- Olsson, P.A.; Bååth, E.; Jakobsen, I.; Söderström, B. The use of phospholipid and neutral lipid fatty acids to estimate biomass of arbuscular mycorrhizal fungi in soil. Mycol. Res. 1995, 99, 623–629. [Google Scholar] [CrossRef]
- Frostegård, Å.; Bååth, E. The use of phospholipid fatty acid analysis to estimate bacterial and fungal biomass in soil. Biol. Fertil. Soils 1996, 22, 59–65. [Google Scholar] [CrossRef]
- Klamer, M.; Bååth, E. Estimation of conversion factors for fungal biomass determination in compost using ergosterol and PLFA 18: 2ω6, 9. Soil Biol. Biochem. 2004, 36, 57–65. [Google Scholar] [CrossRef]
- Buyer, J.S.; Teasdale, J.R.; Roberts, D.P.; Zasada, I.A.; Maul, J.E. Factors affecting soil microbial community structure in tomato cropping systems. Soil Biol. Biochem. 2010, 42, 831–841. [Google Scholar] [CrossRef]
- Marx, M.-C.; Wood, M.; Jarvis, S. A microplate fluorimetric assay for the study of enzyme diversity in soils. Soil Biol. Biochem. 2001, 33, 1633–1640. [Google Scholar] [CrossRef]
- Keil, D.; Meyer, A.; Berner, D.; Poll, C.; Schützenmeister, A.; Piepho, H.-P.; Vlasenko, A.; Philippot, L.; Schloter, M.; Kandeler, E.; et al. Influence of land-use intensity on the spatial distribution of N-cycling microorganisms in grassland soils. FEMS Microbiol. Ecol. 2011, 77, 95–106. [Google Scholar] [CrossRef]
- Hallin, S.; Jones, C.M.; Schloter, M.; Philippot, L. Relationship between N-cycling communities and ecosystem functioning in a 50-year-old fertilization experiment. ISME J. 2009, 3, 597–605. [Google Scholar] [CrossRef]
- Heuer, H.; Smalla, K. Manure and sulfadiazine synergistically increased bacterial antibiotic resistance in soil over at least two months. Environ. Microbiol. 2007, 9, 657–666. [Google Scholar] [CrossRef]
- Marhan, S.; Philippot, L.; Bru, D.; Rudolph, S.; Franzaring, J.; Högy, P.; Fangmeier, A.; Kandeler, E. Abundance and activity of nitrate reducers in an arable soil are more affected by temporal variation and soil depth than by elevated atmospheric [CO2]. FEMS Microbiol. Ecol. 2011, 76, 209–219. [Google Scholar] [CrossRef] [Green Version]
- Bárta, J.; Melichová, T.; Vaněk, D.; Picek, T.; Šantrůčková, H. Effect of pH and dissolved organic matter on the abundance of nirK and nirS denitrifiers in spruce forest soil. Biogeochemistry 2010, 101, 123–132. [Google Scholar] [CrossRef]
- Tu, C.; Ristaino, J.B.; Hu, S. Soil microbial biomass and activity in organic tomato farming systems: Effects of organic inputs and straw mulching. Soil Biol. Biochem. 2006, 38, 247–255. [Google Scholar] [CrossRef]
- Bajoriene, K.; Jodaugiene, D.; Pupaliene, R.; Sinkeviciene, A. Effect of organic mulches on the content of organic carbon in the soil. Est. J. Ecol. 2013, 62, 100. [Google Scholar] [CrossRef]
- Wu, L.; Zhang, W.; Wei, W.; He, Z.; Kuzyakov, Y.; Bol, R.; Hu, R. Soil organic matter priming and carbon balance after straw addition is regulated by long-term fertilization. Soil Biol. Biochem. 2019, 135, 383–391. [Google Scholar] [CrossRef]
- Rousk, J.; Brookes, P.C.; Bååth, E. Contrasting Soil pH Effects on Fungal and Bacterial Growth Suggest Functional Redundancy in Carbon Mineralization. Appl. Environ. Microbiol. 2009, 75, 1589–1596. [Google Scholar] [CrossRef] [Green Version]
- Chen, Y.; Wen, X.; Sun, Y.; Zhang, J.; Wu, W.; Liao, Y. Mulching practices altered soil bacterial community structure and improved orchard productivity and apple quality after five growing seasons. Sci. Hortic. 2014, 172, 248–257. [Google Scholar] [CrossRef]
- Bååth, E.; Anderson, T.H. Comparison of soil fungal/bacterial ratios in a pH gradient using physiological and PLFA-based techniques. Soil Biol. Biochem. 2003, 35, 955–963. [Google Scholar] [CrossRef]
- Wang, C.; Li, W.; Yang, Z.; Chen, Y.; Shao, W.; Ji, J. An invisible soil acidification: Critical role of soil carbonate and its impact on heavy metal bioavailability. Sci. Rep. 2015, 5, 12735. [Google Scholar] [CrossRef] [Green Version]
- Amelung, W.; Blume, H.-P.; Fleige, H.; Horn, R.; Kandeler, E.; Kögel-Knabner, I.; Kretzschmar, R.; Stahr, K.; Wilke, B.-M. Chemische Eigenschaften und Prozesse. In Scheffer/Schachtschabel Lehrbuch der Bodenkunde; Springer: Berlin/Heidelberg, Germany, 2018; pp. 151–211. [Google Scholar]
- Pietri, J.A.; Brookes, P. Relationships between soil pH and microbial properties in a UK arable soil. Soil Biol. Biochem. 2008, 40, 1856–1861. [Google Scholar] [CrossRef]
- Torres-Olivar, V.; Ibarra-Jiménez, L.; Cárdenas-Flores, A.; Lira-Saldivar, R.H.; Valenzuela-Soto, J.H.; Castillo-Campohermoso, M.A. Changes induced by plastic film mulches on soil temperature and their relevance in growth and fruit yield of pickling cucumber. Acta Agric. Scand. Sect. B-Soil Plant Sci. 2018, 68, 97–103. [Google Scholar] [CrossRef]
- Allison, S.D.; Wallenstein, M.D.; Bradford, M.A. Soil-carbon response to warming dependent on microbial physiology. Nat. Geosci. 2010, 3, 336–340. [Google Scholar] [CrossRef]
- An, T.; Schaeffer, S.; Li, S.; Fu, S.; Pei, J.; Li, H.; Zhuang, J.; Radosevich, M.; Wang, J. Carbon fluxes from plants to soil and dynamics of microbial immobilization under plastic film mulching and fertilizer application using 13C pulse-labeling. Soil Biol. Biochem. 2015, 80, 53–61. [Google Scholar] [CrossRef]
- Jayalath, N.; Mosley, L.; Fitzpatrick, R.; Marschner, P. Addition of organic matter influences pH changes in reduced and oxidised acid sulfate soils. Geoderma 2016, 262, 125–132. [Google Scholar] [CrossRef]
- Drenovsky, R.E.; Vo, D.; Graham, K.J.; Scow, K.M. Soil Water Content and Organic Carbon Availability Are Major Determinants of Soil Microbial Community Composition. Microb. Ecol. 2004, 48, 424–430. [Google Scholar] [CrossRef]
- Holland, E.; Coleman, D.C. Litter placement effects on microbial and organic matter dynamics in an agroecosystem. Ecology 1987, 68, 425–433. [Google Scholar] [CrossRef]
- Fanin, N.; Kardol, P.; Farrell, M.; Nilsson, M.-C.; Gundale, M.J.; Wardle, D.A. The ratio of Gram-positive to Gram-negative bacterial PLFA markers as an indicator of carbon availability in organic soils. Soil Biol. Biochem. 2019, 128, 111–114. [Google Scholar] [CrossRef]
- Rousk, J.; Bååth, E.; Brookes, P.C.; Lauber, C.L.; Lozupone, C.; Caporaso, J.G.; Knight, R.; Fierer, N. Soil bacterial and fungal communities across a pH gradient in an arable soil. ISME J. 2010, 4, 1340–1351. [Google Scholar] [CrossRef]
- Liu, J.; Li, S.; Yue, S.; Tian, J.; Chen, H.; Jiang, H.; Siddique, K.H.; Zhan, A.; Fang, Q.; Yu, Q. Soil microbial community and network changes after long-term use of plastic mulch and nitrogen fertilization on semiarid farmland. Geoderma 2021, 396, 115086. [Google Scholar] [CrossRef]
- Kramer, C.; Gleixner, G. Soil organic matter in soil depth profiles: Distinct carbon preferences of microbial groups during carbon transformation. Soil Biol. Biochem. 2008, 40, 425–433. [Google Scholar] [CrossRef]
- Luo, S.; Wang, S.; Yao, P.; Guo, D.; Li, X.; Li, S.; Tian, C. Soil microbial communities under film mulching and N fertilization in semiarid farmland. Nutr. Cycl. Agroecosystems 2019, 114, 157–170. [Google Scholar] [CrossRef]
- Wan, X.; Huang, Z.; He, Z.; Yu, Z.; Wang, M.; Davis, M.R.; Yang, Y. Soil C:N ratio is the major determinant of soil microbial community structure in subtropical coniferous and broadleaf forest plantations. Plant Soil 2015, 387, 103–116. [Google Scholar] [CrossRef]
- Barreiro, A.; Bååth, E.; Díaz-Raviña, M. Bacterial and fungal growth in burnt acid soils amended with different high C/N mulch materials. Soil Biol. Biochem. 2016, 97, 102–111. [Google Scholar] [CrossRef]
- Dick, R.; Rasmussen, P.; Kerle, E. Influence of long-term residue management on soil enzyme activities in relation to soil chemical properties of a wheat-fallow system. Biol. Fertil. Soils 1988, 6, 159–164. [Google Scholar] [CrossRef]
- Hendriksen, N.B.; Creamer, R.E.; Stone, D.; Winding, A. Soil exo-enzyme activities across Europe—The influence of climate, land-use and soil properties. Appl. Soil Ecol. 2016, 97, 44–48. [Google Scholar] [CrossRef]
- Rodriguez-Kabana, R.; Godoy, G.; Morgan-Jones, G.; Shelby, R.A. The determination of soil chitinase activity: Conditions for assay and ecological studies. Plant Soil 1983, 75, 95–106. [Google Scholar] [CrossRef]
- Turner, B.L. Variation in pH Optima of Hydrolytic Enzyme Activities in Tropical Rain Forest Soils. Appl. Environ. Microbiol. 2010, 76, 6485–6493. [Google Scholar] [CrossRef] [Green Version]
- Niemi, R.M.; Vepsäläinen, M. Stability of the fluorogenic enzyme substrates and pH optima of enzyme activities in different Finnish soils. J. Microbiol. Methods 2005, 60, 195–205. [Google Scholar] [CrossRef]
- Della Mónica, I.F.; Godoy, M.S.; Godeas, A.M.; Scervino, J.M. Fungal extracellular phosphatases: Their role in P cycling under different pH and P sources availability. J. Appl. Microbiol. 2018, 124, 155–165. [Google Scholar] [CrossRef] [Green Version]
- Meyer, M.; Diehl, D.; Schaumann, G.E.; Muñoz, K. Multiannual soil mulching in agriculture: Analysis of biogeochemical soil processes under plastic and straw mulches in a 3-year field study in strawberry cultivation. J. Soils Sediments 2021, 21, 3733–3752. [Google Scholar] [CrossRef]
- Luo, G.; Sun, B.; Li, L.; Li, M.; Liu, M.; Zhu, Y.; Guo, S.; Ling, N.; Shen, Q. Understanding how long-term organic amendments increase soil phosphatase activities: Insight into phoD-and phoC-harboring functional microbial populations. Soil Biol. Biochem. 2019, 139, 107632. [Google Scholar] [CrossRef]
- Margalef, O.; Sardans, J.; Fernández-Martínez, M.; Molowny-Horas, R.; Janssens, I.A.; Ciais, P.; Goll, D.; Richter, A.; Obersteiner, M.; Asensio, D.; et al. Global patterns of phosphatase activity in natural soils. Sci. Rep. 2017, 7, 1337. [Google Scholar] [CrossRef] [PubMed] [Green Version]
- Ratliff, T.J.; Fisk, M.C. Phosphatase activity is related to N availability but not P availability across hardwood forests in the northeastern United States. Soil Biol. Biochem. 2016, 94, 61–69. [Google Scholar] [CrossRef]
- Xu, Z.; Zhang, T.; Wang, S.; Wang, Z. Soil pH and C/N ratio determines spatial variations in soil microbial communities and enzymatic activities of the agricultural ecosystems in Northeast China: Jilin Province case. Appl. Soil Ecol. 2020, 155, 103629. [Google Scholar] [CrossRef]
- Monkiedje, A.; Ilori, M.O.; Spiteller, M. Soil quality changes resulting from the application of the fungicides mefenoxam and metalaxyl to a sandy loam soil. Soil Biol. Biochem. 2002, 34, 1939–1948. [Google Scholar] [CrossRef]
- Wightwick, A.M.; Salzman, S.A.; Reichman, S.M.; Allinson, G.; Menzies, N.W. Effects of copper fungicide residues on the microbial function of vineyard soils. Environ. Sci. Pollut. Res. 2013, 20, 1574–1585. [Google Scholar] [CrossRef] [PubMed]
- Yu, Y.L.; Shan, M.; Fang, H.; Wang, X.; Chu, X.Q. Responses of soil microorganisms and enzymes to repeated applications of chlorothalonil. J. Agric. Food Chem. 2006, 54, 10070–10075. [Google Scholar] [CrossRef]
- Chen, Z.; Liu, J.; Wu, M.; Xie, X.; Wu, J.; Wei, W. Differentiated Response of Denitrifying Communities to Fertilization Regime in Paddy Soil. Microb. Ecol. 2012, 63, 446–459. [Google Scholar] [CrossRef]
- Chen, Z.; Luo, X.; Hu, R.; Wu, M.; Wu, J.; Wei, W. Impact of Long-Term Fertilization on the Composition of Denitrifier Communities Based on Nitrite Reductase Analyses in a Paddy Soil. Microb. Ecol. 2010, 60, 850–861. [Google Scholar] [CrossRef]
- Enwall, K.; Philippot, L.; Hallin, S. Activity and Composition of the Denitrifying Bacterial Community Respond Differently to Long-Term Fertilization. Appl. Environ. Microbiol. 2005, 71, 8335–8343. [Google Scholar] [CrossRef] [Green Version]
- Čuhel, J.; Šimek, M.; Laughlin, R.J.; Bru, D.; Chèneby, D.; Watson, C.J.; Philippot, L. Insights into the Effect of Soil pH on N2O and N2 Emissions and Denitrifier Community Size and Activity. Appl. Environ. Microbiol. 2010, 76, 1870–1878. [Google Scholar] [CrossRef] [Green Version]
- Levy-Booth, D.J.; Prescott, C.E.; Grayston, S.J. Microbial functional genes involved in nitrogen fixation, nitrification and denitrification in forest ecosystems. Soil Biol. Biochem. 2014, 75, 11–25. [Google Scholar] [CrossRef]
- Ligi, T.; Truu, M.; Truu, J.; Nõlvak, H.; Kaasik, A.; Mitsch, W.J.; Mander, Ü. Effects of soil chemical characteristics and water regime on denitrification genes (nirS, nirK, and nosZ) abundances in a created riverine wetland complex. Ecol. Eng. 2014, 72, 47–55. [Google Scholar] [CrossRef]
- Yang, Y.-D.; Hu, Y.-G.; Wang, Z.-M.; Zeng, Z.-H. Variations of the nirS-, nirK-, and nosZ-denitrifying bacterial communities in a northern Chinese soil as affected by different long-term irrigation regimes. Environ. Sci. Pollut. Res. 2018, 25, 14057–14067. [Google Scholar] [CrossRef] [PubMed]
- Bach, H.J.; Tomanova, J.; Schloter, M.; Munch, J.C. Enumeration of total bacteria and bacteria with genes for proteolytic activity in pure cultures and in environmental samples by quantitative PCR mediated amplification. J. Microbiol. Methods 2002, 49, 235–245. [Google Scholar] [CrossRef]
- Braker, G.; Fesefeldt, A.; Witzel, K.P. Development of PCR primer systems for amplification of nitrite reductase genes (nirK and nirS) to detect denitrifying bacteria in environmental samples. Appl. Environ. Microbiol. 1998, 64, 3769–3775. [Google Scholar] [CrossRef] [PubMed] [Green Version]
- Throbäck, I.N.; Enwall, K.; Jarvis, A.; Hallin, S. Reassessing PCR primers targeting nirS, nirK and nosZ genes for community surveys of denitrifying bacteria with DGGE. FEMS Microbiol. Ecol. 2004, 49, 401–417. [Google Scholar] [CrossRef]
- Henry, S.; Baudoin, E.; López-Gutiérrez, J.C.; Martin-Laurent, F.; Brauman, A.; Philippot, L. Quantification of denitrifying bacteria in soils by nirK gene targeted real-time PCR. J. Microbiol. Methods 2004, 59, 327–335. [Google Scholar] [CrossRef]
- Bru, D.; Sarr, A.; Philippot, L. Relative abundances of proteobacterial membrane-bound and periplasmic nitrate reductases in selected environments. Appl. Environ. Microbiol. 2007, 73, 5971–5974. [Google Scholar] [CrossRef] [Green Version]
Publisher’s Note: MDPI stays neutral with regard to jurisdictional claims in published maps and institutional affiliations. |
© 2022 by the authors. Licensee MDPI, Basel, Switzerland. This article is an open access article distributed under the terms and conditions of the Creative Commons Attribution (CC BY) license (https://creativecommons.org/licenses/by/4.0/).



