Pioneering the Equation of State of Dense Nuclear Matter with Strange Particles Emitted in Heavy-Ion Collisions: The KaoS Experiment at GSI
Abstract
1. Introduction
2. The Kaon Spectrometer (KaoS) Experiment at GSI/SIS18
3. Experimental Results
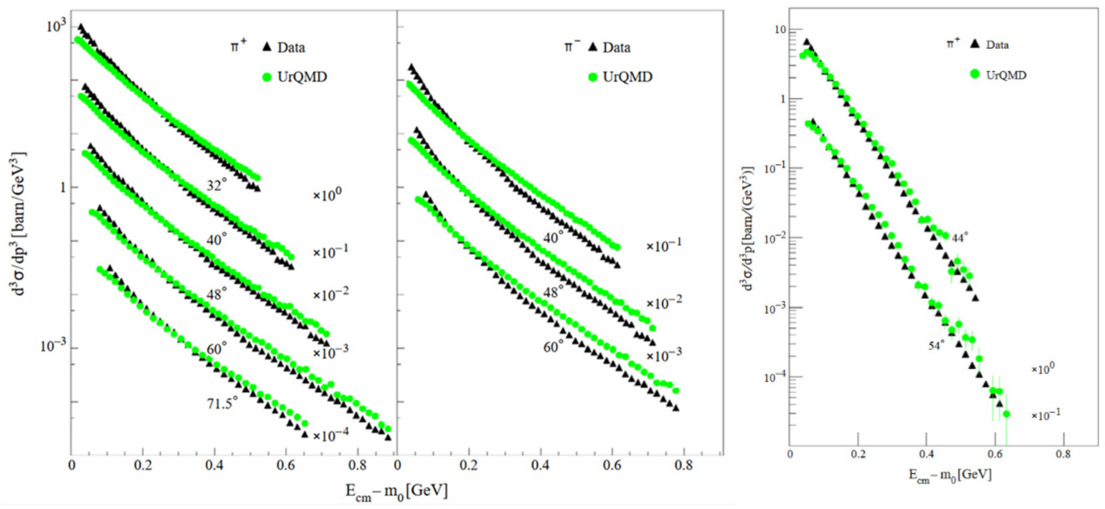
3.1. Pion Production
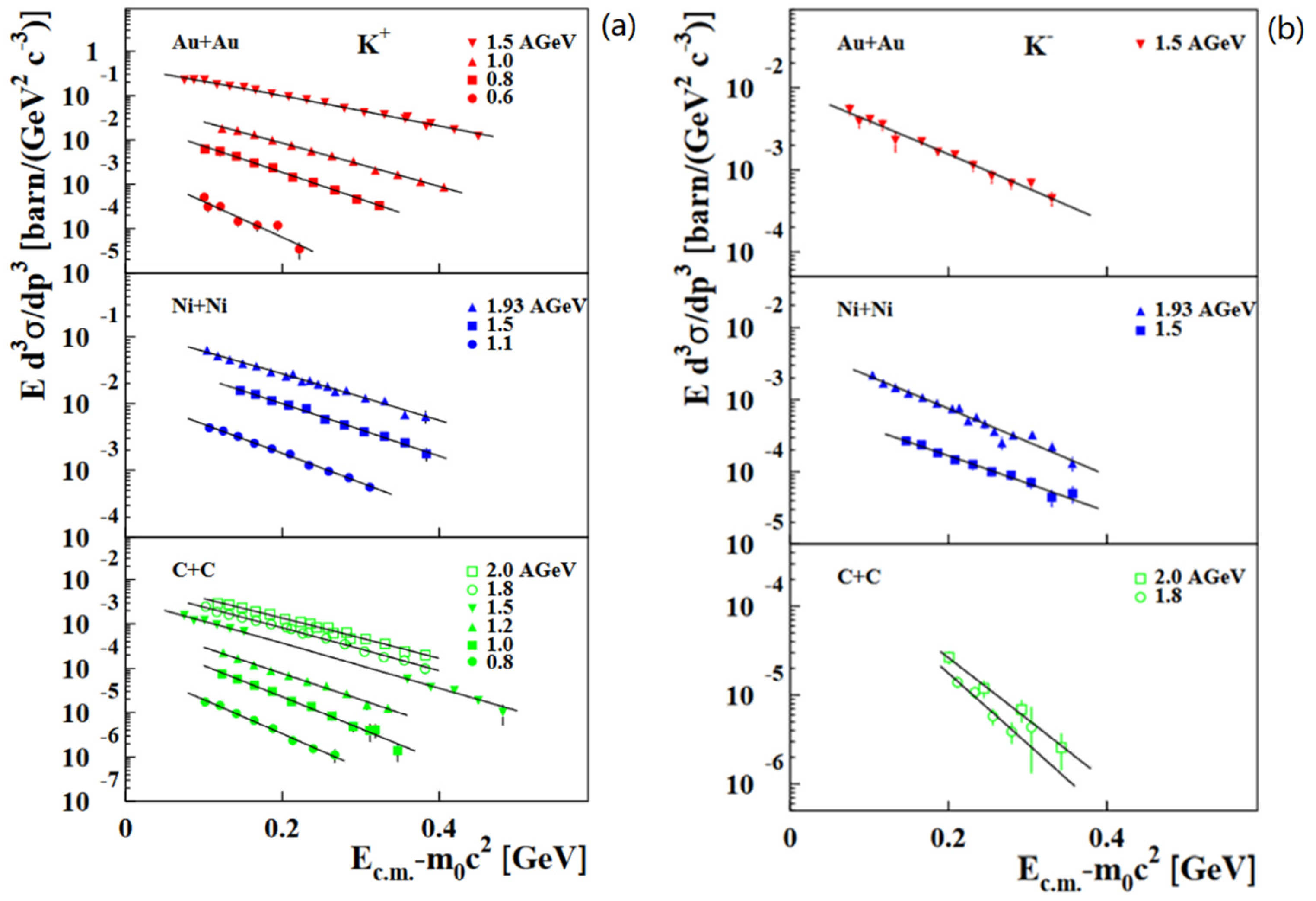
3.2. Kaon Production
4. The High-Density Nuclear Matter Equation-of-State
5. Summary
Funding
Data Availability Statement
Conflicts of Interest
References
- Doss, K.G.R.; Gustafsson, H.Å.; Gutbrod, H.H.; Kampert, K.H.; Kolb, B.; Löhner, H.; Ludewigt, B.; Poskanzer, A.M.; Ritter, H.G.; Schmidt, H.R.; et al. Nuclear Collective Flow as a Function of Projectile Energy and Mass. Phys. Rev. Lett. 1986, 57, 302. [Google Scholar] [CrossRef]
- Harris, J.W.; Odyniec, G.; Pugh, H.G.; Schroeder, L.C.; Tincknell, M.L.; Rauch, W.; Stock, R.; Bock, R.; Brockmann, R.; Sandoval, A.; et al. Pion Production in High-Energy Nucleus-Nucleus Collisions. Phys. Rev. Lett. 1987, 58, 463. [Google Scholar] [CrossRef] [PubMed]
- Cubero, M.; Schönhofen, M.; Feldmeier, H.; Nörenberg, W. Delta and pion abundances in hot dense nuclear matter and the nuclear equation of state. Phys. Lett. B 1988, 201, 11. [Google Scholar] [CrossRef]
- Leifels, Y.; Blaich, T.; Elze, T.W.; Emling, H.; Freiesleben, H.; Grimm, K.; Henning, W.; Holzmann, R.; Keller, J.G.; Klingler, H. Exclusive studies of neutron and charged particle emission in collisions of Au 197 + 197 Au at 400 MeV/nucleon. Phys. Rev. Lett. 1993, 71, 963. [Google Scholar] [CrossRef] [PubMed]
- Ahner, W.; Baltes, P.; Bormann, C.; Brill, D.; Brockmann, R.; Cieslak, M.; Grosse, E.; Henning, W.; Koczoń, P.; Kohlmeyer, B.; et al. Subthreshold kaon production in Au on Au collisions at 1 GeV/u. Z. Phys. A 1991, 341, 123. [Google Scholar] [CrossRef]
- Miskowiec, D.; Ahner, W.; Barth, R.; Cieslak, M.; Debowski, M.; Grosse, E.; Henning, W.; Koczon, P.; Schicker, R.; Schwab, E.; et al. Observation of Enhanced Subthreshold K+ Production in Central Collisions between Heavy Nuclei. Phys. Rev. Lett. 1994, 72, 3650. [Google Scholar] [CrossRef]
- Shin, Y.; Ahner, W.; Barth, R.; Beckerle, P.; Brill, D.; Cieslak, M.; Debowski, M.; Grosse, E.; Koczoń, P.; Kohlmeyer, B.; et al. Enhanced out-of-plane emission of K+ mesons observed in Au+Au collisions at 1A GeV. Phys. Rev. Lett. 1998, 81, 1576. [Google Scholar] [CrossRef]
- Agakishiev, G.; Agodi, C.; Alvarez-Pol, H.; Atkin, E.; Badura, E.; Balanda, A.; Bassi, A.; Bassini, R.; Bellia, G.; Belver, D.; et al. The high-acceptance dielectron spectrometer HADES. Eur. Phys. J. A 2009, 41, 243. [Google Scholar] [CrossRef]
- Adamczewski-Musch, J.; Arnold, O.; Behnke, C.; Belounnas, A.; Belyaev, A.; Berger-Chen, J.C.; Biernat, J.; Blanco, A.; Blume, C.; Böhmer, M. Probing baryon-rich matter with virtual photons. Nat. Phys. 2019, 15, 1040–1045. [Google Scholar]
- Gonin, M. INPC’92. Nucl. Phys. A 1993, 553, 799. [Google Scholar]
- Pinkenburg, C.; Ajitan, N.N.; Alexander, J.M.; Anderson, M.; Best, D.; Brady, F.P.; Case, T.; Caskey, W.; Cebra, D.; Chance, J.L. Elliptic Flow: Transition from Out-of-Plane to In-Plane Emission in Au+Au Collisions. Phys. Rev. Lett. 1999, 83, 1295. [Google Scholar] [CrossRef]
- Danielewicz, P.; Lacey, R.; Lynch, W.G. Determination of the Equation of State of Dense Matter. Science 2002, 298, 1592. [Google Scholar] [CrossRef] [PubMed]
- Adamova, D.; Agakichiev, G.; Antonczyk, D.; Appelshäuser, H.; Belaga, V.; Bielcikova, J.; Braun-Munzinger, P.; Busch, O.; Cherlin, A.; Damjanović, S.; et al. Modification of the rho meson detected by low-mass electron-positron pairs in central Pb-Au collisions at 158 A GeV/c. Phys. Lett. B 2008, 666, 425. [Google Scholar] [CrossRef]
- Abreu, M.C.; Alessandro, B.; Alexa, C.; Astruc, J.; Baglin, C.; Baldit, A.; Bedjidian, M.; Bellaiche, F.; Beolè, S.; Boldea, V.; et al. (NA50 Collaboration) Anomalous J/psi suppression in Pb-Pb interactions at 158 GeV/c per nucleon. Phys. Lett. B 1997, 410, 337. [Google Scholar] [CrossRef]
- Alt, C.; Anticic, T.; Baatar, B.; Barna, D.; Bartke, J.; Betev, L.; Białkowska, H.; Blume, C.; Boimska, B.; Botje, M.; et al. Pion and kaon production in central Pb+Pb collisions at 20A and 30A GeV: Evidence for the onset of deconfinement. Phys. Rev. C 2008, 77, 024903. [Google Scholar] [CrossRef]
- Becattini, F. An introduction to the Statistical Hadronization Model. arXiv 2009, arXiv:0901.3643. [Google Scholar]
- Cleymans, J.; Oeschler, H.; Redlich, K.; Wheaton, S. Comparison of chemical freeze-out criteria in heavy-ion collisions. Phys. Rev. C 2006, 73, 034905. [Google Scholar] [CrossRef]
- Andronic, A.; Braun-Munzinger, P.; Stachel, J. Thermal hadron production in relativistic nuclear collisions. Acta Phys. Polon. 2009, 40, 1005. [Google Scholar]
- Adcox, K.; Adler, S.S.; Ajitanand, N.N.; Akiba, Y.; Alexander, J.; Aphecetche, L.; Arai, Y.; Aronson, S.H.; Averbeck, R.; Awes, T.C.; et al. (PHENIX Collaboration) Suppression of Hadrons with Large Transverse Momentum in Central Au+Au Collisions at √sNN = 130 GeV. Phys. Rev. Lett. 2002, 88, 022301. [Google Scholar] [CrossRef]
- Adams, J.; Adler, C.; Aggarwal, M.M.; Ahammed, Z.; Amonett, J.; Anderson, B.D.; Anderson, M.; Arkhipkin, D.; Averichev, G.S.; Badyal, S.K.; et al. (STAR Collaboration) Particle-Type Dependence of Azimuthal Anisotropy and Nuclear Modification of Particle Production in Au+Au Collisions at √sNN = 200 GeV. Phys. Rev. Lett. 2004, 92, 052302. [Google Scholar] [CrossRef]
- Borsanyi, S.; Fodor, Z.; Guenther, J.N.; Kara, R.; Katz, S.D.; Parotto, P.; Pasztor, A.; Ratti, C.; Szabó, K.K. QCD Crossover at Finite Chemical Potential from Lattice Simulations. Phys. Rev. Lett. 2020, 125, 052001. [Google Scholar] [CrossRef]
- Bazavov, A.; Ding, H.-T.; Hegde, P.; Kaczmarek, O.; Karsch, F.; Karthik, N.; Laermann, E.; Lahiri, A. Chiral crossover in QCD at zero and non-zero chemical potentials. Phys. Lett. B 2019, 795, 15. [Google Scholar] [CrossRef]
- Andronic, A.; Braun-Munzinger, P.; Redlich, K.; Stachel, J. Decoding the phase structure of QCD via particle production at high energy. Nature 2018, 561, 321–330. [Google Scholar] [CrossRef] [PubMed]
- Gao, F.; Pawlowski, J.M. QCD phase structure from functional methods. Phys. Rev. D 2020, 102, 034027. [Google Scholar] [CrossRef]
- Adamczyk, L.; Adkins, J.K.; Agakishiev, G.; Aggarwal, M.M.; Ahammed, Z.; Alekseev, I.; Alford, J.; Anson, C.D.; Aparin, A.; Arkhipkin, D.; et al. (STAR Collaboration) Elliptic flow of identified hadrons in Au+Au collisions at √sNN = 7.7 − 62.4 GeV. Phys. Rev. C 2013, 88, 014902. [Google Scholar] [CrossRef]
- Adamczyk, L.; Adkins, J.K.; Agakishiev, G.; Aggarwal, M.M.; Ahammed, Z.; Alekseev, I.; Alford, J.; Anson, C.D.; Aparin, A.; Arkhipkin, D.; et al. (STAR collaboration) Disappearance of partonic collectivity in √sNN = 3 GeV Au+Au collisions at RHIC. arXiv 2021, arXiv:2108.00908. [Google Scholar]
- Adam, J.; Adamczyk, L.; Adams, J.R.; Adkins, J.K.; Agakishiev, G.; Aggarwal, M.M.; Ahammed, Z.; Alekseev, I.; Anderson, D.M.; Aparin, A.; et al. (STAR Collaboration) Non-monotonic energy dependence of net-proton number fluctuations. Phys. Rev. Lett. 2021, 126, 092301. [Google Scholar] [CrossRef]
- Ding, H.T.; Hegde, P.; Kaczmarek, O.; Karsch, F.; Lahiri, A.; Li, S.T.; Mukherjee, S.; Ohno, H.; Petreczky, P.; Schmidt, C.; et al. Chiral Phase Transition Temperature in (2+1)-Flavor QCD. Phys. Rev. Lett. 2019, 123, 062002. [Google Scholar] [CrossRef]
- Karsch, F. Critical Behavior and Net-Charge Fluctuations from Lattice QCD. arXiv 2019, arXiv:1905.03936v1. [Google Scholar]
- Senger, P. Probing Dense Nuclear Matter in the Laboratory: Experiments at FAIR and NICA. Universe 2021, 7, 171. [Google Scholar] [CrossRef]
- Burgio, G.F.; Schulze, H.-J.; Vidaña, I.; We, J.-B. A Modern View of the Equation of State in Nuclear and Neutron Star Matter. Symmetry 2021, 13, 400. [Google Scholar] [CrossRef]
- Senger, P.; Ahner, W.; Cieslak, M.; Grosse, E.; Henning, W.; Koczon, P.; Miskowiec, D.; Schicker, R.; Henning, W.; Koczoń, P.; et al. (KaoS Collaboration) The kaon spectrometer at SIS. Nucl. Instr. Phys. Res. A 1993, 327, 393. [Google Scholar] [CrossRef]
- Senger, P.; Ströbele, H. Hadronic Particle Production in Nucleus-Nucleus Collisions. J. Phys. G Nucl. Part. Phys. 1999, 25, R59. [Google Scholar] [CrossRef][Green Version]
- Senger, P. Particle production in heavy-ion collisions. Prog. Part. Nucl. Phys. 2004, 53, 1. [Google Scholar] [CrossRef][Green Version]
- Wagner, A.; Müntz, C.; Oeschler, H.; Sturm, C.; Barth, R.; Cieslak, M.; Debowski, M.; Grosse, E.; Koczoń, P.; Laue, F.; et al. (KaoS Collaboration) The Emission Pattern of High-energy Pions: A New Probe for the Early Phase of Heavy Ion Collisions. Phys. Rev. Lett. 2000, 85, 18–21. [Google Scholar] [CrossRef] [PubMed]
- Voskresensky, D.N. Many-particle effects in nucleus-nucleus collisions. Nucl. Phys. A 1993, 555, 293. [Google Scholar] [CrossRef]
- Brill, D.; Ahner, W.; Baltes, P.; Barth, R.; Bormann, C.; Cieslak, M.; Debowski, M.; Grosse, E.; Henning, W.; Koczoń, P.; et al. (KaoS Collaboration) Azimuthally anisotropic emission of pions in symmetric heavy-ion collisions. Phys. Rev. Lett. 1993, 71, 336. [Google Scholar] [CrossRef] [PubMed]
- Venema, L.B.; Braak, H.; Löhner, H.; Raschke, A.E.; Siemssen, R.H.; Šumbera, M.; Wilschut, H.W.; Berg, F.-B. Azimuthal asymmetry of neutral pion emission in Au+Au reactions at 1 GeV/nucleon. Phys. Rev. Lett. 1993, 71, 835. [Google Scholar] [CrossRef]
- Laue, F.; Sturm, C.; Böttcher, I.; Debowski, M.; Förster, A.; Grosse, E.; Koczon, P.; Kohlmeyer, B.; Mang, M.; Naumann, L.; et al. (KaoS Collaboration) Medium Effects in Kaon and Antikaon Production in Nuclear Collisions at Subthreshold Beam Energies. Phys. Rev. Lett. 1999, 82, 1640. [Google Scholar] [CrossRef]
- Senger, P. Strange Mesons as a Probe for Dense Nuclear Matter. Prog. Part. Nucl. Phys. 1999, 42, 209. [Google Scholar] [CrossRef]
- Förster, A.; Uhlig, F.; Böttcher, I.; Brill, D.; Debowski, M.; Dohrmann, F.; Grosse, E.; Koczon, P.; Kohlmeyer, B.; Lang, S.; et al. (KaoS Collaboration) Production of K+ and of K− mesons in heavy-ion collisions from 0.6 to 2.0 A GeV incident energy. Phys. Rev. C 2007, 75, 024906. [Google Scholar] [CrossRef]
- Li, G.Q.; Ko, C.M.; Brown, G.E. Kaon azimuthal distributions in heavy-ion collisions. Phys. Lett. B 1996, 381, 71. [Google Scholar] [CrossRef]
- Wang, Z.S.; Fuchs, C.; Faessler, A.; Gross-Boelting, T. Kaon squeeze-out in heavy ion reactions. Eur. Phys. J. A 1999, 5, 275. [Google Scholar] [CrossRef]
- Schaffner-Bielich, J.; Bondorf, J.; Mishustin, I. In-medium kaon production at the mean-field level. Nucl. Phys. A 1997, 625, 325. [Google Scholar] [CrossRef]
- Cassing, W.; Bratkovskaya, E. Hadronic and electromagnetic probes of hot and dense nuclear matter. Phys. Rep. 1999, 308, 65. [Google Scholar] [CrossRef]
- Uhlig, F.; Förster, A.; Böttcher, I.; Dębowski, M.; Dohrmann, F.; Grosse, E.; Koczoń, P.; Kohlmeyer, B.; Laue, F.; Menzel, M.; et al. (KaoS Collaboration) Observation of different azimuthal emission patterns for K+ and of K− mesons in Heavy Ion Collisions at 1–2 A GeV. Phys. Rev. Lett. 2005, 95, 012301. [Google Scholar] [CrossRef] [PubMed]
- Menzel, M.; Böttcher, I.; Debowski, M.; Dohrmann, F.; Förster, A.; Grosse, E.; Koczon, P.; Kohlmeyer, B.; Laue, F.; Naumann, L.; et al. (KaoS Collaboration) First measurement of antikaon phase-space distributions in nucleus–nucleus collisions at subthreshold beam energies. Phys. Lett. B 2000, 495, 26. [Google Scholar] [CrossRef]
- Best, D.; Herrmann, N.; Hong, B.; Kirejczyk, M.; Ritman, J.; Wisniewski, K.; Zhiling, A.; Gobbi, A.; Hildenbrand, K.D.; Leifels, Y.; et al. (FOPI Collaboration) K+ production in the reaction 58Ni + 58Ni at incident energies from 1 to 2 A GeV. Nucl. Phys. A 1997, 625, 307. [Google Scholar] [CrossRef]
- Wisniewski, K.; Crochet, P.; Herrmann, N.; Andronic, A.; Averbeck, R.; Devismes, A.; Finck, C.; Gobbi, A.; Hartmann, O.; Hildenbrand, K.D.; et al. (FOPI Collaboration) Direct comparison of phase-space distributions of K− and K+ mesons in heavy-ion collisions at SIS energies—Evidence for in-medium modifications of kaons? Eur. Phys. J. A 2000, 9, 515. [Google Scholar] [CrossRef][Green Version]
- Li, G.Q.; Brown, G.E. K−/K+ ratios in relativistic heavy-ion collisions. Phys. Rev. C 1998, 58, 1698. [Google Scholar]
- Shlomo, S.; Kolomietz, V.M.; Colò, G. Deducing the nuclear-matter incompressibility coefficient from data on isoscalar compression modes. Eur. Phys. J. A 2006, 30, 23. [Google Scholar] [CrossRef]
- Stone, J.R.; Stone, N.J.; Moszkowski, S.A. Incompressibility in finite nuclei and nuclear matter. Phys. Rev. C 2014, 89, 044316. [Google Scholar] [CrossRef]
- Aichelin, J.; Ko, C.M. Subthreshold Kaon Production as a Probe of the Nuclear Equation of State. Phys. Rev. Lett. 1985, 55, 2661. [Google Scholar] [CrossRef]
- Sturm, C.; Böttcher, I.; Dȩbowski, M.; Förster, A.; Grosse, E.; Koczoń, P.; Kohlmeyer, B.; Laue, F.; Mang, M.; Naumann, L.; et al. (KaoS Collaboration) Evidence for a soft nuclear equation of state from kaon production in heavy ion collisions. Phys. Rev. Lett. 2001, 86, 39. [Google Scholar] [CrossRef]
- Fuchs, C.; Faessler, A.; Zabrodin, E.; Zheng, Y.-M. Probing the Nuclear Equation of State by K+ Production in Heavy-Ion Collisions. Phys. Rev. Lett. 2001, 86, 1974. [Google Scholar] [CrossRef] [PubMed]
- Hartnack, C.; Aichelin, J. Analysis of kaon production around the threshold. J. Phys. G 2002, 28, 1649. [Google Scholar] [CrossRef]
- Fuchs, C. The High Density Equation of State: Constraints from Accelerators and Astrophysics. 2007. Available online: https://pos.sissa.it/047/060 (accessed on 20 December 2021).
- Fuchs, C. Kaon production in heavy ion reactions at intermediate energies. Prog. Part. Nucl. Phys. 2006, 56, 1. [Google Scholar] [CrossRef]
- Le Fèvre, A.; Leifels, Y.; Reisdorf, W.; Aichelin, J.; Hartnack, C. Constraining the nuclear matter equation of state around twice saturation density. Nucl. Phys. A 2016, 945, 112–133. [Google Scholar] [CrossRef]
- Li, B.-A. Probing the High Density Behavior of the Nuclear Symmetry Energy with High Energy Heavy-Ion Collisions. Phys. Rev. Lett. 2002, 88, 192701. [Google Scholar] [CrossRef]
- Russotto, P.; Gannon, S.; Kupny, S.; Lasko, P.; Acosta, L.; Adamczyk, M.; Al-Ajlan, A.; Al-Garawi, M.; Al-Homaidhi, S.; Amorini, F. Results of the ASY-EOS experiment at GSI: The symmetry energy at supra-saturation density. Phys. Rev. C 2016, 94, 034608. [Google Scholar] [CrossRef]
- Fuchs, C. The Nuclear Equation of State at high densities. arXiv 2006, arXiv:nucl-th/0610038. [Google Scholar]
- Klaehn, T.; Blaschke, D.; Typel, S.; van Dalen, E.; Faessler, A.; Fuchs, C.; Gaitanos, T.; Grigorian, H.; Ho, A.; Kolomeitsev, E.E.; et al. Constraints on the high-density nuclear equation of state from the phenomenology of compact stars and heavy-ion collisions. Phys. Rev. C 2006, 74, 035802. [Google Scholar] [CrossRef]
- Arsene, I.C.; Bravina, L.V.; Cassing, W.; Ivanov, Y.B.; Larionov, A.; Randrup, J.; Russkikh, V.N.; Toneev, V.D.; Zeeb, G.; Zschiesche, D. Dynamical phase trajectories for relativistic nuclear collisions. Phys. Rev. C 2007, 75, 24902. [Google Scholar] [CrossRef]
- Aichelin, J.; Bratkovskaya, E.; Fevre, A.L.; Kireyeu, V.; Kolesnikov, V.; Leifels, Y.; Voronyuk, V.; Coci, G. Parton-Hadron-Quantum-Molecular Dynamics (PHQMD)—A Novel Microscopic N-Body Transport Approach for Heavy-Ion Collisions, Dynamical Cluster Formation and Hypernuclei Production. Phys. Rev. C 2020, 101, 044905. [Google Scholar] [CrossRef]
- Cozma, M.D. The impact of energy conservation in transport models on the π−/π+ multiplicity ratio in heavy-ion collisions and the symmetry energy. Phys. Lett. B 2016, 753, 166–172. [Google Scholar] [CrossRef]
- Li, Q.; Li, Z.; Zhao, E.; Gupta, R.K. Σ−/Σ+ ratio as a candidate for probing the density dependence of the symmetry potential at high nuclear densities. Phys. Rev. C 2005, 71, 054907. [Google Scholar] [CrossRef]
- Senger, P.; Dementev, D.; Heuser, J.; Kapishin, M.; Lavrik, E.; Murin, Y.; Maksymchuk, A.; Schmidt, H.R.; Schmidt, C.; Senger, A.; et al. Upgrading the BM@N experiment at NICA for studies of dense nuclear matter. Particles 2019, 2, 481–490. [Google Scholar] [CrossRef]
- Ablyazimov, T.; Abuhoza, A.; Adak, R.P.; Adamczyk, M.; Agarwal, K.; Aggarwal, M.M.; Ahammed, Z.; Ahmad, F.; Ahmad, N.; Ahmad, S.; et al. (CBM Collaboration) Challenges in QCD matter physics—The Compressed Baryonic Matter experiment at FAIR. Eur. Phys. J. A 2017, 53, 60. [Google Scholar] [CrossRef]
- Available online: https://heasarc.gsfc.nasa.gov/docs/nicer/ (accessed on 20 December 2021).
- Abbott, B.P.; Abbott, R.; Abbott, T.D.; Acernese, F.; Ackley, K.; Adams, C.; Adams, T.; Addesso, P.; Adhikari, R.X.; Adya, V.B.; et al. Multi-messenger Observations of a Binary Neutron Star Merger. Astrophys. J. Lett. 2017, 848, L12. [Google Scholar] [CrossRef]
- Huth, S.; Pang, P.T.H.; Tews, I.; Dietrich, T.; Le Fèvre, A.; Schwenk, A.; Trautmann, W.; Agarwal, K.; Bulla, M.; Coughlin, M.W.; et al. Constraining Neutron-Star Matter with Microscopic and Macroscopic Collisions. arXiv 2021, arXiv:2107.06229v2. [Google Scholar]















Publisher’s Note: MDPI stays neutral with regard to jurisdictional claims in published maps and institutional affiliations. |
© 2022 by the author. Licensee MDPI, Basel, Switzerland. This article is an open access article distributed under the terms and conditions of the Creative Commons Attribution (CC BY) license (https://creativecommons.org/licenses/by/4.0/).
Share and Cite
Senger, P. Pioneering the Equation of State of Dense Nuclear Matter with Strange Particles Emitted in Heavy-Ion Collisions: The KaoS Experiment at GSI. Particles 2022, 5, 21-39. https://doi.org/10.3390/particles5010003
Senger P. Pioneering the Equation of State of Dense Nuclear Matter with Strange Particles Emitted in Heavy-Ion Collisions: The KaoS Experiment at GSI. Particles. 2022; 5(1):21-39. https://doi.org/10.3390/particles5010003
Chicago/Turabian StyleSenger, Peter. 2022. "Pioneering the Equation of State of Dense Nuclear Matter with Strange Particles Emitted in Heavy-Ion Collisions: The KaoS Experiment at GSI" Particles 5, no. 1: 21-39. https://doi.org/10.3390/particles5010003
APA StyleSenger, P. (2022). Pioneering the Equation of State of Dense Nuclear Matter with Strange Particles Emitted in Heavy-Ion Collisions: The KaoS Experiment at GSI. Particles, 5(1), 21-39. https://doi.org/10.3390/particles5010003