Abstract
Sorted and aged bottom ash from Waste-to-Energy plants, i.e., MIBA (the Mineral fraction of Incinerator Bottom Ash) are potential source of metals that could be utilized to meet the increased demand from society. In this work, sunflowers (Helianthus annuus) and rapeseed (Brassica napus) were cultivated in conventional MIBA to evaluate the possibility for phytoextraction, mainly of Zn, during the period of one cultivation season in the Nordic climate. The results show that metal extraction from MIBA using rapeseed and sunflowers is workable but that neither of the used plants is optimal, mainly due to the inhibited root development and low water- and nutrient-holding capacities of MIBA. The addition of fertilizer is also important for growth. There was a simultaneous accumulation of numerous metals in both plant types, and the highest metal content was generally found in the roots. Calculations indicated that the ash from rapeseed root incineration contained about 2% Zn, and the contents of Co, Cu, and Pb were comparable to those in workable ores. This initial study shows that cultivation in and phytoextraction on MIBA is possible, and that the potential for increased metal extraction is high.
1. Introduction
The demand for metals is increasing in our society. The importance of a secure metal supply has been acknowledged by the European Commission, which has recommended the utilization of secondary raw materials as a way to achieve this [1]. When waste is incinerated using the most common technique, Waste-to-Energy (WtE) mass burn combustion, about 20% of the mass becomes what is known as bottom ash. In Sweden alone, almost 1 million tons of this type of bottom ash is produced annually; in the EU, Norway, and Switzerland, the corresponding amount is approximately 18 Mt/year [2,3]. These ashes contain significant amounts of metals, and the most common treatment method for bottom ash is mechanical separation, where pieces of metal are recovered and combined with natural weathering, i.e., carbonation. Ash having had this treatment is referred to as MIBA, the Mineral fraction of Incinerator Bottom Ash, to distinguish it from untreated bottom ash [3]. This treatment does not only recycle solid metals but also stabilizes the material [4,5] and opens it up for utilization. In some countries, e.g., Denmark and the Netherlands, MIBA is used for conventional road construction, whereas in others, including Sweden, Norway, and Switzerland, it is landfilled or used within landfills [3]. The variance in management approaches is a result of the different guidelines and legislation used in different countries [3]. Current guidelines and legislation are strongly correlated to the presence and potential leaching of metals, as even after mechanical metal recovery, a significant amount of metal remains in the MIBA, either bound in chemical compounds or as small pieces (typically < 1 mm); see, e.g., [6,7]. If more metals were to be removed, the potential fields of application for MIBA would increase significantly, and most importantly, these resources could be utilized instead of virgin metals needing to be mined.
Recovery of the metals remaining in MIBA cannot be carried out using physical separation, but thermal or hydrometallurgical processes could potentially be used. The content of, e.g., Cu in MIBA is comparable to workable ores, but as the MIBA matrix is different from a rock, the amounts are still too low to be of interest to the energy-intensive metal refining industry [8]. Additionally, the presence of unwanted elements such as Cl and As may harm the recovery process [8]. Instead, MIBA must be treated to generate concentrates with higher contents of interesting metals and lower amounts of unwanted elements. Hydrometallurgical processes, i.e., leaching combined with, e.g., chemical precipitation, could be a way to get such material. However, the main challenge is the huge amounts of leaching media needed for MIBA treatment. Pure water is not efficient enough to leach metals, and assuming a liquid-to-solid ratio of 4, almost 4 million m3 leaching agents would be required for Sweden alone. Even if part of the leachate was re-circulated, the large amounts of liquid would still be problematic. In this perspective, phytoextraction is an interesting alternative for metal recovery from MIBA, as it offers a way to extract and concentrate the metals of interest. Phytoextraction uses specific plants, so-called hyperaccumulators, that cannot only survive in contaminated areas but can also extract the contaminants into their tissues. Once harvested, these plants can be incinerated, and metals can be recovered from the resulting ash. Successful laboratory-scaled Ni recovery experiments which combine phytoextraction with separate incineration of the Ni-enriched plants have been reported [9]. However, separate incineration is usually not an alternative if used on a full scale. Instead, incineration of the enriched plants in conventional full-scale WtE plants is favorable, and the metals enriched in plants would likely be found in the fly ash [10]. This is positive, as the recovery of metals from WtE fly ash has been in focus for many years. Zn especially is of high interest, and several successful initiatives for Zn recovery from ash are under development or present as full-scale processes [11,12,13]. This makes the production of a Zn-rich fuel generated from the growth of hyperaccumulators in MIBA especially interesting, as this would transfer the Zn from the challenging MIBA matrix into a material from which Zn can be recovered efficiently. Besides, in the future, methods for the recovery of other valuable metals in fly ash are likely to be developed as well.
Phytoextraction is used for treating contaminated soils all over the world; however, a drawback for the Nordic countries is that many of the known Zn hyperaccumulators, e.g., water hyacinth (Eichhornia crassipes), do not grow naturally in their climate [14]. Further, several of the potential plants have limited biomass, including alpine pennycress (Thlaspi caerulescens) [15]. However, sunflowers (Helianthus annuus), rapeseed (Brassica napus), corn (Zea mays), and haricot verts (Phaseolus vulgaris), as well as larger plants, such as salix trees, have also been shown to accumulate Zn [15,16,17,18,19,20,21,22]. Generally, experiments carried out so far have used contaminated soils with few contaminants, and there is a lack of studies of scientifically controlled cultivation on ash containing several potential pollutants. Most earlier studies have used coal ash [23,24]; however, there is one published study where manually sorted and washed bottom ash from WtE incineration was used [25]. The results of this study showed that Ni and Zn were extracted by Alyssum (serpyllifolium) and a succulent (S. plumbizincicola), respectively, although the biomass production was low. To the best of the authors’ knowledge, no study on phytoextraction from conventional MIBA has been scientifically considered.
This project aimed to study phytoextraction, mainly of Zn, from conventional MIBA during the period of one cultivation season in the Nordic climate. The specific goals were to evaluate the survival of the plants in MIBA and to evaluate the potential to generate Zn-enriched fuel, which is to be used for metal recovery. Additionally, the simultaneous decrease in the metal content in the remaining MIBA was measured.
2. Material and method
2.1. Material
The MIBA used in this work originated from a full-scale WtE-incineration plant in southwestern Sweden. The waste, mainly municipal and industrial waste, was incinerated in four grate-fired furnaces with steam boilers that produced electricity and district heating. Bottom ash was collected from all lines, mixed, and stored in large piles that were naturally weathered, i.e., not sheltered against wind or water, for at least 6 months. After 1–3 months in storage, metal pieces (>~2 mm) were mechanically removed using mobile sorting equipment with magnets and eddy current magnets. Sub-samples from the MIBA were collected and mixed to form one sample of about 600 kg, which was used for the cultivation tests.
For the control cultivation, where sunflowers and rapeseed were cultivated under normal circumstances, a commercial “lean planting soil” generated from the biological treatment of garden waste was used (Table 1) (Reference soil) [26]. To promote plant growth, and to study the effect of fertilizer on this growth, the reference cultivation boxes and half of the cultivation boxes containing MIBA were fertilized with YaraMila Promagna 11-5-18. This fertilizer is specially developed for plants with a high need for N, which is a shortage in MIBA [27].
Table 1.
Contents in original reference soil, MIBA and the fertilizer used. Additionally, leaching (L/S 10) from MIBA according to SS-EN-12357-3 is shown. All amounts are provided in mg/kg DS except pH, TOC, ANC, EC, and bulk density.
2.2. Cultivation Experiments
Suitable plant types were chosen based on a review of the literature, with the pre-requisites that the selected plants should be able to: grow on open land in a Nordic climate, obtain significant relative biomass within one cultivation season, and have a proven affinity for Zn. Further, the plants should preferably have a dense structure, to ensure good incineration properties in recovery processes. Sunflowers (Helianthus annuus) are known to be suitable for phytoremediation of Zn, but other cruciferous plants, such as rapeseed (Brassica napus), have also been shown to be appropriate [17,18,25,28,29]. Additionally, as rapeseed and sunflowers both have variations of taproots, these plants were chosen for the cultivation experiments.
The experiments were performed using six cultivation boxes of about 1 m2 each. The boxes were prepared in several layers, starting with a plastic covering on the inside, to prevent uncontrolled leaching. Thereafter, an approximately 15-cm thick layer of leca (Light Expanded Clay Aggregate) spheres was placed in the bottom, followed by a ground cloth. Finally, about 30 cm of MIBA or reference soil (control cultivation) was placed on top of the ground cloth in each box. In total, 6 boxes were prepared for the cultivation experiments, 4 cultivation experiments in MIBA and 2 control cultivation experiments in reference soil:
- Sunflowers in MIBA without fertilizer (SwoF)
- Sunflowers in MIBA with fertilizer (SF)
- Sunflowers in reference soil with fertilizer (Sref)
- Rapeseed in MIBA without fertilizer (RwoF)
- Rapeseed in MIBA with fertilizer (RF)
- Rapeseed in reference soil with fertilizer (Rref)
Seeds of both sunflowers and rapeseed were supplied by the agriculture cooperative Lantmännen. The sunflowers were pre-cultivated in reference soil in a greenhouse and were about 20 cm high when planted in the boxes, while the rapeseed plants were grown directly in the boxes. To improve the growing conditions, small holes, about 2–4 centimeters deep, were made in the MIBA boxes. The holes were filled with reference soil and the plants and seeds were grown inside the holes. Eight holes, i.e., eight plants, were made in each sunflower box, while twelve holes were used for the rapeseed. Several rapeseed plants were planted in each hole. Rapeseed was also planted directly in MIBA. Fertilizer was added one week after planting, in amounts according to the recommendation from the producer. All boxes were placed in similar sun and wind conditions. Watering using ordinary tap water, management, and growth checks (ocular and height measurement) were carried out regularly during the growing season (end of April to the middle of September). Some excess water was collected in the bottom of the boxes, where it could not reach the roots. This water was not returned to the plants. Approximately 6 weeks after planting, the rapeseed plants were thinned out in some of the planting groups. This was done to study whether or not having a large number of rapeseed plants within a small area would harm their growth.
After 20 weeks, the plants were gently harvested manually using small spades. The plants, and any reference soil or MIBA on or close to their roots, were collected and dried at room temperature for 1 week. Due to the low growth rate, small sub-samples were collected from several cultivation spots in each box, then mixed into one MIBA sample per box. For consistency, only one sample from each reference box was collected according to the same methodology. The dried plants were separated into below-ground biomass, i.e., roots and above-ground biomass, before further analysis. The only exception was RwoF, as the biomass from this box was too small to allow separation into different plant fractions.
2.3. Chemical Analyses
Total element concentrations in the original MIBA and the solid residues after cultivation were analyzed at accredited laboratories (Eurofins, Luxembourg, and Synlab, Munich, Germany) by melting with LiBO2 followed by dissolution in HNO3 according to ASTM D3682: 2013 and ASTM D4503: 2008, or with HNO3/HCl/HF according to SS-EN 13656: 2003. Final analysis of the solutions was performed using ICP-SFMS (Inductively Coupled Plasma-Sector Field Mass Spectrometry) according to SS-EN ISO 17294-2: 2016 and EPA method 200.8: 1994. A total content analysis of the elements in the soil before and after cultivation was carried out at an accredited laboratory (Eurofins, Luxembourg) by dissolution in aqua regia according to SS-ISO 11466, followed by analysis with ICP-SFMS (SS-EN ISO 17294-1, 2 (mod) or EPA method 200.8 (mod)) or ICP- AES (Inductively coupled plasma atomic emission spectroscopy) (SS-EN ISO 11885 (mod) and EPA method 200.7 (mod)). The contents in the original MIBA and reference soil were analyzed in triplicates, while the residues after harvest, due to limited sample volume, were analyzed as singlicates.
The total organic carbon (TOC) and acid-neutralizing capacity (ANC) of the MIBA were analyzed at an accredited laboratory (Eurofins, Luxembourg) in duplicate, using SS-EN 13137: 2001 and EN 14429: 2015, respectively. The particle size distribution in MIBA was carried out as singlicate (30 g) at the Chalmers University of Technology using EN 933-1. The particle size distribution and humus content in soil were analyzed in triplicates using SS ISO-11277 (2009), while TOC was analyzed using SS-EN 15936: 2012 metodappl. A/SS-EN 13137: 2001 m and pH using DIN ISO 10390: 2005–12, all in triplicates and at accredited laboratories (Eurofins, Luxembourg). The bulk density of the soil was analyzed in triplicate (internal method at the accredited laboratory Eurofins, Luxembourg), while the corresponding value for MIBA was calculated from data in [30,31].
A 5-step sequential extraction scheme based on [32] was performed by an accredited laboratory (Synlab, Munich, Germany) on the original MIBA (single sample) to study the potential mobility and operational binding forms of selected elements [33]. The method uses 1 M NaOAc, pH 5, to extract easily adsorbed and exchangeable metals and carbonates, followed by Na4P2O7 to extract metals weakly bound to organic matter, 0.25 M NH2OH·HCl in 0.1 M HCl in 60 °C to extract metals bound to amorphic iron and manganese oxides, 1.0 M NH2OH·HCl in 25% CH3COOH in 90 °C to extract metals bound to crystalline iron oxides, and finally KClO3 in 12 M HCl 4 M HNO3 in 90 °C to extract metals bound to the stable organic forms and sulfides. The leachates were analyzed according to SS-EN ISO 17294-1,2 (mod)/EPA-method 200.8 (mod) and SS 028150-2.
To evaluate potential leaching, SS-EN-12457-3 was performed on representative original MIBA samples. The test was carried out in duplicate. The pH of the leachates was measured according to SS-EN ISO 10523: 2012. The electrical conductivity (EC) of the leachates was measured according to SS-EN 27888-1 at a liquid-to-solid (L/S) ratio of 2. All analyses were conducted at accredited laboratories (Eurofins, Luxembourg, and Synlab, Munich, Germany).
The elemental contents of the harvested plants (above- and below-ground biomass) were analyzed after microwave digestion with HNO3/H2O2 using ICP-SFMS according to SS-EN ISO 17294-2: 2016 and EPA method 200.8: 1994. The analyses were done at an accredited laboratory (Synlab, Munich, Germany) in duplicate.
3. Result and Discussion
3.1. Characterisation of Original MIBA
Biomass ashes are known to act as a fertilizer and promote the growth of trees when spread in woods or used in agricultural processes [34,35]. The Swedish Forest Agency has issued recommendations on the total content of different elements in biomass ashes to be reintroduced to a forest [36]. A comparison between those values and the contents of the MIBA samples used in this study showed that of the macronutrients (Ca, K, P, Mg), Ca and Mg were present in sufficient concentrations, whereas the K and P contents were too low (Table 1). This shows that there is potential for plants to grow in MIBA and that growth could be promoted by adding NPK fertilizer. However, the amounts of the potentially toxic metals Cr, Cu, Ni, and Pb all exceeded the recommended levels, and it is well known that this can inhibit growth, especially of the roots; see, e.g., [37] and references therein. On the other hand, their mobility in water is low (Table 1) and sequential extraction has shown that of these elements, Pb was the only one with a high proportion present in exchangeable and adsorbed forms (Figure 1). In addition to Pb, Zn, Cd, and Ca are also highly mobile and were present in more than 50% of the exchangeable fraction. Chromium and Ni were mainly present in stable forms (steps 4 and 5), and are unlikely to be as available for phytoextraction. For most elements, the presence in step 2 (labile organic forms) was <10%, which was expected, as the TOC in MIBA is low (Table 1). The predicted mobility of Cu is low, and >70% was present in the sulfide fraction (step 5). The consistency of the results from the total elemental analyses for the other elements was acceptable between the methods. The mobility of anions, such as chloride and sulfate, as well as ECsw, were noteworthy (Table 1), as high salinity is known to affect plant growth negatively [38].
Figure 1.
Sequential extraction distribution for original MIBA. Step 1: easily adsorbed and exchangeable metals and carbonates, Step 2: metals weakly bound to organic matter, Step 3: metals bound to amorphic iron and manganese oxides, Step 4: metals bound to crystalline iron oxides, and Step 5: metals bound to stable organic forms and sulfides.
3.2. Plant Growth and Biomass
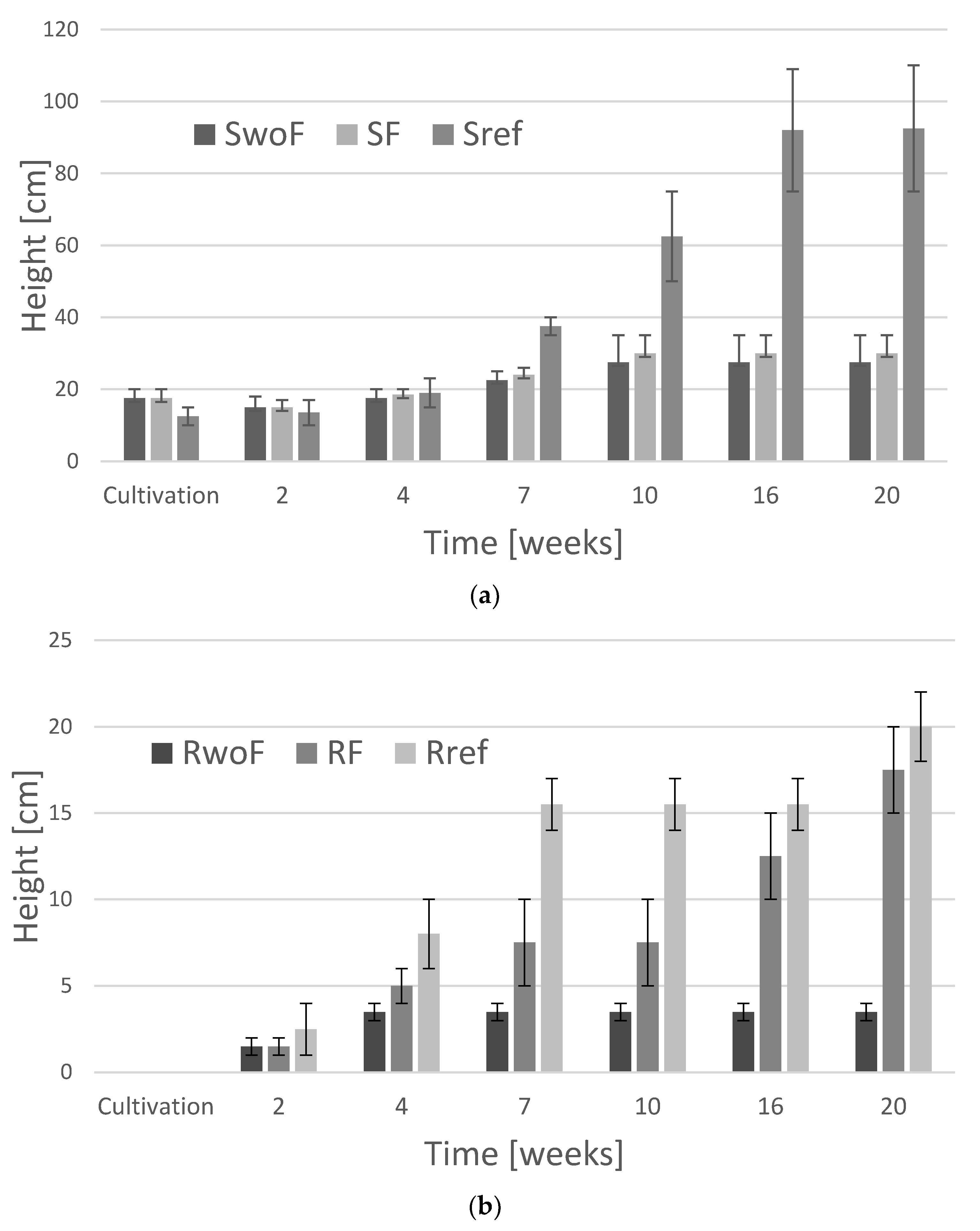
The plant height growth was initially similar for all sunflower plants (Figure 2a). However, after a few weeks, the rate decreased in the MIBA boxes, and after a few more weeks, the MIBA plants started to lose their leaves and dried out. The addition of fertilizer had only a minor effect on growth, which could have been due to the presence of potentially toxic elements like Cu, Zn, and Cl that may inhibit nutrient uptake and affect plant growth negatively [37,38,39]. Additionally, sunflower roots are likely to be too weak to efficiently penetrate the compact MIBA and therefore don’t absorb enough water and nutrients (Table 1).
Figure 2.
Average growth in cm for (a) sunflowers and (b) rapeseed cultivated in MIBA or reference soil (Sref and Rref) over 20 weeks. Error bars indicate variations in height.
Rapeseed showed a different pattern. Initially, the plants in the MIBA with fertilizer (RF) grew slower than the reference plants (Rref) (Figure 2b). However, after a few weeks, the rate increased and at harvest, the heights of the Rref and RF plants were almost the same. However, the height variation was larger for RF than for Rref, implying that cultivation in original MIBA is likely to be more diverse. Contrary to the sunflowers, the addition of fertilizer was crucial. After only a few weeks, the plants without nutrient addition (RwoF) already had a slower growth rate, and after 8 weeks, their growth stopped completely (Figure 2b). The leaves of these plants were purplish, which is a known effect of P deficiency; see, e.g., [40]. The P content was 5 times higher in MIBA than in soil, but was not in available forms for rapeseed (Table 1). Shortage of P is more common in alkaline soils with low TOC and high Fe, and in plants with weak roots, which describes the conditions in the MIBA boxes without fertilizer (Table 1 and Table 2). No difference in the growing capacity trends was observed for rapeseed plants planted at longer or shorter distances from each other, indicating that many plants can be cultivated in a limited space, giving a higher potential phytoextraction capacity.
Table 2.
Above- and under-ground biomass yield [g] for sunflowers and rapeseed cultivated in MIBA or reference soil (Sref and Rref) with SD in brackets.
The main fraction of the biomass was found in the above-ground biomass irrespective of the cultivation conditions or plant type (Table 2). However, the above-ground biomass was significantly higher for the control plants, Sref, than for the sunflowers grown in MIBA, which was due to the fact that the MIBA plants dried out and stopped growing. Both the heights and the distances between the plants in Rref and RF were similar, but the total biomass was approximately 3 times larger in the control plants, Rref (Figure 2b and Table 2). The ocular inspection confirmed that both the above- and under-ground biomass of the RF plants was weaker than that of the Rref plants. This indicates that although the taproots of rapeseed developed better than those of the sunflowers, their growth was still restricted in MIBA. There are likely several reasons for this, and except for the higher bulk density of MIBA (Table 1), which can inhibit root growth [41], another major difference was the particle size distribution (Figure 3). MIBA contains a higher fraction of larger particles, which is well known to give lower water- and nutrient-holding capacities. At harvest, it was noted that the reference soil contained more water than the MIBA samples, despite the same amount of water having percolated through all cultivation boxes. This was also noted during the growing season, when the top layer of the MIBA appeared slightly drier than the reference soil. MIBA is known to be a draining material, and much of the added water probably percolated faster through the cultivation boxes and collected in the lower parts, where the roots were unable to reach it, while the water in the reference boxes was more evenly distributed. Additionally, the organic matter (TOC) in MIBA was low (Table 1), which further affects this. Mixing the MIBA with organic matter would likely give a better material for cultivation, as the presence of organic matter not only improves the nutrient- and water-holding capacities but also provides better access to nutrients [42]. The fraction of smaller particles will increase, and organic matter can also protect plants from absorbing too much salt [42]. The latter might be of high importance in MIBA (Table 1).
Figure 3.
Cumulative particle size distribution curves for original reference soil and MIBA.
Rosenkranz et al. added compost in their study, but unfortunately, they did not include any cultivation in reference soil [25]. The mass above ground per rapeseed plant (Brassica n.) in their study was, however, consistent with the Rref in this study, showing the effect of the addition of organic matter to MIBA. However, the higher contents of especially Cu, Pb, and Zn in the conventional MIBA used here are also likely to have contributed to the inferior growth rate [37]. Cultivation of rapeseed in sandy soil contaminated with Zn and Pb in amounts corresponding to those in the MIBA used here resulted in 30% less above-ground biomass, indicating that the contamination level and the density of the cultivation material both have an impact [43].
3.3. Metal Accumulation in Plants
Although most of the biomass was present in the parts above ground, the highest metal concentrations were generally found in the roots for both plant types (Table 3). This was particularly true for minor and trace elements such as Cu, Pb, and Zn in RF (Table 3). Accumulation of Pb and Zn in rapeseed roots has previously been reported and suggested to be caused by the formation of low mobility compounds between the heavy metals and organic substances, as the metals enter the plasma in the roots [29,43]. For RwoF, the distribution could not be evaluated due to insufficient biomass. The distribution trend was weaker for the sunflowers, likely due to the limited germination of the MIBA plants. Earlier research has indicated that the Zn content is highest in the leaves of the sunflower [18]. However, this was not found in the present study, neither in the sunflowers planted in MIBA nor in those planted in the reference soil (Table 3). The metal contents were generally higher in the rapeseed plants grown in MIBA than in the sunflowers (Table 3). For instance, the Zn content in the below-ground biomass was about 10 times higher for the rapeseed plants than for the sunflowers (Table 3). This is probably because the root systems of rapeseed are more suitable for cultivation in MIBA than those of sunflowers, as discussed above, although the effects of potential water and nutrient shortages are also likely to influence this.
Table 3.
Total amounts in parts above ground and roots from sunflower and rapeseed cultivated in MIBA, with or without fertilizer, and in reference soil. All values are shown in mg/kg DS.
When calculating the bioaccumulation coefficients (BAC), i.e., the concentration of metal in plant parts above ground divided by the metal concentration in original MIBA, it is obvious that none of the used plant types should be classified as hyperaccumulators for any of the elements studied, as BAC < 1. On the other hand, BAC might not be optimal for evaluating the extraction efficiency in this material, as MIBA is more complex and generally contains higher concentrations of metals than polluted soils. However, the results indicate that for most elements, the higher the pollutant content in the solid material, the higher the content in the plants. The Zn concentration was approximately 5 times higher in the above-ground sunflower parts cultivated in MIBA than in the reference soil, even though the growth was limited (Table 3). This was even more distinct for rapeseed, where the Zn concentrations detected in the RwF roots were almost 20 times higher than those in the Rref roots (Table 3). The highest enrichments compared to the reference cultivation were found for Cu (50 times), and for Sn and Pb (25 times). Marchiol et al. reported that the Zn content in rapeseed tissues cultivated in polluted soil substrate was 100 times higher than in reference soil, while the enrichment for elements like Cu and Pb was one order of magnitude higher [43]. This indicates that if the cultivation properties of MIBA are improved by, e.g., the addition of organic matter [42], the extraction efficiency in rapeseed probably will increase.
3.4. Metal Contents in MIBA after Harvest
Although the enrichment of several elements in the plants was significant, the observed decreases in the MIBA samples were limited (Figure 4). This was also confirmed by the low BACs, as calculated above. Except for elements that to a large extent form water-soluble compounds (Ca, K, Na, and S), i.e., are washed out during watering, no noteworthy changes in the MIBA composition were identified. Naturally, this was partly due to the limited growth, and better cultivation conditions would most likely result in higher extraction rates. Regardless, cultivation in MIBA should primarily be seen as a way to recover unutilized metals, rather than as a way to efficiently remediate the material, as this would take many years due to the complex contamination situation [22]. However, phytoextraction would likely decrease metal mobility, consequently enabling further utilization alternatives, even though metal compounds would still be present.
Figure 4.
Contents (mg/kg DS) of selected elements in MIBA before and after cultivation of sunflowers and rapeseed.
3.5. Potential for Recovery of Zn and Other Metals from MIBA
From the results, it is obvious that the direct cultivation of sunflowers and rapeseed in conventional MIBA is not straightforward. However, although both growth and metal reduction were limited, a glimpse of the potential for using plants grown in MIBA as a metal-enriched biofuel is shown. Plants from phytoextraction could be incinerated in WtE plants, and the metals could be recovered from the fly ash, as discussed in the Introduction. Calculations assuming 6% of fly ash mass after incineration of rapeseed plants [44] provide ash with interesting quantities of Co, Cu, Pb, and Zn, for which the estimated amounts are comparable to workable ores (Table 4) [45]. Additionally, Co has been identified by the EC as a critical raw material [1]. However, for this to be interesting on a larger scale, metal enrichment in these plants must increase. In addition to improving important cultivation parameters of MIBA, such as the particle size distribution and the content of organic matter, the choice of more suitable plants for phytoextraction in this kind of material is urgent. As the metal content in MIBA is high, it would probably be more efficient to use perennial plants, as one cultivation season is too short to reach efficient extraction. For instance, plants in the salix family could be an alternative, as they are known to grow in highly polluted soils in the climate of northern Europe and have a high capacity for extracting Zn and other metals [20,21,22]. In a study using Salix caprea, Zn was enriched in the leaves, while Co, Cu, and Ni had mainly accumulated in the roots [20]. By collecting the leaves regularly, Zn can be recovered continuously, whereas metals mainly enriched in the roots can only be recovered when the whole plant is harvested. An additional advantage with plants in the salix family is their high biomass; this makes them suitable for incineration, which makes them interesting from an energy perspective as well, as they may be capable of displacing fossil fuels.
Table 4.
Calculated indicative contents of Co, Cu, Pb, and Zn in ash after incineration of RF plants. For comparison, contents in workable ores are shown [45]. All amounts are given in %.
4. Conclusions
This paper discusses for the first time, to the knowledge of the authors, the potential of cultivating annual plants in conventional MIBA in order to generate metal-enriched biomass fuel, which is to be used for metal recovery.
The results show that cultivation of rapeseed and sunflowers in conventional MIBA is challenging. The main explanations for this are the inhibited root development and low water- and nutrient-holding capacities caused by unsuitable properties such as the high fraction of large particles, the low TOC content, and the high density of MIBA. Rapeseed plants with more developed taproots grew better than sunflowers, but the addition of fertilizer was crucial.
There was an accumulation of numerous metals in both plant types, and the highest metal content was generally found in the roots. Calculations indicated ash from rapeseed root incineration contained 2% Zn, and the contents of Co, Cu, and Pb were comparable to those in workable ores. The metal reduction in MIBA after cultivation was limited.
The results indicate that to promote phytoextraction on MIBA, the material itself should be refined, but also the choice of plants is important. Perennials with roots that efficiently penetrate the compact MIBA material, e.g., members of the salix family, are theoretically suitable. This initial study shows that cultivation in and phytoextraction on MIBA is possible, but further research is needed.
Author Contributions
Conceptualization, K.K.F., V.E. and D.D.; Investigation, K.K.F.; Methodology, K.K.F., V.E. and D.D.; Resources, K.K.F., V.E. and D.D.; Visualization, K.K.F.; Writing—original draft, K.K.F. All authors have read and agreed to the published version of the manuscript.
Funding
This research was funded by “the Ash program”, managed by Energiforsk (2018-113) and Avfall Sverige (F226), grant number (2018-113) and (F226).
Institutional Review Board Statement
Not applicable.
Informed Consent Statement
Not applicable.
Acknowledgments
This work was supported by the “Ash program”, managed by Energiforsk (2018-113) and Avfall Sverige (F226), which is gratefully acknowledged. Sandra Dassoum is recognized for her assistance with cultivation management.
Conflicts of Interest
The authors declare no conflict of interest.
References
- European Commission. Report on the Critical Raw Materials for the EU, Report of the Ad Hoc Working Group on Defining Critical Raw Materials; European Commission: Brussels, Belgium, 2014; p. 41. [Google Scholar]
- Avfall Sverige. Svensk Avfallshantering 2018; Avfall Sverige: Malmö, Sweden, 2019. [Google Scholar]
- Blasenbauer, D.; Huber, F.; Lederer, J.; Quina, M.; Blanc-Biscarat, D.; Bogush, A.; Bontempi, E.; Blondeau, J.; Chimenos, J.M.; Dahlbo, H.; et al. Legal situation and current practice of waste incineration bottom ash utilisation in Europe. Waste Manag. 2020, 102, 868–883. [Google Scholar] [CrossRef] [PubMed]
- Arickx, S.; Van Gerven, T.; Vandecasteele, C. Accelerated carbonation for treatment of MSWI bottom ash. J. Hazard. Mater. 2006, 137, 235–243. [Google Scholar] [CrossRef]
- Freyssinet, P.; Piantone, P.; Azaroual, M.; Itard, Y.; Clozel-Leloup, B.; Guyonnet, D.; Baubron, J. Chemical changes and leachate mass balance of municipal solid waste bottom ash submitted to weathering. Waste Manag. 2002, 22, 159–172. [Google Scholar] [CrossRef]
- Klymko, T.; Dijkstra, J.J.; Van Zomeren, A. Guidance Document on Hazard Classification of MSWI Bottom Ash in ECN-E-17-024; Confederation of European Waste-to-Energy Plants: Düsseldorf, Germany, 2017. [Google Scholar]
- Tiberg, C.; Sjöstedt, C.; Fedje, K.K. Speciation of copper and zinc in MSWI bottom ash studied by XAS and geochemical modelling. Waste Manag. 2021, 119, 389–398. [Google Scholar] [CrossRef] [PubMed]
- Fedje, K.K.; Strömvall, A.-M. Enhanced soil washing with copper recovery using chemical precipitation. J. Environ. Manag. 2019, 236, 68–74. [Google Scholar] [CrossRef]
- Barbaroux, R.; Plasari, E.; Mercier, G.; Simonnot, M.-O.; Morel, J.L.; Blais, J. A new process for nickel ammonium disulfate production from ash of the hyperaccumulating plant Alyssum murale. Sci. Total Environ. 2012, 423, 111–119. [Google Scholar] [CrossRef]
- Delplanque, M.; Collet, S.; Del Gratta, F.; Schnuriger, B.; Gaucher, R.; Robinson, B.; Bert, V. Combustion of Salix used for phytoextraction: The fate of metals and viability of the processes. Biomass-Bioenergy 2013, 49, 160–170. [Google Scholar] [CrossRef]
- Rasmusen, E. Sambehandling Af RGA Og Scrubber Væske Fra Forbrændingsanlæg Med HALOSEP Processen, Miljøprojekt Nr. 1648; Danish EPA: Copenhagen, Denmark, 2015. [Google Scholar]
- Schlumberger, S.; Bühler, J. Metal Recovery in Fly and Filter Ash in Waste to Energy Plants. In Ash 2012; Strömberg, B., Ed.; Värmeforsk AB: Stockholm, Sweden, 2012. [Google Scholar]
- Fedje, K.K.; Andersson, S. Zinc recovery from Waste-to-Energy fly ash—A pilot test study. Waste Manag. 2020, 118, 90–98. [Google Scholar] [CrossRef]
- Odjegba, V.J.; Fasidi, I.O. Phytoremediation of heavy metals by Eichhornia crassipes. Environmentalist 2007, 27, 349–355. [Google Scholar] [CrossRef]
- Zhao, L.; Yuan, L.; Wang, Z.; Lei, T.; Yin, X. Phytoremediation of zinc-contaminated soil and zinc-biofortification for human nutrition. In Phytoremediation and Biofortification; Yin, X., Yuan, L., Eds.; Springer Briefs in Molecular Science: Dordrecht, The Netherlands, 2012; pp. 33–57. [Google Scholar]
- Wrobel, S. Sunflower yields as an indicator of zinc polluted soil detoxification. Fresenius Environ. Bull. 2010, 19, 330–334. [Google Scholar]
- Belouchrani, A.S.; Mameri, N.; Abdi, N.; Grib, H.; Lounici, H.; Drouiche, N. Phytoremediation of soil contaminated with Zn using Canola (Brassica napus L). Ecol. Eng. 2016, 95, 43–49. [Google Scholar] [CrossRef]
- Adesodun, J.K.; Atayese, M.O.; Agbaje, T.A.; Osadiaye, B.A.; Mafe, O.F.; Soretire, A. Phytoremediation Potentials of Sunflowers (Tithonia diversifolia and Helianthus annuus) for Metals in Soils Contaminated with Zinc and Lead Nitrates. Water Air Soil Pollut. 2009, 207, 195–201. [Google Scholar] [CrossRef]
- Fulekar, M.H. Phytoremediation of Heavy Metals by Helianthus annuus in Aquatic and Soil environment. Int. J. Curr. Microbiol. Appl. Sci. 2016, 5, 392–404. [Google Scholar] [CrossRef]
- Varga, C.; Marian, M.; Mihaly-Cozmuta, L.; Mihaly-Cozmuta, A.; Mihalescu, L. Evaluation of the phytoremediation potential of the Salix caprea in tailing ponds. An. Univ. Oradea Fasc. Biol. 2009, 16, 141. [Google Scholar]
- Hauptvogl, M.; Kotrla, M.; Prčík, M.; Žaneta, P.; Kováčik, M.; Lošák, T. Phytoremediation Potential of Fast-Growing Energy Plants: Challenges and Perspectives—A Review. Pol. J. Environ. Stud. 2019, 29, 505–516. [Google Scholar] [CrossRef] [Green Version]
- Pulford, I.D.; Watson, C. Phytoremediation of heavy metal-contaminated land by trees—A review. Environ. Int. 2003, 29, 529–540. [Google Scholar] [CrossRef]
- Bilski, J.; Jacob, D.; McLean, K.; McLean, E.; Soumaila, F.; Lander, M. Agro-toxicological aspects of coal fly ash (FA) phytoremediation by cereal crops: Effects on plant germination, growth and trace elements accumulation. Adv. Biores. 2012, 3, 121–129. [Google Scholar] [PubMed]
- Krgovic, R.; Trifković, J.; Milojković-Opsenica, D.; Manojlovic, D.; Markovic, M.; Mutić, J. Phytoextraction of metals by Erigeron canadensis L. from fly ash landfill of power plant “Kolubara”. Environ. Sci. Pollut. Res. 2015, 22, 10506–10515. [Google Scholar] [CrossRef]
- Rosenkranz, T.; Kisser, J.; Wenzel, W.W.; Puschenreiter, M. Waste or substrate for metal hyperaccumulating plants—The potential of phytomining on waste incineration bottom ash. Sci. Total Environ. 2017, 575, 910–918. [Google Scholar] [CrossRef]
- Renova, A.B. Jordprodukter. 2019. Available online: https://www.renova.se/foretag/produkter-och-tjanster/jordprodukter/ (accessed on 10 December 2019).
- Granngården, A.B. Promagna 11-5-18. 2019. Available online: https://www.granngarden.se/godsel-promagna-11-5-18-25-kg/p/1196440 (accessed on 10 December 2019).
- Kassas, H.; Sharaf, M.; Abdou, M.M.N. Phytoremediation of zinc and copper. J. Eniviron. Sci. 2003, 7, 323. [Google Scholar]
- Angelova, V. Potential of rapeseed (Brassica napus L.) for phytoremediation of soils contaminated with heavy metals. J. Environ. Prot. Ecol. 2017, 18, 468–478. [Google Scholar]
- Arm, M. Handbook—Bottom Ash in Road and Public Construction (In Swedish; Handbok—Slaggrus I Väg—Och Anläggning-Sarbeten); Institue, S.G., Ed.; Swedish Geotechnical Institute: Linköping, Sweden, 2006. [Google Scholar]
- Serti, S.; Löfgren, M. Guidance for Classification of Incinceration Residues Using Calculation 2018:13 (In Swedish; Vägledning for Klassificering Av Förbränningsrester Med Beräkningsmetoder); Management, S.A.o.W., Ed.; Swedish Association of Waste Management: Malmö, Sweden, 2018. [Google Scholar]
- Tessier, A.; Campbell, P.; Bisson, M. Sequential extraction procedure for the speciation of particulate trace metals. Anal. Chem. 1979, 51, 844–851. [Google Scholar] [CrossRef]
- ALS Scandinavia AB. Sequential Extraction, version 20-01-2018; ALS Scandinavia AB: Luleå, Sweden, 2018; Available online: www.alsglobal.se (accessed on 20 January 2018)In Swedish.
- Ozolinčius, R.; Varnagirytė-Kabašinskienė, I.; Stakėnas, V.; Mikšys, V. Effects of wood ash and nitrogen fertilization on Scots pine crown biomass. Biomass-Bioenergy 2007, 31, 700–709. [Google Scholar] [CrossRef]
- Zhang, Z.; He, F.; Zhang, Y.; Yu, R.; Li, Y.; Zheng, Z.; Gao, Z. Experiments and modelling of potassium release behavior from tablet biomass ash for better recycling of ash as eco-friendly fertilizer. J. Clean. Prod. 2018, 170, 379–387. [Google Scholar] [CrossRef]
- Drott, A.; Anderson, S.; Eriksson, H. Rules and Recommendations for Forest Fuel Extraction and Compensation Action, Report 2019/14 (In Swedish: Regler Och Rekommendationer för Skogsbränsleuttag Och Kompensationsåtgärder, Rapport 2019/14); Skogsstyrelsen, S.F.A., Ed.; Swedish Forest Agency: Jönköping, Sweden, 2019. [Google Scholar]
- Wong, M.H.; Bradshaw, A.D. A comparison of the toxicity of heavy metals, using root elongation of rye grass, lolium perenne. New Phytol. 1982, 91, 255–261. [Google Scholar] [CrossRef]
- Oosterbaan, R.J. Cropo tolerance to soil salinity, statistical analysis of data measured in farm lands. Int. J. Agric. Sci. 2018, 3, 57–66. [Google Scholar]
- Küpper, H.; Zhao, F.-J.; McGrath, S.P. Cellular Compartmentation of Zinc in Leaves of the Hyperaccumulator Thlaspi caerulescens. Plant Physiol. 1999, 119, 305–312. [Google Scholar] [CrossRef] [Green Version]
- Yara, U.K. Phosphorus Deficiency-Oilseed Rape. 2020. Available online: https://www.yara.co.uk/crop-nutrition/oilseed-rape/nutrient-deficiencies-oilseed-rape/phosphorus-deficiency-oilseed-rape/ (accessed on 7 April 2020).
- Magdoff, F.; van Es, H. Building Soils for Better Crops Sustainable Soil Management, 3rd ed.; Handbook Series Book 10th ed.; Sustainable Agriculture Research and Education (SARE) and USDA’s National Institute of Food and Agriculture, University of Maryland and University of Vermont: Brentwood, CA, USA, 2019. [Google Scholar]
- Bot, A.; Benites, J. The Importance of Soil Organic Matter Key to Drought-Resistant Soil and Sustained Food Production; Food and Agriculture Organization of the United Nations: Rome, Italy, 2005. [Google Scholar]
- Marchiol, L.; Assolari, S.; Sacco, P.; Zerbi, G. Phytoextraction of heavy metals by canola (Brassica napus) and radish (Raphanus sativus) grown on multicontaminated soil. Environ. Pollut. 2004, 132, 21–27. [Google Scholar] [CrossRef]
- Strömberg, B.; Svärd, S.H. Handbook for Fuel A08-819 (In Swedish: Bränslehandboken A08-819); Strömberg, B., Ed.; Värmeforsk: Stockholm, Sweden, 2012. [Google Scholar]
- Fennoscandian Mineral Deposits Application. Ore Deposits Database and Maps; Geological Survey of Finland: Espoo, Finland, 2020. [Google Scholar]
Publisher’s Note: MDPI stays neutral with regard to jurisdictional claims in published maps and institutional affiliations. |
© 2021 by the authors. Licensee MDPI, Basel, Switzerland. This article is an open access article distributed under the terms and conditions of the Creative Commons Attribution (CC BY) license (https://creativecommons.org/licenses/by/4.0/).



