Impact of Thermo-Oxidative Aging on Flame Retardancy of Melamine Formaldehyde Particle Boards: Processes and Performance Degradation Analysis
Abstract
1. Introduction
2. Materials and Methods
2.1. Sample Preparation
2.2. Structural Characterization Techniques
2.2.1. SEM
2.2.2. FTIR Spectroscopy
2.3. Flame Retardancy Evaluation
2.3.1. TG
2.3.2. LOI
2.3.3. CCT
3. Results and Discussion
3.1. Morphological Characteristics and Surface Composition
3.1.1. Macro-/Microscopic Morphological Evolution Analysis
3.1.2. EDS Analysis
3.1.3. FTIR Spectroscopy Analysis
3.2. Flame Retardancy Properties
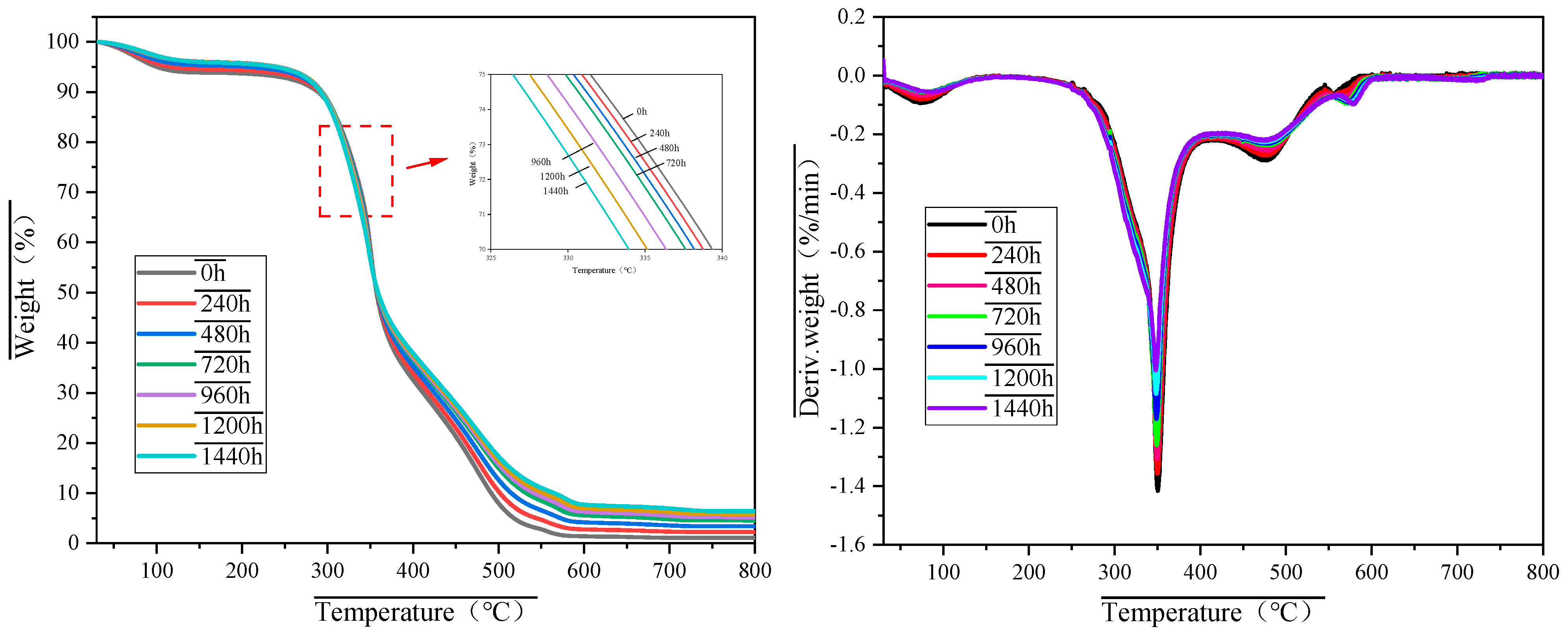
3.2.1. TG Analysis
3.2.2. LOI Analysis
3.2.3. CCT Analysis
4. Conclusions
Author Contributions
Funding
Institutional Review Board Statement
Informed Consent Statement
Data Availability Statement
Acknowledgments
Conflicts of Interest
References
- GB 50016-2014; Code for Fire Protection Design of Buildings. China Plans Publishing House: Beijing, China, 2014.
- ASTM E84; Standard Test Method for Surface Burning Characteristics of Building Materials. ASTM International: West Conshohocken, PA, USA, 2023.
- EN 13501-1; Fire Classification of Construction Products and Building Elements-Part 1: Classification Using Data from Reaction to Fire Tests. European Committee for Standardization: Brussels, Belgium, 2019.
- Luo, S.Y.; Gao, M.Y.; Pan, X.L.; Wang, Y.; He, Y.P.; Zhu, L.H.; Si, T.; Sun, Y.L. Fragrance oil microcapsules with low content of formaldehyde: Preparation and characterization. Colloids Surf. A Physicochem. Eng. Asp. 2022, 648, 1165–1173. [Google Scholar] [CrossRef]
- Kawarasaki, M.; Hiradate, R.; Hirabayashi, Y.; Kikuchi, S. Fire retardancy of fire-retardant-impregnated wood after natural weathering I: Effects of chemical types and coatings at up to 60-months of exposure. Mokuzai Gakkaishi. 2018, 6, 105–114. [Google Scholar] [CrossRef]
- Song, J.J.; Deng, J.; Zhao, J.Y.; Lu, S.P.; Ming, H.Q.; Shu, C.M. Comparative analysis of exothermic behaviour of fresh and aged pine wood. Therm. Anal. Calorim. 2022, 147, 14393–14406. [Google Scholar] [CrossRef]
- Sjökvist, T.; Blom, Å.R.; Ahmed, S.A. Liquid water absorption in coated Norway spruce: Impact of heartwood, sapwood, density and weather exposure. Maderas Cienc. Tecnol. 2020, 22, 335–346. [Google Scholar] [CrossRef]
- Rostom, L.; Courtier-murias, D.; Rodts, S.; Care, S. Investigation of the effect of aging on wood hygroscopicity by 2D 1H NMR relaxometry. Holzforschung 2020, 74, 400–411. [Google Scholar] [CrossRef]
- Todar, L.; D’auri, M.; Langerame, F.; Salvi, A.M. Surface characterization of untreated and hydro-thermally pre-treated Turkey oak woods after UV-C irradiation. Surf. Interface Anal. 2015, 47, 206–215. [Google Scholar] [CrossRef]
- Esteves, B.; Pereira, H. Wood modification by heat treatment: A review. BioResources 2008, 4, 370–404. [Google Scholar] [CrossRef]
- Altgen, M.; Rautkari, L. Humidity-dependence of the hydroxyl accessibility in Norway spruce wood. Cellulose 2020, 28, 45–58. [Google Scholar] [CrossRef]
- Bhattacharjee, S.; Bajwa, D.S. Degradation in the mechanical and thermo-mechanical properties of natural fiber filled polymer composites due to recycling. Constr. Build. Mater. 2018, 172, 1–9. [Google Scholar] [CrossRef]
- Kujawa, M.; Paczos, P.; Smakosz, L.; Piasecki, A.; Jan, F.; Winkelmann, K.; Konopińska-Zmysłowska, V.; Eremeyev, V. Impact of thermal and humidity conditions on structural epoxy adhesives during medim-term exposure. Int. J. Adhes. Adhes. 2025, 139, 234–243. [Google Scholar] [CrossRef]
- Lu, Y.X.; Feng, J.B.; Yi, D.Q.; Xie, H.Y.; Xu, Z.G.; Cao, C.F.; Huo, S.Q.; Wang, H.; Song, P.A. Strong synergistic effects between P/N-containing supramolecular microplates and aluminum diethylphosphinate for fire-retardant PA6. Compos. Part A Appl. Sci. Manuf. 2024, 176, 107834. [Google Scholar] [CrossRef]
- Wang, C.L.; Li, J.; Ding, P. Roles of supermolecule structure of melamine phosphomolybdate in intumescent flame retardant polypropylene composites. Anal. Appl. Pyrolysis 2016, 119, 139–146. [Google Scholar] [CrossRef]
- Hua, Y.F.; Liu, J.; Zhang, J.Y.; Liu, Z.S.; Hu, G.T.; Yang, Y.; Sui, Y.F.; Sun, J.; Gu, X.Y.; Zhang, S. A compound with boron and phosphorus towards epoxy resin with excellent flame retardancy, smoke suppression, transparency, and dielectric properties. Chem. Eng. J. 2024, 483, 149212. [Google Scholar] [CrossRef]
- Zhou, Y.; He, W.D.; Wu, Y.F.; Xu, D.H.; Chen, X.L.; He, M.; Guo, J.B. Influence of thermo-oxidative aging on flame retardancy, thermal stability, and mechanical properties of long glass fiber–reinforced polypropylene composites filled with organic montmorillonite and intumescent flame retardant. Fire Sci. 2019, 37, 176–189. [Google Scholar] [CrossRef]
- Yao, X.L.; Peng, R.; Du, C.G.; Hua, Y.T.; Zhang, J.J.; Huang, Q.L.; Liu, H.Z. A two-step method for fabricating bamboo culm coated with MgAl-LDHs and its fire resistance properties. Bio Resour. 2019, 14, 5150–5161. [Google Scholar] [CrossRef]
- Zhou, Z.X.; Du, C.G.; Yu, H.L.; Yao, X.L.; Huang, Q.L. Promotion effect of nano-SiO2 on hygroscopicity, leaching resistance and thermal stability of bamboo strips treated by nitrogen-phosphorus-boron fire retardants. Wood Res. 2020, 65, 693–704. [Google Scholar] [CrossRef]
- Zheng, Y.Q.; Huang, Z.A.; Liu, L.L. The aging property and life forecast of the silicone rubber. China Plast. Ind. 2015, 43, 61–64. (In Chinese) [Google Scholar]
- Yu, Q.L.; Brouwers, H.J.H. Thermal properties and microstructure of gypsum board and its dehydration products: A theoretical and experimental investigation. Fire Mater. 2011, 36, 575–589. [Google Scholar] [CrossRef]
- Laoutid, F.; Bonnaud, L.; Alexandre, M.; Lopez-Cuesta, J.-M.; Dubois, P. New prospects in flame retardant polymer materials: From fundamentals to nanocomposites. Mater. Sci. Eng. R Rep. 2009, 63, 100–125. [Google Scholar] [CrossRef]
- Shao, Y.; Wang, Y.; Yang, F.; Du, C.; Zhu, J.; Ran, Y.; Bao, Q.; Shan, Y.; Zhang, W. Sodium silicate/urea/melamine ternary synergistic waterborne acrylic acid flame-retardant coating and its flame-retardant mechanism. Molecules 2024, 29, 1472. [Google Scholar] [CrossRef]
- He, Y.; Jin, X.; Li, J.; Qin, D. Mechanical and fire properties of flame-retardant laminated bamboo lumber glued with phenol formaldehyde and melamine urea formaldehyde adhesives. Polymer 2024, 16, 781. [Google Scholar] [CrossRef] [PubMed]
- Lu, S.; Chen, X.; Zhang, B.; Lu, Z.; Jiang, W.; Fang, X.; Li, J.; Liu, B.; Ding, T.; Xu, Y. Synergistic modification of polyformaldehyde by biobased calcium magnesium bi-ionic melamine phytate with intumescent flame retardant. Polymer 2024, 16, 614. [Google Scholar] [CrossRef] [PubMed]
- Çekiç, Y.; Duyar, H.; Hacıvelioğlu, F. Preparation and characterization of melamine–benzoguanamine–formaldehyde resins and their flame-retardant properties in impregnated paper for low pressure laminates. Coatings 2024, 14, 873. [Google Scholar] [CrossRef]
- ISO 291:2008; Plastics-Standard Atmospheres for Conditioning and Testing. International Organi-zation for Standardization: Geneva, Switzerland, 2008.
- GB/T 2406.2-2009; Plastics-Determination of Burning Behaviour by Oxygen Index-Part 2: Ambient-Temperature Test. Standards Press of China: Beijing, China, 2009.
- ISO 5660-1; Reaction-to-Fire Tests -Heat Release, Smoke Production and Mass Loss Rate Part 1: Heat Release Rate (cone Calo-Rimeter Method) and Smoke Production Rate (Dynamic Measurement). International Organization for Standardization: Geneva, Switzerland, 2015.
- DN6176: 2018-10; Colorimetric Determination of Colour Differences of Object Colours According to the DIN99o Formula. Deutsches Institut für Normung: Berlin, Germany, 2018.
- Zhang, X.Q.; Yang, H.Y.; Guo, Y.X.; Zhou, J.; Liu, H.; He, S.Q.; Huang, M.M.; Xu, W.L.; Zhu, C.S.; Liu, W.T. Pyrolysis kinetics and flame retardant enhancement of bio-based polyamide 56/6. Thermochim. Acta 2024, 741, 179869. [Google Scholar] [CrossRef]
- Deng, Z.; Shi, M.; Liang, Y.; Yang, X.; Huang, Z. Phosphorus-nitrogen synergistic flame retardant (PNFR) towards epoxy resin with excellent flame retardancy and satisfactory mechanical strength: An insight into pyrolysis and flame retardant mechanism. Polym. Test. 2024, 13, 108352. [Google Scholar] [CrossRef]
- Deng, J.; Liu, T.S.; Yao, M.; Yi, X.; Bai, G.X.; Huang, Q.R.; Li, Z. Comparative study of the combustion and kinetic characteristics of fresh and naturally aged pine wood. Fuel 2023, 343, 127962. [Google Scholar] [CrossRef]
- He, W.T.; Song, P.G.; Yu, B.; Fang, Z.P.; Wang, H. Flame retardant polymeric nanocomposites through the combination of nanomaterials and conventional flame retardants. Prog. Mater. Sci. 2020, 114, 100687. [Google Scholar] [CrossRef]










| Test | Dimensional Requirements |
|---|---|
| Scanning Electron Microscopy (SEM) | Sample size: 10 mm × 10 mm × 10 mm |
| Limiting Oxygen Index (LOI) | Sample size: 100 mm × 10 mm × 4 mm, with a mark at 50 mm |
| Cone Calorimeter (CCT) | Sample size: 100 mm × 100 mm × 15 mm |
| Thermogravimetric (TG) | The sample is crushed, and fine powder with a mesh size of 200–300 is selected. |
| Fourier Transform Infrared (FTIR) Spectroscopy | The sample is crushed, and fine powder with a mesh size of approximately 320 is selected. |
| Elemental Composition | C | O | N | S | Na | Mg | Al | Si | Ca |
|---|---|---|---|---|---|---|---|---|---|
| Wt% (0 h) | 58.07 | 20.71 | 12.35 | 5.26 | 0.74 | 0.49 | 0.63 | 0.94 | 0.79 |
| At% (0 h) | 66.20 | 17.71 | 12.07 | 2.25 | 0.44 | 0.28 | 0.32 | 0.46 | 0.27 |
| Wt% (1440 h) | 55.61 | 19.88 | 17.24 | 2.80 | 1.03 | 0.58 | 0.68 | 1.17 | 1.00 |
| At% (1440 h) | 62.99 | 16.89 | 16.74 | 1.19 | 0.61 | 0.33 | 0.34 | 0.57 | 0.34 |
| Wavenumber (cm−1) | Band Assignment | Assignment Basis |
|---|---|---|
| 3500 | O–H/N–H stretching vibrations | Combined contributions from the following: • Cellulose/lignin/hemicellulose hydroxyl groups • Triazine ring-linked N–H bonds |
| 2926 | C–H stretching vibrations | Methyl/methylene groups in cellulose, lignin, and hemicellulose backbones |
| 1730 | C=O stretching vibration | Carboxyl and acetyl ester groups in hemicellulose |
| 1646 | Conjugated C=O stretching | Quinoid structures in lignin derivatives |
| 1557 | N–C=N bending and ring deformation | Structural characteristics of MFR triazine rings |
| 1514 | Aromatic C=C vibrations | Guaiacyl/syringyl propane units in lignin |
| 1428 | C–H deformation | Polysaccharide skeletal vibrations in hemicellulose |
| 1364 | C–N stretching/C–H bending | Coexistence of the following: • Triazine ring C–N bonds • Cellulose/hemicellulose C–H deformations |
| 1242 | C–O stretching vibrations | Ether linkages in the following: • Cellulose/hemicellulose • Guaiacyl aromatic rings |
| 1162 | Asymmetric C-O-C stretching vibration C-O stretching vibration | Glycosidic linkages in cellulose chains |
| 1062 | C-O stretching vibration C-O-C symmetric stretching | Pyranose ring backbone vibrations |
| 897 | C-O-C symmetric stretching vibration C1-O-C4 glycosidic bridge deformation | β-(1→4) glycosidic linkages characteristic |
| 1034 | Aromatic C–H in-plane bending vibration | Cellulose, hemicellulose, and lignin aromatic rings |
| 1010 | C1–O or anhydroglucose ring vibration | Hemicellulose saccharide units |
| 812 | Triazine ring (C3N3) out-of-plane ring deformation vibration | Crosslinked MFR networks |
| Combustion Phase | Temperature Range (°C) | Mass Loss Rate (%) | Dominant Reaction Mechanisms | |
|---|---|---|---|---|
| Moisture Evaporation and Thermodynamic Equilibrium Phase | RT~200 | 0~5 | Moisture desorption; Hemicellulose/lignin ether cleavage | |
| Thermal Decomposition Phase | 200~350 | 20~30 | Glycosidic bond/alkyl ether cleavage; MFR condensation | |
| Combustion Phase | Rapid Combustion | 350~500 | 40~50 | Cellulose aromatization; MFR decomposition (NH3/NOx release) |
| Slow Combustion | 500~700 | 15~25 | Lignin aromatic ring cleavage; Coke oxidation | |
| Burnout Phase | >700 | - | Residual carbon mineralization | |
| Samples | Ti/°C | Tf/°C | VP/ (mg·min−1) | TP/°C | VM/(mg·min−1) |
|---|---|---|---|---|---|
| 0 h | 325.58 | 562.83 | 1.4161 | 350.25 | 1.6010 |
| 240 h | 323.50 | 575.08 | 1.3568 | 349.75 | 1.5069 |
| 480 h | 321.67 | 585.75 | 1.3068 | 348.83 | 1.4270 |
| 720 h | 319.83 | 608.75 | 1.2599 | 348.25 | 1.2975 |
| 960 h | 316.92 | 621.83 | 1.1704 | 347.67 | 1.2351 |
| 1200 h | 313.67 | 637.50 | 1.0838 | 347.00 | 1.1708 |
| 1440 h | 310.33 | 654.92 | 1.0049 | 346.50 | 1.1085 |
| Reaction Mechanism | Zero-Order | First-Order | Second-Order | Third-Order |
|---|---|---|---|---|
| Samples | Temperature Range (°C) | Slope a | Intercept b | E (kJ·mol−1) | A (min−1) | Correlation Coefficient R2 |
|---|---|---|---|---|---|---|
| 0 h | 325.58~415.08 | −3793.98 | −6.21682 | 31.54 | 37.86 | 0.95401 |
| 240 h | 323.50~413.33 | −3717.86 | −6.35560 | 30.91 | 32.29 | 0.95553 |
| 480 h | 321.67~411.92 | −3618.92 | −6.52964 | 30.09 | 26.41 | 0.95582 |
| 720 h | 319.83~413.67 | −3448.84 | −6.81680 | 28.67 | 18.89 | 0.9533 |
| 960 h | 316.92~409.83 | −3350.34 | −6.93590 | 27.85 | 16.29 | 0.96188 |
| 1200 h | 313.67~409.67 | −3211.73 | −7.11962 | 26.70 | 12.99 | 0.96752 |
| 1440 h | 310.33~407.42 | −3146.22 | −7.18549 | 26.16 | 11.92 | 0.97206 |
| Samples | 0 h | 240 h | 480 h | 720 h | 960 h | 1200 h | 1440 h |
|---|---|---|---|---|---|---|---|
| TTI/s | 41 | 46 | 40 | 39 | 38 | 35 | 35 |
| pHRR/(kW·m−2) | 114.3 | 121.8 | 117.1 | 106.1 | 125.1 | 131.8 | 137.3 |
| MHRR/(kW·m−2) | 88.6 | 78.7 | 88.9 | 91.1 | 92.2 | 92.6 | 92.8 |
| THR/(MJ·m−2) | 113.2 | 83.6 | 106.3 | 110.4 | 85.7 | 88.9 | 110.4 |
| Mean CO yield (kg/kg) | 0.0044 | 0.0046 | 0.0045 | 0.0043 | 0.0121 | 0.0129 | 0.0172 |
| Mean CO2 yield (kg/kg) | 0.96 | 0.95 | 0.96 | 0.94 | 0.99 | 0.99 | 1.01 |
Disclaimer/Publisher’s Note: The statements, opinions and data contained in all publications are solely those of the individual author(s) and contributor(s) and not of MDPI and/or the editor(s). MDPI and/or the editor(s) disclaim responsibility for any injury to people or property resulting from any ideas, methods, instructions or products referred to in the content. |
© 2025 by the authors. Licensee MDPI, Basel, Switzerland. This article is an open access article distributed under the terms and conditions of the Creative Commons Attribution (CC BY) license (https://creativecommons.org/licenses/by/4.0/).
Share and Cite
Ling, S.; Zhang, Y.; Yang, D.; Huang, L.; Zhang, Y. Impact of Thermo-Oxidative Aging on Flame Retardancy of Melamine Formaldehyde Particle Boards: Processes and Performance Degradation Analysis. Fire 2025, 8, 274. https://doi.org/10.3390/fire8070274
Ling S, Zhang Y, Yang D, Huang L, Zhang Y. Impact of Thermo-Oxidative Aging on Flame Retardancy of Melamine Formaldehyde Particle Boards: Processes and Performance Degradation Analysis. Fire. 2025; 8(7):274. https://doi.org/10.3390/fire8070274
Chicago/Turabian StyleLing, Shiyue, Yanni Zhang, Dan Yang, Luoxin Huang, and Yuchen Zhang. 2025. "Impact of Thermo-Oxidative Aging on Flame Retardancy of Melamine Formaldehyde Particle Boards: Processes and Performance Degradation Analysis" Fire 8, no. 7: 274. https://doi.org/10.3390/fire8070274
APA StyleLing, S., Zhang, Y., Yang, D., Huang, L., & Zhang, Y. (2025). Impact of Thermo-Oxidative Aging on Flame Retardancy of Melamine Formaldehyde Particle Boards: Processes and Performance Degradation Analysis. Fire, 8(7), 274. https://doi.org/10.3390/fire8070274

