Mapping Soil Biodiversity in Europe and the Netherlands
Abstract
1. Introduction
2. Materials and Methods
2.1. Data Sources: Netherlands
Intercept + a · Loess + b · Alluvial Clay + c · Peat + d · Sand + e · Dairy grass +
f · Arable + g · Semi-natural grass + h · Heather + i · Mixed forest +
j · Longitude + k · Longitude2 + l · Latitude + m · Latitude2 + n · SOM + o · SOM2 +
p · pH + q · pH2 + r · Clay-particles + s · Clay-particles2 + t · Pal + u · Pal2
2.2. Data Sources: Europe
2.3. Modelling and Mapping Soil Biodiversity: Netherlands
2.4. Modelling and Mapping Soil Biodiversity: Europe
2.5. Verification of Spatially Explicit Predictions: A Regional Study in the Netherlands
2.6. Verification of Predictions on Soil Biodiversity: Europe
3. Results and Discussion
3.1. Netherlands
3.2. Verification of Predictions of Soil Biological Attributes (Netherlands)
3.3. Europe
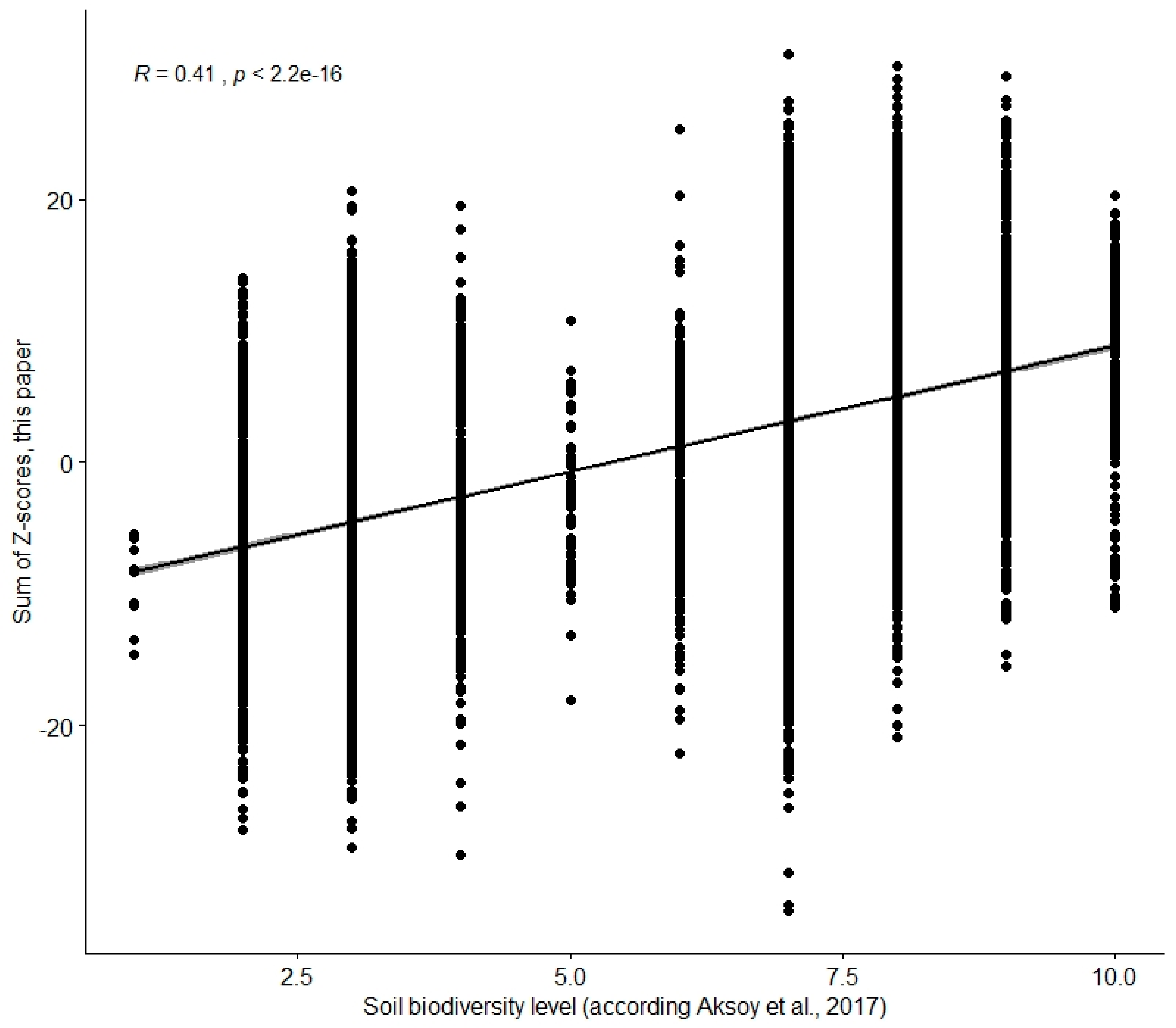
3.4. Comparison of Models for Assessing Soil Biodiversity (Europe)
3.5. Reducing Uncertainty in Modelling and Mapping
4. Conclusions and Prospective
Supplementary Materials
Author Contributions
Funding
Acknowledgments
Conflicts of Interest
References
- Bloem, J.; Breure, A.M. Microbial indicators. In Bioindicators and Biomonitors, Trace Metals and Other Contaminants in the Environment; Markert, B., Breure, A.M., Zechmeister, H., Eds.; Elsevier: Amsterdam, The Netherlands, 2003; Volume 6, pp. 259–282. [Google Scholar]
- Fierer, N.; Strickland, M.S.; Liptzin, D.; Bradford, M.A.; Cleveland, C.C. Global patterns in belowground communities. Ecol. Lett. 2009, 12, 1238–1249. [Google Scholar] [CrossRef] [PubMed]
- Baveye, P.C.; Baveye, J.; Gowdy, J. Soil “ecosystem” services and natural capital: Critical appraisal of research on uncertain ground. Front. Environ. Sci. 2016, 4, 41. [Google Scholar] [CrossRef]
- Dominati, E.; Patterson, M.; Mackay, A. A framework for classifying and quantifying the natural capital and ecosystem services of soils. Ecol. Econ. 2010, 69, 1858–1868. [Google Scholar] [CrossRef]
- Mulder, C.; Boit, A.; Bonkowski, M.; De Ruiter, P.C.; Mancinelli, G.; Van der Heijden, M.G.A.; Van Wijnen, H.J.; Vonk, A.; Rutgers, M. A belowground perspective on Dutch agroecosystems: How soil organisms interact to support ecosystem services. Adv. Ecol. Res. 2011, 44, 277–357. [Google Scholar]
- Robinson, D.A.; Hockley, N.; Cooper, D.M.; Emmett, B.A.; Keith, A.M.; Lebron, I.; Reynolds, B.; Tipping, E.; Tye, A.M.; Watts, C.W.; et al. Natural capital and ecosystem services, developing an appropriate soils framework as a basis for valuation. Soil Biol. Biochem. 2013, 57, 1023–1033. [Google Scholar] [CrossRef]
- Bouma, J. Soil science contributions towards sustainable development goals and their implementation: Linking soil functions with ecosystem services. J. Plant Nutr. Soil Sci. 2014, 177, 111–120. [Google Scholar] [CrossRef]
- Greiner, L.; Nussbaum, M.; Papritz, A.; Zimmermann, S.; Gubler, A.; Grêt-Regamey, A.; Keller, A. Uncertainty indication in soil function maps—Transparent and easy-to-use information to support sustainable use of soil resources. Soil 2018, 4, 123–139. [Google Scholar] [CrossRef]
- Van Leeuwen, J.P.; Saby, N.P.A.; Jones, A.; Louwagie, G.; Micheli, E.; Rutgers, M.; Schulte, R.P.O.; Spiegel, H.; Toth, G.; Creamer, R.E. Gap assessment in current soil monitoring networks across Europe for measuring soil functions. Environ. Res. Lett. 2017, 12, 124007. [Google Scholar] [CrossRef]
- Faber, J.H.; Creamer, R.E.; Mulder, C.; Römbke, J.; Rutgers, M.; Paulo Sousa, J.; Stone, D.; Griffiths, B.S. The practicalities and pitfalls of establishing a policy-relevant and cost-effective soil biological monitoring scheme. Integr. Environ. Assess. Manag. 2013, 9, 276–284. [Google Scholar] [CrossRef]
- Rutgers, M.; Schouten, A.J.; Bloem, J.; Van Eekeren, N.; De Goede, R.G.M.; Jagers op Akkerhuis, G.A.J.M.; Van der Wal, A.; Mulder, C.; Brussaard, L.; Breure, A.M. Biological measurements in a nationwide soil monitoring network. Eur. J. Soil Sci. 2009, 60, 820–832. [Google Scholar] [CrossRef]
- Millennium Ecosystem Assessment. Ecosystems and Human Well-Being: Biodiversity Synthesis; Millennium Ecosystem Assessment; World Resources Institute: Washington, DC, USA, 2005. [Google Scholar]
- COM 231. Communication from the Commission to the Council, the European Parliament, the European Economic and Social Committee and the Committee of the Regions—Thematic Strategy for Soil Protection; SEC(2006)620, SEC(2006)1165; European Commission: Bruxelles, Belgium, 2006; 12p. [Google Scholar]
- Turbé, A.; De Toni, A.; Benito, P.; van der Putten, W.H.; Mudgal, S.; Lavelle, P.; Ruiz, N. Soil Biodiversity: Functions, Threats and Tools for Policy Makers; Bio Intelligence Service, IRD, and NIOO, Report for European Commission; DG Environment: Brussels, Belgium, 2010; 250p. [Google Scholar]
- Gardi, C.; Jeffery, S.; Saltelli, A. An estimate of potential threats levels to soil biodiversity in EU. Glob. Chang. Biol. 2013, 19, 1538–1548. [Google Scholar] [CrossRef] [PubMed]
- Tsiafouli, M.A.; Thébault, E.; Sgardelis, S.P.; de Ruiter, P.C.; van der Putten, W.H.; Birkhofer, K.; Hemerik, L.; de Vries, F.T.; Bardgett, R.D.; Brady, M.V.; et al. Intensive agriculture reduces soil biodiversity across Europe. Glob. Chang. Biol. 2015, 21, 973–985. [Google Scholar] [CrossRef] [PubMed]
- Lemanceau, P.; Creamer, R.; Griffiths, B.S. Soil biodiversity and ecosystem functions across Europe: A transect covering variations in bio-geographical zones, land use and soil properties. Appl. Soil Ecol. 2016, 97, 1–2. [Google Scholar] [CrossRef]
- Van der Meulen, S.; Maring, L. Providing Support in Relation to the Implementation of the EU Soil Thematic Strategy: Mapping and Assessment of Ecosystems and Their Services; Soil Ecosystems; Contract ENV.D.1/SER/2016/0041. Report 1.2; DG Environment: Brussels, Belgium, 2018. [Google Scholar]
- Burkhard, B.; Santos-Martin, F.; Nedkov, S.; Maes, J. An operational framework for integrated Mapping and Assessment of Ecosystems and their Services (MAES). One Ecosyst. 2018, 3, e22831. [Google Scholar] [CrossRef]
- Griffiths, R.I.; Thomson, B.C.; Plassart, P.; Gweon, H.S.; Stone, D.; Creamer, R.E.; Lemanceau, P.; Bailey, M.J. Mapping and validating predictions of soil bacterial biodiversity using European and national scale datasets. Appl. Soil Ecol. 2016, 97, 61–68. [Google Scholar] [CrossRef]
- Rutgers, M.; Orgiazzi, A.; Gardi, C.; Römbke, J.; Jänsch, S.; Keith, A.M.; Neilson, R.; Boag, B.; Schmidt, O.; Murchie, A.K.; et al. Mapping earthworm communities in Europe. Appl. Soil Ecol. 2016, 97, 98–111. [Google Scholar] [CrossRef]
- Mason, N.W.H.; Mouillot, D.; Lee, W.G.; Wilson, J.B. Functional richness, functional evenness and functional divergence: The primary components of functional diversity. Oikos 2005, 111, 112–118. [Google Scholar] [CrossRef]
- Pavoine, S.; Bonsall, M.B. Measuring biodiversity to explain community assembly: A unified approach. Biol. Rev. 2011, 86, 792–812. [Google Scholar] [CrossRef]
- Pereira, H.M.; Ferrier, S.; Walters, M.; Geller, G.N.; Jongman, R.H.G.; Scholes, R.J.; Bruford, M.W.; Brummitt, N.; Butchart, S.H.M.; Cardoso, A.C.; et al. Essential biodiversity variables. Science 2013, 339, 277–278. [Google Scholar] [CrossRef]
- Vogel, H.J.; Bartke, S.; Daedlow, K.; Helming, K.; Kögel-Knabner, I.; Lang, B.; Rabot, E.; Russell, D.; Stöβel, B.; Weller, U.; et al. A systemic approach for modelling soil functions. Soil 2018, 4, 83–92. [Google Scholar] [CrossRef]
- Bünemann, E.K.; Bongiorno, G.; Bai, Z.; Creamer, R.E.; De Deyn, G.; De Goede, R.; Fleskens, L.; Geissen, V.; Kuyper, T.W.; Mäder, P.; et al. Soil quality—A critical review. Soil Biol. Biochem. 2018, 120, 105–125. [Google Scholar] [CrossRef]
- Schouten, A.J.; Brussaard, L.; De Ruiter, P.C.; Siepel, H.; Van Straalen, N.M. Een Indicatorsysteem Voor Life Support Functies Van de Bodem in Relatie Tot Biodiversiteit; Report 712910005; RIVM: Bilthoven, The Netherlands, 1997. [Google Scholar]
- Rutgers, M.; Van Wijnen, H.J.; Schouten, A.J.; Mulder, C.; Kuiten, A.M.P.; Brussaard, L.; Breure, A.M. A method to assess ecosystem services developed from soil attributes with stakeholders and data of four arable farms. Sci. Total Environ. 2012, 415, 39–48. [Google Scholar] [CrossRef] [PubMed]
- Van Wijnen, H.J.; Rutgers, M.; Schouten, A.J.; Mulder, C.; De Zwart, D.; Breure, A.M. How to calculate the spatial distribution of ecosystem services across the Netherlands. Sci. Total Environ. 2012, 415, 49–55. [Google Scholar] [CrossRef] [PubMed]
- Jeffery, S.; Gardi, C.; Jones, A.; Montanarella, L.; Marmo, L.; Miko, L.; Ritz, K.; Peres, G.; Römbke, J.; Van der Putten, W. European Atlas of Soil Biodiversity; European Commission, Publications Office of the European Union: Luxembourg, 2010; 128p. [Google Scholar]
- Orgiazzi, A.; Bardgett, R.D.; Barrios, E.; Behan-Pelletier, V.; Briones, M.J.I.; Chotte, J.-L.; De Deyn, G.B.; Eggleton, P.; Fierer, N.; Fraser, T.; et al. Global Soil Biodiversity Atlas; European Commission, Publications Office of the European Union: Luxembourg, 2016. [Google Scholar]
- Aksoy, E.; Louwagie, G.; Gardi, C.; Gregor, M.; Schröder, C.; Löhnertz, M. Assessing soil biodiversity potentials in Europe. Sci. Total Environ. 2017, 589, 236–249. [Google Scholar] [CrossRef]
- Stone, D.; Blomkvist, P.; Bohse Hendriksen, N.; Bonkowski, M.; Bracht Jørgensen, H.; Carvalho, F.; Dunbar, M.B.; Gardi, C.; Geisen, S.; Griffiths, R.; et al. A method of establishing a transect for biodiversity and ecosystem function monitoring across Europe. Appl. Soil Ecol. 2016, 97, 3–11. [Google Scholar] [CrossRef]
- Debeljak, M.; Kocev, D.; Towers, W.; Jones, M.; Griffiths, B.S.; Hallett, P.D. Potential of multi-objective models for risk-based mapping of the resilience characteristics of soils: Demonstration at a national level. Soil Use Manag. 2009, 25, 66–77. [Google Scholar] [CrossRef]
- Terrat, S.; Horrigue, W.; Dequietd, S.; Saby, N.P.A.; Lelièvre, M.; Nowak, V.; Tripied, J.; Régnier, T.; Jolivet, C.; Arrouays, D.; et al. Mapping and predictive variations of soil bacterial richness across France. PLoS ONE 2017, 12, e0186766. [Google Scholar]
- Dequiedt, S.; Saby, N.P.A.; Lelievre, M.; Jolivet, C.; Thioulouse, J.; Toutain, B.; Arrouays, D.; Bispo, A.; Lemanceau, P.; Ranjard, L. Biogeographical patterns of soil molecular microbial biomass as influenced by soil characteristics and management. Glob. Ecol. Biogeogr. 2011, 20, 641–652. [Google Scholar] [CrossRef]
- Tóth, G.; Gardi, C.; Bódis, K.; Ivits, É.; Aksoy, E.; Jones, A.; Jeffrey, S.; Petursdottir, T.; Montanarella, L. Continental-scale assessment of provisioning soil functions in Europe. Ecol. Process. 2013, 2, 32. [Google Scholar] [CrossRef]
- Banwart, S.; Menon, M.; Bernasconi, S.; Bloem, J.; Blum, W.E.H.; Souza, D.M.D.; Davidsdotir, B.; Duffy, C.; Lair, G.J.; Kram, P.; et al. Soil processes and functions across an international network of Critical Zone Observatories: Introduction to experimental methods and initial results. C. R. Geosci. 2012, 344, 758–772. [Google Scholar] [CrossRef]
- Schulte, R.P.O.; Creamer, R.E.; Donnellan, T.; Farrelly, N.; Fealy, R.; O’Donoghue, C.; O’hUallachain, D. Functional land management: A framework for managing soil-based ecosystem services for the sustainable intensification of agriculture. Environ. Sci. Policy 2014, 38, 45–58. [Google Scholar] [CrossRef]
- Schulte, R.P.O.; Bampa, F.; Bardy, M.; Coyle, C.; Fealy, R.; Gardi, C.; Ghaley, B.; Jordan, P.; Laudon, H.; O’Dononghue, C.; et al. Making the most of our land: Managing soil functions from local to continental scale. Front. Environ. Sci. 2015, 3, 81. [Google Scholar] [CrossRef]
- McGullagh, P.; Nelder, J.A. Generalized Linear Models, 2nd ed.; Chapman and Hall: London, UK, 1989. [Google Scholar]
- Schwartz, G. Estimating the dimension of a model. Ann. Stat. 1978, 6, 461–464. [Google Scholar] [CrossRef]
- Martins da Silva, P.; Carvalho, F.; Dirilgen, T.; Stone, D.; Creamer, R.; Bolger, T.; Sousa, J.P. Traits of collembolan life-form indicate land use types and soil properties across an European transect. Appl. Soil Ecol. 2016, 97, 69–77. [Google Scholar] [CrossRef]
- Hendriksen, N.B.; Creamer, R.E.; Stone, D.; Winding, A. Soil exo-enzyme activities across Europe—The influence of climate, land-use and soil properties. Appl. Soil Ecol. 2016, 97, 44–48. [Google Scholar] [CrossRef]
- Creamer, R.E.; Stone, D.; Berry, P.; Kuiper, I. Measuring respiration profiles of soil microbial communities across Europe using MicroResp™ method. Appl. Soil Ecol. 2016, 97, 36–43. [Google Scholar] [CrossRef]
- Dirilgen, T.; Arroyo, J.; Dimmers, W.J.; Faber, J.; Stone, D.; Martins da Silva, P.; Carvalho, F.; Schmelz, R.; Griffiths, B.S.; Francisco, R.; et al. Mite community composition across a European transect and its relationships to variation in other components of soil biodiversity. Appl. Soil Ecol. 2016, 97, 86–97. [Google Scholar] [CrossRef]
- Rutgers, M.; Wouterse, M.; Drost, S.M.; Breure, A.M.; Mulder, C.; Stone, D.; Creamer, R.E.; Winding, A.; Bloem, J. Monitoring soil bacteria with community-level physiological profiles using Biolog™ ECO-plates in the Netherlands and Europe. Appl. Soil Ecol. 2016, 97, 23–35. [Google Scholar] [CrossRef]
- Wagg, C.; Bender, S.F.; Widmer, F.; Van Der Heijden, M.G.A. Soil biodiversity and soil community composition determine ecosystem multifunctionality. Proc. Natl. Acad. Sci. USA 2014, 111, 5266–5270. [Google Scholar] [CrossRef]
- Ritz, K.; Black, H.I.J.; Campbell, C.D.; Harris, J.A.; Wood, C. Selecting biological indicators for monitoring soils: A framework for balancing scientific and technical opinion to assist policy development. Ecol. Ind. 2009, 9, 1212–1221. [Google Scholar] [CrossRef]
- ESDAC. Available online: http://esdac.jrc.ec.europa.eu/content/topsoil-physical-properties-europe-based-lucas-topsoil-data (accessed on 4 June 2017).
- Lauber, C.L.; Hamady, M.; Knight, R.; Fierer, N. Pyrosequencing-based assessment of soil pH as a predictor of soil bacterial community structure at the continental scale. Appl. Environ. Microbiol. 2009, 75, 5111–5120. [Google Scholar] [CrossRef] [PubMed]
- Bahram, M.; Hildebrand, F.; Forslund, S.K.; Anderson, J.L.; Soudzilovskaia, N.A.; Bodegom, P.M.; Bengtsson-Palme, J.; Anslan, S.; Coelho, L.P.; Harend, H.; et al. Structure and function of the global topsoil microbiome. Nature 2018, 560, 233–237. [Google Scholar] [CrossRef] [PubMed]
- Creamer, C.A.; Jones, D.L.; Baldock, J.A.; Rui, Y.; Murphy, D.V.; Hoyle, F.C.; Farell, M. Is the fate of glucose-derived carbon more strongly driven by nutrient availability, soil texture, or microbial biomass size? Soil Biol. Biochem. 2016, 103, 201–212. [Google Scholar] [CrossRef]
- Richter, A.; Huallacháin, D.Ó.; Doyle, E.; Clipson, N.; Van Leeuwen, J.G.; Heuvelink, G.B.; Creamer, R.E. Linking diagnostic features to soil microbial biomass and respiration in agricultural grassland soil: A large-scale study in Ireland. Eur. J. Soil Sci. 2018, 69, 414–428. [Google Scholar] [CrossRef]
- Rutgers, M.; Van Wijnen, H.J.; Schouten, A.J.; Mulder, C.; De Zwart, D.; Posthuma, L.; Bloem, J.; Van Eekeren, N.; De Goede, R.G.M. Bodembiodiversiteit op de kaart van Noord-Brabant; Report 607063001; RIVM: Bilthoven, The Netherlands, 2012. [Google Scholar]
- Hazeu, G.W.; Schuiling, C.; Dorland, G.J.; Oldengarm, J.; Gijsbertse, H.A. Landelijk Grondgebruiksbestand Nederland versie 6 (LGN6). Vervaardiging, nauwkeurigheid engebruik; Report 2012; Alterra: Wageningen, The Netherlands, 2010. (In Dutch) [Google Scholar]
- McBratney, A.B.; Mendonça Santos, M.L.; Minasny, B. On digital soil mapping. Geoderma 2003, 117, 3–52. [Google Scholar] [CrossRef]
- Ballabio, C.; Panagos, P.; Monatanarella, L. Mapping topsoil physical properties at European scale using the LUCAS database. Geoderma 2016, 261, 110–123. [Google Scholar] [CrossRef]
- Boyd, J.W. The endpoint problem. Resources 2007, 165, 26–28. [Google Scholar]
- Lobry de Bruyn, L.A. Defining soil macrofauna composition and activity for biopedological studies: A case study on two soils in the western Australian wheatbelt. Aust. J. Soil Res. 1993, 31, 83–95. [Google Scholar]
- Posthuma, L.; Suter, G.W., II; Traas, T.P. Species Sensitivity Distributions in Ecotoxicology; CRC Press: Boca Raton, FL, USA, 2002. [Google Scholar]
- Römbke, J.; Breure, A.M.; Mulder, C.; Rutgers, M. Legislation and ecological quality assessment of soil. Implementation of ecological indication systems in Europe. Ecotox. Environ. Saf. 2005, 62, 201–210. [Google Scholar] [CrossRef]




| Attribute | Score Logical Sieve (X) | Fraction from Aggregated Score | Data Quality (r2) | Final Weight Factor (W) | Adaptation of Dataset |
|---|---|---|---|---|---|
| %Total Organic C | 3.24 | 0.50 | 1 | 2.12 | if TOC < 15% Biodiv_TOC = TOC else Biodiv_TOC = 15% |
| Total N | 3.24 | 0.167 | 1 | 0.71 | |
| Total P | 3.24 | 0.167 | 1 | 0.71 | |
| pH | 3.14 | 1 | 1 | 4.14 | Biodiv_pH = (6.5 − abs(pH − 6.5)) |
| %Clay | 3.13 | 1 | 1 | 4.13 | Biodiv_Clay = (25% − abs(Clay − 25%)) |
| Earthworm abundance | 3.49 | 0.50 | 0.252 | 1.87 | |
| Earthworm Shannon | 3.49 | 0.26 | 0.267 | 0.97 | |
| Earthworm Richness | 3.49 | 0.24 | 0.249 | 0.90 | |
| Microbial biomass | 3.40 | 1 | 0.821 | 4.22 | |
| Bacterial abundance | 3.46 | 0.49 | 0.372 | 1.88 | |
| Bacterial diversity | 3.46 | 0.51 | 0.381 | 1.96 | Rich_Bacterial = 1.0 − Functional_Rich |
| All Biological Attributes | Earthworm Richness | Earthworm Abundance | Enchytraeid Richness | Enchytraeid Abundance | Microarthropod Richness | Microarthropod Abundance | Nematode Richness | Nematode Abundance | Potential N-Mineralization | Potential C-Mineralization | Leucine Incorporation Rate | |
|---|---|---|---|---|---|---|---|---|---|---|---|---|
| mean (49) | −0.05 | −0.08 | −0.23 | 0.01 | 0.00 | −0.19 | −0.69 | 0.10 | 0.02 | 0.03 | −0.01 | 0.45 |
| standard deviation | 0.57 | 0.33 | 0.56 | 0.32 | 0.81 | 0.42 | 1.34 | 0.20 | 0.64 | 0.39 | 0.57 | 0.73 |
| minimum | −0.83 | −1.33 | −0.50 | −1.40 | −1.51 | −3.41 | −0.35 | −0.64 | −0.77 | −0.96 | −0.73 | |
| maximum | 0.52 | 1.04 | 1.14 | 3.51 | 0.51 | 1.81 | 0.41 | 2.19 | 0.63 | 1.32 | 2.26 | |
| ABS mean | 0.45 | 0.27 | 0.48 | 0.24 | 0.56 | 0.35 | 1.02 | 0.19 | 0.44 | 0.33 | 0.47 | 0.63 |
| mean agr.grass (29) | 0.02 | −0.18 | −0.41 | 0.03 | −0.15 | −0.27 | 0.12 | 0.15 | 0.17 | 0.04 | 0.03 | 0.67 |
| ABS mean agr.grass | 0.43 | 0.30 | 0.54 | 0.23 | 0.69 | 0.29 | 0.43 | 0.17 | 0.48 | 0.33 | 0.47 | 0.82 |
| mean forest (8) | −0.35 | 0.16 | -0.04 | −0.08 | 0.16 | −0.50 | −2.16 | −0.23 | −0.57 | −0.20 | −0.59 | 0.14 |
| ABS mean forest | 0.54 | 0.16 | 0.15 | 0.16 | 0.43 | 0.63 | 2.16 | 0.25 | 0.57 | 0.31 | 0.59 | 0.52 |
| mean heath (7) | −0.14 | 0.09 | 0.08 | −0.19 | 0.19 | 0.18 | −2.15 | 0.11 | −0.03 | 0.18 | −0.03 | −0.01 |
| ABS mean heath | 0.41 | 0.09 | 0.08 | 0.29 | 0.39 | 0.26 | 2.22 | 0.11 | 0.22 | 0.40 | 0.35 | 0.08 |
© 2019 by the authors. Licensee MDPI, Basel, Switzerland. This article is an open access article distributed under the terms and conditions of the Creative Commons Attribution (CC BY) license (http://creativecommons.org/licenses/by/4.0/).
Share and Cite
Rutgers, M.; van Leeuwen, J.P.; Vrebos, D.; van Wijnen, H.J.; Schouten, T.; de Goede, R.G.M. Mapping Soil Biodiversity in Europe and the Netherlands. Soil Syst. 2019, 3, 39. https://doi.org/10.3390/soilsystems3020039
Rutgers M, van Leeuwen JP, Vrebos D, van Wijnen HJ, Schouten T, de Goede RGM. Mapping Soil Biodiversity in Europe and the Netherlands. Soil Systems. 2019; 3(2):39. https://doi.org/10.3390/soilsystems3020039
Chicago/Turabian StyleRutgers, Michiel, Jeroen P. van Leeuwen, Dirk Vrebos, Harm J. van Wijnen, Ton Schouten, and Ron G. M. de Goede. 2019. "Mapping Soil Biodiversity in Europe and the Netherlands" Soil Systems 3, no. 2: 39. https://doi.org/10.3390/soilsystems3020039
APA StyleRutgers, M., van Leeuwen, J. P., Vrebos, D., van Wijnen, H. J., Schouten, T., & de Goede, R. G. M. (2019). Mapping Soil Biodiversity in Europe and the Netherlands. Soil Systems, 3(2), 39. https://doi.org/10.3390/soilsystems3020039

