Effectiveness of Self-Contained Breathing Apparatus: An Observational Study on Exposure to Polycyclic Aromatic Hydrocarbons and Associated Respiratory Risks
Abstract
1. Introduction
2. Materials and Methods
2.1. Selection of Study Participants
2.2. Collection of SCBA Samples
2.3. Extraction and Chromatographic Analysis of PAHs
2.4. Health Risk Evaluation
2.5. Data Analysis
3. Results
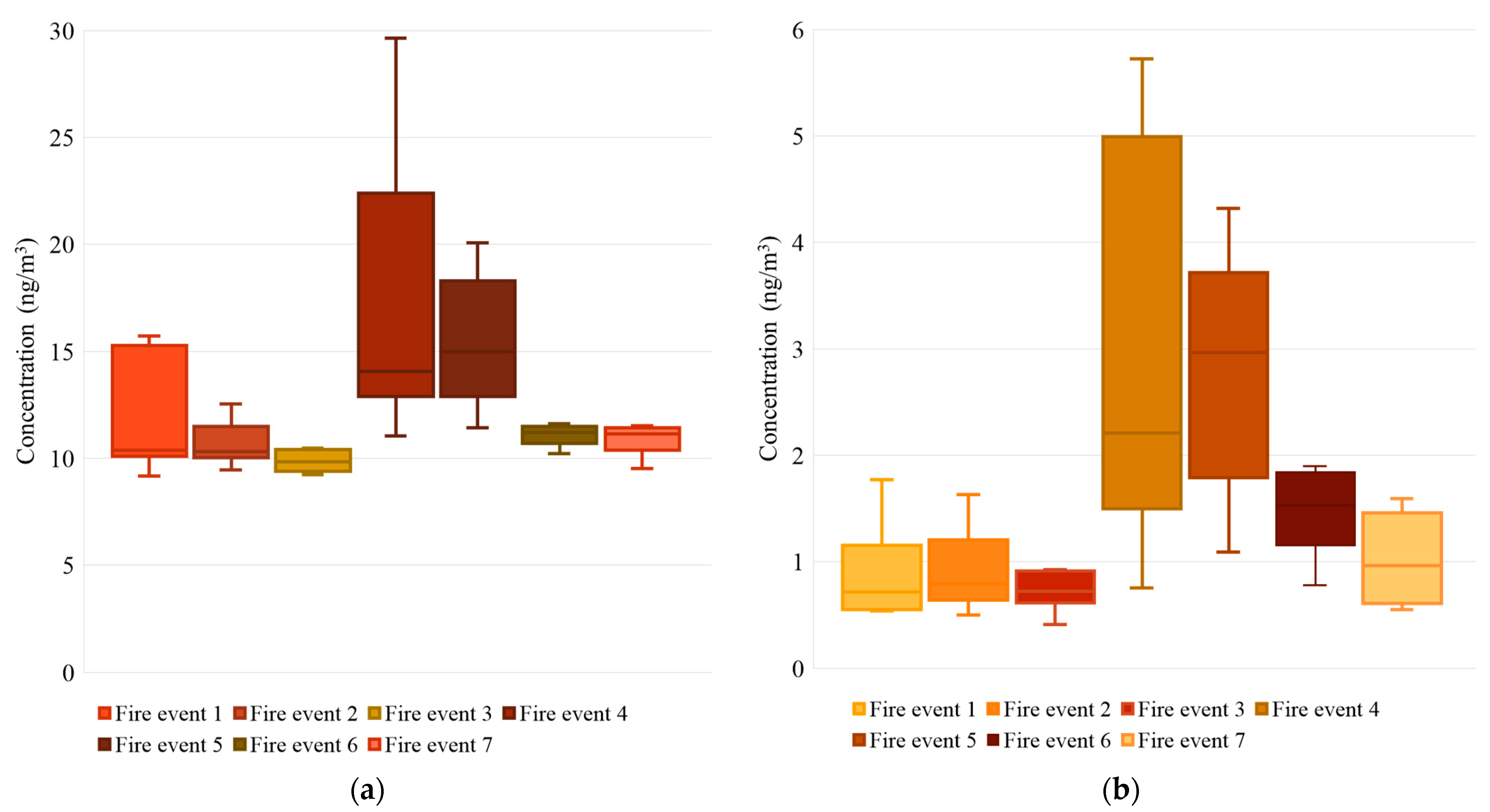
3.1. Exposure Assessment Through SCBA
3.2. Respiratory Health Risk Assessment
3.3. Principal Component Analysis
4. Discussion
5. Conclusions
Supplementary Materials
Author Contributions
Funding
Institutional Review Board Statement
Informed Consent Statement
Data Availability Statement
Acknowledgments
Conflicts of Interest
References
- International Agency for Research on Cancer (IARC). Occupational exposure as a firefighter. In IARC Monographs on the Identification of Carcinogenic Hazards to Humans; IARC: Lyon, France, 2023. [Google Scholar]
- Cuenca-Lozano, M.; Ramírez-García, C. Occupational hazards in firefighting: Systematic literature review. Saf. Health Work. 2023, 14, 1–9. [Google Scholar] [CrossRef] [PubMed]
- Tian, X.; Cheng, Y.; Chen, S.; Liu, S.; Wang, Y.; Niu, X.; Sun, J. The emission characteristics and health risks of firefighter-accessed fire: A review. Toxics 2024, 12, 739. [Google Scholar] [CrossRef] [PubMed]
- Barros, B.; Oliveira, M.; Morais, S. Biomonitoring of firefighting forces: A review on biomarkers of exposure to health-relevant pollutants released from fires. J. Toxicol. Environ. Health B 2023, 26, 127–171. [Google Scholar] [CrossRef] [PubMed]
- Han, Y.; Chen, Y.; Feng, Y.; Song, W.; Cao, F.; Zhang, Y.; Li, Q.; Yang, X.; Chen, J. Different formation mechanisms of PAH during wood and coal combustion under different temperatures. Atmos. Environ. 2020, 222, 117084. [Google Scholar] [CrossRef]
- Li, T.; Chen, H.; Fung, J.C.H.; Chan, D.H.L.; Yu, A.L.C.; Leung, K.K.M.; Yu, J.Z. Large presence of bromine and toxic metals in ambient fine particles from urban fires. Atmos. Environ. 2023, 295, 119554. [Google Scholar] [CrossRef]
- Mazumder, N.-U.-S.; Hossain, M.T.; Jahura, F.T.; Girase, A.; Hall, A.S.; Lu, J.; Ormond, R.B. Firefighters’ exposure to per-and polyfluoroalkyl substances (PFAS) as an occupational hazard: A review. Front. Mater. 2023, 10, 1143411. [Google Scholar] [CrossRef]
- Hwang, J.; Xu, C.; Agnew, R.J.; Clifton, S.; Malone, T.R. Health risks of structural firefighters from exposure to polycyclic aromatic hydrocarbons: A systematic review and meta-analysis. Int. J. Environ. Res. Public Health 2021, 18, 4209. [Google Scholar] [CrossRef]
- Feunekes, F.D.J.R.; Jongeneelen, F.J.; Laana, H.v.d.; Schoonhof, F.H.G. Uptake of Polycyclic Aromatic Hydrocarbons Among Trainers in a Fire-Fighting Training Facility. Am. Ind. Hyg. Assoc. J. 1997, 58, 23–28. [Google Scholar] [CrossRef]
- Fernando, S.; Shaw, L.; Shaw, D.S.; Gallea, M.; vanden Enden, L.; House, R.; Verma, D.K.; Britz McKibbin, P.; McCarry, B.E. Evaluation of Firefighter Exposure to Wood Smoke during Training Exercises at Burn Houses. Environ. Sci. Technol. 2016, 50, 1536–1543. [Google Scholar] [CrossRef]
- Fent, K.W.; Evans, D.E.; Babik, K.; Striley, C.; Bertke, S.; Kerber, S.; Smith, D.; Horn, G.P. Airborne contaminants during controlled residential fires. J. Occup. Environ. Hyg. 2018, 15, 399–412. [Google Scholar] [CrossRef]
- Fent, K.W.; Toennis, C.; Sammons, D.; Robertson, S.; Bertke, S.; Calafat, A.M.; Pleil, J.D.; Wallace, M.A.G.; Kerber, S.; Smith, D.; et al. Firefighters’ absorption of PAHs and VOCs during controlled residential fires by job assignment and fire attack tactic. J. Expo. Sci. Environ. Epid. 2020, 30, 338–349. [Google Scholar] [CrossRef]
- Sjöström, M.; Julander, A.; Strandberg, B.; Lewné, M.; Bigert, C. Airborne and dermal exposure to polycyclic aromatic hydrocarbons, volatile organic compounds, and particles among firefighters and police investigators. Ann. Work Expo. Health 2019, 63, 533–545. [Google Scholar] [CrossRef] [PubMed]
- Keir, J.; Akhtar, U.; Matschke, D.; White, P.; Kirkham, T.; Chan, L.; Blais, J. Polycyclic aromatic hydrocarbon (PAH) and metal contamination of air and surfaces exposed to combustion emissions during emergency fire suppression: Implications for firefighters’ exposures. Sci. Total Environ. 2020, 698, 134211. [Google Scholar] [CrossRef] [PubMed]
- Poutasse, C.M.; Poston, W.S.C.; Jahnke, S.A.; Haddock, C.K.; Tidwell, L.G.; Hoffman, P.D.; Anderson, K.A. Discovery of firefighter chemical exposures using military-style silicone dog tags. Environ. Int. 2020, 142, 105818. [Google Scholar] [CrossRef] [PubMed]
- National Institute for Occupational Safety and Health (NIOSH). Naphthalene. 2019. Available online: https://www.cdc.gov/niosh/npg/npgd0439.html (accessed on 15 December 2024).
- Occupational Safety and Health Administration (OSHA). Permissible Exposure Limits. 2017. Available online: https://www.osha.gov/annotated-pels (accessed on 15 December 2024).
- Han, B.; Liu, Q.; Su, X.; Zhou, L.; Zhang, B.; Kang, H.; Ning, J.; Li, C.; Zhao, B.; Niu, Y.; et al. The role of PP2A/NLRP3 signaling pathway in ambient particulate matter 2.5 induced lung injury. Chemosphere 2022, 307, 135794. [Google Scholar] [CrossRef]
- Santibáñez-Andrade, M.; Sánchez-Pérez, Y.; Chirino, Y.I.; Morales-Bárcenas, R.; Quintana-Belmares, R.; García-Cuellar, C.M. Particulate matter (PM10) destabilizes mitotic spindle through downregulation of SETD2 in A549 lung cancer cells. Chemosphere 2022, 295, 133900. [Google Scholar] [CrossRef]
- Barbosa, J.V.; Farraia, M.; Branco, P.; Alvim-Ferraz, M.C.M.; Martins, F.G.; Annesi-Maesano, I.; Sousa, S.I.V. The Effect of Fire Smoke Exposure on Firefighters’ Lung Function: A Meta-Analysis. Int. J. Environ. Res. Public Health 2022, 19, 16799. [Google Scholar] [CrossRef]
- Sousa, G.; Delerue-Matos, C.; Wang, X.; Rodrigues, F.; Oliveira, M. Potential of Saliva for Biomonitoring of Occupational Exposure: Collection of Evidence from the Literature. In Occupational and Environmental Safety and Health IV; Arezes, P.M., Baptista, J.S., Melo, R.B., Castelo Branco, J., Carneiro, P., Colim, A., Costa, N., Costa, S., Duarte, J., Guedes, J.C., et al., Eds.; Springer International Publishing: Cham, Switzerland, 2023; pp. 587–598. [Google Scholar]
- Sousa, G.; Teixeira, J.; Delerue-Matos, C.; Sarmento, B.; Morais, S.; Wang, X.; Rodrigues, F.; Oliveira, M. Exposure to PAHs during Firefighting Activities: A Review on Skin Levels, In Vitro/In Vivo Bioavailability, and Health Risks. Int. J. Environ. Res. Public Health 2022, 19, 12677. [Google Scholar] [CrossRef]
- Teixeira, J.; Bessa, M.J.; Delerue-Matos, C.; Sarmento, B.; Santos-Silva, A.; Rodrigues, F.; Oliveira, M. Human exposure to polycyclic aromatic hydrocarbons during structure fires: Concentrations outside and inside self-contained breathing apparatus and in vitro respiratory toxicity. Environ. Pollut. 2025, 373, 126112. [Google Scholar] [CrossRef]
- Kim, S.J.; Ham, S. Evaluation of Air Quality inside Self-Contained Breathing Apparatus Used by Firefighters. Fire 2023, 6, 347. [Google Scholar] [CrossRef]
- Jones, L.; Lutz, E.A.; Duncan, M.; Burgess, J.L. Respiratory protection for firefighters—Evaluation of CBRN canisters for use during overhaul. J. Occup. Environ. Hyg. 2015, 12, 314–322. [Google Scholar] [CrossRef]
- World Health Organization (WHO). World Health Survey B—Individual Questionnaire. Evidence and Information Policy; WHO: Geneva, Switzerland, 2002. [Google Scholar]
- Castro, D.; Slezakova, K.; Oliva-Teles, M.T.; Delerue-Matos, C.; Alvim-Ferraz, M.C.; Morais, S.; Carmo Pereira, M. Analysis of polycyclic aromatic hydrocarbons in atmospheric particulate samples by microwave-assisted extraction and liquid chromatography. J. Sep. Sci. 2009, 32, 501–510. [Google Scholar] [CrossRef]
- Teixeira, J.; Sousa, G.; Azevedo, R.; Almeida, A.; Delerue-Matos, C.; Wang, X.; Santos-Silva, A.; Rodrigues, F.; Oliveira, M. Characterization of Wildland Firefighters’ Exposure to Coarse, Fine, and Ultrafine Particles; Polycyclic Aromatic Hydrocarbons; and Metal(loid)s, and Estimation of Associated Health Risks. Toxics 2024, 12, 422. [Google Scholar] [CrossRef]
- Teixeira, J.; Bessa, M.J.; Delerue-Matos, C.; Sarmento, B.; Santos-Silva, A.; Rodrigues, F.; Oliveira, M. Firefighters’ personal exposure to gaseous PAHs during controlled forest fires: A case study with estimation of respiratory health risks and in vitro toxicity. Sci. Total Environ. 2024, 908, 168364. [Google Scholar] [CrossRef] [PubMed]
- Oliveira, M.; Slezakova, K.; Fernandes, A.; Teixeira, J.P.; Delerue-Matos, C.; Pereira, M.C.; Morais, S. Occupational exposure of firefighters to polycyclic aromatic hydrocarbons in non-fire work environments. Sci. Total Environ. 2017, 592, 277–287. [Google Scholar] [CrossRef] [PubMed]
- World Health Organization (WHO). Human Biomonitoring: Facts and Figures; World Health Organization, Regional Office for Europe: Copenhagen, Denmark, 2015. [Google Scholar]
- World Health Organization (WHO). Air Quality Guidelines for Europe; World Health Organization, Regional Office for Europe: Copenhagen, Denmark, 2000. [Google Scholar]
- World Health Organization (WHO). Air Quality Guidelines for Europe; World Health Organization, Regional Office for Europe: Copenhagen, Denmark, 1987. [Google Scholar]
- Kalaiarasan, M.; Balasubramanian, R.; Cheong, K.W.D.; Tham, K.W. Traffic-generated airborne particles in naturally ventilated multi-storey residential buildings of Singapore: Vertical distribution and potential health risks. Build. Environ. 2009, 44, 1493–1500. [Google Scholar] [CrossRef]
- United States Environmental Protection Agency (USEPA). Exposure Factors Handbook. Washington, DC. 2011. Available online: https://www.epa.gov/expobox/about-exposure-factors-handbook (accessed on 15 December 2024).
- United States Environmental Protection Agency (USEPA). Regional Screening Level (RSL) Summary Table (TR = 1E-06, HQ = 1); USEPA: Washington, DC, USA, 2023.
- United States Environmental Protection Agency. Mid-Atlantic Risk Assessment. Washington, DC. 2016. Available online: https://archive.epa.gov/region9/superfund/web/html/index-23.html (accessed on 15 December 2024).
- Hornung, R.W.; Reed, L.D. Estimation of Average Concentration in the Presence of Nondetectable Values. Appl.Occup. Environ. Hyg. 1990, 5, 46–51. [Google Scholar] [CrossRef]
- WHO. World Health Organization. Body Mass Index. 2006. Available online: https://www.who.int/data/gho/data/themes/topics/topic-details/GHO/body-mass-index (accessed on 15 December 2024).
- CDC. Centers for Disease Control and Prevention. Assessing Your Weight. 2022. Available online: https://www.cdc.gov/healthyweight/assessing/index.html (accessed on 15 December 2024).
- International Agency for Research on Cancer (IARC). List of Classifications: Agents Classified by the IARC Monographs. In IARC Monographs on the Identification of Carcinogenic Hazards to Humans; IARC: Lyon, France, 2023; Volumes 1–134. [Google Scholar]
- Cattley, R.C.; Kromhout, H.; Sun, M.; Tokar, E.J.; Abdallah, M.A.E.; Bauer, A.K.; Broadwater, K.R.; Campo, L.; Corsini, E.; Houck, K.A.; et al. Carcinogenicity of anthracene, 2-bromopropane, butyl methacrylate, and dimethyl hydrogen phosphite. Lancet Oncol. 2023, 24, 431–432. [Google Scholar] [CrossRef]
- United States Environmental Protection Agency (USEPA). Guidelines for Carcinogen Risk Assessment; EPA/630/P-03/001F; USEPA: Washington, DC, USA, 2005.
- Pleil, J.D.; Stiegel, M.A.; Fent, K.W. Exploratory breath analyses for assessing toxic dermal exposures of firefighters during suppression of structural burns. J. Breath Res. 2014, 8, 037107. [Google Scholar] [CrossRef]
- Gainey, S.J.; Horn, G.P.; Towers, A.E.; Oelschlager, M.L.; Tir, V.L.; Drnevich, J.; Fent, K.W.; Kerber, S.; Smith, D.L.; Freund, G.G. Exposure to a firefighting overhaul environment without respiratory protection increases immune dysregulation and lung disease risk. PLoS ONE 2018, 13, e0201830. [Google Scholar] [CrossRef]
- Fent, K.W.; Alexander, B.M.; Roberts, J.; Robertson, S.; Toennis, C.A.; Sammons, D.L.; Bertke, S.J.; Kerber, S.; Smith, D.L.; Horn, G.P. Contamination of firefighter personal protective equipment and skin and the effectiveness of decontamination procedures. J. Occup. Environ. Hyg. 2017, 14, 801–814. [Google Scholar] [CrossRef] [PubMed]
- Burgess, J.L.; Hoppe-Jones, C.; Griffin, S.C.; Zhou, J.J.; Gulotta, J.J.; Wallentine, D.D.; Moore, P.K.; Valliere, E.A.; Weller, S.R.; Beitel, S.C.; et al. Evaluation of Interventions to Reduce Firefighter Exposures. J. Occup. Environ. Med. 2020, 62, 279–288. [Google Scholar] [CrossRef]
- Kesler, R.M.; Mayer, A.; Fent, K.W.; Chen, I.C.; Deaton, A.S.; Ormond, R.B.; Smith, D.L.; Wilkinson, A.; Kerber, S.; Horn, G.P. Effects of firefighting hood design, laundering and doffing on smoke protection, heat stress and wearability. Ergonomics 2021, 64, 755–767. [Google Scholar] [CrossRef]
- Wang, H.; Wang, J.; Zhao, B.; Hu, S.; Xue, G.; Xia, J. Contamination and removal of polycyclic aromatic hydrocarbons in multilayered assemblies of firefighting protective clothing. J. Ind. Text. 2022, 52, 15280837221130772. [Google Scholar] [CrossRef]
- Wolffe, T.A.M.; Clinton, A.; Robinson, A.; Turrell, L.; Stec, A.A. Contamination of UK firefighters personal protective equipment and workplaces. Sci. Rep. 2023, 13, 65. [Google Scholar] [CrossRef] [PubMed]
- Staack, S.D.; Griffin, S.C.; Lee, V.S.T.; Lutz, E.A.; Burgess, J.L. Evaluation of CBRN Respirator Protection in Simulated Fire Overhaul Settings. Ann. Work Expo. Health 2021, 65, 843–853. [Google Scholar] [CrossRef]
- Wang, S.; Wang, Y. Musculoskeletal Model for Assessing Firefighters’ Internal Forces and Occupational Musculoskeletal Disorders During Self-Contained Breathing Apparatus Carriage. Saf. Health Work. 2022, 13, 315–325. [Google Scholar] [CrossRef]
- Oh, H.E.; Kim, S.J.; Woo, H.; Ham, S. Associations between Awareness of the Risk of Exposure to Pollutants Occurring at Fire Scenes and Health Beliefs among Metropolitan Firefighters in the Republic of Korea. Int. J. Environ. Res. Public Health 2022, 19, 8860. [Google Scholar] [CrossRef]
- Horn, G.P.; Fent, K.W.; Kerber, S.; Smith, D.L. Hierarchy of contamination control in the fire service: Review of exposure control options to reduce cancer risk. J. Occup. Environ. Hyg. 2022, 19, 538–557. [Google Scholar] [CrossRef]
- Fernandez, A.R.; Treichel, A.; Myers, J.B.; Bourn, S.S.; Crowe, R.P.; Gardner, B. Evaluating Firefighter On-Scene Decontamination Practices Using a National Fire Records Management System. J. Occup. Environ. Med. 2023, 65, 931–936. [Google Scholar] [CrossRef]
- Wilkinson, A.F.; Fent, K.W.; Mayer, A.C.; Chen, I.C.; Kesler, R.M.; Kerber, S.; Smith, D.L.; Horn, G.P. Use of Preliminary Exposure Reduction Practices or Laundering to Mitigate Polycyclic Aromatic Hydrocarbon Contamination on Firefighter Personal Protective Equipment Ensembles. Int. J. Environ. Res. Public Health 2023, 20, 2108. [Google Scholar] [CrossRef] [PubMed]
- Bralewska, K.; Bralewski, A.; Wolny, P.; Chiliński, B. Size-resolved particulate matter inside selected fire stations and preliminary evaluation of the effectiveness of washing machines in reducing its concentrations. Sci. Rep. 2024, 14, 18137. [Google Scholar] [CrossRef] [PubMed]
- Banks, A.P.W.; Wang, X.; Engelsman, M.; He, C.; Osorio, A.F.; Mueller, J.F. Assessing decontamination and laundering processes for the removal of polycyclic aromatic hydrocarbons and flame retardants from firefighting uniforms. Environ. Res. 2021, 194, 110616. [Google Scholar] [CrossRef] [PubMed]
- Calvillo, A.; Haynes, E.; Burkle, J.; Schroeder, K.; Calvillo, A.; Reese, J.; Reponen, T. Pilot study on the efficiency of water-only decontamination for firefighters’ turnout gear. J. Occup. Environ. Hyg. 2018, 16, 199–205. [Google Scholar] [CrossRef]
- Yuan, H.; Zhou, Y.; Zhou, F.; Huang, L.; Chen, T. Development and Experimental Study of Mobile Fire Smoke Decontamination System. Fire 2023, 6, 55. [Google Scholar] [CrossRef]





| Participants (n) | 50 |
|---|---|
| Age (median, range; years) | 25.0 (20.0–51.0) |
| BMI (median, range; kg/m2) | 24.4 (18.7–30.1) |
| Work as firefighter (median, range; years) | 1.0 (1.0–22.8) |
| Detection Rate (%) | Fire Event 1 | Fire Event 2 | Fire Event 3 | Fire Event 4 | Fire Event 5 | Fire Event 6 | Fire Event 7 | |
|---|---|---|---|---|---|---|---|---|
| Naphthalene | 86 | 0.26 (0.17–0.38) | 0.27 (0.17–0.51) | 0.34 (0.17–0.57) | 1.77 (0.17–5.42) | 2.00 (0.50–3.70) | 1.08 (0.39–1.57) | 0.62 (0.17–3.27) |
| Fluorene | 70 | 0.071 (0.071–0.19) | 0.18 (0.071–0.26) | 0.071 (0.071–0.18) | 0.41 (0.12–0.94) | 0.20 (0.071–0.47) | 0.13 (0.071–0.19) | 0.20 (0.071–0.32) |
| Phenanthrene | 100 | 0.67 (0.30–1.51) | 0.46 (0.20–0.97) | 0.52 (0.36–1.46) | 1.82 (0.69– 4.27) | 0.86 (0.29–1.97) | 0.87 (0.43–1.49) | 0.67 (0.097–1.37) |
| Anthracene | 100 | 0.11 (0.054–0.21) | 0.088 (0.017–0.13) | 0.11 (0.079–0.22) | 0.21 (0.14–0.36) | 0.31 (0.13–0.54) | 0.18 (0.13–0.31) | 0.14 (0.092–0.46) |
| Fluoranthene | 100 | 0.50 (0.17–1.91) | 0.51 (0.22–1.06) | 0.23 (0.11–1.11) | 0.84 (0.38–1.66) | 0.84 (0.23–1.81) | 0.29 (0.069–0.64) | 0.36 (0.11–1.20) |
| Pyrene | 100 | 0.48 (0.070–2.43) | 0.35 (0.11–0.60) | 0.14 (0.046–0.72) | 1.13 (0.31–2.53) | 0.83 (0.49–1.93) | 0.26 (0.17–0.61) | 0.39 (0.18–1.07) |
| Benz(a)anthracene | 67 | 0.017 (0.014–0.22) | 0.027 (0.014–0.57) | 0.014 (0.014–0.11) | 0.039 (0.014–0.13) | 0.098 (0.048–0.54) | 0.069 (0.014–0.13) | 0.014 (0.014–0.029) |
| Chrysene | 100 | 0.046 (0.019–0.66) | 0.072 (0.019–0.19) | 0.057 (0.036–0.20) | 0.20 (0.090–0.44) | 0.39 (0.17–0.89) | 0.062 (0.028–0.26) | 0.084 (0.031–0.36) |
| Benzo(b+j)fluoranthene | 100 | 0.18 (0.12–0.63) | 0.22 (0.16–0.42) | 0.20 (0.12–0.49) | 0.29 (0.17–0.49) | 0.40 (0.16–0.68) | 0.21 (0.12–0.47) | 0.20 (0.092–0.39) |
| Benzo(k)fluoranthene | 66 | 0.056 (0.014–0.23) | 0.051 (0.033–0.12) | 0.023 (0.014–0.16) | 0.025 (0.014–0.047) | 0.059 (0.014–0.14) | 0.014 (0.014–0.052) | 0.014 (0.014–0.027) |
| Benzo(a)pyrene | 100 | 0.093 (0.038–0.66) | 0.094 (0.047–0.21) | 0.041 (0.018–0.27) | 0.077 (0.029–0.14) | 0.18 (0.068–0.34) | 0.086 (0.064–0.18) | 0.064 (0.034–0.088) |
| Outside SCBA | Inside SCBA | I/O | |
|---|---|---|---|
| Naphthalene | 6.61 (4.86–15.5) | 0.506 (0.271–1.35) | 3.24 × 10−5 (1.66 × 10−5–7.42 × 10−5) |
| Acenaphthylene | 1.20 (0.833–2.51) | 7.90 a | 5.86 × 10−3 (2.22 × 10−3–1.34 × 10−2) |
| Fluorene | 0.570 (0.413–1.07) | 0.150 (7.14 × 10−2–0.226) | 2.02 × 10−4 (1.09 × 10−4–2.55 × 10−4) |
| Phenanthrene | 3.33 (2.48–4.96) | 0.716 (1.06–0.504) | 1.34 × 10−4 (1.15 × 10−4–3.24 × 10−4) |
| Anthracene | 0.916 (0.508–1.35) | 0.146 (9.63 × 10−2–0.219) | 1.26 × 10−4 (6.11 × 10−5–2.04 × 10−4) |
| Fluoranthene | 0.818 (0.640–1.65) | 0.461 (0.290–0.792) | 4.04 × 10−4 (2.33 × 10−4–8.09 × 10−4) |
| Pyrene | 0.573 (0.430–0.940) | 0.408 (0.233–0.801) | 3.91 × 10−4 (2.24 × 10−4–7.33 × 10−4) |
| Benz(a)anthracene | 0.701 (0.428–1.23) | 3.43 × 10−2 (1.38 × 10−2–8.31 × 10−2) | 3.34 × 10−5 (1.55 × 10−5–8.73 × 10−5) |
| Chrysene | 0.103 (2.33 × 10−3–0.154) | 9.24 × 10−2 (5.52 × 10−2–0.201) | 1.10 × 10−3 (3.71 × 10−4–1.41 × 10−2) |
| Benzo(b+j)fluoranthene | 0.473 (0.292–0.674) | 0.220 (0.169–0.328) | 4.57 × 10−4 (3.04 × 10−4–8.73 × 10−4) |
| Benzo(k)fluoranthene | 3.01 × 10−3 (1.72 × 10−3–7.29 × 10−3) | 3.36 × 10−2 (1.43 × 10−2–5.41 × 10−2) | 1.34 × 10−2 (1.97 × 10−3–2.51 × 10−2) |
| Benzo(a)pyrene | 3.25 × 10−2 (1.99 × 10−2–5.29 × 10−2) | 8.15 × 10−2 (5.66 × 10−2–0.124) | 2.43 × 10−3 (1.06 × 10−3–5.56 × 10−3) |
| Dibenzo(a,l)pyrene | 3.41 × 10−2 (1.33 × 10−2–6.36 × 10−2) | 3.63 × 10−2 a | 1.06 × 10−3 (5.72 × 10−4–2.86 × 10−3) |
| Benzo(g,h,i)perylene | 1.52 × 10−2 (7.45 × 10−3–1.98 × 10−2) | 4.00 × 10−2 a | 4.62 × 10−3 (3.10 × 10−3–5.86 × 10−3) |
| Indeno(1,2,3-c,d)pyrene | 1.76 × 10−2 (3.26 × 10−3–4.66 × 10−2) | 4.67 × 10−2 (2.44 × 10−2–9.73 × 10−2) | 5.73 × 10−3 (8.05 × 10−4–1.05 × 10−2) |
| Total | 14.4 (11.8–27.9) | 2.54 × 10−3 (2.08 × 10−3–1.01 × 10−2) | 1.66 × 10−4 (1.12 × 10−4–4.79 × 10−4) |
Disclaimer/Publisher’s Note: The statements, opinions and data contained in all publications are solely those of the individual author(s) and contributor(s) and not of MDPI and/or the editor(s). MDPI and/or the editor(s) disclaim responsibility for any injury to people or property resulting from any ideas, methods, instructions or products referred to in the content. |
© 2025 by the authors. Licensee MDPI, Basel, Switzerland. This article is an open access article distributed under the terms and conditions of the Creative Commons Attribution (CC BY) license (https://creativecommons.org/licenses/by/4.0/).
Share and Cite
Teixeira, J.; Delerue-Matos, C.; Santos-Silva, A.; Rodrigues, F.; Oliveira, M. Effectiveness of Self-Contained Breathing Apparatus: An Observational Study on Exposure to Polycyclic Aromatic Hydrocarbons and Associated Respiratory Risks. Fire 2025, 8, 182. https://doi.org/10.3390/fire8050182
Teixeira J, Delerue-Matos C, Santos-Silva A, Rodrigues F, Oliveira M. Effectiveness of Self-Contained Breathing Apparatus: An Observational Study on Exposure to Polycyclic Aromatic Hydrocarbons and Associated Respiratory Risks. Fire. 2025; 8(5):182. https://doi.org/10.3390/fire8050182
Chicago/Turabian StyleTeixeira, Joana, Cristina Delerue-Matos, Alice Santos-Silva, Francisca Rodrigues, and Marta Oliveira. 2025. "Effectiveness of Self-Contained Breathing Apparatus: An Observational Study on Exposure to Polycyclic Aromatic Hydrocarbons and Associated Respiratory Risks" Fire 8, no. 5: 182. https://doi.org/10.3390/fire8050182
APA StyleTeixeira, J., Delerue-Matos, C., Santos-Silva, A., Rodrigues, F., & Oliveira, M. (2025). Effectiveness of Self-Contained Breathing Apparatus: An Observational Study on Exposure to Polycyclic Aromatic Hydrocarbons and Associated Respiratory Risks. Fire, 8(5), 182. https://doi.org/10.3390/fire8050182

