Short-Term Waterlogging Depresses Early Growth of Sunflower (Helianthus annuus L.) on Saline Soils with a Shallow Water Table in the Coastal Zone of Bangladesh
Abstract
:1. Introduction
2. Materials and Methods
2.1. Site Description and Experimental Setup
2.2. Experimental Design
- Standing water duration (standing water above the soil surface) referred to as waterlogging: T1 = no waterlogging (control), T2 = 24 h waterlogging, T3 = 48 h waterlogging, and T4 = 72 h waterlogging;
- Growth stage for waterlogging imposition: V1 = waterlogging right after sowing (emergence), V2 = waterlogging when plants developed 2-leaves, and V3 = waterlogging when plants developed 4- leaves.
- Sowing dates: S1 = early sowing (1 December 2018) and S2 = late sowing (24 December 2018).
2.3. Perched Water Monitoring
2.4. Plant Height, Leaf Area and Leaf Chlorophyll Content
2.5. Root Measurements
2.6. Statistical Analysis
3. Results
3.1. Soil Inundation and Perched Water Depth
3.2. Emergence
3.3. Leaf Area and Chlorophyll Content
3.4. Plant Height
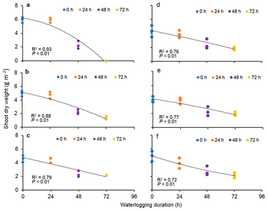
3.5. Shoot Dry Weight
3.6. Root Dry Weight
3.7. Total Root Length
4. Discussion
5. Conclusions
Supplementary Materials
Author Contributions
Funding
Institutional Review Board Statement
Informed Consent Statement
Data Availability Statement
Acknowledgments
Conflicts of Interest
References
- Ploschuk, R.A.; Miralles, D.J.; Colmer, T.D.; Ploschuk, E.L.; Striker, G.G. Waterlogging of winter crops at early and late stages: Impacts on leaf physiology, growth and yield. Front. Plant Sci. 2018, 9, 1863. [Google Scholar] [CrossRef] [PubMed] [Green Version]
- Hirabayashi, Y.; Mahendran, R.; Koirala, S.; Konoshima, L.; Yamazaki, D.; Watanabe, S.; Kim, H.; Kanae, S. Global flood risk under climate change. Nat. Clim. Chang. 2013, 3, 816–821. [Google Scholar] [CrossRef]
- Mainuddin, M.; Bell, R.; Gaydon, D.; Kirby, J.; Barrett-Lennard, E.; Glover, M.; Akanda, M.R.; Maji, B.; Ali, M.A.; Brahmachari, K. An overview of the Ganges coastal zone: Climate, hydrology, land use, and vulnerability. J. Indian Soc. Coastal Agric. Res. 2019, 37, 1–11. [Google Scholar]
- Arduini, I.; Kokubun, M.; Licausi, F. Editorial: Crop Response to Waterlogging. Front. Plant Sci. 2019, 10, 1578. [Google Scholar] [CrossRef] [Green Version]
- Paul, P.L.C. Agronomic Practices Increase Sunflower Yield in the Rabi (Dry) Season in Clay-Textured, Salt-Affected Soils of the Coastal Region of Bangladesh. Ph.D. Dissertation, Murdoch University, Perth, Australia, 2020. [Google Scholar]
- Paul, P.L.C.; Bell, R.W.; Barrett-Lennard, E.G.; Kabir, E. Variation in the yield of sunflower (Helianthus annuus L.) due to differing tillage systems is associated with variation in solute potential of the soil solution in a salt-affected coastal region of the Ganges Delta. Soil Tillage Res. 2020, 197, 104489. [Google Scholar] [CrossRef]
- Mainuddin, M.; Kirby, J.M. Impact of flood inundation and water management on water and salt balance of the polders and islands in the Ganges delta. Ocean Coast. Manag. 2021, 210, 105740. [Google Scholar] [CrossRef]
- Drew, M.C. Oxygen deficiency and root metabolism: Injury and acclimation under hypoxia and anoxia. Annu. Rev. Plant Biol. 1997, 48, 223–250. [Google Scholar] [CrossRef] [PubMed]
- Liao, C.-T.; Lin, C.-H. Physiological adaptation of crop plants to flooding stress. Proc. Natl. Sci. Counc. Repub. China Part B Life Sci. 2001, 25, 148–157. [Google Scholar]
- Paul, P.L.C.; Bell, R.W.; Barrett-Lennard, E.G.; Kabir, E. Impact of rice straw mulch on soil physical properties, sunflower root distribution and yield in a salt-affected clay-textured soil. Agriculture 2021, 11, 264. [Google Scholar] [CrossRef]
- Bange, M.; Milroy, S.; Thongbai, P. Growth and yield of cotton in response to waterlogging. Field Crop. Res. 2004, 88, 129–142. [Google Scholar] [CrossRef]
- Manik, S.M.N.; Pengilley, G.; Dean, G.; Field, B.; Shabala, S.; Zhou, M. Soil and crop management practices to minimize the impact of waterlogging on cop productivity. Front. Plant Sci. 2019, 10, 140. [Google Scholar] [CrossRef] [Green Version]
- Paul, P.L.C.; Bell, R.W.; Barrett-Lennard, E.G.; Kabir, E. Straw mulch and irrigation affect solute potential and sunflower yield in a heavy textured soil in the Ganges Delta. Agric. Water Manag. 2020, 239, 106211. [Google Scholar] [CrossRef]
- Mondal, M.K.; Paul, P.L.C.; Humphreys, E.; Tuong, T.P.; Ritu, S.P.; Rashid, M.A. Opportunities for cropping system intensification in the coastal zone of Bangladesh. In Proceedings of the Revitalizing the Ganges Coastal Zone: Turning Science into Policy and Practices, Colombo, Sri Lanka, 21–23 October 2014; p. 449. [Google Scholar]
- Bell, R.; Mainuddin, M.; Barrett-Lennard, E.; Sarangi, S.; Maniruzzaman, M.; Brahmachari, K.; Sarker, K.K.; Burman, D.; Gaydon, D.; Kirby, J. Cropping systems intensification in the coastal zone of the Ganges Delta: Opportunities and risks. J. Indian Soc. Coastal Agric. Res. 2019, 37, 153–161. [Google Scholar]
- Paul, P.L.C.; Bell, R.W.; Barrett-Lennard, E.G.; Kabir, E.; Gaydon, D.S. Opportunities and risks with early sowing of sunflower in a salt-affected coastal region of the Ganges Delta. Agron. Sustain. Dev. 2021, 41, 39. [Google Scholar] [CrossRef]
- Islam, M.N.; Bell, R.W.; Barrett-Lennard, E.G.; Maniruzzaman, M. Shallow surface and subsurface drains alleviate waterlogging and salinity in a clay-textured soil and improve the yield of sunflower (Helianthus annuus L.) in the Ganges Delta. Agron. Sustain. Dev. accepted.
- Yasumoto, S.; Terakado, Y.; Matsuzaki, M.; Okada, K. Effects of high water table and short-term flooding on growth, yield, and seed quality of sunflower. Plant Produc. Sci. 2011, 14, 233–248. [Google Scholar] [CrossRef] [Green Version]
- Orchard, P.W.; Jessop, R.S. The response of sorghum and sunflower to short-term waterlogging. Effects of stage development and duraton of waterlogging on growth and yield. Plant Soil 1984, 81, 119–132. [Google Scholar] [CrossRef]
- Grassini, P.; Indaco, G.V.; Pereira, M.L.; Hall, A.J.; Trápani, N. Responses to short-term waterlogging during grain filling in sunflower. Field Crops Res. 2007, 101, 352–363. [Google Scholar] [CrossRef]
- Sadras, V.; Hall, A.; Trapani, N.; Vilella, F. Dynamics of rooting and root-length: Leaf-area relationships as affected by plant population in sunflower crops. Field Crops Res. 1989, 22, 45–57. [Google Scholar] [CrossRef]
- Singh, M.; Sharma, D.; Gupta, S.; Sharma, N. Effect of time and duration of water stagnation on growth, yield and mineral composition of sunflower in a gypsum amended alkali soil. Curr. Agric. 2002, 26, 23–29. [Google Scholar]
- Barrett-Lennard, E.G.; Shabala, S.N. The waterlogging/salinity interaction in higher plants revisited–focusing on the hypoxia-induced disturbance to K+ homeostasis. Funct. Plant Biol. 2013, 40, 872–882. [Google Scholar] [CrossRef] [PubMed]
- Sieben, W.H. Relationship between Drainage Conditions and Crop Yield for Young Light Clay Soils in the Nordost Polder; Van Zee tot Lod. 40. Tjeenk Willink V: Zwolle, The Netherlands, 1964; As cited by Cox 1995. [Google Scholar]
- Orchard, P.W.; So, H.B.; Jessop, R.S. The response of sorghum and sunflower to short-term waterlogging. Root growth effects. Plant Soil 1985, 88, 421–430. [Google Scholar] [CrossRef]
- Cannell, R. Soil aeration and compaction in relation to root growth and soil management. Appl. Biol. 1977, 2, 1–86. [Google Scholar]
- Cox, J.W.; McFarlane, D.J. The causes of waterlogging in shallow soils and their drainage in southwestern Australia. J. Hydrol. 1995, 167, 175–194. [Google Scholar] [CrossRef]
- Kawase, M. Aerenchyma Formation: How Plants Adapt to Waterlogging; Ohio Report 63; Ohio Agricultural Research and Development Center: Wooster, OH, USA, 1978; pp. 14–15. [Google Scholar]
- Blamey, F.P.C.; Zollinger, R.K.; Schneiter, A.A. Sunflower production and culture. In Sunflower Technology and Production; Schneiter, A.A., Ed.; American Society of Agronomy: Madison, WI, USA, 1997; pp. 595–670. [Google Scholar]
- Loose, L.H.; Heldwein, A.B.; Lucas, D.D.; Hinnah, F.D.; Bortoluzzi, M.P. Sunflower emergence and initial growth in soil with water excess. Eng. Agríc. 2017, 37, 644–655. [Google Scholar] [CrossRef] [Green Version]
- Albuquerque, M.C.D.; Carvalho, N.F. Effect of the type of environmental stress on the emergence of sunflower (Helianthus annus L.), soybean (Glycine max (L.) Merril) and maize (Zea mays L.) seeds with different levels of vigor. Seed Sci. Technol. 2003, 31, 465–479. [Google Scholar] [CrossRef]
- Taiz, L.; Zeiger, L. Plant Physiology, 5th ed.; Sinauer Associates: Sunderland, MA, USA, 2010. [Google Scholar]
- Drew, M. Effects of flooding and oxygen deficiency on plant mineral nutrition. In Advances in Plant Nutrition; Lauchli, A., Tinker, P.B., Eds.; Praeger: New York, NY, USA, 1988; pp. 115–159. [Google Scholar]
- Steffens, D.; Hutsch, B.; Eschholz, T.; Losak, T.; Schubert, S. Water logging may inhibit plant growth primarily by nutrient deficiency rather than nutrient toxicity. Plant Soil Environ. 2005, 51, 545. [Google Scholar] [CrossRef] [Green Version]
- Morales-Olmedo, M.; Ortiz, M.; Sellés, G. Effects of transient soil waterlogging and its importance for rootstock selection. Chil. J. Aagric. Res. 2015, 75, 45–56. [Google Scholar] [CrossRef] [Green Version]
- Rogers, C.; Unger, P.; Kreitner, G. Adventitious Rooting in ‘Hopi’ Sunflower: Function and Anatomy 1. Agron. J. 1984, 76, 429–434. [Google Scholar] [CrossRef]
- Visser, E.; Voesenek, L. Acclimation to soil flooding sensing and signal-transduction. In Root Physiology: From Gene to Function; Lambers, H., Colmer, T., Eds.; Springer: Dordrecht, The Netherlands, 2005; pp. 197–214. [Google Scholar]
- Barrett-Lennard, E.G. The interaction between waterlogging and salinity in higher plants: Causes, consequences and implications. Plant Soil 2003, 253, 35–54. [Google Scholar] [CrossRef]
- Singh, A. Soil salinization and waterlogging: A threat to environment and agricultural sustainability. Ecol. Indic. 2015, 57, 128–130. [Google Scholar] [CrossRef]





| Sowing | Waterlogging Duration | Leaf Area (cm2) at Different Stages | Leaf Chlorophyll Content (CCI) | ||||
|---|---|---|---|---|---|---|---|
| Emergence | 2-Leaf | 4-Leaf | Emergence | 2-Leaf | 4-Leaf | ||
| Early sowing | Control | 28 a | 32 a | 33 a | 18.5 a | 19.5 a | 21.3 a |
| 24 h | 26 a | 30 a | 31 a | 17.4 ab | 19.2 a | 20.5 a | |
| 48 h | 16 b | 17 b | 19 b | 16.2 c | 18 a | 16.3 b | |
| 72 h | 0 c | 17 b | 18 b | - | 14.5 b | 15.5 b | |
| Late sowing | Control | 36 a | 35 a | 40 a | 14.3 a | 17.8 a | 17.7 a |
| 24 h | 33 a | 32 a | 29 ab | 14.5 a | 17.4 a | 17.9 a | |
| 48 h | 19 b | 14 b | 22 b | 12.8 ab | 16.5 a | 13.2 b | |
| 72 h | 17 b | 18 b | 18 b | 11.7 b | 12.9 b | 11.4 b | |
| Sowing | Waterlogging Duration | Shoot Dry Weight (g) | ||
|---|---|---|---|---|
| Emergence | 2-Leaf | 4-Leaf | ||
| Early sowing | Control | 5.9 a | 4.9 a | 4.5 a |
| 24 h | 5.8 a | 4.7 a | 4.4 a | |
| 48 h | 2.2 b | 2.3 b | 2.3 b | |
| 72 h | 0 c | 1.4 c | 2.1 b | |
| Late sowing | Control | 4.2 a | 3.9 a | 4.9 a |
| 24 h | 3.8 a | 3.8 a | 3.9 a | |
| 48 h | 2.4 b | 2.3 b | 2.7 b | |
| 72 h | 1.8 b | 1.9 b | 2.1 b | |
Publisher’s Note: MDPI stays neutral with regard to jurisdictional claims in published maps and institutional affiliations. |
© 2021 by the authors. Licensee MDPI, Basel, Switzerland. This article is an open access article distributed under the terms and conditions of the Creative Commons Attribution (CC BY) license (https://creativecommons.org/licenses/by/4.0/).
Share and Cite
Paul, P.L.C.; Bell, R.W.; Barrett-Lennard, E.G.; Kabir, E.; Mainuddin, M.; Sarker, K.K. Short-Term Waterlogging Depresses Early Growth of Sunflower (Helianthus annuus L.) on Saline Soils with a Shallow Water Table in the Coastal Zone of Bangladesh. Soil Syst. 2021, 5, 68. https://doi.org/10.3390/soilsystems5040068
Paul PLC, Bell RW, Barrett-Lennard EG, Kabir E, Mainuddin M, Sarker KK. Short-Term Waterlogging Depresses Early Growth of Sunflower (Helianthus annuus L.) on Saline Soils with a Shallow Water Table in the Coastal Zone of Bangladesh. Soil Systems. 2021; 5(4):68. https://doi.org/10.3390/soilsystems5040068
Chicago/Turabian StylePaul, Priya Lal Chandra, Richard W. Bell, Edward G. Barrett-Lennard, Enamul Kabir, Mohammed Mainuddin, and Khokan Kumer Sarker. 2021. "Short-Term Waterlogging Depresses Early Growth of Sunflower (Helianthus annuus L.) on Saline Soils with a Shallow Water Table in the Coastal Zone of Bangladesh" Soil Systems 5, no. 4: 68. https://doi.org/10.3390/soilsystems5040068
APA StylePaul, P. L. C., Bell, R. W., Barrett-Lennard, E. G., Kabir, E., Mainuddin, M., & Sarker, K. K. (2021). Short-Term Waterlogging Depresses Early Growth of Sunflower (Helianthus annuus L.) on Saline Soils with a Shallow Water Table in the Coastal Zone of Bangladesh. Soil Systems, 5(4), 68. https://doi.org/10.3390/soilsystems5040068

