Optimizing Xanthan Gum for Enhanced Fire Extinguishing Performance of Eco-Friendly Short-Chain Fluorocarbon Surfactant Foam
Abstract
1. Introduction
2. Materials and Methods
2.1. Materials
2.2. Preparation of Foam Extinguishing Agent
2.3. Experimental System and Procedures
2.3.1. Foam Fire Extinguishing Experiment
2.3.2. Biodegradation Test
3. Results and Discussions
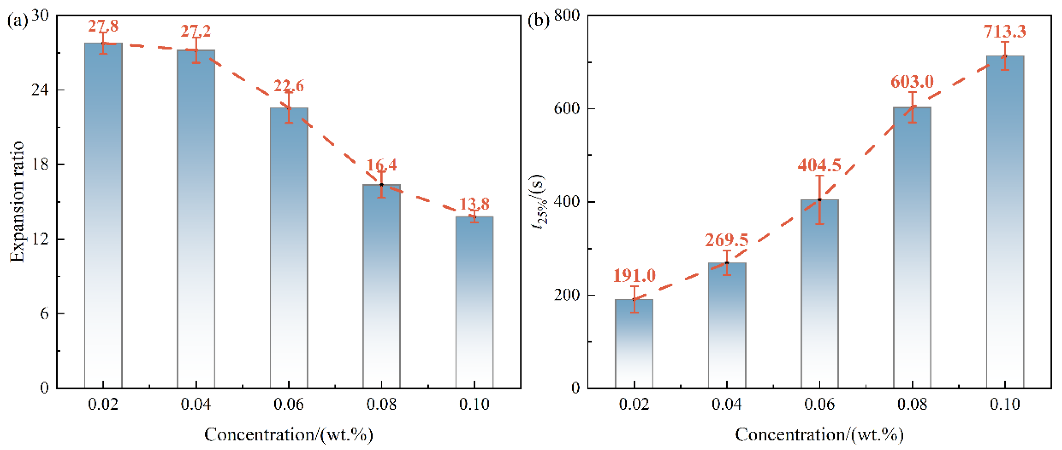
3.1. Foaming Capability and Drainage Characteristics Analysis
3.2. Foam Suppression Process Analysis
3.3. Temperature Evolution Analysis
3.4. Biodegradation Analysis
3.5. Mechanism of XG Influence on PFH-BZ Foam Fire Extinguishing Performance
4. Conclusions
Author Contributions
Funding
Institutional Review Board Statement
Informed Consent Statement
Data Availability Statement
Conflicts of Interest
References
- Fadeyibi, I.O.; Jewo, P.I.; Opoola, P.; Babalola, O.S.; Ugburo, A.; Ademiluyi, S.A. Burns and Fire Disasters from Leaking Petroleum Pipes in Lagos, Nigeria: An 8-Year Experience. Burns 2011, 37, 145–152. [Google Scholar] [CrossRef]
- Zanganeh, J.; Moghtaderi, B.; Ishida, H. Combustion and flame spread on fuel-soaked porous solids. Prog. Energy Combust. Sci. 2013, 39, 320–339. [Google Scholar] [CrossRef]
- Chen, J.; Lei, S.; Wang, T.; Huang, Y.; Kong, D.; Luo, Z. Experimental and Numerical Investigation into Burning Rate and Fire Plume Characteristic of Pool Fire with Plate Obstacle. Process Saf. Environ. Prot. 2024, 184, 1459–1467. [Google Scholar] [CrossRef]
- Okamoto, K.; Yamasaki, H.; Matsuoka, I.; Ichikawa, T.; Matsuoka, H.; Saeki, Y.; Honma, M. Burning behavior and fire hazards of petroleum liquid combustible spills. J. Loss Prev. Process Ind. 2024, 90, 105346. [Google Scholar] [CrossRef]
- Dlugogorski, B.Z.; Schaefer, T.H. Compatibility of aqueous film-forming foams (AFFF) with sea water. Fire Saf. J. 2021, 120, 103288. [Google Scholar] [CrossRef]
- Zabelin, I.V.; Shkola, M.V.; Shlegel, N.E.; Strizhak, P.A. Using Hydrate Foam to Extinguish Petroleum Product Tank Fires. J. Loss Prev. Process Ind. 2025, 98, 105730. [Google Scholar] [CrossRef]
- Shevchenko, R.I.; Strelets, V.M.; Loboichenko, V.M.; Pruskyi, A.V.; Myroshnyk, O.N.; Kamyshentsev, G.V. REVIEW OF UP-TO-DATE APPROACHES FOR EXTINGUISHING OIL AND PETROLEUM PRODUCTS. SOCAR Proc. 2021, 1, 169–174. [Google Scholar] [CrossRef]
- Lou, M.; Jia, H.; Lin, Z.; Zeng, D.; Huo, J. Study on Fire Extinguishing Performance of Different Foam Extinguishing Agents in Diesel Pool Fire. Results Eng. 2023, 17, 100874. [Google Scholar] [CrossRef]
- Kim, T.S.; Park, T.H.; Park, J.H.; Yang, J.H.; Han, D.H.; Lee, B.C.; Kwon, J.S. Thermal Characteristics of Fire Extinguishing Agents in Compartment Fire Suppression. Sci. Prog. 2024, 107, 1–16. [Google Scholar] [CrossRef]
- Rie, D.H.; Lee, J.W.; Kim, S. Class B Fire-Extinguishing Performance Evaluation of a Compressed Air Foam System at Different Air-to-Aqueous Foam Solution Mixing Ratios. Appl. Sci. 2016, 6, 191. [Google Scholar] [CrossRef]
- Xu, Z.; Guo, X.; Yan, L.; Kang, W. Fire-Extinguishing Performance and Mechanism of Aqueous Film-Forming Foam in Diesel Pool Fire. Case Stud. Therm. Eng. 2020, 17, 100578. [Google Scholar] [CrossRef]
- Brunn, H.; Arnold, G.; Körner, W.; Rippen, G.; Steinhäuser, K.G.; Valentin, I. PFAS: Forever Chemicals—Persistent, Bioaccumulative and Mobile. Reviewing the Status and the Need for Their Phase out and Remediation of Contaminated Sites. Environ. Sci. Eur. 2023, 35, 20. [Google Scholar] [CrossRef]
- Douglas, G.B.; Vanderzalm, J.L.; Williams, M.; Kirby, J.K.; Kookana, R.S.; Bastow, T.P.; Bauer, M.; Bowles, K.C.; Skuse, D.; Davis, G.B. PFAS Contaminated Asphalt and Concrete—Knowledge Gaps for Future Research and Management. Sci. Total Environ. 2023, 887, 164025. [Google Scholar] [CrossRef]
- Alsadik, A.; Akintunde, O.O.; Habibi, H.R.; Achari, G. PFAS in Water Environments: Recent Progress and Challenges in Monitoring, Toxicity, Treatment Technologies, and Post-Treatment Toxicity. Environ. Syst. Res. 2025, 14, 18. [Google Scholar] [CrossRef]
- Steenland, K.; Kugathasan, S.; Barr, D.B. PFOA and ulcerative colitis. Environ. Res. 2018, 165, 317–321. [Google Scholar] [CrossRef]
- Ehsan, M.N.; Riza, M.; Pervez, M.N.; Khyum, M.M.O.; Liang, Y.; Naddeo, V. Environmental and Health Impacts of PFAS: Sources, Distribution and Sustainable Management in North Carolina (USA). Sci. Total Environ. 2023, 878, 163123. [Google Scholar] [CrossRef]
- Elgarahy, A.M.; Eloffy, M.G.; Saber, A.N.; Abouzid, M.; Rashad, E.; Ghorad, M.A.; El-Sherif, D.; Elwakeel, K.Z. Exploring the sources, occurrence, transformation, toxicity, monitoring, and remediation strategies of per- and polyfluoroalkyl substances: A review. Environ. Monit. Assess. 2024, 196, 1209. [Google Scholar] [CrossRef] [PubMed]
- Mojiri, A.; Zhou, J.L.; Ozaki, N.; KarimiDermani, B.; Razmi, E.; Kasmuri, N. Occurrence of per- and polyfluoroalkyl substances in aquatic environments and their removal by advanced oxidation processes. Chemosphere 2023, 330, 138666. [Google Scholar] [CrossRef] [PubMed]
- Brennan, N.M.; Evans, A.T.; Fritz, M.K.; Peak, S.A.; von Holst, H.E. Trends in the Regulation of Per-and Polyfluoroalkyl Substances (PFAS): A Scoping Review. Int. J. Environ. Res. Public Health 2021, 18, 10900. [Google Scholar] [CrossRef] [PubMed]
- Back, G.G. Aqueous Film Forming Foam (AFFF) Status and Alternatives: The Big Picture (2024 Status Update). Fire Technol. 2024, 60, 2019–2040. [Google Scholar] [CrossRef]
- Jahura, F.T.; Mazumder, N.U.S.; Hossain, M.T.; Kasebi, A.; Girase, A.; Ormond, R.B. Exploring the Prospects and Challenges of Fluorine-Free Firefighting Foams (F3) as Alternatives to Aqueous Film-Forming Foams (AFFF): A Review. ACS Omega 2024, 9, 37430–37444. [Google Scholar] [CrossRef] [PubMed]
- Malik, P.; Nandini, D.; Tripathi, B.P. Firefighting Aqueous Film Forming Foam Composition, Properties and Toxicity: A Review. Environ. Chem. Lett. 2024, 22, 2013–2033. [Google Scholar] [CrossRef]
- Olsen, G.W.; Chang, S.C.; Noker, P.E.; Gorman, G.S.; Ehresman, D.J.; Lieder, P.H.; Butenhoff, J.L. A Comparison of the Pharmacokinetics of Perfluorobutanesulfonate (PFBS) in Rats, Monkeys, and Humans. Toxicology 2009, 256, 65–74. [Google Scholar] [CrossRef]
- Darmanin, T.; Guittard, F. Superoleophobic surfaces with short fluorinated chains? Soft Matter 2013, 9, 5982–5990. [Google Scholar] [CrossRef]
- Hagenaars, A.; Meyer, I.J.; Herzke, D.; Pardo, B.G.; Martinez, P.; Pabon, M.; De Coen, W.; Knapen, D. The Search for Alternative Aqueous Film Forming Foams (AFFF) with a Low Environmental Impact: Physiological and Transcriptomic Effects of Two Forafac® Fluorosurfactants in Turbot. Aquat. Toxicol. 2011, 104, 168–176. [Google Scholar] [CrossRef]
- Peshoria, S.; Nandini, D.; Tanwar, R.K.; Narang, R. Short-chain and long-chain fluorosurfactants in firefighting foam: A review. Environ. Chem. Lett. 2020, 18, 1277–1300. [Google Scholar] [CrossRef]
- Zhao, W.; Xu, Z.; Yan, L. Zwitterionic Short-Chain Fluorocarbon Surfactant: Synthesis, Synergy with Hydrocarbon Surfactants, and Effects of Inorganic Salts on Surface Activity and Foam Performance. Surf. Interfaces 2025, 72, 107125. [Google Scholar] [CrossRef]
- GB 15308-2025; Foam Extinguishing Agent. Standardization Administration of the People’s Republic of China: Beijing, China, 2025.
- ISO 7203-2019; Fire Extinguishing Media-Foam Concentrates. International Organization for Standardization: Geneva, Switzerland, 2019.
- Zhao, W.; Xu, Z.; Yan, L. Competitive Adsorption and Gas Diffusion Inhibition Effect between Long-Chain Alcohol and Short-Chain Fluorocarbon Surfactant in Foam Solution. Colloids Surf. A Physicochem. Eng. Asp. 2025, 726, 137777. [Google Scholar] [CrossRef]
- Zhao, W.; Zhu, Z.; Xu, Z.; Yan, L. Polysaccharides and Polyacrylamide as Linear Polymeric Stabilizers for Zwitterionic Short-Chain Fluorocarbon Surfactant: Interfacial Properties, Apparent Viscosity, and Foam Performance. Polymers 2025, 17, 3112. [Google Scholar] [CrossRef]
- Bhat, I.M.; Wani, S.M.; Mir, S.A.; Masoodi, F.A. Advances in Xanthan Gum Production, Modifications and Its Applications. Biocatal. Agric. Biotechnol. 2022, 42, 102328. [Google Scholar] [CrossRef]
- Raj, S.; Krishnan, J.M.; Ramamurthy, K. Influence of admixtures on the characteristics of aqueous foam produced using a synthetic surfactant. Colloids Surf. A Physicochem. Eng. Asp. 2022, 643, 128770. [Google Scholar] [CrossRef]
- Baigadilov, A.; Colombano, S.; Omirbekov, S.; Cochennec, M.; Davarzani, D.; Lion, F.; Bodiguel, H.; Oxarango, L. Stability and flow behavior of polymer-enhanced foams for improved in-situ remediation of hydrocarbons: Effect of polymer-surfactant interactions. J. Loss Prev. Process Ind. 2025, 486, 137004. [Google Scholar] [CrossRef]
- Li, H.; Yu, X.; Fu, Z.; Lu, S. Stabilization Mechanisms of Foams Enhanced by Xanthan Gum and Sodium Carboxymethyl Cellulose: Rheology–Bubble Structure Interplay and Predictive Criteria for Drainage Delays. Carbohydr. Polym. 2025, 366, 123901. [Google Scholar] [CrossRef] [PubMed]
- Carrier, V.; Colin, A. Coalescence in Draining Foams. Langmuir 2003, 19, 4535–4538. [Google Scholar] [CrossRef]
- Shankaran, P.I.; Chinnaswamy, A. Instant Coffee Foam: An Investigation on Factors Controlling Foamability, Foam Drainage, Coalescence, and Disproportionation. J. Food Process Eng. 2019, 42, e13173. [Google Scholar] [CrossRef]
- Saha, S.; Bhaumik, S.; Roy, A. Coupling between Drainage and Coarsening in Wet Foam. Pramana—J. Phys. 2009, 72, 1037–1044. [Google Scholar] [CrossRef]
- Fan, X.; Ma, L.; Sheng, Y.; Liu, X.; Wei, G.; Liu, S. Experimental Investigation on the Characteristics of XG/GG/HPAM Gel Foam and Prevention of Coal Spontaneous Combustion. Energy 2023, 284, 128710. [Google Scholar] [CrossRef]
- Yan, B.; Zhu, G.; Liu, C.; Hu, X.; Zhong, F.; He, L.; Liu, T.; Peng, M. Preparation and Properties of a Fluorine-Free Aerogel Foam Extinguishing Agent. Colloids Surf. A Physicochem. Eng. Asp. 2025, 707, 135826. [Google Scholar] [CrossRef]
- Kang, W.; Zhang, Z.; Zhou, Q.; Xing, Y.; Lu, Y. Preparation of Environmental-Friendly Foam Extinguishing Agent Based on Inorganic Salt and Polysaccharide Mixtures for Firefighting Diesel Pool Fire. J. Build. Eng. 2025, 102, 111992. [Google Scholar] [CrossRef]
- Naji, S.; Razavi, S.M.A. Functional and textural characteristics of cress seed (Lepidium sativum) gum and xanthan gum: Effect of refrigeration condition. Food Biosci. 2014, 5, 1–8. [Google Scholar] [CrossRef]
- Yu, X.; Li, F.; Miao, X.; Jiang, N.; Zong, R.; Lu, S.; Li, C. Experimental Investigation on the Spread of Aqueous Foam over Ethanol Surface. Chin. J. Chem. Eng. 2020, 28, 2946–2954. [Google Scholar] [CrossRef]
- Ates, A.; Madsen, M.D.; Long, T.E.; Qiao, R.; Lattimer, B.Y. Designing surfactants for fuel resistance: Linking foam stability, micelle behavior, and molecular architecture. Colloids Surf. A Physicochem. Eng. Asp. 2025, 727, 138413. [Google Scholar] [CrossRef]
- Schofield, H.K.; Megson, D.P.; Da Costa, J.; Richardson, L.A.; Shelbourne, K.; Payne, J. Fluorosurfactant Retention in the Foam Blanket during Gravitational Drainage of an Aqueous Film-Forming Foam. Colloid Interface Sci. Commun. 2021, 42, 100404. [Google Scholar] [CrossRef]
- Bourgeois, A.; Bergendahl, J.; Rangwala, A. Biodegradability of Fluorinated Fire-Fighting Foams in Water. Chemosphere 2015, 131, 104–109. [Google Scholar] [CrossRef]
- Maza-Márquez, P.; Vílchez-Vargas, R.; González-Martínez, A.; González-López, J.; Rodelas, B. Assessing the Abundance of Fungal Populations in a Full-Scale Membrane Bioreactor (MBR) Treating Urban Wastewater by Using Quantitative PCR (QPCR). J. Environ. Manag. 2018, 223, 1–8. [Google Scholar] [CrossRef]
- HJ 505-2009; Water Quality—Determination of Biochemical Oxygen Demand After 5 Days (BOD5) for Dilution and Seeding Method. Ministry of Ecology and Environment of the People’s Republic of China: Beijing, China, 2009.
- HJ 828-2018; Water quality—Determination of the Chemical Oxygen Demand—Dichromate Method. Ministry of Ecology and Environment of the People’s Republic of China: Beijing, China, 2017.
- Gałaj, J.; Tuśnio, N.; Wolny, P.; Drzymała, T. Analysis of the Impact of Water Flow Rate on the Temperature Variability in a Closed Room during the Extinguishing of A-Group Fire Using a Hybrid Water Mist Suppression System. Sustainability 2020, 12, 8700. [Google Scholar] [CrossRef]
- Scheffey, J.L. Foam Agents and AFFF System Design Considerations. In SFPE Handbook of Fire Protection Engineering, 5th ed.; Hurley, M.J., Gottuk, D., Eds.; Springer: New York, NY, USA, 2016; pp. 1646–1706. [Google Scholar]
- Dahlbom, S.; Mallin, T.; Bobert, M. Fire Test Performance of Eleven PFAS-Free Class B Firefighting Foams Varying Fuels, Admixture, Water Types and Foam Generation Techniques. Fire Technol. 2022, 58, 1639–1665. [Google Scholar] [CrossRef]






| XG Concentration /(wt.%) | Maximum Temperature Rise/(°C) | Maximum Temperature Rise Magnitude/(%) | Average Cooling Rate/(°C/s) |
|---|---|---|---|
| 0.02 | 60.8 | 9.7 | 16.8 |
| 0.04 | 120.4 | 23.6 | 14.2 |
| 0.06 | 80.5 | 14.1 | 14.4 |
| 0.08 | 89.1 | 14.3 | 13.9 |
| 0.10 | 83.2 | 14.4 | 12.1 |
| Sample | BOD5/(mg/L) | CODCr/(mg/L) |
|---|---|---|
| PFH-BZ surfactant at cmc | 7.3 | 220.0 |
| PFH-BZ foam extinguishing agent with 0.02 wt.% XG | 7.3 | 39,650.0 |
| Conventional 6% foam extinguishing agent | 1.3 | 84,500.0 |
Disclaimer/Publisher’s Note: The statements, opinions and data contained in all publications are solely those of the individual author(s) and contributor(s) and not of MDPI and/or the editor(s). MDPI and/or the editor(s) disclaim responsibility for any injury to people or property resulting from any ideas, methods, instructions or products referred to in the content. |
© 2025 by the authors. Licensee MDPI, Basel, Switzerland. This article is an open access article distributed under the terms and conditions of the Creative Commons Attribution (CC BY) license (https://creativecommons.org/licenses/by/4.0/).
Share and Cite
Zhao, W.; Xu, Z.; Yan, L. Optimizing Xanthan Gum for Enhanced Fire Extinguishing Performance of Eco-Friendly Short-Chain Fluorocarbon Surfactant Foam. Fire 2025, 8, 463. https://doi.org/10.3390/fire8120463
Zhao W, Xu Z, Yan L. Optimizing Xanthan Gum for Enhanced Fire Extinguishing Performance of Eco-Friendly Short-Chain Fluorocarbon Surfactant Foam. Fire. 2025; 8(12):463. https://doi.org/10.3390/fire8120463
Chicago/Turabian StyleZhao, Wenjun, Zhisheng Xu, and Long Yan. 2025. "Optimizing Xanthan Gum for Enhanced Fire Extinguishing Performance of Eco-Friendly Short-Chain Fluorocarbon Surfactant Foam" Fire 8, no. 12: 463. https://doi.org/10.3390/fire8120463
APA StyleZhao, W., Xu, Z., & Yan, L. (2025). Optimizing Xanthan Gum for Enhanced Fire Extinguishing Performance of Eco-Friendly Short-Chain Fluorocarbon Surfactant Foam. Fire, 8(12), 463. https://doi.org/10.3390/fire8120463

