The Novel Scaling of Tsallis Parameters from the Transverse Momentum Spectra of Charged Particles in Heavy-Ion Collisions
Abstract
1. Introduction
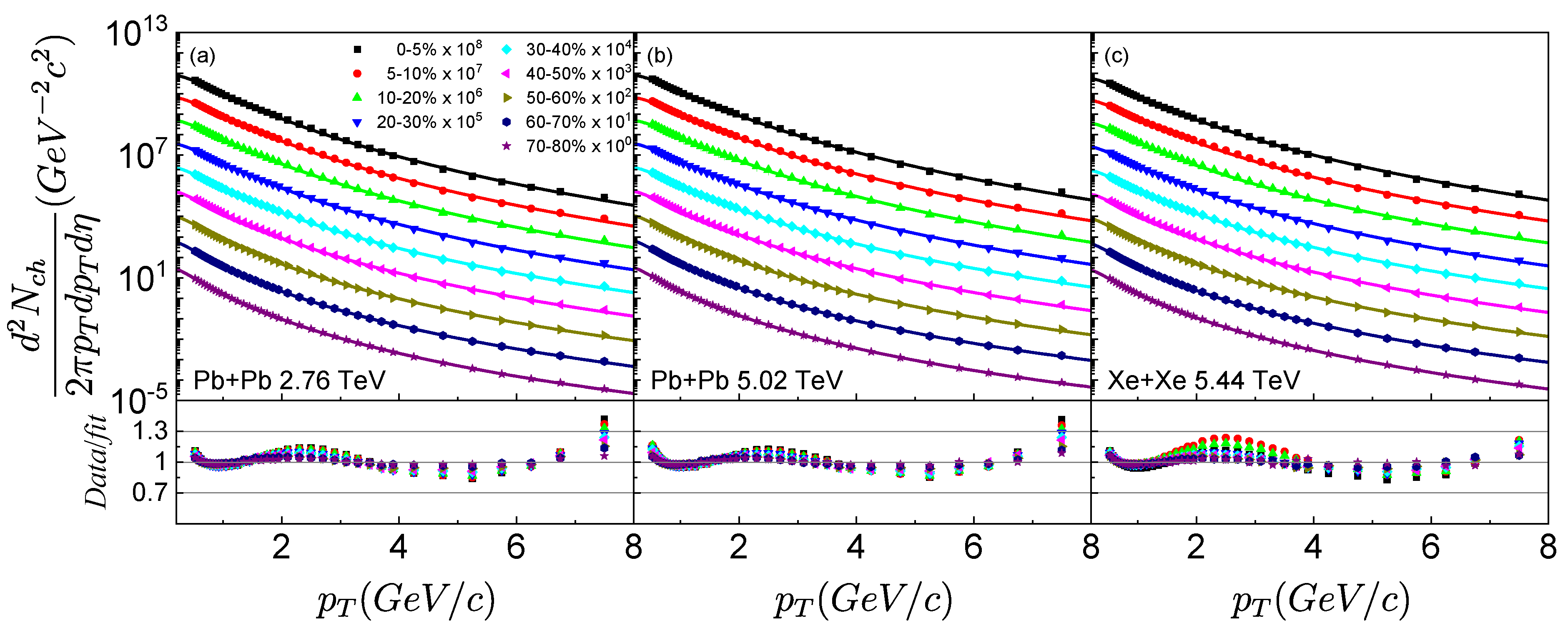
2. Formula of the Transverse Momentum Distribution
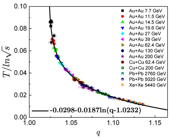
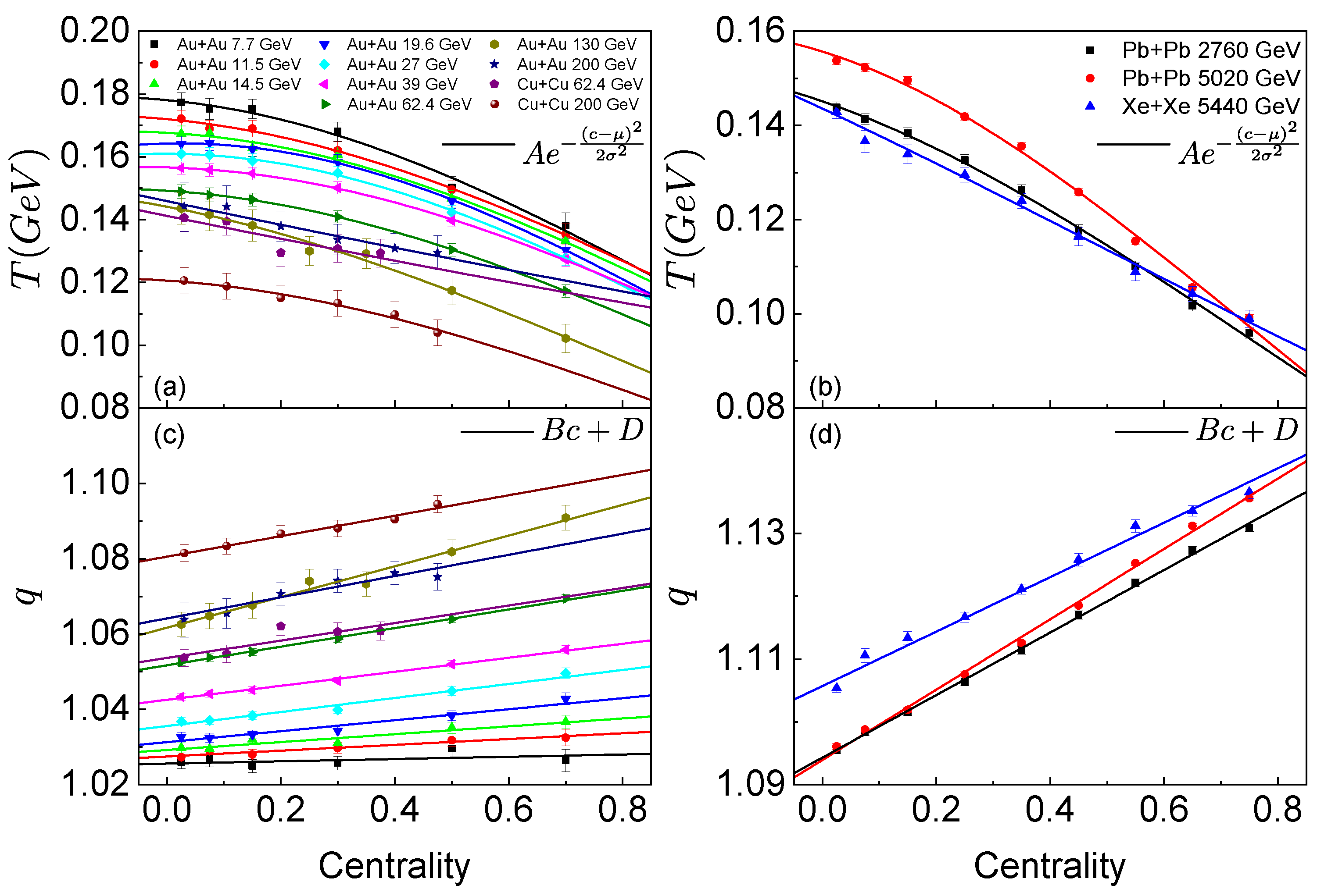
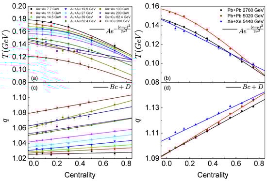
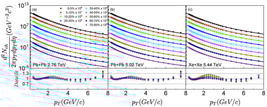
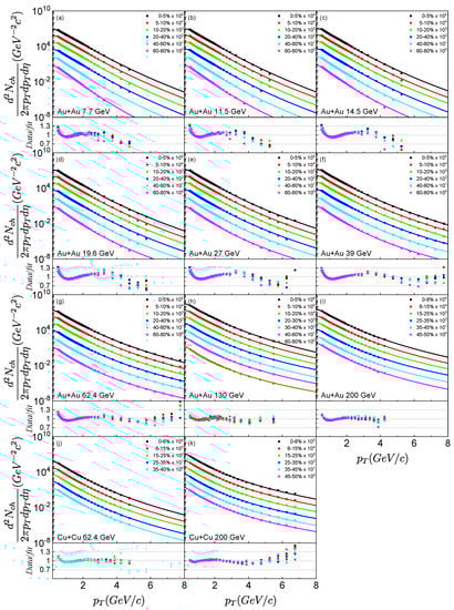
3. Results
4. Conclusions
Author Contributions
Funding
Institutional Review Board Statement
Informed Consent Statement
Data Availability Statement
Conflicts of Interest
Appendix A. The of the Fitting Results in Figures 1 and 2
| System | Centrality | |
|---|---|---|
| Au + Au 7.7 GeV | 0–5% | 0.789 |
| 5–10% | 0.762 | |
| 10–20% | 0.837 | |
| 20–40% | 0.684 | |
| 40–60% | 0.385 | |
| 60–80% | 0.263 | |
| Au + Au 11.5 GeV | 0–5% | 1.223 |
| 5–10% | 1.018 | |
| 10–20% | 1.162 | |
| 20–40% | 1.045 | |
| 40–60% | 0.720 | |
| 60–80% | 0.463 | |
| Au + Au 14.5 GeV | 0–5% | 1.183 |
| 5–10% | 1.366 | |
| 10–20% | 1.077 | |
| 20–40% | 1.391 | |
| 40–60% | 1.023 | |
| 60–80% | 0.671 | |
| Au + Au 19.6 GeV | 0–5% | 1.260 |
| 5–10% | 1.444 | |
| 10–20% | 1.424 | |
| 20–40% | 1.618 | |
| 40–60% | 1.380 | |
| 60–80% | 0.775 | |
| Au + Au 27 GeV | 0–5% | 1.256 |
| 5–10% | 1.392 | |
| 10–20% | 1.368 | |
| 20–40% | 1.464 | |
| 40–60% | 1.207 | |
| 60–80% | 0.820 | |
| Au + Au 39 GeV | 0–5% | 0.929 |
| 5–10% | 0.998 | |
| 10–20% | 1.030 | |
| 20–40% | 1.072 | |
| 40–60% | 1.032 | |
| 60–80% | 1.039 | |
| Au + Au 62.4 GeV | 0–5% | 0.698 |
| 5–10% | 0.665 | |
| 10–20% | 0.711 | |
| 20–40% | 0.640 | |
| 40–60% | 0.632 | |
| 60–80% | 0.574 | |
| Au + Au 130 GeV | 0–5% | 0.302 |
| 5–10% | 0.321 | |
| 10–20% | 0.231 | |
| 20–30% | 0.182 | |
| 30–40% | 0.246 | |
| 40–60% | 0.165 | |
| 60–80% | 0.174 | |
| Au + Au 200 GeV | 0–6% | 0.142 |
| 6–15% | 0.188 | |
| 15–25% | 0.255 | |
| 25–35% | 0.247 | |
| 35–45% | 0.345 | |
| 45–50% | 0.467 | |
| Cu + Cu 62.4 GeV | 0–6% | 0.199 |
| 6–15% | 0.236 | |
| 15–25% | 0.178 | |
| 25–35% | 0.213 | |
| 35–40% | 0.480 | |
| Cu + Cu 200 GeV | 0–6% | 0.531 |
| 6–15% | 0.377 | |
| 15–25% | 0.290 | |
| 25–35% | 0.189 | |
| 35–45% | 0.266 | |
| 45–50% | 0.264 |
| System | Centrality | |
|---|---|---|
| Pb + Pb 2.76 TeV | 0–5% | 12.669 |
| 5–10% | 10.693 | |
| 10–20% | 9.489 | |
| 20–30% | 7.168 | |
| 30–40% | 5.862 | |
| 40–50% | 4.095 | |
| 50–60% | 2.990 | |
| 60–70% | 1.794 | |
| 70–80% | 0.957 | |
| Pb + Pb 5.02 TeV | 0–5% | 22.199 |
| 5–10% | 20.963 | |
| 10–20% | 21.037 | |
| 20–30% | 18.503 | |
| 30–40% | 16.016 | |
| 40–50% | 12.836 | |
| 50–60% | 9.049 | |
| 60–70% | 6.126 | |
| 70–80% | 3.204 | |
| Xe + Xe 5.44 TeV | 0–5% | 8.279 |
| 5–10% | 2.777 | |
| 10–20% | 3.238 | |
| 20–30% | 3.425 | |
| 30–40% | 2.796 | |
| 40–50% | 1.279 | |
| 50–60% | 0.709 | |
| 60–70% | 0.995 | |
| 70–80% | 0.481 |
References
- Adamczyk, L.; Adams, J.R.; Adkins, J.K.; Agakishiev, G.; Aggarwal, M.M.; Ahammed, Z.; Ajitanand, N.N.; Alekseev, I.; Anderson, D.M.; Aoyama, R.; et al. Beam Energy Dependence of Jet-Quenching Effects in Au + Au Collisions at sNN = 7.7, 11.5, 14.5, 19.6, 27, 39, and 62.4 GeV. Phys. Rev. Lett. 2018, 121, 032301. [Google Scholar] [CrossRef] [PubMed]
- Adler, C.; Ahammed, Z.; Allgower, C.; Amonett, J.; Anderson, B.D.; Anderson, M.; Averichev, G.S.; Balewski, J.; Barannikova, O.; Barnby, L.S.; et al. Centrality Dependence of High-pT Hadron Suppression in Au + Au Collisions at sNN = 130 GeV. Phys. Rev. Lett. 2002, 89, 202301. [Google Scholar] [CrossRef] [PubMed]
- Back, B.B.; Baker, M.D.; Barton, D.S.; Betts, R.R.; Ballintijn, M.; Bickley, A.A.; Bindel, R.; Budzanowski, A.; Busza, W.; Carroll, A.; et al. Charged hadron transverse momentum distributions in Au + Au collisions at sNN = 200 GeV. Phys. Lett. B 2004, 578, 297. [Google Scholar] [CrossRef]
- Alver, B.; Back, B.B.; Baker, M.D.; Ballintijn, M.; Barton, D.S.; Betts, R.R.; Bindel, R.; Busza, W.; Chai, Z.; Chetluru, V.; et al. System Size and Centrality Dependence of Charged Hadron Transverse Momentum Spectra in Au + Au and Cu Cu Collisions at sNN = 62.4 and 200 GeV. Phys. Rev. Lett. 2006, 96, 212301. [Google Scholar] [CrossRef]
- Acharya, S.; Acosta, F.T.; Adamová, D.; Adolfsson, J.; Aggarwal, M.M.; Aglieri Rinella, G.; Agnello, M.; Agrawal, N.; Ahammed, Z.; Ahn, S.U.; et al. Transverse momentum spectra and nuclear modification factors of charged particles in pp, p-Pb and Pb-Pb collisions at the LHC. J. High Energy Phys. 2018, 11, 013. [Google Scholar]
- Acharya, S.; Adamová, D.; Adolfsson, J.; Aggarwal, M.M.; Rinella, G.A.; Agnello, M.; Agrawal, N.; Ahammed, Z.; Ahn, S.U.; Aiola, S.; et al. Transverse momentum spectra and nuclear modification factors of charged particles in Xe—Xe collisions at sNN = 5.44 TeV. Phys. Lett. B 2019, 788, 166. [Google Scholar] [CrossRef]
- Abelev, B.I.; Aggarwal, M.M.; Ahammed, Z.; Anderson, B.D.; Arkhipkin, D.; Averichev, G.S.; Bai, Y.; Balewski, J.; Barannikova, O.; Barnby, L.S.; et al. Systematic measurements of identified particle spectra in pp, d + Au, and Au + Au collisions at the STAR detector. Phys. Rev. C 2009, 79, 034909. [Google Scholar] [CrossRef]
- Adamczyk, L.; Adkins, J.K.; Agakishiev, G.; Aggarwal, M.M.; Ahammed, Z.; Ajitanand, N.N.; Alekseev, I.; Anderson, D.M.; Aoyama, R.; Aparin, A.; et al. Bulk properties of the medium produced in relativistic heavy-ion collisions from the beam energy scan program. Phys. Rev. C 2017, 96, 044904. [Google Scholar] [CrossRef]
- Adam, J.; Adamová, D.; Aggarwal, M.M.; Rinella, G.A.; Agnello, M.; Agrawal, N.; Ahammed, Z.; Ahn, S.U.; Aiola, S.; Akindinov, A.; et al. Pseudorapidity and transverse-momentum distributions of charged particles in proton-proton collisions at s = 13 TeV. Phys. Lett. B 2016, 753, 319. [Google Scholar] [CrossRef]
- Khachatryan, V.; Sirunyan, A.M.; Tumasyan, A.; Adam, W.; Bergauer, T.; Dragicevic, M.; Erö, J.; Friedl, M.; Fruehwirth, R.; Ghete, V.M.; et al. Transverse-momentum and pseudorapidity distributions of charged hadrons in pp collisions at s = 0.9 and 2.36 TeV. J. High Energy Phys. 2010, 2, 041. [Google Scholar]
- Adams, J.; Adler, C.; Aggarwal, M.M.; Ahammed, Z.; Amonett, J.; Anderson, B.D.; Anderson, M.; Arkhipkin, D.; Averichev, G.S.; Badyal, S.K.; et al. Transverse-Momentum and Collision-Energy Dependence of High-pT Hadron Suppression in Au+Au Collisions at Ultrarelativistic Energies. Phys. Rev. Lett. 2003, 91, 172302. [Google Scholar] [CrossRef] [PubMed]
- Adam, J.; Adamová, D.; Aggarwal, M.M.; Rinella, G.A.; Agnello, M.; Agrawal, N.; Ahammed, Z.; Ahmed, I.; Ahn, S.U.; Aimo, I.; et al. Measurement of pion, kaon and proton production in proton–proton collisions at s = 7 TeV. Eur. Phys. J. C 2015, 75, 226. [Google Scholar] [CrossRef] [PubMed]
- Aad, G.; Abbott, B.; Abdallah, J.; Abeloos, B.; Aben, R.; Abolins, M.; AbouZeid, O.S.; Abraham, N.L.; Abramowicz, H.; Abreu, H.; et al. Charged-particle distributions in pp interactions at s = 8 TeV measured with the ATLAS detector. Eur. Phys. J. C 2016, 76, 403. [Google Scholar] [CrossRef] [PubMed]
- Arnison, G.; Astbury, A.; Aubert, B.; Bacci, C.; Bernabei, R.; Bezaguet, A.; Böck, R.; Bowcock, T.J.V.; Calvetti, M.; Carroll, T.; et al. Transverse momentum spectra for charged particles at the cern proton-antiproton collider. Phys. Lett. B 1982, 118, 167. [Google Scholar] [CrossRef]
- Abe, F.; Amidei, D.; Apollinari, G.; Ascoli, G.; Atac, M.; Auchincloss, P.; Baden, A.R.; Barbaro-Galtieri, A.; Barnes, V.E.; Bedeschi, F.; et al. Transverse-Momentum Distributions of Charged Particles Produced in p Interactions at s = 630 and 1800 GeV. Phys. Rev. Lett. 1988, 61, 1819. [Google Scholar] [CrossRef]
- Adams, J.; Adler, C.; Aggarwal, M.M.; Ahammed, Z.; Amonett, J.; Anderson, B.D.; Anderson, M.; Arkhipkin, D.; Averichev, G.S.; Badyal, S.K.; et al. Identified Particle Distributions in pp and Au + Au Collisions at sNN = 200 GeV. Phys. Rev. Lett. 2004, 92, 112301. [Google Scholar] [CrossRef]
- Back, B.B.; Baker, M.D.; Ballintijn, M.; Barton, D.S.; Betts, R.R.; Bickley, A.A.; Bindel, R.; Busza, W.; Carroll, A.; Chai, Z.; et al. Centrality Dependence of Charged Hadron Transverse Momentum Spectra in Au + Au Collisions from sNN = 62.4 to 200 GeV. Phys. Rev. Lett. 2005, 94, 082304. [Google Scholar] [CrossRef]
- Back, B.B.; Baker, M.D.; Ballintijn, M.; Barton, D.S.; Becker, B.; Betts, R.R.; Bickley, A.A.; Bindel, R.; Budzanowski, A.; Busza, W.; et al. Centrality Dependence of Charged-Hadron Transverse-Momentum Spectra in d + Au Collisions at sNN = 200 GeV. Phy. Rev. Lett. 2003, 91, 072302. [Google Scholar] [CrossRef]
- Adam, J.; Adamová, D.; Aggarwal, M.M.; Rinella, G.A.; Agnello, M.; Agrawal, N.; Ahammed, Z.; Ahmad, S.; Ahn, S.U.; Aiola, S.; et al. Multiplicity dependence of charged pion, kaon, and (anti)proton production at large transverse momentum in p–Pb collisions at sNN = 5.02 TeV. Phys. Lett. B 2016, 760, 720–735. [Google Scholar] [CrossRef]
- Lin, Z.W.; Ko, C.M.; Li, B.A.; Zhang, B.; Pal, S. Multiphase transport model for relativistic heavy ion collisions. Phys. Rev. C 2005, 72, 064901. [Google Scholar] [CrossRef]
- Ostapchenko, S. Monte Carlo treatment of hadronic interactions in enhanced Pomeron scheme: QGSJET-II model. Phys. Rev. D 2011, 83, 014018. [Google Scholar] [CrossRef]
- Wang, X.N.; Gyulassy, M. A Monte Carlo model for multiple jet production in pp, p A, and A A collisions. Phys. Rev. D 1991, 44, 3501. [Google Scholar] [CrossRef] [PubMed]
- Sa, B.H.; Zhou, D.M.; Yan, Y.L.; Li, X.M.; Feng, S.Q.; Dong, B.G.; Cai, X. PACIAE 2.0: An updated parton and hadron cascade model (program) for the relativistic nuclear collisions. Commun. Comput. Phys. 2012, 72, 064901. [Google Scholar] [CrossRef]
- Nara, Y.; Niemi, H.; Ohnishi, A.; Steinheimer, J.; Luo, X.F.; Stocker, H. Enhancement of elliptic flow can signal a first-order phase transition in high-energy heavy-ion collisions. Eur. Phys. J. A 2018, 54, 18. [Google Scholar] [CrossRef]
- Bozek, P. Flow and interferometry in (3 + 1)-dimensional viscous hydrodynamics. Phys. Rev. C 2012, 85, 034901. [Google Scholar] [CrossRef]
- Ivanov, Y.B.; Russkikh, V.N.; Toneev, V.D. Relativistic heavy-ion collisions within three-fluid hydrodynamics: Hadronic scenario. Phys. Rev. C 2006, 73, 044904. [Google Scholar] [CrossRef]
- Fries, R.J.; Muller, B.; Nonaka, C.; Bass, S.A. Hadronization in heavy-ion collisions: Recombination and fragmentation of partons. Phys. Rev. Lett. 2003, 90, 202303. [Google Scholar] [CrossRef]
- Fries, R.J.; Muller, B.; Nonaka, C.; Bass, S.A. Hadron production in heavy ion collisions: Fragmentation and recombination from a dense parton phase. Phys. Rev. C 2003, 68, 044902. [Google Scholar] [CrossRef]
- Hwa, R.C.; Yang, C.B. Scaling behavior at high pT and the p/π ratio. Phys. Rev. C 2003, 67, 034902. [Google Scholar] [CrossRef]
- Hwa, R.C.; Yang, C.B. Scaling distributions of quarks, mesons, and proton for all pT, energy, and centrality. Phys. Rev. C 2003, 67, 064902. [Google Scholar] [CrossRef]
- Zhu, L.L.; Zheng, H.; Hwa, R.C. Centrality and transverse-momentum dependence of hadrons in Pb + Pb collisions at energies available at the CERN Large Hadron Collider. Phys. Rev. C 2021, 104, 014902. [Google Scholar] [CrossRef]
- Hwa, R.C.; Zhu, L.L. Universal formula for baryon spectra in heavy-ion collisions and its implications. Phys. Rev. C 2018, 97, 054908. [Google Scholar] [CrossRef]
- Tan, Z.G.; Bonasera, A. Mean field effects in the quark-gluon plasma. Nucl. Phys. A 2007, 784, 368. [Google Scholar] [CrossRef]
- Tan, Z.G.; Bonasera, A.; Yang, C.B.; Zhou, D.M.; Terranova, S. Simulation of the transition between meson-system and QGP in a transport model. Int. J. Mod. Phys. E 2007, 16, 2269. [Google Scholar] [CrossRef]
- Schnedermann, E.; Sollfrank, J.; Heinz, U. Thermal phenomenology of hadrons from 200A Gev S + S collisions. Phys. Rev. C 1993, 48, 2462. [Google Scholar] [CrossRef]
- Che, G.R.; Gu, J.B.; Zhang, W.C.; Zheng, H. Identified particle spectra in Pb-Pb, Xe-Xe and p-Pb collisions with the Tsallis blast-wave model. J. Phys. G 2021, 48, 095103. [Google Scholar] [CrossRef]
- Liu, F.H.; Gao, Y.Q.; Tian, T.; Li, B.C. Unified description of transverse momentum spectrums contributed by soft and hard processes in high-energy nuclear collisions. Eur. Phys. J. A 2014, 50, 94. [Google Scholar] [CrossRef]
- Patra, R.N.; Mohanty, B.; Nayak, T.K. Centrality, transverse momentum and collision energy dependence of the Tsallis parameters in relativistic heavy-ion collisions. Eur. Phys. J. Plus 2021, 136, 702. [Google Scholar] [CrossRef]
- Azmi, M.D.; Cleymans, J. The Tsallis distribution at large transverse momenta. Eur. Phys. J. C 2015, 75, 430. [Google Scholar] [CrossRef]
- Azmi, M.D.; Bhattacharyya, T.; Cleymans, J.; Paradza, M. Energy density at kinetic freeze-out in Pb– Pb collisions at the LHC using the Tsallis distribution. J. Phys. G 2020, 47, 045001. [Google Scholar] [CrossRef]
- Marques, L.; Cleymans, J.; Deppman, A. Description of high-energy pp collisions using Tsallis thermodynamics: Transverse momentum and rapidity distributions. Phys. Rev. D 2015, 91, 054025. [Google Scholar] [CrossRef]
- Gao, Y.; Zheng, H.; Zhu, L.L.; Bonasera, A. Description of charged particle pseudorapidity distributions in Pb+Pb collisions with Tsallis thermodynamics. Eur. Phys. J. A 2017, 53, 197. [Google Scholar] [CrossRef]
- Tao, J.Q.; Wang, M.; Zheng, H.; Zhang, W.C.; Zhu, L.L.; Bonasera, A. Pseudorapidity distributions of charged particles in pp(p¯), p(d)A and AA collisions using Tsallis thermodynamics. J. Phys. G 2021, 48, 105102. [Google Scholar] [CrossRef]
- Zheng, H.; Zhu, L.L.; Bonasera, A. Systematic analysis of hadron spectra in p + p collisions using Tsallis distributions. Phys. Rev. D 2015, 92, 074009. [Google Scholar] [CrossRef]
- Khandai, P.K.; Sett, P.; Shukla, P.; Singh, V. Hadron Spectra in p + p Collisions at Rhic and LHC Energies. Int. J. Mod. Phys. A 2013, 28, 1350066. [Google Scholar] [CrossRef]
- Saraswat, K.; Shukla, P.; Singh, V. Transverse momentum spectra of hadrons in high energy pp and heavy ion collisions. J. Phys. Commun. 2018, 2, 035003. [Google Scholar] [CrossRef]
- Cleymans, J.; Worku, D. The Tsallis distribution in proton–proton collisions at s = 0.9 TeV at the LHC. J. Phys. G 2012, 39, 025006. [Google Scholar] [CrossRef]
- Wang, Q.; Yang, P.P.; Liu, F.H. Comparing a few distributions of transverse momenta in high energy collisions. Results Phys. 2019, 12, 259. [Google Scholar] [CrossRef]
- Cleymans, J.; Worku, D. Relativistic thermodynamics: Transverse momentum distributions in high-energy physics. Eur. Phys. J. A 2012, 48, 160. [Google Scholar] [CrossRef]
- Parvan, A.S.; Teryaev, O.V.; Cleymans, J. Systematic comparison of Tsallis statistics for charged pions produced in pp collisions. Eur. Phys. J. A 2017, 53, 102. [Google Scholar] [CrossRef]
- Cleymans, J.; Azmi, M.D.; Parvan, A.S.; Teryaey, O.V. The Parameters of The Tsallis Distribution at the LHC. EPJ Web Conf. 2017, 137, 11004. [Google Scholar] [CrossRef]
- Waqas, M.; Peng, G.X.; Wang, R.Q.; Ajaz, M.; Ismail, A.A.K.H. Freezeout properties of different light nuclei at the RHIC beam energy scan. Eur. Phys. J. Plus 2021, 136, 1082. [Google Scholar] [CrossRef]
- Bíró, G.; Barnaföldi, G.G.; Biró T., S. Tsallis-thermometer: A QGP indicator for large and small collisional systems. J. Phys. G 2020, 47, 105002. [Google Scholar] [CrossRef]
- Tsallis, C. Possible Generalization of Boltzmann-Gibbs Statistics. J. Stat. Phys. 1988, 52, 479. [Google Scholar] [CrossRef]
- Wilk, G.; Wlodarczyk, Z. Consequences of temperature fluctuations in observables measured in high-energy collisions. Eur. Phys. J. A 2012, 48, 161. [Google Scholar] [CrossRef]
- Olimov, K.K.; Liu, F.H.; Musaev, K.A.; Olimov, A.K.; Tukhtaev, B.J.; Saidkhanov, N.S.; Yuldashev, B.S.; Olimov, K.; Gulamov, K.G. Particle species and collision energy dependencies of the midrapidity average transverse momenta of identified charged particles in Au+Au and Pb+Pb collisions in sNN = 62–5020 GeV energy range at RHIC and LHC. Int. J. Mod. Phys. E 2021, 30, 2150029. [Google Scholar] [CrossRef]
- Bonasera, A.; Csernai, L.P. Change of collective-flow mechanism indicated by scaling analysis of transverse flow. Phys. Rev. Lett. 1987, 59, 630. [Google Scholar] [CrossRef]





| System | (GeV) | T (GeV) | q |
|---|---|---|---|
| 9Au + Au | 7.7 | ||
| 11.5 | |||
| 14.5 | |||
| 19.6 | |||
| 27 | |||
| 39 | |||
| 62.4 | |||
| 130 | |||
| 200 | |||
| 2Cu + Cu | 62.4 | ||
| 200 | |||
| 2Pb + Pb | 2760 | ||
| 5020 | |||
| 1Xe + Xe | 5440 |
Publisher’s Note: MDPI stays neutral with regard to jurisdictional claims in published maps and institutional affiliations. |
© 2022 by the authors. Licensee MDPI, Basel, Switzerland. This article is an open access article distributed under the terms and conditions of the Creative Commons Attribution (CC BY) license (https://creativecommons.org/licenses/by/4.0/).
Share and Cite
Tao, J.; Wu, W.; Wang, M.; Zheng, H.; Zhang, W.; Zhu, L.; Bonasera, A. The Novel Scaling of Tsallis Parameters from the Transverse Momentum Spectra of Charged Particles in Heavy-Ion Collisions. Particles 2022, 5, 146-156. https://doi.org/10.3390/particles5020013
Tao J, Wu W, Wang M, Zheng H, Zhang W, Zhu L, Bonasera A. The Novel Scaling of Tsallis Parameters from the Transverse Momentum Spectra of Charged Particles in Heavy-Ion Collisions. Particles. 2022; 5(2):146-156. https://doi.org/10.3390/particles5020013
Chicago/Turabian StyleTao, Junqi, Weihao Wu, Meng Wang, Hua Zheng, Wenchao Zhang, Lilin Zhu, and Aldo Bonasera. 2022. "The Novel Scaling of Tsallis Parameters from the Transverse Momentum Spectra of Charged Particles in Heavy-Ion Collisions" Particles 5, no. 2: 146-156. https://doi.org/10.3390/particles5020013
APA StyleTao, J., Wu, W., Wang, M., Zheng, H., Zhang, W., Zhu, L., & Bonasera, A. (2022). The Novel Scaling of Tsallis Parameters from the Transverse Momentum Spectra of Charged Particles in Heavy-Ion Collisions. Particles, 5(2), 146-156. https://doi.org/10.3390/particles5020013

