Study of the ρ0 Decay into π0π0γ Within Framework of Chiral Perturbation Theory with Resonances
Abstract
1. Introduction
2. Chiral Perturbation Theory with Resonances
3. Study of the Decay into Within
3.1. Interaction Vertex Among the , , and Particles
On-Shell Vertex
3.2. Interaction Vertex Among the , , and Particles
On-Shell Vertex
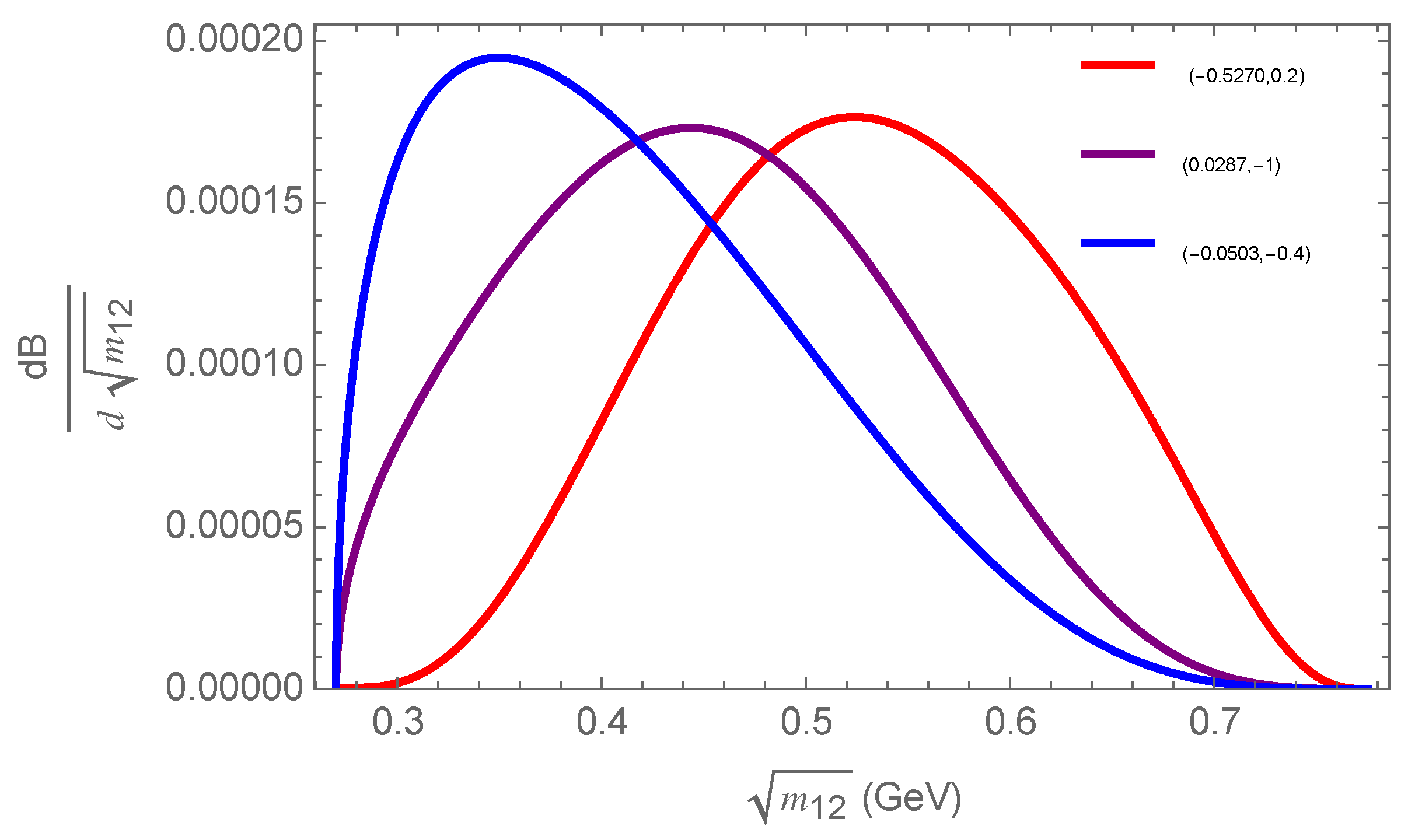
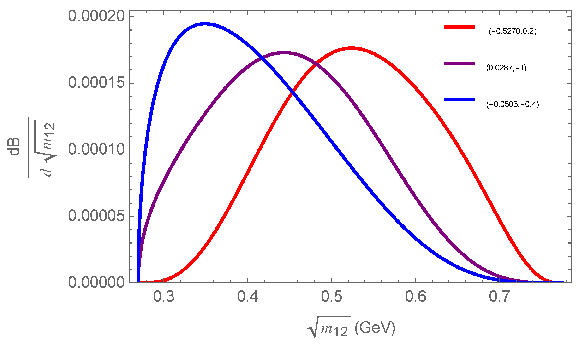
3.3. Decay into
- Scenario 1: The decay via purely on-shell vertices.
- Scenario 2: The decay via the on-shell vertex.
- Scenario 3: The decay via the on-shell vertex.
- Scenario 4: The decay with off-shell vertices.
4. Conclusions
Author Contributions
Funding
Institutional Review Board Statement
Informed Consent Statement
Data Availability Statement
Acknowledgments
Conflicts of Interest
Abbreviations
| BR | Branching ratio |
| dBR | Differential branching ratio |
| LEC | Low-energy coupling constant |
| SM | Standard model |
| EFT | Effective field theory |
| ChPT | Chiral perturbation theory |
| QCD | Quantum chromodynamics |
| Resonance chiral theory | |
| VVP | Two vector sources and a pseudoscalar source |
| VJP | A vector source, an external source, and pseudoscalar source |
Appendix A. Detailed and Supplementary Expressions
References
- Schwartz, M.D. Quantum Field Theory and the Standard Model; Cambridge University Press: Cambridge, UK, 2014. [Google Scholar]
- Grossman, Y.; Nir, Y. The Standard Model: From Fundamental Symmetries to Experimental Tests; Princeton University Press: Princeton, NJ, USA, 2023. [Google Scholar]
- Navas, S.; Amsler, C.; Gutsche, T.; Hanhart, C.; Hernández-Rey, J.J.; Lourenço, C.; Masoni, A.; Mikhasenko, M.; Mitchell, R.E.; Patrignani, C.; et al. Review of particle physics. Phys. Rev. D 2024, 110, 030001. [Google Scholar] [CrossRef]
- Weinberg, S. Phenomenological Lagrangians. Phys. A Stat. Mech. Its Appl. 1979, 96, 327–340. [Google Scholar] [CrossRef]
- Scherer, S.; Schindler, M. A Primer for Chiral Perturbation Theory; Lecture Notes in Physics; Springer: Berlin/Heidelberg, Germany, 2011. [Google Scholar] [CrossRef]
- Pich, A. Chiral perturbation theory. Rep. Prog. Phys. 1995, 58, 563. [Google Scholar] [CrossRef]
- Ecker, G.; Gasser, J.; Pich, A.; De Rafael, E. The role of resonances in chiral perturbation theory. Nucl. Phys. B 1989, 321, 311–342. [Google Scholar] [CrossRef]
- Ruiz-Femenía, P.D.; Pich, A.; Portolés, J. Odd-intrinsic-parity processes within the resonance effective theory of QCD. J. High Energy Phys. 2003, 003. [Google Scholar] [CrossRef]
- Miranda, J.A.; Roig, P. New τ-based evaluation of the hadronic contribution to the vacuum polarization piece of the muon anomalous magnetic moment. Phys. Rev. D 2020, 102, 114017. [Google Scholar] [CrossRef]
- Aliberti, R.; Aoyama, T.; Balzani, E.; Bashir, A.; Benton, G.; Bijnens, J.; Biloshytskyi, V.; Blum, T.; Boito, D.; Bruno, M.; et al. The anomalous magnetic moment of the muon in the Standard Model: An update. Phys. Rept. 2025, 1143, 1–158. [Google Scholar] [CrossRef]
- Chen, C.; Duan, C.G.; Guo, Z.H. Triple-product asymmetry in the radiative two-pion tau decay. J. High Energy Phys. 2022, 2022, 144. [Google Scholar] [CrossRef]
- Ecker, G.; Gasser, J.; Leutwyler, H.; Pich, A.; De Rafael, E. Chiral Lagrangians for massive spin-1 fields. Phys. Lett. B 1989, 223, 425–432. [Google Scholar] [CrossRef]
- Roig, P.; Cillero, J.J.S. Consistent high-energy constraints in the anomalous QCD sector. Phys. Lett. B 2014, 733, 158–163. [Google Scholar] [CrossRef]
- Kampf, K.; Novotný, J. Resonance saturation in the odd-intrinsic parity sector of low-energy QCD. Phys. Rev. D 2011, 84, 014036. [Google Scholar] [CrossRef]
- Cirigliano, V.; Ecker, G.; Eidemüller, M.; Kaiser, R.; Pich, A.; Portolés, J. Towards a consistent estimate of the chiral low-energy constants. Nucl. Phys. B 2006, 753, 139–177. [Google Scholar] [CrossRef]
- Gómez Dumm, D.; Roig, P. Resonance Chiral Lagrangian analysis of τ− → η(′)π−π0ντ. Phys. Rev. D 2012, 86, 076009. [Google Scholar] [CrossRef]
- Gómez Dumm, D.; Pich, A.; Portolés, J. πππντ decays in the resonance effective theory. Phys. Rev. D 2004, 69, 073002. [Google Scholar] [CrossRef]
- Cirigliano, V.; Ecker, G.; Eidemüller, M.; Pich, A.; Portolés, J. <VAP> Green function in the resonance region. Phys. Lett. B 2004, 596, 96–106. [Google Scholar] [CrossRef]
- Achasov, M.N.; Beloborodov, K.I.; Berdyugin, A.V.; Bogdanchikov, A.G.; Bozhenok, A.V.; Bukin, A.D.; Bukin, D.A.; Burdin, S.V.; Vasil’ev, A.V.; Ganyushin, D.I.; et al. The e+e− → π0π0γ process below 1.0 GeV. J. Exp. Theor. Phys. Lett. 2000, 71, 355–358. [Google Scholar] [CrossRef]
- Bramon, A.; Escribano, R.; Lucio M, J.L.; Napsuciale, M. Scalar σ meson effects in ρ and ω decays into π0π0γ. Phys. Lett. B 2001, 517, 345–354. [Google Scholar] [CrossRef]
- Achasov, M.N.; Beloborodov, K.I.; Berdyugin, A.V.; Bogdanchikov, A.G.; Bozhenok, A.V.; Bukin, D.A.; Burdin, S.V.; Vasiljev, A.V.; Golubev, V.B.; Dimova, T.V.; et al. Experimental study of ρ → π0π0γ and ω → π0π0γ decays. Phys. Lett. B 2002, 537, 201–210. [Google Scholar] [CrossRef]
- Gokalp, A.; Yilmaz, O. The decay ρ0 → π0π0γ and the role of σ-meson. Phys. Lett. B 2001, 508, 25–30. [Google Scholar] [CrossRef]
- Marco, E.; Hirenzaki, S.; Oset, E.; Toki, H. Radiative decay of ρ0 and φ mesons in a chiral unitary approach. Phys. Lett. B 1999, 470, 20–26. [Google Scholar] [CrossRef]
- Gokalp, A.; Solmaz, S.; Yilmaz, O. Scalar σ meson effects in radiative ρ0-meson decays. Phys. Rev. D 2003, 67, 073007. [Google Scholar] [CrossRef]
- Akhmetshin, R.R.; Aulchenko, V.M.; Banzarov, V.S.; Baratt, A.; Barkov, L.M.; Baru, S.E.; Bashtovoy, N.S.; Bondar, A.E.; Bondarev, D.V.; Bragin, V.A.; et al. Study of the process e+e− → π0π0γ in c.m. energy range 600–970 MeV at CMD-2. Phys. Lett. B 2004, 580, 119–128. [Google Scholar] [CrossRef]
- Shtabovenko, V.; Mertig, R.; Orellana, F. FeynCalc 10: Do multiloop integrals dream of computer codes? Comput. Phys. Commun. 2025, 306, 109357. [Google Scholar] [CrossRef]
- Mertig, R.; Böhm, M.; Denner, A. FeynCalc—Computer-algebraic calculation of Feynman amplitudes. Comput. Phys. Commun. 1991, 64, 345–359. [Google Scholar] [CrossRef]






| Constraints (38)–(43) | Constraints (44)–(46) | ||||
|---|---|---|---|---|---|
| 0.032(3) | 0.901(54) | 0.030(3) | 1.059(65) | ||
| −0.025(3) | 0.901(54) | −0.025(3) | 1.059(65) | ||
| 0.032(3) | −0.221(54) | 0.030(3) | −0.327(65) | ||
| −0.025(3) | −0.221(54) | −0.025(3) | −0.327(65) | ||
| −0.98 | 0.03 | −0.03 |
| 0.90 | 0.03 | −0.03 |
| −0.80 | 0.03 | −0.03 |
| −0.70 | 0.04 | −0.03 |
| −0.60 | 0.04 | −0.04 |
| −0.50 | 0.05 | −0.04 |
| −0.40 | 0.06 | −0.05 |
| −0.30 | 0.07 | −0.06 |
| −0.20 | 0.09 | −0.08 |
| −0.10 | 0.12 | −0.10 |
| 0.02 | 0.20 | −0.18 |
| 0.10 | 0.33 | −0.31 |
| 0.20 | 0.44 | −0.53 |
| 0.30 | 0.21 | −0.25 |
| 0.40 | 0.12 | −0.15 |
| 0.50 | 0.09 | −0.10 |
| 0.60 | 0.07 | −0.08 |
| 0.70 | 0.05 | −0.07 |
| 0.80 | 0.05 | −0.05 |
| 0.90 | 0.04 | −0.05 |
| 0.98 | 0.04 | −0.04 |
Disclaimer/Publisher’s Note: The statements, opinions and data contained in all publications are solely those of the individual author(s) and contributor(s) and not of MDPI and/or the editor(s). MDPI and/or the editor(s) disclaim responsibility for any injury to people or property resulting from any ideas, methods, instructions or products referred to in the content. |
© 2025 by the authors. Licensee MDPI, Basel, Switzerland. This article is an open access article distributed under the terms and conditions of the Creative Commons Attribution (CC BY) license (https://creativecommons.org/licenses/by/4.0/).
Share and Cite
Barajas-Aguilar, J.A.; Flores-Baez, F.V.; Morones-Ibarra, J.R. Study of the ρ0 Decay into π0π0γ Within Framework of Chiral Perturbation Theory with Resonances. Particles 2025, 8, 88. https://doi.org/10.3390/particles8040088
Barajas-Aguilar JA, Flores-Baez FV, Morones-Ibarra JR. Study of the ρ0 Decay into π0π0γ Within Framework of Chiral Perturbation Theory with Resonances. Particles. 2025; 8(4):88. https://doi.org/10.3390/particles8040088
Chicago/Turabian StyleBarajas-Aguilar, José A., Francisco V. Flores-Baez, and José R. Morones-Ibarra. 2025. "Study of the ρ0 Decay into π0π0γ Within Framework of Chiral Perturbation Theory with Resonances" Particles 8, no. 4: 88. https://doi.org/10.3390/particles8040088
APA StyleBarajas-Aguilar, J. A., Flores-Baez, F. V., & Morones-Ibarra, J. R. (2025). Study of the ρ0 Decay into π0π0γ Within Framework of Chiral Perturbation Theory with Resonances. Particles, 8(4), 88. https://doi.org/10.3390/particles8040088

