Gauge Sector Dynamics in QCD
Abstract
| Contents | ||
| 1 | Introduction | 2 |
| 2 | Basic Concepts and General Theoretical Framework | 5 |
| 3 | Schwinger Mechanism in Yang–Mills Theories | 10 |
| 4 | Dynamical formation of Massless Poles | 13 |
| 5 | Generation of the Gluon Mass | 16 |
| 5.1 Gluon Mass from the qμqν Component | 17 | |
| 5.2 Gluon Mass from the gμν Component: Seagull Identity and Ward Identity Displacement | 18 | |
| 6 | Renormalization Group Invariant Interaction Strength | 20 |
| 7 | Three-Gluon Vertex and Its Planar Degeneracy | 23 |
| 8 | Ghost Dynamics from Schwinger–Dyson Equations | 25 |
| 9 | Divergent Ghost Loops and Their Impact on the QCD Green’s Functions | 30 |
| 10 | Ward Identity Displacement of the Three-Gluon Vertex | 34 |
| 11 | The Ghost-Gluon Kernel Contribution to the Ward Identity | 35 |
| 12 | Displacement Function from Lattice Inputs | 39 |
| 13 | Conclusions | 40 |
| A. | Appendix A | 41 |
| B. | Appendix B | 43 |
| References | 43 | |
1. Introduction
- In Section 2, we introduce some basic notations and review certain prominent features of Green’s functions within the linear gauges and the PT-BFM formalism [109,192]. We stress, in particular, the properties of the auxiliary function [16,131,212,213], which relates the gluon propagators with quantum and background gluons, and is intimately connected with the definition of the process-independent and RGI interaction strength [16], to be discussed in detail in Section 6. In addition, we elucidate (with a concrete example) the important property of “block-wise” transversality, displayed by the background gluon self-energy [18,109,112].
- In Section 3, we review the general principles associated with the Schwinger mechanism [127,128] that endows gauge bosons with an effective mass, focusing on the details associated with its realization in the context of Yang–Mills theories. We place particular emphasis on the pivotal requirement that must be satisfied by the fundamental vertices of the theory, namely the appearance of massless poles in their form factors [18,93,109,111,112,113,117,159,214].
- In Section 4, we examine the dynamical formation of colored composite excitations (bound states) of vanishing masses, which provide the required structures in the vertices in order for the Schwinger mechanism to be activated [18,117,159,214]. The formation of these states out of a pair of gluons or a ghost–anti-ghost pair is controlled by a set of coupled Bethe–Salpeter equations (BSEs) [18,117,124,214,215], which are found to have nontrivial solutions for the corresponding Bethe–Salpeter (BS) amplitudes, to be denoted by and , respectively.
- In Section 5, we explain in detail how the presence of the massless poles in the dressed vertices that enter the SDE of the gluon propagator give rise to a gluon mass. The demonstration is carried out separately for the and components of the gluon self-energy. The former case requires the evasion of the so-called “seagull identity” [113,166]; this becomes possible by virtue of the crucial Ward identity (WI) displacement, to be further considered in Section 10.
- In Section 6, we go over the basic notions underpinning the PT [14,96,100,193,194], and show how their application leads naturally to the definition of a dimensionful process-independent RGI interaction strength [3,16,20,79,96,129,130,131], denoted by . The genuine process independence of this quantity is concretely exemplified by demonstrating its appearance in two processes involving fundamentally different external fields. Next, is computed by combining lattice data for the gluon propagator and SDE results for the function . Finally, the dimensionless quantity is derived that constitutes the physical definition of the one-gluon exchange interaction appearing in standard bound-state computations [15,16,17,216,217,218,219,220,221,222].
- In Section 7, we focus on the structure of the “transversely projected” three-gluon vertex [126,174,175,223], and discuss briefly the property of planar degeneracy [86], satisfied, at a high level of accuracy [86,87,88,174,175,223], by the vertex form factors. This special property induces a striking simplification to the structure of this vertex, captured by a particularly compact expression [86], which will be extensively used in some of the following sections.
- In Section 8, we take a close look at the ghost sector of the theory, and solve the coupled system of SDEs governing the ghost propagator and ghost–gluon vertex [85,224,225,226,227,228]; as is well-known, the ghost remains massless, but its dressing function saturates at the origin [21,42,47,49,51,56,62,63,73,79,85,112,178,225,227,228,229,230,231,232,233], because the infrared-finite gluon propagator used in the ghost SDE provides an effective infrared cutoff. In the SDE of the ghost–gluon vertex, we employ as central input the compact expression for the three-gluon vertex presented in the previous section. The results are in excellent agreement with the available lattice data for the ghost dressing function [73,85] and the form factor of the ghost–gluon vertex evaluated in the soft-gluon limit [42,43].
- In Section 9, we discuss two important consequences of the masslessness of the ghost propagator, which manifest themselves at the level of both the gluon propagator and the three-gluon vertex. Specifically, the diagrams comprised by a ghost loop induce “unprotected” logarithms, i.e., of the type ; instead, gluonic loops give rise to “protected” logarithms, of the type , where m is the effective gluon mass [172,234]. As , the unprotected contributions diverge, driving the appearance of a maximum in the gluon propagator and a divergence in its first derivative, as well as a zero-crossing and a corresponding divergence in the form factors of the three-gluon vertex. As we comment in this section, of particular phenomenological importance [234,235,236,237,238,239,240] is the relative suppression that the above features induce to the dominant vertex form factors in the intermediate range of momenta.
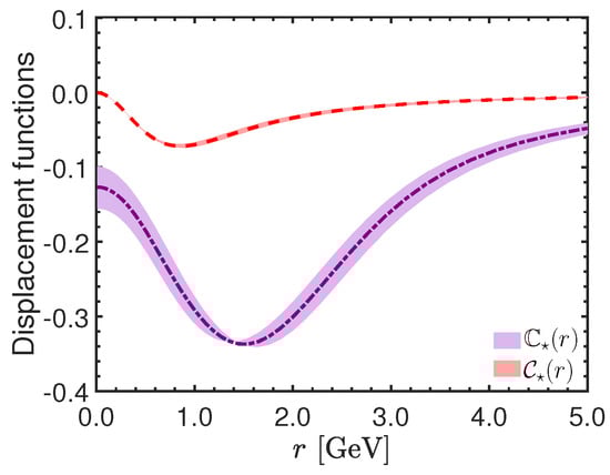
- In Section 10, we discuss an outstanding feature of the WI satisfied by the pole-free part of the three-gluon vertex, namely the displacement induced by the presence of the aforementioned massless poles [93,124]. In this context, we introduce the key quantity denominated “displacement function”, whose appearance serves as a smoking gun signal of the action of the Schwinger mechanism in QCD; quite interestingly, it coincides [93,124] with the BS amplitude for the formation of a massless scalar out of a pair of gluons, introduced in Section 4. In addition, we derive a crucial relation, which ultimately permits the indirect determination of from lattice QCD [93,124,126]; an important ingredient in this relation is a partial derivative [124,241], denoted by , of the ghost–gluon kernel [228], to be determined in the next section.
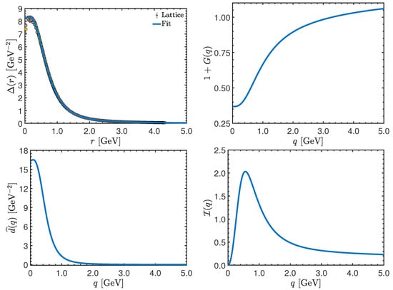
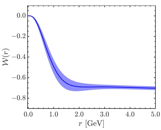
- In Section 11, we set up and solve the SDE that governs the evolution of [124,126,241,242]; the main component of this SDE is a special projection of the three-gluon vertex, which is computed by appealing to formulas established in Section 7, and allows for the accurate determination of in the entire range of relevant momenta [126].
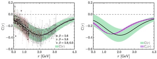
- In Section 12, we substitute into the central relation derived in Section 10 the solution for found in the previous section, together with the lattice data [84,85] for the gluon propagator, the ghost dressing function, and the form factor of the three-gluon vertex associated with the soft-gluon limit, in order to obtain the form of the displacement function [124,126]. As we discuss, the results exclude—with near-absolute certainty—the null hypothesis (absence of Schwinger mechanism, ), and corroborate the action of the Schwinger mechanism in QCD [126]. In addition, we show that the form of found is statistically completely compatible with that obtained from the BSE-based analysis presented in Section 4.
- In Section 13, we present our conclusions.
- Finally, in Appendix A, we derive the BQIs related to the displacement functions of the conventional and background vertices, while in Appendix B, we provide details about the renormalization scheme employed in our computations.
2. Basic Concepts and General Theoretical Framework
- (i)
- The propagator that connects two quantum gluons. Notice that this propagator coincides with the conventional gluon propagator of the covariant gauges, defined in Equation (5), under the assumption that the corresponding gauge-fixing parameters, and , are identified, i.e., .
- (ii)
- The propagator that connects a with a , to be denoted by .
- (iii)
3. Schwinger Mechanism in Yang–Mills Theories
- 1.
- and are the BS amplitudes describing the formation of gluon–gluon and ghost–anti-ghost colored composite bound states, respectively, see Section 4.
- 2.
- The gluon mass is determined by certain integrals that involve and , given explicitly in Section 5.
- 3.
- and lead to smoking-gun displacements of the WIs. In fact, the displacement induced by , has been confirmed by lattice QCD, by combining judiciously the results of several lattice simulations, see Section 5.2.
4. Dynamical formation of Massless Poles
- In order to exploit Equation (38), multiply the first equation by the factor .
- Take the limit of the system as : this activates Equation (40) and introduces the functions and .
- Isolate the tensor structures proportional to , and match the terms on both sides.
- Employ the “one-particle exchange” approximation for the kernels , to be denoted by , shown in Figure 5.
5. Generation of the Gluon Mass
5.1. Gluon Mass from the Component
5.2. Gluon Mass from the Component: Seagull Identity and Ward Identity Displacement
6. Renormalization Group Invariant Interaction Strength
7. Three-Gluon Vertex and Its Planar Degeneracy
8. Ghost Dynamics from Schwinger–Dyson Equations
9. Divergent Ghost Loops and Their Impact on the QCD Green’s Functions
10. Ward Identity Displacement of the Three-Gluon Vertex
11. The Ghost-Gluon Kernel Contribution to the Ward Identity
12. Displacement Function from Lattice Inputs
13. Conclusions
Funding
Data Availability Statement
Acknowledgments
Conflicts of Interest
Abbreviations
| BFM | background field method |
| BQI | background-quantum identity |
| BRST | Becchi–Rouet–Stora–Tyutin |
| BS | Bethe–Salpeter |
| BSE | Bethe–Salpeter equation |
| EHM | emergent hadron mass |
| MOM | momentum subtraction (renormalization scheme) |
| PT | pinch technique |
| QCD | quantum chromodynamics |
| QED | quantum electrodynamics |
| RGI | renormalization group invariant |
| SDE | Schwinger–Dyson equation |
| STI | Slavnov–Taylor identity |
| WI | Ward identity |
Appendix A. BQIs for the BSE Amplitudes

Appendix B. The Asymmetric MOM Scheme
References
- Marciano, W.J.; Pagels, H. Quantum Chromodynamics: A Review. Phys. Rep. 1978, 36, 137. [Google Scholar] [CrossRef]
- Qin, S.X.; Roberts, C.D. Impressions of the Continuum Bound State Problem in QCD. Chin. Phys. Lett. 2020, 37, 121201. [Google Scholar] [CrossRef]
- Roberts, C.D. Empirical Consequences of Emergent Mass. Symmetry 2020, 12, 1468. [Google Scholar] [CrossRef]
- Cui, Z.F.; Ding, M.; Gao, F.; Raya, K.; Binosi, D.; Chang, L.; Roberts, C.D.; Rodríguez-Quintero, J.; Schmidt, S.M. Kaon and pion parton distributions. Eur. Phys. J. C 2020, 80, 1064. [Google Scholar] [CrossRef]
- Chang, L.; Roberts, C.D. Regarding the Distribution of Glue in the Pion. Chin. Phys. Lett. 2021, 38, 081101. [Google Scholar] [CrossRef]
- Cui, Z.F.; Ding, M.; Morgado, J.M.; Raya, K.; Binosi, D.; Chang, L.; De Soto, F.; Roberts, C.D.; Rodríguez-Quintero, J.; Schmidt, S.M. Emergence of pion parton distributions. Phys. Rev. D 2022, 105, L091502. [Google Scholar]
- Lu, Y.; Chang, L.; Raya, K.; Roberts, C.D.; Rodríguez-Quintero, J. Proton and pion distribution functions in counterpoint. Phys. Lett. B 2022, 830, 137130. [Google Scholar] [CrossRef]
- Ding, M.; Roberts, C.D.; Schmidt, S.M. Emergence of Hadron Mass and Structure. Particles 2023, 6, 57–120. [Google Scholar] [CrossRef]
- Roberts, C.D. Origin of the Proton Mass. arXiv 2022, arXiv:2211.09905. [Google Scholar]
- Roberts, C.D.; Williams, A.G. Dyson-Schwinger equations and their application to hadronic physics. Prog. Part. Nucl. Phys. 1994, 33, 477–575. [Google Scholar] [CrossRef]
- Alkofer, R.; von Smekal, L. The Infrared behavior of QCD Green’s functions: Confinement dynamical symmetry breaking, and hadrons as relativistic bound states. Phys. Rep. 2001, 353, 281. [Google Scholar] [CrossRef]
- Fischer, C.S. Infrared properties of QCD from Dyson-Schwinger equations. J. Phys. G 2006, 32, R253–R291. [Google Scholar] [CrossRef]
- Roberts, C.D. Hadron Properties and Dyson-Schwinger Equations. Prog. Part. Nucl. Phys. 2008, 61, 50–65. [Google Scholar] [CrossRef]
- Binosi, D.; Papavassiliou, J. Pinch Technique: Theory and Applications. Phys. Rep. 2009, 479, 1–152. [Google Scholar] [CrossRef]
- Bashir, A.; Chang, L.; Cloet, I.C.; El-Bennich, B.; Liu, Y.X.; Roberts, C.D.; Tandy, P.C. Collective perspective on advances in Dyson-Schwinger Equation QCD. Commun. Theor. Phys. 2012, 58, 79–134. [Google Scholar] [CrossRef]
- Binosi, D.; Chang, L.; Papavassiliou, J.; Roberts, C.D. Bridging a gap between continuum-QCD and ab initio predictions of hadron observables. Phys. Lett. 2015, B742, 183–188. [Google Scholar] [CrossRef]
- Cloet, I.C.; Roberts, C.D. Explanation and Prediction of Observables using Continuum Strong QCD. Prog. Part. Nucl. Phys. 2014, 77, 1–69. [Google Scholar] [CrossRef]
- Aguilar, A.C.; Binosi, D.; Papavassiliou, J. The Gluon Mass Generation Mechanism: A Concise Primer. Front. Phys. (Beijing) 2016, 11, 111203. [Google Scholar] [CrossRef]
- Binosi, D.; Chang, L.; Papavassiliou, J.; Qin, S.X.; Roberts, C.D. Symmetry preserving truncations of the gap and Bethe–Salpeter equations. Phys. Rev. 2016, D93, 096010. [Google Scholar] [CrossRef]
- Binosi, D.; Mezrag, C.; Papavassiliou, J.; Roberts, C.D.; Rodriguez-Quintero, J. Process-independent strong running coupling. Phys. Rev. 2017, D96, 054026. [Google Scholar] [CrossRef]
- Huber, M.Q. Nonperturbative properties of Yang-Mills theories. Phys. Rep. 2020, 879, 1–92. [Google Scholar] [CrossRef]
- Pawlowski, J.M.; Litim, D.F.; Nedelko, S.; von Smekal, L. Infrared behavior and fixed points in Landau gauge QCD. Phys. Rev. Lett. 2004, 93, 152002. [Google Scholar] [CrossRef] [PubMed]
- Pawlowski, J.M. Aspects of the functional renormalisation group. Ann. Phys. 2007, 322, 2831–2915. [Google Scholar] [CrossRef]
- Fischer, C.S.; Maas, A.; Pawlowski, J.M. On the infrared behavior of Landau gauge Yang-Mills theory. Ann. Phys. 2009, 324, 2408–2437. [Google Scholar] [CrossRef]
- Carrington, M.E. Renormalization group flow equations connected to the n-particle-irreducible effective action. Phys. Rev. 2013, D87, 045011. [Google Scholar] [CrossRef]
- Carrington, M.E.; Fu, W.J.; Pickering, D.; Pulver, J.W. Renormalization group methods and the 2PI effective action. Phys. Rev. D 2015, 91, 025003. [Google Scholar] [CrossRef]
- Cyrol, A.K.; Mitter, M.; Pawlowski, J.M.; Strodthoff, N. Nonperturbative quark, gluon, and meson correlators of unquenched QCD. Phys. Rev. 2018, D97, 054006. [Google Scholar] [CrossRef]
- Corell, L.; Cyrol, A.K.; Mitter, M.; Pawlowski, J.M.; Strodthoff, N. Correlation functions of three-dimensional Yang-Mills theory from the FRG. SciPost Phys. 2018, 5, 066. [Google Scholar] [CrossRef]
- Huber, M.Q. Correlation functions of Landau gauge Yang-Mills theory. Phys. Rev. D 2020, 101, 114009. [Google Scholar] [CrossRef]
- Dupuis, N.; Canet, L.; Eichhorn, A.; Metzner, W.; Pawlowski, J.M.; Tissier, M.; Wschebor, N. The nonperturbative functional renormalization group and its applications. Phys. Rep. 2021, 910, 1–114. [Google Scholar] [CrossRef]
- Blaizot, J.P.; Pawlowski, J.M.; Reinosa, U. Functional renormalization group and 2PI effective action formalism. Ann. Phys. 2021, 431, 168549. [Google Scholar] [CrossRef]
- Mandula, J.; Ogilvie, M. The Gluon Is Massive: A Lattice Calculation of the Gluon Propagator in the Landau Gauge. Phys. Lett. B 1987, 185, 127–132. [Google Scholar] [CrossRef]
- Parrinello, C. Exploratory study of the three gluon vertex on the lattice. Phys. Rev. 1994, D50, R4247–R4251. [Google Scholar] [CrossRef] [PubMed]
- Alles, B.; Henty, D.; Panagopoulos, H.; Parrinello, C.; Pittori, C.; Richards, D.G. αs from the nonperturbatively renormalised lattice three gluon vertex. Nucl. Phys. 1997, B502, 325–342. [Google Scholar] [CrossRef]
- Parrinello, C.; Richards, D.; Alles, B.; Panagopoulos, H.; Pittori, C. Status of alpha-s determinations from the nonperturbatively renormalized three gluon vertex. Nucl. Phys. B Proc. Suppl. 1998, 63, 245–247. [Google Scholar] [CrossRef]
- Boucaud, P.; Leroy, J.P.; Micheli, J.; Pene, O.; Roiesnel, C. Lattice calculation of alpha(s) in momentum scheme. J. High Energy Phys. 1998, 10, 017. [Google Scholar] [CrossRef]
- Alexandrou, C.; de Forcrand, P.; Follana, E. The gluon propagator without lattice Gribov copies on a finer lattice. Phys. Rev. 2002, D65, 114508. [Google Scholar] [CrossRef]
- Bowman, P.O.; Heller, U.M.; Williams, A.G. Lattice quark propagator with staggered quarks in Landau and Laplacian gauges. Phys. Rev. D 2002, 66, 014505. [Google Scholar] [CrossRef]
- Skullerud, J.I.; Bowman, P.O.; Kizilersu, A.; Leinweber, D.B.; Williams, A.G. Nonperturbative structure of the quark gluon vertex. J. High Energy Phys. 2003, 4, 047. [Google Scholar] [CrossRef]
- Bowman, P.O.; Heller, U.M.; Leinweber, D.B.; Parappilly, M.B.; Williams, A.G. Unquenched gluon propagator in Landau gauge. Phys. Rev. D 2004, 70, 034509. [Google Scholar] [CrossRef]
- Cucchieri, A.; Maas, A.; Mendes, T. Exploratory study of three-point Green’s functions in Landau-gauge Yang-Mills theory. Phys. Rev. 2006, D74, 014503. [Google Scholar] [CrossRef]
- Ilgenfritz, E.M.; Muller-Preussker, M.; Sternbeck, A.; Schiller, A.; Bogolubsky, I. Landau gauge gluon and ghost propagators from lattice QCD. Braz. J. Phys. 2007, 37, 193–200. [Google Scholar] [CrossRef]
- Sternbeck, A. The Infrared Behavior of Lattice QCD Green’s Functions. Ph.D. Thesis, Humboldt-University Berlin, Berlin, Germany, 2006. [Google Scholar]
- Furui, S.; Nakajima, H. Unquenched Kogut-Susskind quark propagator in lattice Landau gauge QCD. Phys. Rev. D 2006, 73, 074503. [Google Scholar] [CrossRef]
- Bowman, P.O.; Heller, U.M.; Leinweber, D.B.; Parappilly, M.B.; Sternbeck, A.; von Smekal, L.; Williams, A.G.; Zhang, J.b. Scaling behavior and positivity violation of the gluon propagator in full QCD. Phys. Rev. D 2007, 76, 094505. [Google Scholar] [CrossRef]
- Kamleh, W.; Bowman, P.O.; Leinweber, D.B.; Williams, A.G.; Zhang, J. Unquenching effects in the quark and gluon propagator. Phys. Rev. 2007, D76, 094501. [Google Scholar] [CrossRef]
- Cucchieri, A.; Mendes, T. What’s up with IR gluon and ghost propagators in Landau gauge? A puzzling answer from huge lattices. PoS 2007, LATTICE2007, 297. [Google Scholar] [CrossRef]
- Cucchieri, A.; Mendes, T. Constraints on the IR behavior of the gluon propagator in Yang-Mills theories. Phys. Rev. Lett. 2008, 100, 241601. [Google Scholar] [CrossRef]
- Bogolubsky, I.; Ilgenfritz, E.; Muller-Preussker, M.; Sternbeck, A. The Landau gauge gluon and ghost propagators in 4D SU(3) gluodynamics in large lattice volumes. PoS 2007, LATTICE2007, 290. [Google Scholar] [CrossRef]
- Cucchieri, A.; Maas, A.; Mendes, T. Three-point vertices in Landau-gauge Yang-Mills theory. Phys. Rev. 2008, D77, 094510. [Google Scholar] [CrossRef]
- Cucchieri, A.; Mendes, T. Constraints on the IR behavior of the ghost propagator in Yang-Mills theories. Phys. Rev. D 2008, 78, 094503. [Google Scholar] [CrossRef]
- Cucchieri, A.; Mendes, T. Landau-gauge propagators in Yang-Mills theories at beta = 0: Massive solution versus conformal scaling. Phys. Rev. 2010, D81, 016005. [Google Scholar] [CrossRef]
- Cucchieri, A.; Mendes, T. Numerical test of the Gribov-Zwanziger scenario in Landau gauge. PoS 2009, QCD-TNT09, 026. [Google Scholar] [CrossRef]
- Boucaud, P.; De Soto, F.; Leroy, J.P.; Le Yaouanc, A.; Micheli, J.; Pene, O.; Rodriguez-Quintero, J. Ghost-gluon running coupling, power corrections and the determination of Lambda(MS-bar). Phys. Rev. 2009, D79, 014508. [Google Scholar]
- Cucchieri, A.; Mendes, T.; Santos, E.M.S. Covariant gauge on the lattice: A New implementation. Phys. Rev. Lett. 2009, 103, 141602. [Google Scholar] [CrossRef]
- Bogolubsky, I.; Ilgenfritz, E.; Muller-Preussker, M.; Sternbeck, A. Lattice gluodynamics computation of Landau gauge Green’s functions in the deep infrared. Phys. Lett. 2009, B676, 69–73. [Google Scholar] [CrossRef]
- Oliveira, O.; Silva, P. The Lattice infrared Landau gauge gluon propagator: The Infinite volume limit. PoS 2009, LAT2009, 226. [Google Scholar] [CrossRef]
- Cucchieri, A.; Mendes, T.; Nakamura, G.M.; Santos, E.M.S. Gluon Propagators in Linear Covariant Gauge. PoS 2010, FACESQCD, 026. [Google Scholar] [CrossRef]
- Oliveira, O.; Bicudo, P. Running Gluon Mass from Landau Gauge Lattice QCD Propagator. J. Phys. G 2011, G38, 045003. [Google Scholar] [CrossRef]
- Blossier, B.; Boucaud, P.; De soto, F.; Morenas, V.; Gravina, M.; Pene, O.; Rodriguez-Quintero, J. Ghost-gluon coupling, power corrections and from twisted-mass lattice QCD at Nf = 2. Phys. Rev. D 2010, 82, 034510. [Google Scholar] [CrossRef]
- Maas, A. Describing gauge bosons at zero and finite temperature. Phys. Rep. 2013, 524, 203–300. [Google Scholar] [CrossRef]
- Boucaud, P.; Leroy, J.P.; Yaouanc, A.L.; Micheli, J.; Pene, O.; Rodriguez-Quintero, J. The Infrared Behaviour of the Pure Yang-Mills Green Functions. Few Body Syst. 2012, 53, 387–436. [Google Scholar] [CrossRef]
- Ayala, A.; Bashir, A.; Binosi, D.; Cristoforetti, M.; Rodriguez-Quintero, J. Quark flavour effects on gluon and ghost propagators. Phys. Rev. 2012, D86, 074512. [Google Scholar] [CrossRef]
- Oliveira, O.; Silva, P.J. The lattice Landau gauge gluon propagator: Lattice spacing and volume dependence. Phys. Rev. 2012, D86, 114513. [Google Scholar] [CrossRef]
- Sternbeck, A.; Müller-Preussker, M. Lattice evidence for the family of decoupling solutions of Landau gauge Yang-Mills theory. Phys. Lett. B 2013, 726, 396–403. [Google Scholar] [CrossRef]
- Bicudo, P.; Binosi, D.; Cardoso, N.; Oliveira, O.; Silva, P.J. Lattice gluon propagator in renormalizable ξ gauges. Phys. Rev. 2015, D92, 114514. [Google Scholar] [CrossRef]
- Duarte, A.G.; Oliveira, O.; Silva, P.J. Lattice Gluon and Ghost Propagators, and the Strong Coupling in Pure SU(3) Yang-Mills Theory: Finite Lattice Spacing and Volume Effects. Phys. Rev. D 2016, 94, 014502. [Google Scholar] [CrossRef]
- Athenodorou, A.; Binosi, D.; Boucaud, P.; De Soto, F.; Papavassiliou, J.; Rodriguez-Quintero, J.; Zafeiropoulos, S. On the zero crossing of the three-gluon vertex. Phys. Lett. 2016, B761, 444–449. [Google Scholar] [CrossRef]
- Duarte, A.G.; Oliveira, O.; Silva, P.J. Further Evidence For Zero Crossing On The Three Gluon Vertex. Phys. Rev. 2016, D94, 074502. [Google Scholar] [CrossRef]
- Oliveira, O.; Kizilersu, A.; Silva, P.J.; Skullerud, J.I.; Sternbeck, A.; Williams, A.G. Lattice Landau gauge quark propagator and the quark-gluon vertex. Acta Phys. Pol. Suppl. 2016, 9, 363–368. [Google Scholar] [CrossRef]
- Boucaud, P.; De Soto, F.; Rodríguez-Quintero, J.; Zafeiropoulos, S. Refining the detection of the zero crossing for the three-gluon vertex in symmetric and asymmetric momentum subtraction schemes. Phys. Rev. 2017, D95, 114503. [Google Scholar] [CrossRef]
- Sternbeck, A.; Balduf, P.H.; Kizilersu, A.; Oliveira, O.; Silva, P.J.; Skullerud, J.I.; Williams, A.G. Triple-gluon and quark-gluon vertex from lattice QCD in Landau gauge. PoS 2017, LATTICE2016, 349. [Google Scholar] [CrossRef]
- Boucaud, P.; De Soto, F.; Raya, K.; Rodríguez-Quintero, J.; Zafeiropoulos, S. Discretization effects on renormalized gauge-field Green’s functions, scale setting, and the gluon mass. Phys. Rev. 2018, D98, 114515. [Google Scholar] [CrossRef]
- Cucchieri, A.; Dudal, D.; Mendes, T.; Oliveira, O.; Roelfs, M.; Silva, P.J. Lattice Computation of the Ghost Propagator in Linear Covariant Gauges. PoS 2018, LATTICE2018, 252. [Google Scholar] [CrossRef]
- Cucchieri, A.; Dudal, D.; Mendes, T.; Oliveira, O.; Roelfs, M.; Silva, P.J. Faddeev-Popov Matrix in Linear Covariant Gauge: First Results. Phys. Rev. D 2018, 98, 091504. [Google Scholar] [CrossRef]
- Oliveira, O.; Silva, P.J.; Skullerud, J.I.; Sternbeck, A. Quark propagator with two flavors of O(a)-improved Wilson fermions. Phys. Rev. D 2019, 99, 094506. [Google Scholar] [CrossRef]
- Dudal, D.; Oliveira, O.; Silva, P.J. High precision statistical Landau gauge lattice gluon propagator computation vs. the Gribov–Zwanziger approach. Ann. Phys. 2018, 397, 351–364. [Google Scholar] [CrossRef]
- Vujinovic, M.; Mendes, T. Probing the tensor structure of lattice three-gluon vertex in Landau gauge. Phys. Rev. 2019, D99, 034501. [Google Scholar] [CrossRef]
- Cui, Z.F.; Zhang, J.L.; Binosi, D.; de Soto, F.; Mezrag, C.; Papavassiliou, J.; Roberts, C.D.; Rodríguez-Quintero, J.; Segovia, J.; Zafeiropoulos, S. Effective charge from lattice QCD. Chin. Phys. C 2020, 44, 083102. [Google Scholar] [CrossRef]
- Zafeiropoulos, S.; Boucaud, P.; De Soto, F.; Rodríguez-Quintero, J.; Segovia, J. Strong Running Coupling from the Gauge Sector of Domain Wall Lattice QCD with Physical Quark Masses. Phys. Rev. Lett. 2019, 122, 162002. [Google Scholar] [CrossRef]
- Aguilar, A.C.; De Soto, F.; Ferreira, M.N.; Papavassiliou, J.; Rodríguez-Quintero, J.; Zafeiropoulos, S. Gluon propagator and three-gluon vertex with dynamical quarks. Eur. Phys. J. 2020, C80, 154. [Google Scholar] [CrossRef]
- Maas, A.; Vujinović, M. More on the three-gluon vertex in SU(2) Yang-Mills theory in three and four dimensions. SciPost Phys. Core 2022, 5, 019. [Google Scholar] [CrossRef]
- Kızılersü, A.; Oliveira, O.; Silva, P.J.; Skullerud, J.I.; Sternbeck, A. Quark-gluon vertex from Nf = 2 lattice QCD. Phys. Rev. D 2021, 103, 114515. [Google Scholar] [CrossRef]
- Aguilar, A.C.; De Soto, F.; Ferreira, M.N.; Papavassiliou, J.; Rodríguez-Quintero, J. Infrared facets of the three-gluon vertex. Phys. Lett. B 2021, 818, 136352. [Google Scholar] [CrossRef]
- Aguilar, A.C.; Ambrósio, C.O.; De Soto, F.; Ferreira, M.N.; Oliveira, B.M.; Papavassiliou, J.; Rodríguez-Quintero, J. Ghost dynamics in the soft gluon limit. Phys. Rev. D 2021, 104, 054028. [Google Scholar] [CrossRef]
- Pinto-Gómez, F.; De Soto, F.; Ferreira, M.N.; Papavassiliou, J.; Rodríguez-Quintero, J. Lattice three-gluon vertex in extended kinematics: Planar degeneracy. Phys. Lett. B 2023, 838, 137737. [Google Scholar] [CrossRef]
- Pinto-Gomez, F.; de Soto, F. Three-gluon vertex in Landau-gauge from quenched-lattice QCD in general kinematics. In Proceedings of the 15th Conference on Quark Confinement and the Hadron Spectrum, Stavanger, Norway, 1–6 August 2022. [Google Scholar]
- Pinto-Gómez, F.; de Soto, F.; Ferreira, M.N.; Papavassiliou, J.; Rodríguez-Quintero, J. General kinematics of the three-gluon vertex from quenched lattice QCD. arXiv 2022, arXiv:2212.11894. [Google Scholar]
- Roberts, C.D.; Schmidt, S.M. Reflections upon the emergence of hadronic mass. Eur. Phys. J. ST 2020, 229, 3319–3340. [Google Scholar] [CrossRef]
- Roberts, C.D. On Mass and Matter. AAPPS Bull. 2021, 31, 6. [Google Scholar] [CrossRef]
- Roberts, C.D.; Richards, D.G.; Horn, T.; Chang, L. Insights into the emergence of mass from studies of pion and kaon structure. Prog. Part. Nucl. Phys. 2021, 120, 103883. [Google Scholar] [CrossRef]
- Binosi, D. Emergent Hadron Mass in Strong Dynamics. Few Body Syst. 2022, 63, 42. [Google Scholar] [CrossRef]
- Papavassiliou, J. Emergence of mass in the gauge sector of QCD*. Chin. Phys. C 2022, 46, 112001. [Google Scholar] [CrossRef]
- Cornwall, J.M. Quark Confinement and Vortices in Massive Gauge Invariant QCD. Nucl. Phys. 1979, B157, 392. [Google Scholar] [CrossRef]
- Parisi, G.; Petronzio, R. On Low-Energy Tests of QCD. Phys. Lett. 1980, B94, 51. [Google Scholar] [CrossRef]
- Cornwall, J.M. Dynamical Mass Generation in Continuum QCD. Phys. Rev. D 1982, 26, 1453. [Google Scholar] [CrossRef]
- Bernard, C.W. Monte Carlo Evaluation of the Effective Gluon Mass. Phys. Lett. B 1982, 108, 431–434. [Google Scholar] [CrossRef]
- Bernard, C.W. Adjoint Wilson Lines and the Effective Gluon Mass. Nucl. Phys. B 1983, 219, 341–357. [Google Scholar] [CrossRef]
- Donoghue, J.F. The Gluon ’Mass’ in the Bag Model. Phys. Rev. D 1984, 29, 2559. [Google Scholar] [CrossRef]
- Cornwall, J.M.; Papavassiliou, J. Gauge Invariant Three Gluon Vertex in QCD. Phys. Rev. D 1989, 40, 3474. [Google Scholar] [CrossRef]
- Lavelle, M. Gauge invariant effective gluon mass from the operator product expansion. Phys. Rev. D 1991, 44, 26–28. [Google Scholar] [CrossRef]
- Halzen, F.; Krein, G.I.; Natale, A.A. Relating the QCD pomeron to an effective gluon mass. Phys. Rev. 1993, D47, 295–298. [Google Scholar] [CrossRef]
- Wilson, K.G.; Walhout, T.S.; Harindranath, A.; Zhang, W.M.; Perry, R.J.; Glazek, S.D. Nonperturbative QCD: A Weak coupling treatment on the light front. Phys. Rev. 1994, D49, 6720–6766. [Google Scholar] [CrossRef]
- Mihara, A.; Natale, A.A. Dynamical gluon mass corrections in heavy quarkonia decays. Phys. Lett. 2000, B482, 378–382. [Google Scholar] [CrossRef]
- Philipsen, O. On the nonperturbative gluon mass and heavy quark physics. Nucl. Phys. 2002, B628, 167–192. [Google Scholar] [CrossRef]
- Kondo, K.I. Vacuum condensate of mass dimension 2 as the origin of mass gap and quark confinement. Phys. Lett. 2001, B514, 335–345. [Google Scholar] [CrossRef]
- Aguilar, A.C.; Natale, A.A.; Rodrigues da Silva, P.S. Relating a gluon mass scale to an infrared fixed point in pure gauge QCD. Phys. Rev. Lett. 2003, 90, 152001. [Google Scholar] [CrossRef]
- Aguilar, A.C.; Natale, A.A. A Dynamical gluon mass solution in a coupled system of the Schwinger-Dyson equations. J. High Energy Phys. 2004, 8, 057. [Google Scholar] [CrossRef]
- Aguilar, A.C.; Papavassiliou, J. Gluon mass generation in the PT-BFM scheme. J. High Energy Phys. 2006, 12, 012. [Google Scholar] [CrossRef]
- Epple, D.; Reinhardt, H.; Schleifenbaum, W.; Szczepaniak, A.P. Subcritical solution of the Yang-Mills Schroedinger equation in the Coulomb gauge. Phys. Rev. 2008, D77, 085007. [Google Scholar] [CrossRef]
- Aguilar, A.C.; Papavassiliou, J. On dynamical gluon mass generation. Eur. Phys. J. 2007, A31, 742–745. [Google Scholar] [CrossRef]
- Aguilar, A.C.; Binosi, D.; Papavassiliou, J. Gluon and ghost propagators in the Landau gauge: Deriving lattice results from Schwinger-Dyson equations. Phys. Rev. 2008, D78, 025010. [Google Scholar] [CrossRef]
- Aguilar, A.C.; Papavassiliou, J. Gluon mass generation without seagull divergences. Phys. Rev. 2010, D81, 034003. [Google Scholar] [CrossRef]
- Campagnari, D.R.; Reinhardt, H. Non-Gaussian wave functionals in Coulomb gauge Yang–Mills theory. Phys. Rev. 2010, D82, 105021. [Google Scholar] [CrossRef]
- Fagundes, D.A.; Luna, E.G.S.; Menon, M.J.; Natale, A.A. Aspects of a Dynamical Gluon Mass Approach to Elastic Hadron Scattering at LHC. Nucl. Phys. A 2012, 886, 48–70. [Google Scholar] [CrossRef]
- Aguilar, A.C.; Binosi, D.; Papavassiliou, J. The dynamical equation of the effective gluon mass. Phys. Rev. 2011, D84, 085026. [Google Scholar] [CrossRef]
- Aguilar, A.C.; Ibanez, D.; Mathieu, V.; Papavassiliou, J. Massless bound-state excitations and the Schwinger mechanism in QCD. Phys. Rev. 2012, D85, 014018. [Google Scholar] [CrossRef]
- Aguilar, A.C.; Binosi, D.; Papavassiliou, J. Gluon mass through ghost synergy. J. High Energy Phys. 2012, 01, 050. [Google Scholar] [CrossRef]
- Aguilar, A.C.; Binosi, D.; Papavassiliou, J. Gluon mass generation in the presence of dynamical quarks. Phys. Rev. 2013, D88, 074010. [Google Scholar] [CrossRef]
- Glazek, S.D.; Gómez-Rocha, M.; More, J.; Serafin, K. Renormalized quark–antiquark Hamiltonian induced by a gluon mass ansatz in heavy-flavor QCD. Phys. Lett. 2017, B773, 172–178. [Google Scholar] [CrossRef]
- Binosi, D.; Papavassiliou, J. Coupled dynamics in gluon mass generation and the impact of the three-gluon vertex. Phys. Rev. 2018, D97, 054029. [Google Scholar] [CrossRef]
- Aguilar, A.C.; Ferreira, M.N.; Figueiredo, C.T.; Papavassiliou, J. Gluon mass scale through nonlinearities and vertex interplay. Phys. Rev. D 2019, 100, 094039. [Google Scholar] [CrossRef]
- Eichmann, G.; Pawlowski, J.M.; Silva, J.M. Mass generation in Landau-gauge Yang-Mills theory. Phys. Rev. D 2021, 104, 114016. [Google Scholar] [CrossRef]
- Aguilar, A.C.; Ferreira, M.N.; Papavassiliou, J. Exploring smoking-gun signals of the Schwinger mechanism in QCD. Phys. Rev. D 2022, 105, 014030. [Google Scholar] [CrossRef]
- Horak, J.; Ihssen, F.; Papavassiliou, J.; Pawlowski, J.M.; Weber, A.; Wetterich, C. Gluon condensates and effective gluon mass. SciPost Phys. 2022, 13, 042. [Google Scholar] [CrossRef]
- Aguilar, A.C.; De Soto, F.; Ferreira, M.N.; Papavassiliou, J.; Pinto-Gómez, F.; Roberts, C.D.; Rodríguez-Quintero, J. Schwinger mechanism for gluons from lattice QCD. arXiv 2022, arXiv:2211.12594. [Google Scholar]
- Schwinger, J.S. Gauge Invariance and Mass. Phys. Rev. 1962, 125, 397–398. [Google Scholar] [CrossRef]
- Schwinger, J.S. Gauge Invariance and Mass. 2. Phys. Rev. 1962, 128, 2425–2429. [Google Scholar] [CrossRef]
- Watson, N.J. The gauge-independent QCD effective charge. Nucl. Phys. 1997, B494, 388–432. [Google Scholar] [CrossRef]
- Binosi, D.; Papavassiliou, J. The QCD effective charge to all orders. Nucl. Phys. Proc. Suppl. 2003, 121, 281–284. [Google Scholar] [CrossRef]
- Aguilar, A.C.; Binosi, D.; Papavassiliou, J.; Rodriguez-Quintero, J. Non-perturbative comparison of QCD effective charges. Phys. Rev. 2009, D80, 085018. [Google Scholar] [CrossRef]
- Gell-Mann, M.; Low, F.E. Quantum electrodynamics at small distances. Phys. Rev. 1954, 95, 1300–1312. [Google Scholar] [CrossRef]
- Itzykson, C.; Zuber, J.B. Quantum Field Theory; International Series in Pure and Applied Physics; Mcgraw-Hill: New York, NY, USA, 1980; 705p. [Google Scholar]
- Nambu, Y.; Jona-Lasinio, G. Dynamical model of elementary particles based on an analogy with superconductivity. I. Phys. Rev. 1961, 122, 345–358. [Google Scholar] [CrossRef]
- Lane, K.D. Asymptotic Freedom and Goldstone Realization of Chiral Symmetry. Phys. Rev. 1974, D10, 2605. [Google Scholar] [CrossRef]
- Politzer, H.D. Effective Quark Masses in the Chiral Limit. Nucl. Phys. 1976, B117, 397. [Google Scholar] [CrossRef]
- Miransky, V.A.; Fomin, P.I. Chiral symmetry breakdown and the spectrum of pseudoscalar mesons in quantum chromodynamics. Phys. Lett. 1981, B105, 387–391. [Google Scholar] [CrossRef]
- Atkinson, D.; Johnson, P.W. Chiral Symmetry Breaking in QCD. 2. Running Coupling Constant. Phys. Rev. 1988, D37, 2296–2299. [Google Scholar] [CrossRef]
- Brown, N.; Pennington, M.R. Studies of confinement: How quarks and gluons propagate. Phys. Rev. 1988, D38, 2266. [Google Scholar] [CrossRef]
- Williams, A.G.; Krein, G.; Roberts, C.D. Quark propagator in an Ansatz approach to QCD. Ann. Phys. 1991, 210, 464–485. [Google Scholar] [CrossRef]
- Papavassiliou, J.; Cornwall, J.M. Coupled fermion gap and vertex equations for chiral symmetry breakdown in QCD. Phys. Rev. 1991, D44, 1285–1297. [Google Scholar] [CrossRef]
- Hawes, F.T.; Roberts, C.D.; Williams, A.G. Dynamical chiral symmetry breaking and confinement with an infrared vanishing gluon propagator. Phys. Rev. 1994, D49, 4683–4693. [Google Scholar] [CrossRef]
- Natale, A.A.; Rodrigues da Silva, P.S. Critical coupling for dynamical chiral-symmetry breaking with an infrared finite gluon propagator. Phys. Lett. 1997, B392, 444–451. [Google Scholar] [CrossRef]
- Fischer, C.S.; Alkofer, R. Nonperturbative propagators, running coupling and dynamical quark mass of Landau gauge QCD. Phys. Rev. 2003, D67, 094020. [Google Scholar] [CrossRef]
- Maris, P.; Roberts, C.D. Dyson-Schwinger equations: A Tool for hadron physics. Int. J. Mod. Phys. 2003, E12, 297–365. [Google Scholar] [CrossRef]
- Aguilar, A.C.; Nesterenko, A.; Papavassiliou, J. Infrared enhanced analytic coupling and chiral symmetry breaking in QCD. J. Phys. 2005, G31, 997. [Google Scholar] [CrossRef]
- Bowman, P.O.; Heller, U.M.; Leinweber, D.B.; Parappilly, M.B.; Williams, A.G.; Zhang, J.b. Unquenched quark propagator in Landau gauge. Phys. Rev. 2005, D71, 054507. [Google Scholar] [CrossRef]
- Sauli, V.; Adam, J., Jr.; Bicudo, P. Dynamical chiral symmetry breaking with integral Minkowski representations. Phys. Rev. 2007, D75, 087701. [Google Scholar] [CrossRef]
- Cornwall, J.M. Center vortices, the functional Schrodinger equation, and CSB. In Proceedings of the 419th WE-Heraeus-Seminar: Approaches to Quantum Chromodynamics, Oberwoelz, Austria, 7–13 September 2022. [Google Scholar]
- Alkofer, R.; Fischer, C.S.; Llanes-Estrada, F.J.; Schwenzer, K. The Quark-gluon vertex in Landau gauge QCD: Its role in dynamical chiral symmetry breaking and quark confinement. Ann. Phys. 2009, 324, 106–172. [Google Scholar] [CrossRef]
- Aguilar, A.C.; Papavassiliou, J. Chiral symmetry breaking with lattice propagators. Phys. Rev. 2011, D83, 014013. [Google Scholar] [CrossRef]
- Rojas, E.; de Melo, J.; El-Bennich, B.; Oliveira, O.; Frederico, T. On the Quark-Gluon Vertex and Quark-Ghost Kernel: Combining Lattice Simulations with Dyson-Schwinger equations. J. High Energy Phys. 2013, 10, 193. [Google Scholar] [CrossRef]
- Mitter, M.; Pawlowski, J.M.; Strodthoff, N. Chiral symmetry breaking in continuum QCD. Phys. Rev. 2015, D91, 054035. [Google Scholar] [CrossRef]
- Braun, J.; Fister, L.; Pawlowski, J.M.; Rennecke, F. From Quarks and Gluons to Hadrons: Chiral Symmetry Breaking in Dynamical QCD. Phys. Rev. 2016, D94, 034016. [Google Scholar] [CrossRef]
- Heupel, W.; Goecke, T.; Fischer, C.S. Beyond Rainbow-Ladder in bound state equations. Eur. Phys. J. 2014, A50, 85. [Google Scholar] [CrossRef]
- Binosi, D.; Chang, L.; Papavassiliou, J.; Qin, S.X.; Roberts, C.D. Natural constraints on the gluon-quark vertex. Phys. Rev. 2017, D95, 031501. [Google Scholar] [CrossRef]
- Aguilar, A.C.; Cardona, J.C.; Ferreira, M.N.; Papavassiliou, J. Quark gap equation with non-abelian Ball-Chiu vertex. Phys. Rev. 2018, D98, 014002. [Google Scholar] [CrossRef]
- Gao, F.; Papavassiliou, J.; Pawlowski, J.M. Fully coupled functional equations for the quark sector of QCD. Phys. Rev. D 2021, 103, 094013. [Google Scholar] [CrossRef]
- Eichten, E.; Feinberg, F. Dynamical Symmetry Breaking of Nonabelian Gauge Symmetries. Phys. Rev. D 1974, 10, 3254–3279. [Google Scholar] [CrossRef]
- Smit, J. On the Possibility That Massless Yang-Mills Fields Generate Massive Vector Particles. Phys. Rev. D 1974, 10, 2473. [Google Scholar] [CrossRef]
- Binosi, D.; Iba nez, D.; Papavassiliou, J. The all-order equation of the effective gluon mass. Phys. Rev. 2012, D86, 085033. [Google Scholar] [CrossRef]
- Tissier, M.; Wschebor, N. Infrared propagators of Yang-Mills theory from perturbation theory. Phys. Rev. D 2010, 82, 101701. [Google Scholar] [CrossRef]
- Serreau, J.; Tissier, M. Lifting the Gribov ambiguity in Yang-Mills theories. Phys. Lett. 2012, B712, 97–103. [Google Scholar] [CrossRef]
- Peláez, M.; Tissier, M.; Wschebor, N. Two-point correlation functions of QCD in the Landau gauge. Phys. Rev. D 2014, 90, 065031. [Google Scholar] [CrossRef]
- Siringo, F. Analytical study of Yang–Mills theory in the infrared from first principles. Nucl. Phys. 2016, B907, 572–596. [Google Scholar] [CrossRef]
- Aguilar, A.C.; Binosi, D.; Figueiredo, C.T.; Papavassiliou, J. Unified description of seagull cancellations and infrared finiteness of gluon propagators. Phys. Rev. 2016, D94, 045002. [Google Scholar] [CrossRef]
- Osterwalder, K.; Schrader, R. Axioms for Euclidean Green’S Functions. Commun. Math. Phys. 1973, 31, 83–112. [Google Scholar] [CrossRef]
- Osterwalder, K.; Schrader, R. Axioms for Euclidean Green’s Functions. 2. Commun. Math. Phys. 1975, 42, 281. [Google Scholar] [CrossRef]
- Glimm, J.; Jaffe, A.M. Quantum Physics. A Functional Integral Point of View; Springer: New York, NY, USA, 1981. [Google Scholar]
- Krein, G.; Roberts, C.D.; Williams, A.G. On the implications of confinement. Int. J. Mod. Phys. 1992, A7, 5607–5624. [Google Scholar] [CrossRef]
- Cornwall, J.M. Positivity violations in QCD. Mod. Phys. Lett. 2013, A28, 1330035. [Google Scholar] [CrossRef]
- Aguilar, A.C.; Binosi, D.; Iba nez, D.; Papavassiliou, J. Effects of divergent ghost loops on Green’s functions of QCD. Phys. Rev. 2014, D89, 085008. [Google Scholar] [CrossRef]
- Pelaez, M.; Tissier, M.; Wschebor, N. Three-point correlation functions in Yang-Mills theory. Phys. Rev. 2013, D88, 125003. [Google Scholar] [CrossRef]
- Blum, A.; Huber, M.Q.; Mitter, M.; von Smekal, L. Gluonic three-point correlations in pure Landau gauge QCD. Phys. Rev. 2014, D89, 061703. [Google Scholar] [CrossRef]
- Eichmann, G.; Williams, R.; Alkofer, R.; Vujinovic, M. The three-gluon vertex in Landau gauge. Phys. Rev. 2014, D89, 105014. [Google Scholar] [CrossRef]
- Williams, R.; Fischer, C.S.; Heupel, W. Light mesons in QCD and unquenching effects from the 3PI effective action. Phys. Rev. 2016, D93, 034026. [Google Scholar] [CrossRef]
- Blum, A.L.; Alkofer, R.; Huber, M.Q.; Windisch, A. Unquenching the three-gluon vertex: A status report. Acta Phys. Pol. Suppl. 2015, 8, 321. [Google Scholar] [CrossRef]
- Cyrol, A.K.; Fister, L.; Mitter, M.; Pawlowski, J.M.; Strodthoff, N. Landau gauge Yang-Mills correlation functions. Phys. Rev. 2016, D94, 054005. [Google Scholar] [CrossRef]
- Aguilar, A.C.; Ferreira, M.N.; Figueiredo, C.T.; Papavassiliou, J. Nonperturbative Ball-Chiu construction of the three-gluon vertex. Phys. Rev. 2019, D99, 094010. [Google Scholar] [CrossRef]
- Barrios, N.; Peláez, M.; Reinosa, U. Two-loop three-gluon vertex from the Curci-Ferrari model and its leading infrared behavior to all loop orders. Phys. Rev. D 2022, 106, 114039. [Google Scholar] [CrossRef]
- Rivers, R.J. Path Integral Methods in Quantum Field Theory; Cambridge Monographs on Mathematical Physics. Cambridge University Press: Cambridge, UK, 1988. [Google Scholar] [CrossRef]
- Fujikawa, K.; Lee, B.W.; Sanda, A.I. Generalized Renormalizable Gauge Formulation of Spontaneously Broken Gauge Theories. Phys. Rev. D 1972, 6, 2923–2943. [Google Scholar] [CrossRef]
- Aguilar, A.C.; Papavassiliou, J. Infrared finite ghost propagator in the Feynman gauge. Phys. Rev. 2008, D77, 125022. [Google Scholar] [CrossRef]
- Huber, M.Q.; Schwenzer, K.; Alkofer, R. On the infrared scaling solution of SU(N) Yang-Mills theories in the maximally Abelian gauge. Eur. Phys. J. C 2010, 68, 581–600. [Google Scholar] [CrossRef]
- Siringo, F. Gluon propagator in Feynman gauge by the method of stationary variance. Phys. Rev. D 2014, 90, 094021. [Google Scholar] [CrossRef]
- Aguilar, A.C.; Binosi, D.; Papavassiliou, J. Yang-Mills two-point functions in linear covariant gauges. Phys. Rev. 2015, D91, 085014. [Google Scholar] [CrossRef]
- Huber, M.Q. Gluon and ghost propagators in linear covariant gauges. Phys. Rev. 2015, D91, 085018. [Google Scholar] [CrossRef]
- Capri, M.A.L.; Fiorentini, D.; Guimaraes, M.S.; Mintz, B.W.; Palhares, L.F.; Sorella, S.P.; Dudal, D.; Justo, I.F.; Pereira, A.D.; Sobreiro, R.F. Exact nilpotent nonperturbative BRST symmetry for the Gribov-Zwanziger action in the linear covariant gauge. Phys. Rev. D 2015, 92, 045039. [Google Scholar] [CrossRef]
- Aguilar, A.C.; Binosi, D.; Papavassiliou, J. Schwinger mechanism in linear covariant gauges. Phys. Rev. 2017, D95, 034017. [Google Scholar] [CrossRef]
- De Meerleer, T.; Dudal, D.; Sorella, S.P.; Dall’Olio, P.; Bashir, A. Landau-Khalatnikov-Fradkin Transformations, Nielsen Identities, Their Equivalence and Implications for QCD. Phys. Rev. D 2020, 101, 085005. [Google Scholar] [CrossRef]
- Napetschnig, M.; Alkofer, R.; Huber, M.Q.; Pawlowski, J.M. Yang-Mills propagators in linear covariant gauges from Nielsen identities. Phys. Rev. D 2021, 104, 054003. [Google Scholar] [CrossRef]
- Binosi, D.; Papavassiliou, J. Gauge-invariant truncation scheme for the Schwinger-Dyson equations of QCD. Phys. Rev. 2008, D77, 061702. [Google Scholar] [CrossRef]
- Pilaftsis, A. Generalized pinch technique and the background field method in general gauges. Nucl. Phys. B 1997, 487, 467–491. [Google Scholar] [CrossRef]
- Binosi, D.; Papavassiliou, J. The Pinch technique to all orders. Phys. Rev. D 2002, 66, 111901. [Google Scholar] [CrossRef]
- Binosi, D.; Papavassiliou, J. Pinch technique selfenergies and vertices to all orders in perturbation theory. J. Phys. G 2004, G30, 203. [Google Scholar] [CrossRef]
- DeWitt, B.S. Quantum Theory of Gravity. 2. The Manifestly Covariant Theory. Phys. Rev. 1967, 162, 1195–1239. [Google Scholar] [CrossRef]
- ’t Hooft, G. Renormalizable Lagrangians for Massive Yang-Mills Fields. Nucl. Phys. B 1971, 35, 167–188. [Google Scholar] [CrossRef]
- Honerkamp, J. The Question of invariant renormalizability of the massless Yang-Mills theory in a manifest covariant approach. Nucl. Phys. B 1972, 48, 269–287. [Google Scholar] [CrossRef]
- Kallosh, R.E. The Renormalization in Nonabelian Gauge Theories. Nucl. Phys. B 1974, 78, 293–312. [Google Scholar] [CrossRef]
- Kluberg-Stern, H.; Zuber, J.B. Renormalization of Nonabelian Gauge Theories in a Background Field Gauge. 1. Green Functions. Phys. Rev. D 1975, 12, 482–488. [Google Scholar] [CrossRef]
- Arefeva, I.Y.; Faddeev, L.D.; Slavnov, A.A. Generating Functional for the s Matrix in Gauge Theories. Teor. Mat. Fiz. 1974, 21, 311–321. [Google Scholar] [CrossRef]
- Abbott, L. The Background Field Method Beyond One Loop. Nucl. Phys. B 1981, 185, 189–203. [Google Scholar] [CrossRef]
- Weinberg, S. Effective Gauge Theories. Phys. Lett. B 1980, 91, 51–55. [Google Scholar] [CrossRef]
- Abbott, L.F. Introduction to the Background Field Method. Acta Phys. Polon. 1982, B13, 33. [Google Scholar]
- Shore, G.M. Symmetry Restoration and the Background Field Method in Gauge Theories. Ann. Phys. 1981, 137, 262. [Google Scholar] [CrossRef]
- Abbott, L.F.; Grisaru, M.T.; Schaefer, R.K. The Background Field Method and the S Matrix. Nucl. Phys. B 1983, 229, 372–380. [Google Scholar] [CrossRef]
- Taylor, J. Ward Identities and Charge Renormalization of the Yang-Mills Field. Nucl. Phys. B 1971, 33, 436–444. [Google Scholar] [CrossRef]
- Slavnov, A. Ward Identities in Gauge Theories. Theor. Math. Phys. 1972, 10, 99–107. [Google Scholar] [CrossRef]
- Grassi, P.A.; Hurth, T.; Steinhauser, M. Practical algebraic renormalization. Ann. Phys. 2001, 288, 197–248. [Google Scholar] [CrossRef]
- Grassi, P.A.; Hurth, T.; Steinhauser, M. The Algebraic method. Nucl. Phys. B 2001, 610, 215–250. [Google Scholar] [CrossRef]
- Binosi, D.; Papavassiliou, J. Pinch technique and the Batalin-Vilkovisky formalism. Phys. Rev. 2002, D66, 025024. [Google Scholar] [CrossRef]
- Aguilar, A.C.; Binosi, D.; Papavassiliou, J. Indirect determination of the Kugo-Ojima function from lattice data. J. High Energy Phys. 2009, 11, 066. [Google Scholar] [CrossRef]
- Binosi, D.; Quadri, A. AntiBRST symmetry and Background Field Method. Phys. Rev. 2013, D88, 085036. [Google Scholar] [CrossRef]
- Iba nez, D.; Papavassiliou, J. Gluon mass generation in the massless bound-state formalism. Phys. Rev. 2013, D87, 034008. [Google Scholar] [CrossRef]
- Aguilar, A.C.; Binosi, D.; Figueiredo, C.T.; Papavassiliou, J. Evidence of ghost suppression in gluon mass scale dynamics. Eur. Phys. J. 2018, C78, 181. [Google Scholar] [CrossRef]
- Munczek, H. Dynamical chiral symmetry breaking, Goldstone’s theorem and the consistency of the Schwinger-Dyson and Bethe–Salpeter Equations. Phys. Rev. 1995, D52, 4736–4740. [Google Scholar] [CrossRef]
- Bender, A.; Roberts, C.D.; Von Smekal, L. Goldstone theorem and diquark confinement beyond rainbow ladder approximation. Phys. Lett. 1996, B380, 7–12. [Google Scholar] [CrossRef]
- Maris, P.; Roberts, C.D.; Tandy, P.C. Pion mass and decay constant. Phys. Lett. 1998, B420, 267–273. [Google Scholar] [CrossRef]
- Maris, P.; Roberts, C.D. Pi- and K meson Bethe–Salpeter amplitudes. Phys. Rev. C 1997, 56, 3369–3383. [Google Scholar] [CrossRef]
- Chang, L.; Roberts, C.D. Sketching the Bethe–Salpeter kernel. Phys. Rev. Lett. 2009, 103, 081601. [Google Scholar] [CrossRef]
- Chang, L.; Roberts, C.D.; Tandy, P.C. Selected highlights from the study of mesons. Chin. J. Phys. 2011, 49, 955–1004. [Google Scholar]
- Qin, S.X.; Roberts, C.D. Resolving the Bethe–Salpeter Kernel. Chin. Phys. Lett. 2021, 38, 071201. [Google Scholar] [CrossRef]
- Huber, M.Q. Correlation functions of three-dimensional Yang-Mills theory from Dyson-Schwinger equations. Phys. Rev. D 2016, 93, 085033. [Google Scholar] [CrossRef]
- Schleifenbaum, W.; Maas, A.; Wambach, J.; Alkofer, R. Infrared behaviour of the ghost–gluon vertex in Landau gauge Yang-Mills theory. Phys. Rev. D 2005, 72, 014017. [Google Scholar] [CrossRef]
- Boucaud, P.; Leroy, J.; A., L.Y.; Micheli, J.; Pène, O.; Rodríguez-Quintero, J. On the IR behaviour of the Landau-gauge ghost propagator. J. High Energy Phys. 2008, 06, 099. [Google Scholar] [CrossRef]
- Huber, M.Q.; von Smekal, L. On the influence of three-point functions on the propagators of Landau gauge Yang-Mills theory. J. High Energy Phys. 2013, 04, 149. [Google Scholar] [CrossRef]
- Aguilar, A.C.; Iba nez, D.; Papavassiliou, J. Ghost propagator and ghost–gluon vertex from Schwinger-Dyson equations. Phys. Rev. 2013, D87, 114020. [Google Scholar] [CrossRef]
- Aguilar, A.C.; Ferreira, M.N.; Figueiredo, C.T.; Papavassiliou, J. Nonperturbative structure of the ghost–gluon kernel. Phys. Rev. 2019, D99, 034026. [Google Scholar] [CrossRef]
- Dudal, D.; Gracey, J.A.; Sorella, S.P.; Vandersickel, N.; Verschelde, H. A refinement of the Gribov-Zwanziger approach in the Landau gauge: Infrared propagators in harmony with the lattice results. Phys. Rev. 2008, D78, 065047. [Google Scholar] [CrossRef]
- Boucaud, P.; Leroy, J.P.; Le Yaouanc, A.; Micheli, J.; Pene, O.; Rodríguez-Quintero, J. IR finiteness of the ghost dressing function from numerical resolution of the ghost SD equation. J. High Energy Phys. 2008, 06, 012. [Google Scholar] [CrossRef]
- Kondo, K.I. Infrared behavior of the ghost propagator in the Landau gauge Yang-Mills theory. Prog. Theor. Phys. 2010, 122, 1455–1475. [Google Scholar] [CrossRef]
- Pennington, M.R.; Wilson, D.J. Are the Dressed Gluon and Ghost Propagators in the Landau Gauge presently determined in the confinement regime of QCD? Phys. Rev. D 2011, 84, 094028, Erratum in Phys. Rev. D 2011, 84, 119901. [Google Scholar] [CrossRef]
- Dudal, D.; Oliveira, O.; Rodriguez-Quintero, J. Nontrivial ghost–gluon vertex and the match of RGZ, DSE and lattice Yang-Mills propagators. Phys. Rev. 2012, D86, 105005, Erratum in Phys. Rev. D 2012, 86, 109902. [Google Scholar] [CrossRef]
- Papavassiliou, J.; Aguilar, A.C.; Ferreira, M.N. Theory and phenomenology of the three-gluon vertex. Rev. Mex. Fis. Suppl. 2022, 3, 0308112. [Google Scholar] [CrossRef]
- Meyers, J.; Swanson, E.S. Spin Zero Glueballs in the Bethe–Salpeter Formalism. Phys. Rev. 2013, D87, 036009. [Google Scholar] [CrossRef]
- Sanchis-Alepuz, H.; Fischer, C.S.; Kellermann, C.; von Smekal, L. Glueballs from the Bethe–Salpeter equation. Phys. Rev. 2015, D92, 034001. [Google Scholar] [CrossRef]
- Xu, S.S.; Cui, Z.F.; Chang, L.; Papavassiliou, J.; Roberts, C.D.; Zong, H.S. New perspective on hybrid mesons. Eur. Phys. J. 2019, A55, 113. [Google Scholar] [CrossRef]
- Souza, E.V.; Ferreira, M.N.; Aguilar, A.C.; Papavassiliou, J.; Roberts, C.D.; Xu, S.S. Pseudoscalar glueball mass: A window on three-gluon interactions. Eur. Phys. J. A 2020, 56, 25. [Google Scholar] [CrossRef]
- Huber, M.Q.; Fischer, C.S.; Sanchis-Alepuz, H. Spectrum of scalar and pseudoscalar glueballs from functional methods. Eur. Phys. J. C 2020, 80, 1077. [Google Scholar] [CrossRef] [PubMed]
- Huber, M.Q.; Fischer, C.S.; Sanchis-Alepuz, H. Higher spin glueballs from functional methods. Eur. Phys. J. C 2021, 81, 1083, Erratum in Eur. Phys. J. C 2022, 82, 38. [Google Scholar] [CrossRef]
- Aguilar, A.C.; Ferreira, M.N.; Papavassiliou, J. Novel sum rules for the three-point sector of QCD. Eur. Phys. J. C 2020, 80, 887. [Google Scholar] [CrossRef]
- Aguilar, A.C.; Ferreira, M.N.; Papavassiliou, J. Gluon dynamics from an ordinary differential equation. Eur. Phys. J. C 2021, 81, 54. [Google Scholar] [CrossRef]
- Cornwall, J.M.; Papavassiliou, J.; Binosi, D. The Pinch Technique and its Applications to Non-Abelian Gauge Theories; Cambridge University Press: Cambridge, UK, 2010; Volume 31. [Google Scholar]
- Binosi, D.; Papavassiliou, J. New Schwinger-Dyson equations for non-Abelian gauge theories. J. High Energy Phys. 2008, 11, 063. [Google Scholar] [CrossRef]
- Grassi, P.A.; Hurth, T.; Quadri, A. On the Landau background gauge fixing and the IR properties of YM Green functions. Phys. Rev. 2004, D70, 105014. [Google Scholar]
- Kugo, T. The Universal renormalization factors Z(1) / Z(3) and color confinement condition in nonAbelian gauge theory. arXiv 1995, arXiv:9511033. [Google Scholar]
- Kondo, K.I. Kugo-Ojima color confinement criterion and Gribov-Zwanziger horizon condition. Phys. Lett. B 2009, 678, 322–330. [Google Scholar] [CrossRef]
- Becchi, C.; Rouet, A.; Stora, R. Renormalization of the Abelian Higgs-Kibble Model. Commun. Math. Phys. 1975, 42, 127–162. [Google Scholar] [CrossRef]
- Becchi, C.; Rouet, A.; Stora, R. Renormalization of Gauge Theories. Ann. Phys. 1976, 98, 287–321. [Google Scholar] [CrossRef]
- Tyutin, I.V. Gauge Invariance in Field Theory and Statistical Physics in Operator Formalism. arXiv 1975, arXiv:0812.0580. [Google Scholar]
- Ball, J.S.; Chiu, T.W. Analytic Properties of the Vertex Function in Gauge Theories. 2. Phys. Rev. D 1980, 22, 2550, Erratum in Phys. Rev. D 1981, 23, 3085. [Google Scholar] [CrossRef]
- Davydychev, A.I.; Osland, P.; Tarasov, O. Three gluon vertex in arbitrary gauge and dimension. Phys. Rev. D 1996, 54, 4087–4113, Erratum in Phys. Rev. D 1999, 59, 109901. [Google Scholar] [CrossRef]
- von Smekal, L.; Hauck, A.; Alkofer, R. A Solution to Coupled Dyson–Schwinger Equations for Gluons and Ghosts in Landau Gauge. Ann. Phys. 1998, 267, 1–60, Erratum in Ann. Phys. 1998, 269, 182. [Google Scholar] [CrossRef]
- Binosi, D.; Papavassiliou, J. Gauge invariant Ansatz for a special three-gluon vertex. J. High Energy Phys. 2011, 03, 121. [Google Scholar] [CrossRef]
- Gracey, J.; Kißler, H.; Kreimer, D. Self-consistency of off-shell Slavnov-Taylor identities in QCD. Phys. Rev. D 2019, 100, 085001. [Google Scholar] [CrossRef]
- Collins, J.C. Renormalization. An Introduction To Renormalization, The Renormalization Group, And The Operator Product Expansion; Cambridge University Press: Cambridge, UK, 1986. [Google Scholar]
- Brodsky, S.J.; Shrock, R. Maximum Wavelength of Confined Quarks and Gluons and Properties of Quantum Chromodynamics. Phys. Lett. 2008, B666, 95–99. [Google Scholar] [CrossRef]
- Braun, J.; Gies, H.; Pawlowski, J.M. Quark Confinement from Color Confinement. Phys. Lett. 2010, B684, 262–267. [Google Scholar] [CrossRef]
- Gao, F.; Qin, S.X.; Roberts, C.D.; Rodriguez-Quintero, J. Locating the Gribov horizon. Phys. Rev. 2018, D97, 034010. [Google Scholar] [CrossRef]
- Jackiw, R.; Johnson, K. Dynamical Model of Spontaneously Broken Gauge Symmetries. Phys. Rev. D 1973, 8, 2386–2398. [Google Scholar] [CrossRef]
- Jackiw, R. Dynamical Symmetry Breaking. In Proceedings of the 11th International School of Subnuclear Physics: Laws of Hadronic Matter, Erice, Italy, 8–26 July 1973. [Google Scholar]
- Papavassiliou, J. Gauge Invariant Proper Selfenergies and Vertices in Gauge Theories with Broken Symmetry. Phys. Rev. D 1990, 41, 3179. [Google Scholar] [CrossRef] [PubMed]
- Nakanishi, N. A General survey of the theory of the Bethe–Salpeter equation. Prog. Theor. Phys. Suppl. 1969, 43, 1–81. [Google Scholar] [CrossRef]
- Blank, M.; Krassnigg, A. Matrix algorithms for solving (in)homogeneous bound state equations. Comput. Phys. Commun. 2011, 182, 1391–1401. [Google Scholar] [CrossRef] [PubMed]
- Wilson, K.G. Quantum field theory models in less than four-dimensions. Phys. Rev. 1973, D7, 2911–2926. [Google Scholar]
- Poggio, E.C.; Tomboulis, E.; Tye, S.H.H. Dynamical Symmetry Breaking in Nonabelian Field Theories. Phys. Rev. 1975, D11, 2839. [Google Scholar] [CrossRef]
- Denner, A.; Weiglein, G.; Dittmaier, S. Gauge invariance of green functions: Background field method versus pinch technique. Phys. Lett. 1994, B333, 420–426. [Google Scholar] [CrossRef]
- Hashimoto, S.; Kodaira, J.; Yasui, Y.; Sasaki, K. The Background field method: Alternative way of deriving the pinch technique’s results. Phys. Rev. D 1994, 50, 7066–7076. [Google Scholar] [CrossRef]
- Papavassiliou, J. On the connection between the pinch technique and the background field method. Phys. Rev. 1995, D51, 856–861. [Google Scholar] [CrossRef]
- Aguilar, A.C.; Binosi, D.; Iba nez, D.; Papavassiliou, J. New method for determining the quark-gluon vertex. Phys. Rev. 2014, D90, 065027. [Google Scholar] [CrossRef]
- Alkofer, R.; Fischer, C.S.; Llanes-Estrada, F.J. Vertex functions and infrared fixed point in Landau gauge SU(N) Yang-Mills theory. Phys. Lett. B 2005, 611, 279–288, Erratum in Phys. Lett. B 2009, 670, 460–461. [Google Scholar] [CrossRef]
- Kugo, T.; Ojima, I. Local Covariant Operator Formalism of Nonabelian Gauge Theories and Quark Confinement Problem. Prog. Theor. Phys. Suppl. 1979, 66, 1–130. [Google Scholar] [CrossRef]
- Nakanishi, N.; Ojima, I. Covariant Operator Formalism of Gauge Theories and Quantum Gravity; World Scientific Lectures Notes in Physics: Singapore, 1990; Volume 27. [Google Scholar] [CrossRef]
- Alkofer, R.; Huber, M.Q.; Schwenzer, K. Infrared singularities in Landau gauge Yang-Mills theory. Phys. Rev. D 2010, 81, 105010. [Google Scholar] [CrossRef]
- Huber, M.Q. On non-primitively divergent vertices of Yang–Mills theory. Eur. Phys. J. 2017, C77, 733. [Google Scholar] [CrossRef]
- Aguilar, A.C.; Ferreira, M.N.; Oliveira, B.M.; Papavassiliou, J. Schwinger-Dyson truncations in the all-soft limit: A case study. Eur. Phys. J. C 2022, 82, 1068. [Google Scholar] [CrossRef]
- Celmaster, W.; Gonsalves, R.J. The Renormalization Prescription Dependence of the QCD Coupling Constant. Phys. Rev. 1979, D20, 1420. [Google Scholar]
- Mintz, B.W.; Palhares, L.F.; Sorella, S.P.; Pereira, A.D. Ghost-gluon vertex in the presence of the Gribov horizon. Phys. Rev. 2018, D97, 034020. [Google Scholar] [CrossRef]
- Barrios, N.; Peláez, M.; Reinosa, U.; Wschebor, N. The ghost-antighost–gluon vertex from the Curci-Ferrari model: Two-loop corrections. Phys. Rev. D 2020, 102, 114016. [Google Scholar] [CrossRef]
- Cyrol, A.K.; Pawlowski, J.M.; Rothkopf, A.; Wink, N. Reconstructing the gluon. SciPost Phys. 2018, 5, 065. [Google Scholar] [CrossRef]
- Binosi, D.; Tripolt, R.A. Spectral functions of confined particles. Phys. Lett. B 2020, 801, 135171. [Google Scholar] [CrossRef]
- Kern, W.; Huber, M.Q.; Alkofer, R. The spectral dimension as a tool for analyzing non-perturbative propagators. Phys. Rev. 2019, D100, 094037. [Google Scholar] [CrossRef]
- Horak, J.; Papavassiliou, J.; Pawlowski, J.M.; Wink, N. Ghost spectral function from the spectral Dyson-Schwinger equation. Phys. Rev. D 2021, 104, 074017. [Google Scholar] [CrossRef]
- Horak, J.; Pawlowski, J.M.; Rodríguez-Quintero, J.; Turnwald, J.; Urban, J.M.; Wink, N.; Zafeiropoulos, S. Reconstructing QCD spectral functions with Gaussian processes. Phys. Rev. D 2022, 105, 036014. [Google Scholar] [CrossRef]
- Horak, J.; Pawlowski, J.M.; Wink, N. On the complex structure of Yang-Mills theory. arXiv 2022, arXiv:2202.09333. [Google Scholar]
- Kallen, G. On the definition of the Renormalization Constants in Quantum Electrodynamics. Helv. Phys. Acta 1952, 25, 417. [Google Scholar] [CrossRef]
- Lehmann, H. On the Properties of propagation functions and renormalization contants of quantized fields. Nuovo Cim. 1954, 11, 342–357. [Google Scholar] [CrossRef]
- Gross, D.J.; Pisarski, R.D.; Yaffe, L.G. QCD and Instantons at Finite Temperature. Rev. Mod. Phys. 1981, 53, 43. [Google Scholar] [CrossRef]
- Jackiw, R.; Templeton, S. How Superrenormalizable Interactions Cure their Infrared Divergences. Phys. Rev. D 1981, 23, 2291. [Google Scholar] [CrossRef]
- Appelquist, T.; Pisarski, R.D. High-Temperature Yang-Mills Theories and Three-Dimensional Quantum Chromodynamics. Phys. Rev. D 1981, 23, 2305. [Google Scholar] [CrossRef]
- Deser, S.; Jackiw, R.; Templeton, S. Three-Dimensional Massive Gauge Theories. Phys. Rev. Lett. 1982, 48, 975–978. [Google Scholar] [CrossRef]
- Cornwall, J.M. HOW d = 3 QCD RESEMBLES d = 4 QCD. Physica 1989, A158, 97–110. [Google Scholar] [CrossRef]
- Cornwall, J.M. Exact zero momentum sum rules in d = 3 gauge theory. Nucl. Phys. B 1994, 416, 335–350. [Google Scholar] [CrossRef]
- Alexanian, G.; Nair, V.P. A Selfconsistent inclusion of magnetic screening for the quark - gluon plasma. Phys. Lett. 1995, B352, 435–439. [Google Scholar] [CrossRef]
- Cornwall, J.M.; Yan, B. String tension and Chern-Simons fluctuations in the vortex vacuum of d = 3 gauge theory. Phys. Rev. D 1996, 53, 4638–4649. [Google Scholar] [CrossRef]
- Cornwall, J.M. On the phase transition in D = 3 Yang-Mills Chern-Simons gauge theory. Phys. Rev. D 1996, 54, 1814–1825. [Google Scholar] [CrossRef]
- Buchmuller, W.; Philipsen, O. Magnetic screening in the high temperature phase of the standard model. Phys. Lett. 1997, B397, 112–118. [Google Scholar] [CrossRef]
- Jackiw, R.; Pi, S.Y. Seeking an even-parity mass term for 3-D gauge theory. Phys. Lett. 1997, B403, 297–303. [Google Scholar] [CrossRef]
- Cornwall, J.M. On one-loop gap equations for the magnetic mass in d = 3 gauge theory. Phys. Rev. 1998, D57, 3694–3700. [Google Scholar]
- Karabali, D.; Kim, C.j.; Nair, V. On the vacuum wave function and string tension of Yang-Mills theories in (2+1)-dimensions. Phys. Lett. 1998, B434, 103–109. [Google Scholar] [CrossRef]
- Eberlein, F. Two loop gap equations for the magnetic mass. Phys. Lett. 1998, B439, 130–136. [Google Scholar] [CrossRef]
- Aguilar, A.C.; Binosi, D.; Papavassiliou, J. Nonperturbative gluon and ghost propagators for d=3 Yang-Mills. Phys. Rev. 2010, D81, 125025. [Google Scholar] [CrossRef]






















| External Legs | Diagrammatic Representation | Symbol | Self-Energy | BQI |
|---|---|---|---|---|
![]() | — | |||
![]() | ||||
![]() |
| Case (j) | Confidence Level in | ||
|---|---|---|---|
| 1 | 71.37 | ||
| 2 | 3.399 | 1 − | |
| 3 | 50.03 |
Disclaimer/Publisher’s Note: The statements, opinions and data contained in all publications are solely those of the individual author(s) and contributor(s) and not of MDPI and/or the editor(s). MDPI and/or the editor(s) disclaim responsibility for any injury to people or property resulting from any ideas, methods, instructions or products referred to in the content. |
© 2023 by the authors. Licensee MDPI, Basel, Switzerland. This article is an open access article distributed under the terms and conditions of the Creative Commons Attribution (CC BY) license (https://creativecommons.org/licenses/by/4.0/).
Share and Cite
Ferreira, M.N.; Papavassiliou, J. Gauge Sector Dynamics in QCD. Particles 2023, 6, 312-363. https://doi.org/10.3390/particles6010017
Ferreira MN, Papavassiliou J. Gauge Sector Dynamics in QCD. Particles. 2023; 6(1):312-363. https://doi.org/10.3390/particles6010017
Chicago/Turabian StyleFerreira, Mauricio Narciso, and Joannis Papavassiliou. 2023. "Gauge Sector Dynamics in QCD" Particles 6, no. 1: 312-363. https://doi.org/10.3390/particles6010017
APA StyleFerreira, M. N., & Papavassiliou, J. (2023). Gauge Sector Dynamics in QCD. Particles, 6(1), 312-363. https://doi.org/10.3390/particles6010017




