Next Article in Journal
Optimizing Xanthan Gum for Enhanced Fire Extinguishing Performance of Eco-Friendly Short-Chain Fluorocarbon Surfactant Foam
Previous Article in Journal
Bio-Based Chitosan/Agar/Phytic Acid Coating Enhanced Flame Retardancy of Wood Applied to Aircraft Cabin Interiors
Previous Article in Special Issue
Characterization of Acoustic Source Signal Response in Oxidized Autocombusted Coal Temperature Inversion Experiments
 
 
Font Type:
Arial Georgia Verdana
Font Size:
Aa Aa Aa
Line Spacing:
Column Width:
Background:
Article

NRBO-XGBoost-Optimized High-Fidelity Temperature Correction for UAV-Based TIR Imagery and Its Application for Monitoring Coal Fire

1
School of Safety Engineering, China University of Mining and Technology, Xuzhou 221116, China
2
State Key Laboratory of Coal Mine Disaster Prevention and Control, Xuzhou 221116, China
3
Xinjiang Xinkuang Geological Technology Co., Ltd., Urumqi 830001, China
*
Author to whom correspondence should be addressed.
Fire 2025, 8(12), 462; https://doi.org/10.3390/fire8120462 (registering DOI)
Submission received: 24 September 2025 / Revised: 14 November 2025 / Accepted: 26 November 2025 / Published: 28 November 2025
(This article belongs to the Special Issue Coal Fires and Their Impact on the Environment)

Abstract

To mitigate the limitations of low measurement accuracy and substantial environmental interference in UAV-based TIR imaging for coal fire monitoring, this study presents an integrated temperature correction approach, termed NRBO-XGBoost. The proposed method applies temperature correction to TIR imagery and subsequently investigates coal fire detection using the corrected TIR data. By leveraging multi-source data (thermal infrared measurements, UAV flight altitude, and meteorological parameters), the NRBO optimizes XGBoost hyperparameters to improve model convergence speed and global search capability, effectively overcoming the limitations of traditional methods, such as local optima entrapment and poor generalization. Experimental results demonstrate that the NRBO-XGBoost model achieves superior performance in temperature correction, with a coefficient of determination (R2) of 0.9993, while reducing RMSE and MAE by 85.6% and 86.6%, respectively. Notably, the model exhibits enhanced stability in high-temperature regions (>300 °C). The 3D reconstruction results demonstrate a nearly 6-fold expansion in high-temperature area coverage (from 0.43% to 2.60%), coupled with a morphological transformation of fragmented hotspots into continuous, belt-shaped distributions. Integrating visible-light textures further improves boundary clarity and spatial semantic representation of thermal anomalies. This study provides a high-precision temperature correction and 3D visualization solution for coal fire monitoring, offering critical technical support for early warning systems and firefighting strategies.

1. Introduction

China possesses abundant mineral resources, with coal serving as the backbone of its energy structure and playing a pivotal role in industrial production and national energy security. By the end of 2023, the country’s proven coal reserves had reached 218.57 billion tons [1], and raw coal production reached 4.78 billion tons in 2024, accounting for over 50% of global coal output. However, coal fires have emerged as a significant challenge in the exploitation and utilization of coal resources, particularly in coal-rich regions such as Xinjiang, Inner Mongolia, and Ningxia [2]. For instance, the total coal fire-affected zone in Xinjiang alone has reached approximately 10.31 million square meters, resulting in an annual loss of nearly 21.8 million tons of coal resources.
Coal fires not only lead to substantial resource loss but also exacerbate surface subsidence, ecological degradation, and air pollution, posing serious threats to mining safety and regional environmental stability [3,4]. UAV-based thermal infrared remote sensing has emerged as a crucial technology for coal fire detection and early warning due to its real-time monitoring capability, high spatial resolution, non-contact operation, and extensive coverage [5]. In recent years, 3D reconstruction techniques leveraging UAV-acquired remote sensing data have gained momentum. These methods not only reconstruct the topographic structure of coal fire zones but also enable spatial analysis of temperature distribution using TIR data, thereby enhancing the accuracy of fire monitoring and trend prediction [6,7,8]. However, in practical applications, several factors, including variations in UAV flight altitude and attitude, atmospheric disturbances (e.g., aerosol scattering, water vapor absorption), sensor noise, and complex terrain effects, can introduce systematic and random errors into thermal imaging, significantly compromising temperature measurement accuracy and impairing the reliable identification of coal fire zones. Therefore, improving the accuracy of thermal infrared temperature retrieval and integrating corrected TIR imagery with 3D reconstruction to generate high-fidelity 3D thermal fields for coal fire zones has become a critical focus in current coal fire prevention and control research.
In recent years, various methodologies have been developed to improve the temperature measurement accuracy of TIR images, including radiometric correction models, atmospheric compensation algorithms, and data-driven approaches. R Usamentiaga et al. [9] utilized convolutional neural networks (CNNs) to detect and track thermal targets, eliminating reliance on unreliable GPS coordinates. Alexa et al. [10] proposed an improved surface temperature measurement method for glossy materials, thereby enhancing the accuracy of TIR imagers. Li et al. [11] developed a precise infrared array imaging system using the MLX90640 sensor (Melexis Technologies NV, Tessenderlo, Belgium), integrating a modified least squares curve-fitting model for temperature compensation. Cai et al. [12] introduced a blackbody-free infrared temperature correction method based on Newton’s Law of Cooling to address temperature drift under varying environmental conditions, enabling real-time compensation. Wei [13] et al. proposed a compensation model considering different emissivity conditions, effectively correcting measured temperatures of heterogeneous targets. Yang et al. [14] combined separable convolutional neural networks (SCNNs) with long short-term memory (LSTM) networks to build an SCNN-LSTM model for lake temperature prediction using only thermal inputs, improving the predictive accuracy of TIR data. While physical model-based approaches—such as radiative transfer and atmospheric compensation models—rely heavily on precise parameterization (e.g., atmospheric transmittance, emissivity, and path radiance), acquiring accurate parameters in complex field environments remains challenging. Moreover, these models are computationally demanding and often lack flexibility in adapting to dynamically changing conditions. On the other hand, empirical formulas, though simple and easy to implement, fail to capture the nonlinear interactions among multiple influencing factors and demonstrate poor generalizability beyond the specific scenarios for which they were developed. Machine learning techniques, such as Support Vector Regression (SVR) and Random Forest (RF), have shown potential in modeling nonlinear relationships; however, they still encounter difficulties related to hyperparameter tuning, vulnerability to local optima, and reduced robustness under highly variable environmental conditions [15,16].
In the domain of thermal infrared 3D reconstruction, S. Wasilewski et al. [17] employed UAV-based thermal imaging to derive two-dimensional surface temperature distributions in coal fire zones and applied a moving window algorithm to extract thermal anomalies. Abramowicz, A et al. [18] utilized UAVs equipped with thermal infrared sensors and 2D surface temperature models to evaluate the environmental impact of spontaneous combustion at the So Pedro da Cova coal waste site. Wang et al. [19] generated 2D thermal field maps of the Datong coalfield using drone-mounted thermal cameras. At the same time, Yuan et al. [20] assessed the environmental impact of coal gangue heap fires through UAVs carrying both thermal infrared and multispectral sensors, generating digital elevation models (DEMs) and surface temperature profiles. Additionally, He et al. [21] integrated ground surveys with UAV-mounted thermal infrared cameras to delineate the fire-affected zones of the Huojitu coal mine in Shenmu. Overall, current research predominantly focuses on thermal orthophoto projections or the overlay of 2D TIR imagery onto 3D terrain models, resulting in pseudo-3D (texture mapping on 3D terrain) thermal field representations [22,23]. In our prior work, we pursued the goal of generating a true 3D thermal field (where temperature is an inherent vertex attribute) by implementing a pipeline that enhanced the success rate of TIR image-based 3D reconstruction. This was achieved through batch preprocessing (standardizing temperature ranges, distribution patterns, and color scales across all images) in conjunction with feature point matching and texture mapping techniques [24,25,26]. However, these methods fall short in capturing surface temperature with high fidelity. Although UAV-based TIR imaging has seen notable progress, the precise reconstruction of 3D surface thermal fields in coal fire zones remains underexplored, and the practical realization of high-fidelity 3D thermal models has yet to be achieved.
To bridge these critical gaps, this study aims to develop an integrated NRBO-XGBoost framework for high-fidelity temperature correction and true 3D thermal field reconstruction in coal fire zones. The work is necessary to move beyond the limitations of current pseudo-3D representations and empirically driven corrections. Our primary objectives are threefold: (1) to propose and validate the NRBO-XGBoost model that leverages second-order optimization to achieve superior correction accuracy and robustness over conventional methods; (2) to integrate the corrected thermal data into a 3D reconstruction pipeline, establishing a true 3D thermal field where temperature is an intrinsic geometric attribute rather than a surface texture; and (3) to demonstrate the practical necessity and efficacy of the entire framework through a comprehensive field application, thereby providing a reliable technical solution for accurate coal fire monitoring and mitigation.

2. Materials and Methods

2.1. Newton-Raphson-Based Optimizer

The NRBO is a numerical method based on second-order derivative information for iterative optimization, widely used to solve nonlinear systems of equations and optimization problems [27]. Unlike the gradient descent method, NRBO improves the search direction by incorporating the Hessian matrix (the matrix of second-order partial derivatives), thus accelerating convergence and avoiding the problem of local minima during the parameter search process. The method introduces the NRSR and TAO to enhance the stability of the optimization process and improve global search capabilities [28]. The algorithm steps are as follows:

2.1.1. Algorithm Initialization

During the optimization process, the population is initialized, with each individual representing a parameter combination to be optimized (e.g., learning rate, tree depth, etc.). The population size ( N p ) and the search space dimension ( dim ) are defined, and each individual’s position is initialized randomly to ensure diversity within the search space. The initialization formula is as follows:
x n j = lb j + rand 1 , d i m × u b j l b j
where l b j and u b j represent the lower and upper bounds of the j-th dimension of the parameter and r a n d 1 , d i m is a random number within the (1, dim) range.

2.1.2. Fitness Function Calculation

After initializing the population, the fitness of each individual is calculated, which measures the quality of each parameter combination. Typically, the fitness value is based on the objective loss function, as shown below:
f x = L o s s x
where f x represents the objective function value.

2.1.3. Newton-Raphson Search Rule (NRSR)

To speed up the optimization process, the NRSR is used to update the position of each individual, improving search efficiency. The update formula is:
x n + 1 = x n f x n + Δ x f x n Δ x 2 f x n + Δ x + f x n Δ x 2 f x n Δ x
The given formula is a finite-difference-based approximation of Newton’s method that circumvents the need for explicit Hessian matrix computation. By leveraging central difference approximations for both the first and second derivatives, it significantly reduces computational complexity and improves numerical stability. This approach is particularly advantageous in scenarios involving black-box functions, noisy evaluations, or high-dimensional optimization problems, where calculating exact derivatives or Hessians is either impractical or unstable. Where x n is the current position of the individual, and Δ x is the adjustment step, defined as:
Δ x = rand 1 , d i m × X b X n I T
where X b is the best solution in the current population, X n I T is the position of the n-th individual at the IT-th iteration. Furthermore, the NRSR incorporates a global search strategy, formulated as:
NRSR = rand 1 , d i m × X w X b × Δ x 2 X w + X b 2 x n
where X w is the worst position.

2.1.4. Trap Avoidance Operator (TAO)

In non-convex optimization problems, the optimization process may become trapped in local optima, causing stagnation in the search. To address this, the TAO introduces random perturbations to enhance population diversity and strengthen global search ability. The TAO update formula is:
X n I T + 1 = X T A O I T
where
X T A O I T = X n I T + θ 1 μ 1 X b μ 2 X n I T + θ 2 δ μ 1 M e a n X I T μ 2 X n I T
where θ 1 and θ 2 are disturbance factors, M e a n X I T is the mean of the current population, δ is an adaptive parameter, μ 1 and μ 2 are diversity control parameters.
Combining NRSR and TAO updates the position as follows to enhance search capacity:
X n I T + 1 = X n I T NRSR
This ensures that the optimization process escapes local optima and improves global search efficiency.

2.1.5. Termination Criteria

The optimization process terminates when either of the following conditions is met: the number of iterations reaches a preset maximum, or the change in the objective function is less than a specified tolerance. If the termination conditions are not met, the process returns to Step 2 for further iterations.

2.2. Extreme Gradient Boosting (XGBoost)

XGBoost is an efficient gradient boosting decision tree (GBDT) optimization algorithm that incorporates second-order gradient information and regularization terms to enhance model generalization and computational efficiency [29,30].
During model training, the weight of each leaf node in the decision tree is calculated using the following optimization formula:
w j * = i I j   g i i I j   h i + λ
where w j * is the model weight, g i is the first-order gradient (Gradient) of the i -th sample, h i is the second-order gradient (Hessian) of the i -th sample and λ is the regularization coefficient.
Additionally, the optimal split is selected through gain calculation:
Gain = 1 2 i I L   g i 2 i I L   h i + λ + i I R   g i 2 i I R   h i + λ i I   g i 2 i I   h i + λ γ
where γ is the complexity control parameter for the tree, ensuring that the model does not overgrow.
To improve generalization, XGBoost uses learning rate scaling:
y ^ i t = y ^ i t 1 + η f t x i
where t represents the number of iterations, y ^ i t is the prediction for the i -th sample at iteration t, y ^ i t 1 is the prediction for the i -th sample at iteration t − 1, η is the learning rate, preventing gradient explosion and f t x i the output of the new regression tree.

2.3. NRBO-XGBoost Model Integration

In the training process of XGBoost, we need to optimize hyperparameters θ (such as learning rate, tree depth, etc.) to minimize the loss function L(θ) [31,32]. To accelerate hyperparameter adjustment, NRBO is used to find the optimal parameters.

2.3.1. Objective Function

The loss function of XGBoost is typically defined as:
L θ = i = 1 N l y i , y ^ i + Ω θ
where l y i , y ^ i is the loss term, and Ω θ is the regularization term.

2.3.2. NRBO Optimization

To optimize the parameters θ, we compute the first and second derivatives (gradients and Hessian matrix), as shown below:
g k = L θ θ k
H k = 2 L θ θ k 2
Then, the Newton–Raphson update formula is used:
θ k + 1 = θ k H k 1 g k
where g k is the gradient vector, and H k 1 is the inverse of the Hessian matrix.

3. Experiment Design and Dataset Construction

3.1. Experiment Design

This study utilizes the DJI Matrice 210 RTK V2 (DJI, Shenzhen, China) quadcopter, equipped with the DJI Zenmuse XT2 (DJI, Shenzhen, China) dual-camera system. The infrared imaging module features a FLIR Tau 2 thermal sensor (640 × 512 pixels, temperature range: −40 °C to 550 °C), while the visible-light module contains a 12-megapixel optical sensor. The experimental monitoring target is an infrared microcrystalline constant-temperature electric heating plate (400 × 600 mm) capable of maintaining a uniform surface temperature. Its temperature is precisely controllable within a specified range (from ambient temperature to 600 °C), with an accuracy of ±1 °C, enabling the simulation of realistic coal fire conditions. To further ensure data quality, the heating plate was allowed to stabilize for at least 20 min at each target temperature before data acquisition commenced. Additionally, spot checks were periodically performed using a calibrated K-type thermocouple (with an accuracy of ±0.5 °C) to verify the surface temperature readings, which consistently confirmed the stability and accuracy of the heating plate.
The experimental design covers multiple seasons and meteorological conditions, including sunny, cloudy, and day/night cycles, to comprehensively evaluate the influence of external environmental factors on UAV-based thermal infrared measurements. An orthogonal experimental design is adopted, with temperature settings ranging from 5 °C to 500 °C. Multiple flight altitudes are set from 0 to 120 m in 5 m intervals to simulate variations in observational scale. After hovering at each altitude, the UAV collects data to ensure spatial consistency and measurement repeatability. The experimental procedure is illustrated in Figure 1, and sample TIR images are shown in Figure 2.
The data acquisition process includes three components:
  • Multi-altitude infrared temperature measurements: The UAV collects thermal data of the heating plate at various altitudes;
  • Observation coverage and time scheduling: To ensure data representativeness, measurements are conducted across multiple periods (morning, afternoon, and night) to examine diurnal temperature effects. At each altitude, repeated measurements are performed to capture stable readings under dynamic thermal conditions;
  • Environmental parameter monitoring: Atmospheric temperature, relative humidity, and wind speed are concurrently recorded using professional instruments (e.g., thermometers, hygrometers, electronic anemometers) to ensure a comprehensive environmental dataset.
Figure 1. Experiment on remote sensing data acquisition by the UAV.
Figure 1. Experiment on remote sensing data acquisition by the UAV.
Fire 08 00462 g001
Figure 2. Examples of TIR image sequences acquired from experiments. (a) Partial TIR images at 468.6 °C from 5 to 120 m altitude. (b) Partial TIR images at 200.6 °C from 5 to 120 m altitude.
Figure 2. Examples of TIR image sequences acquired from experiments. (a) Partial TIR images at 468.6 °C from 5 to 120 m altitude. (b) Partial TIR images at 200.6 °C from 5 to 120 m altitude.
Fire 08 00462 g002

3.2. Dataset Construction and Analysis

This study is grounded in experimental data collected via UAV-based remote sensing over the past year. The data acquisition campaign encompasses a wide range of thermal conditions (5–500 °C), varying UAV flight altitudes (0–120 m, sampled at 5 m intervals), and different seasonal environments (spring, summer, autumn, and winter), aiming to comprehensively capture thermal infrared monitoring scenarios alongside relevant meteorological variables.
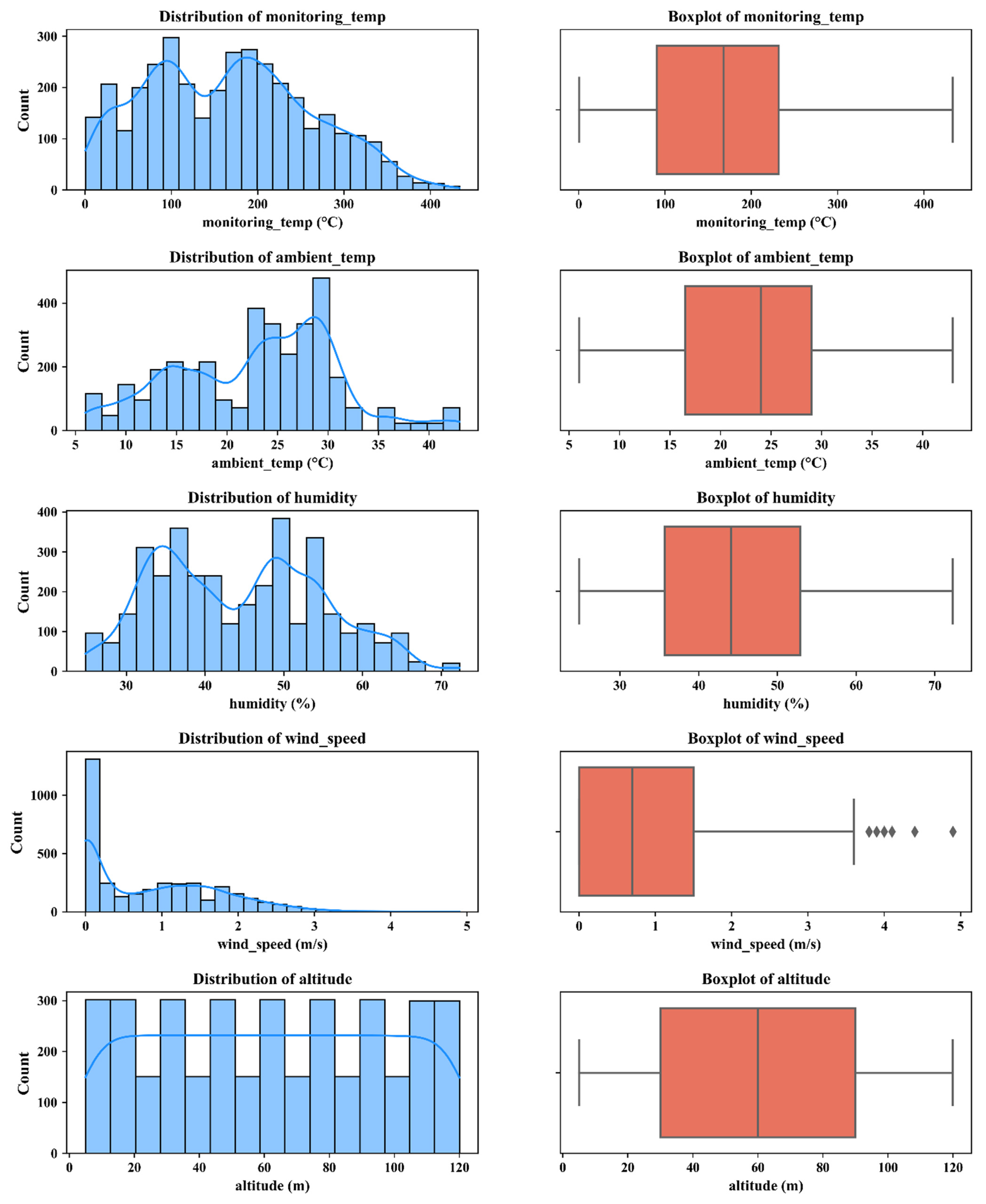
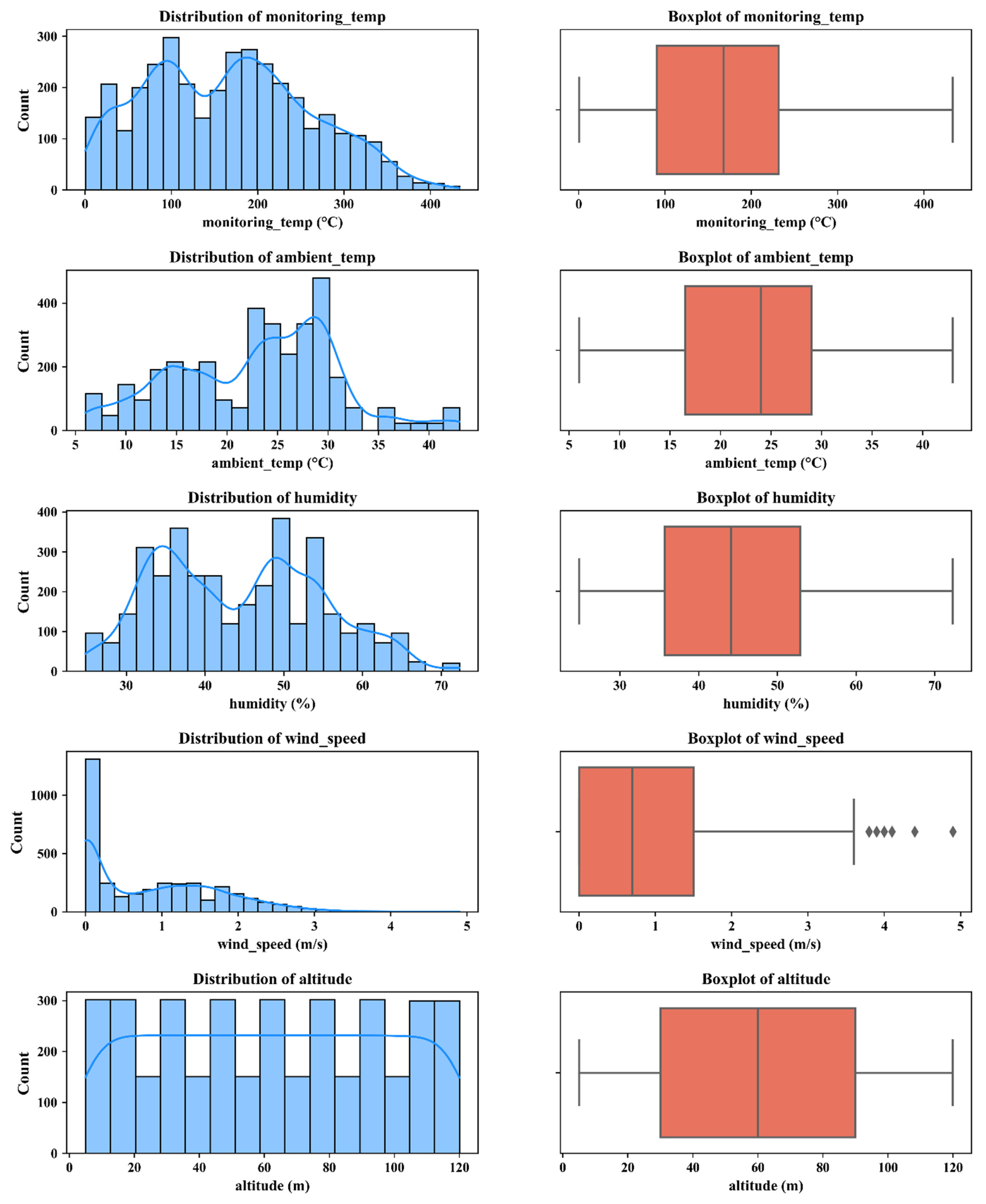
Through a systematic experimental design and standardized data collection protocol, a six-dimensional feature dataset comprising 3800 samples is constructed. The input features include thermal infrared monitoring temperature, UAV flight altitude, ambient temperature, relative humidity, and wind speed. The output variable is the actual surface temperature of the constant-temperature heating plate, which serves as the reference for model correction. Figure 3 illustrates the distribution patterns and fluctuation ranges of each input feature.
By analyzing histograms and box plots (The orange region represents the data distribution between the 25th percentile (Q1) and the 75th percentile (Q3), corresponding to the middle 50% of the dataset), it is evident that each input feature exhibits distinct distribution characteristics, highlighting the complexity of thermal infrared monitoring in coal fire environments. Specifically, the monitoring temperature (monitoring_temp) follows an approximately normal distribution with slight right skewness. Ambient temperature (ambient_temp) and relative humidity (humidity) display multi-modal patterns, while wind speed (wind_speed) is heavily right-skewed and contains numerous outliers. In contrast, UAV flight altitude (altitude) is uniformly distributed, ensuring data balance across different altitudes in line with the experimental design. A detailed statistical analysis of each input feature is summarized as follows:
  • Thermal infrared monitoring temperature (monitoring_temp)
Values primarily range from 90 °C to 230 °C and follow an approximately normal distribution with mild right skewness (Skewness = 0.225). While surface temperatures typically exhibit a Gaussian distribution, underground coal combustion causes persistent localized heating, producing long-tailed distributions. This skewness reflects the physical manifestation of thermal anomalies in coal fire zones and suggests increased uncertainty in high-temperature thermal infrared measurements.
  • Ambient temperature (ambient_temp)
Ranging from 16 °C to 28 °C, this feature shows a multi-modal distribution, capturing varying meteorological conditions such as diurnal cycles and seasonal transitions. Since thermal infrared measurements are sensitive to ambient temperature, this diversity ensures the dataset’s representativeness under a broad range of environmental conditions.
  • Relative humidity (humidity)
Also demonstrating a multi-modal distribution (35.8–53.0%), this feature indicates the inclusion of diverse humidity scenarios. Atmospheric water vapor influences infrared signal absorption and scattering; thus, humidity serves as an essential input for improving the generalization of the temperature correction model.
  • Wind speed (wind_speed)
The distribution is markedly right-skewed, with most data clustered between 0 and 1.5 m/s, while a few values exceed 4 m/s and are identified as outliers (above 1.5× the interquartile range). Strong wind conditions enhance convective heat transfer, destabilize surface temperature fields, and increase the scattering of ground-emitted thermal radiation, thereby introducing measurement biases. Wind speed is therefore treated as a disturbance factor in the model, and robust optimization strategies, such as outlier handling or non-linear regression, are applied to mitigate its impact.
  • UAV flight altitude (altitude)
This feature is uniformly sampled across a range of 0–120 m (in 5 m intervals), consistent with orthogonal experimental design principles. This uniformity enables the analysis of altitude effects on thermal infrared measurement accuracy and supports model generalizability. Variations in altitude affect image spatial resolution and may lead to thermal signal attenuation due to atmospheric absorption and scattering. A balanced distribution of altitude data enhances the robustness and wide applicability of the correction model.

4. NRBO-XGBoost Model Training and Result Validation

The NRBO-XGBoost regression model proposed in this study, which integrates the NRBO and XGBoost, comprises three main stages: data processing, model training, and temperature prediction (as shown in Figure 4). The specific tasks are as follows:
  • Dataset Organization and Feature Preprocessing
First, the six-dimensional feature dataset is systematically organized. By incorporating domain knowledge and statistical rules, abnormal data are manually screened and adjusted to enhance data integrity and consistency. To improve data quality, raw data undergo cleaning and augmentation, including missing value imputation and outlier removal. Additionally, feature standardization (Scaler Normalization) is applied to eliminate scale differences among variables, ensuring stability and generalization capability during model training.
  • Model Training and Hyperparameter Optimization
The dataset is partitioned into training and test sets at an 8:2 ratio, with initial hyperparameters defined. During model training, the NRBO algorithm is employed for hyperparameter optimization. By leveraging gradient calculations and second-order derivative information from the Hessian matrix, NRBO accelerates the hyperparameter optimization process and reduces the risk of converging to local optima [33,34,35]. Compared to traditional methods such as Grid Search or Bayesian Optimization, NRBO effectively narrows the hyperparameter search space and improves training efficiency.
Based on the dataset scale and feature relationships, key hyperparameters are optimized, including n_estimators (number of weak classifiers), max_depth (maximum tree depth), learning_rate (learning rate), subsample (subsampling rate), and gamma (minimum loss reduction). Furthermore, K-fold cross-validation is adopted to evaluate model generalization capability, with RMSE and the coefficient of determination (R2) as performance metrics [36]. If the model fails to meet predefined convergence criteria, hyperparameters are iteratively adjusted until optimal correction accuracy is achieved. The optimized XGBoost model and its weight parameters are stored in JSON format for subsequent prediction tasks.
  • Model Prediction and Temperature Matrix Correction
During the prediction phase, coal fire monitoring temperature data are extracted from TIR images, and CSV-formatted data matrices are read. A visual interactive interface is provided to dynamically input additional feature variables, enhancing prediction flexibility. All input features are standardized and converted into DMatrix format to align with the XGBoost modeling pipeline. Finally, the model generates corrected coal fire temperatures, which are reshaped into coordinate layouts consistent with the original CSV temperature matrix. This ensures spatial alignment between the predicted temperature field and TIR image data, providing robust data support for subsequent 3D thermal field reconstruction.
Figure 4. Modeling pipeline of the NRBO-XGBoost temperature correction model.
Figure 4. Modeling pipeline of the NRBO-XGBoost temperature correction model.
Fire 08 00462 g004

4.1. Comparison of Baseline Models and Optimizers

In the field of machine learning, the selection of an appropriate regression model plays a critical role in improving predictive accuracy. To identify the most suitable regression approach for this study, five widely used regression algorithms were comparatively evaluated: Linear Regression, Ridge Regression, Random Forest Regression, LightGBM Regression, and XGBoost. All models were trained on the same dataset and evaluated using an independent test set.
Two performance metrics were employed to assess the models: the coefficient of R2 and the normalized RMSE. While R2 quantifies the goodness of fit, the normalized RMSE reflects the magnitude of prediction errors. Figure 5 presents a comparative analysis of the five regression models in terms of these two metrics. The results demonstrate that XGBoost outperforms the other models on both R2 and RMSE metrics.
As shown in Figure 5, the XGBoost model achieves the highest R2 value of 0.9371, indicating superior fitting capability and a stronger ability to capture underlying patterns in the data. Additionally, its normalized RMSE reaches 0.1042, representing a significant reduction in prediction error compared to the other models. Owing to its remarkable performance in both fitting accuracy and error minimization, XGBoost was ultimately selected as the regression model for this study.
To justify the selection of the Newton–Raphson-Based Optimizer (NRBO), a systematic comparison was conducted against several established hyperparameter optimization techniques, including Grid Search, Bayesian Optimization (BO), Particle Swarm Optimization (PSO), and Grey Wolf Optimizer (GWO). Qualitatively, Grid Search guarantees global optimization but becomes computationally prohibitive in high-dimensional spaces. Bayesian Optimization, while sample-efficient, incurs significant overhead in training surrogate models within complex, high-dimensional landscapes and often exhibits limited global exploration. Swarm intelligence algorithms such as PSO and GWO demonstrate competent global search capabilities yet are prone to premature convergence, slow convergence rates, and instability across runs. In contrast, NRBO incorporates a Newton–Raphson-inspired search rule that leverages second-order derivative information to accelerate convergence and refine search direction. Coupled with a trap avoidance operator, it effectively preserves population diversity, thereby achieving a more effective balance between global exploration and local exploitation. Quantitative assessments further confirm NRBO’s superior performance (as shown in Table 1): in tuning XGBoost hyperparameters, it attained the lowest RMSE (3.05), required the fewest iterations to converge, and exhibited the highest stability over repeated trials. These findings underscore the unique advantages of NRBO in addressing high-dimensional, non-convex hyperparameter optimization problems, establishing it as a critical enabler of highly accurate temperature correction in this study.

4.2. Feature Importance Analysis via SHAP

In this study, the SHAP (Shapley Additive Explanations) approach was employed to analyze the feature importance of the selected regression model [37]. SHAP values effectively reveal the contribution of each input feature to the model’s predictions, thereby providing a deeper understanding of the model’s decision-making process [38]. Figure 6 illustrates a comparative overview of feature effects and their importance as determined by the SHAP analysis.
The analysis indicates that the thermal infrared monitoring temperature (monitoring_temp) is the most influential feature affecting the model output. Its SHAP value increases markedly with higher monitoring temperature values, suggesting a strong positive correlation between the observed temperature and the predicted outcome.
The UAV flight altitude (altitude) also exerts a substantial impact on the model’s predictions. Notably, at higher altitudes, the SHAP values exhibit a negative shift, indicating a negative correlation between altitude and predicted temperature. This phenomenon may be attributed to variations in the sensor’s viewing angle and temperature distribution caused by changes in flight elevation, which in turn affect the estimation of thermal information from infrared imagery. Furthermore, the individual feature importance analysis suggests a potential nonlinear interaction between monitoring temperature and altitude. It is physically plausible that the correction model learns to apply a stronger negative bias to the raw temperature reading when a high value is observed from a greater altitude, due to the increased atmospheric path length and attenuation. A quantitative investigation of this specific interaction represents a valuable direction for future research.
The ambient temperature (ambient_temp) is another significant factor. As the environmental temperature rises, the corresponding SHAP values increase substantially, suggesting that changes in external atmospheric temperature directly influence the correction of temperature estimations in TIR imagery.
In contrast, relative humidity (humidity) and wind speed (wind_speed) show limited impact on model predictions. Their SHAP values are narrowly distributed, with relatively weak correlations to the output. This indicates that these meteorological factors contribute minimally to temperature prediction under normal conditions and may only play a role under extreme environmental circumstances.

4.3. Quantitative Validation

To evaluate the generalization capability of the proposed NRBO-XGBoost model in temperature prediction tasks, an independent test set comprising 264 samples of six-dimensional feature data collected from an actual coal fire zone was utilized, where the ground truth (actual_temp) was directly measured by a calibrated K-type thermocouple (with an accuracy of ±0.5 °C). The corresponding TIR image sequences are shown in Figure 7. The test data spans a wide range of temperature levels and includes complex environmental conditions to ensure the model’s adaptability under realistic coal fire scenarios.
A comparative analysis was conducted between the NRBO-XGBoost model and the original XGBoost model. As illustrated in Figure 8, the NRBO-XGBoost model demonstrates notable improvements in terms of fitting accuracy, error control, and prediction stability, particularly in high-temperature regions.
The comparative results indicate that the NRBO-XGBoost model significantly improves both the accuracy and stability of temperature prediction compared to the original XGBoost model. Specifically, after hyperparameter optimization using NRBO, the coefficient of determination (R2) increased to 0.9993, compared to 0.9558 achieved by the original XGBoost, suggesting a substantial enhancement in model fitting capability and explanatory power for actual temperature values. The potential for model overfitting was proactively addressed through a multi-faceted strategy. A cardinal step was employing K-fold cross-validation during training and rigorous evaluation on a fully independent test set of 264 field samples from coal-fire areas, ensuring exposure to unseen, real-world conditions. The model’s inherent robustness is further fortified by the extensive dataset (3800 samples) and the regularization mechanisms within XGBoost. Specifically, the NRBO algorithm optimized the L2 regularization parameter (λ) and the minimum loss reduction (γ), thereby actively constraining model complexity and guaranteeing robust predictive performance on new data. Moreover, the root mean square error (RMSE) and mean absolute error (MAE) were reduced by 85.6% and 86.6%, respectively, indicating a marked decrease in prediction uncertainty. Notably, the NRBO-XGBoost model exhibited significant performance improvements in high-temperature regions (>300 °C), with more uniform error distributions, thereby avoiding the error accumulation observed in the original model under extreme thermal conditions. These findings strongly validate the effectiveness of the NRBO optimization algorithm in enhancing the regression performance of XGBoost, resulting in improved prediction accuracy and robustness under complex coal fire scenarios.

4.4. Visual Validation

To comprehensively evaluate and validate the effectiveness of the NRBO-XGBoost model in coal fire monitoring, this study compares the original TIR images with the corresponding temperature-corrected versions. The aim is to assess the model’s ability to enhance temperature correction accuracy and improve the spatial representation of high-temperature regions. To clearly illustrate this difference and intuitively validate the correction effect, a set of comparative images was generated, as shown in Figure 9, displaying TIR images before and after correction.
The comparative analysis reveals that the corrected images exhibit significant improvements in high-temperature region recovery, boundary clarity, and spatial continuity. These improvements provide further evidence of the model’s effectiveness in accurate coal fire delineation and thermal anomaly detection.
For instance, in Figure 9a, the original TIR image presents a narrow temperature range (30.5–268.8 °C), with relatively low background temperatures (represented by purple regions). This results in an underestimation of certain high-temperature regions, leading to fragmented thermal patterns and unclear fire boundaries. Statistical analysis shows that in the original image, high-temperature regions (T > 150 °C) only account for 18.6% of the coal fire zone, with some regions failing to be identified due to low thermal values.
After correction with the NRBO-XGBoost model, the temperature range expands significantly to 51.2–345.3 °C, and the background temperature is adjusted to more realistic levels (depicted in blue). The gradient and continuity of high-temperature regions become more distinct and coherent, allowing for a more accurate thermal representation of the fire-affected region. Consequently, the proportion of high-temperature regions increases to 37.4%, representing a 101% improvement compared to the pre-correction state. This substantially enhances the completeness of thermal region delineation and sharpens the fire boundary definition. Furthermore, the average temperature within high-temperature regions rises from 132.4 °C to 198.6 °C, effectively mitigating the underestimation issue inherent in the original TIR images.
Both quantitative indicators and visual inspection confirm that the corrected TIR images more accurately reflect the actual temperature distribution within coal fire zones. The enhanced visibility of high-temperature regions reduces measurement errors caused by environmental complexity and highlights thermal anomalies more effectively. This optimization not only improves the consistency and reliability of temperature data but also increases the model’s adaptability to varying environmental conditions, thereby providing more accurate and robust support for coal fire monitoring.

5. Field Application

5.1. Overview of the Santanghu Coal Fire Zone, Hami, Xinjiang Uygur Autonomous Region, China

The Santanghu mining area in Hami City is located in the northeastern direction (18°) of Balikun Kazakh Autonomous County, Xinjiang Uygur Autonomous Region, China, approximately 84 km northeast in a straight line. The coal fire zone is situated within the No. 3 mining block of the Tiaohu coalfield. In the eastern part of the mining area, historical unauthorized excavation of humic acid has led to complete surface stripping, resulting in extensive exposure of coal seams. This exposure has caused spontaneous combustion along outcrops and the development of large-scale coal fires. In the western section, illegal small-scale coal mining has resulted in the formation of multiple surface subsidence regions. These subsided regions have created oxygen supply channels, and subsurface temperature anomalies have been detected through field surveys.
The spontaneous combustion of coal seams in this area is primarily triggered by surface excavation, which exposes the coal seams to prolonged oxidation. Additionally, earlier underground mining activities with poorly sealed shafts have led to ground collapse and fissure formation. These geological features act as ventilation pathways, enabling the combustion of residual coal in deep goafs. The coal fire zone exhibits visible surface flames and manifests a belt-shaped distribution pattern, accompanied by elongated ground collapses. Burnt brick-red altered rocks, characteristic of combustion metamorphism, are also observable, as shown in Figure 10. The fire has been active for an extended period, leading to severe coal resource depletion and the formation of numerous high-temperature pits, cracks, and fragmented zones at the surface. With the continuous expansion of the combustion front, coal resource losses are still increasing annually. It is estimated that the annual coal resource loss in this coal fire zone amounts to 925,892.25 tons. Urgent and targeted coal fire zone detection is therefore required to support subsequent firefighting and mitigation strategies.

5.2. TIR Data Collection and Correction

Thermal infrared remote sensing data for the coal fire zone were collected using the DJI Matrice 210 RTK V2 (DJI, Shenzhen, China) quadrotor UAV, identical to the platform used in the experiments. The UAV was equipped with a DJI Zenmuse XT2 dual-sensor camera. According to the standard procedures of oblique photogrammetry, five flight routes were planned, including four oblique photography paths and one nadir path, to acquire multi-perspective TIR image sequences. The UAV was flown at an altitude of 100 m, with a horizontal speed of 5 m/s. The side overlap and forward overlap rates were set to 70% and 80%, respectively. A total of 1045 visible images and 1045 TIR images were acquired, along with synchronized meteorological measurements of the zone.
After data collection, the coal fire monitoring temperature was extracted from each TIR image and stored as a CSV-formatted temperature matrix (640 columns × 512 rows), facilitating input to the NRBO-XGBoost model. The NRBO-XGBoost model applied in this section is the same one whose predictive accuracy was quantitatively validated in Section 4.3 using an independent test set from an actual coal fire area, where the ground (actual_temp) truth was directly measured by a calibrated K-type thermocouple (with an accuracy of ±0.5 °C). A dynamic visualization interface was employed to input recorded meteorological variables as feature data. All features were normalized and subsequently transformed into the DMatrix format required by the NRBO-XGBoost modeling framework. The model then generated corrected coal fire temperature values, which were reshaped into the same coordinate structure as the original temperature matrices. Finally, the corrected CSV matrices were converted into image formats suitable for 3D reconstruction, ensuring accurate thermal mapping. Figure 11 illustrates the extracted thermal hotspot contours before and after correction for two representative scenes in the Santanghu coal fire zone.
Spatial thermal hotspot analysis based on pre- and post-correction TIR images demonstrates the superior performance of the proposed NRBO-XGBoost model in identifying high-temperature regions, restoring hotspot morphology, and improving spatial coverage.
For example, in Figure 11a, only 40 high-temperature thermal hotspots (≥150 °C) are detected in the original image, with an average area of 0.2104 m2, a maximum area of 1.9791 m2, and a total coverage of 8.4157 m2. These thermal hotspots exhibit sparse distribution, poorly defined boundaries, and spatial isolation, rendering them inadequate for the accurate delineation of coal fire zones.
In contrast, the corrected image identifies 159 high-temperature thermal hotspots (a 297.5% increase). The average hotspot area increases to 0.6508 m2 (a 309.6% increase), while the maximum area expands dramatically to 33.7228 m2, representing a 1700.5% improvement. The total high-temperature coverage reaches 103.7516 m2, approximately 12 times that of the original image. Additionally, the spatial configuration of thermal hotspots shifts from fragmented and dispersed patches to more continuous, banded, and clustered structures. The contours appear clearer and more enclosed, improving shape fidelity.
Furthermore, the corrected images exhibit increased thermal density. In the original image, high-temperature regions are mainly concentrated along the right edge with a scattered distribution. After correction, hotspots are more extensively distributed along the main coal fire belt, showing significantly enhanced spatial clustering. In certain localized areas, the density of thermal hotspot regions increases by approximately 4.6 times, offering a more accurate representation of the core thermal structure of the coal fire.

5.3. 3D Thermal Field Reconstruction

To more comprehensively characterize the spatial thermal anomalies of subsurface coal fires, this study constructed a series of 3D thermal field models using a combination of 3D reconstruction and RGB-T feature fusion techniques. As shown in Figure 12 and Figure 13, the models include: the original 3D thermal field reconstructed from raw TIR imagery, the true 3D thermal field corrected by the NRBO-XGBoost model, and the detail-enhanced thermal field obtained by fusing high-resolution RGB textures.
The original thermal field model (Figure 12a) was reconstructed based on our previous methodology [24,25,26], which primarily focused on improving the geometric success of 3D modeling from TIR sequences. This earlier pipeline involved batch preprocessing—standardizing temperature ranges, distribution patterns, and color maps across images—followed by feature matching and texture mapping. However, a key limitation of this approach was its reliance on the uncorrected, raw thermal values from the UAV sensor as the texture source. Consequently, while the model successfully reconstructs the 3D terrain, the mapped temperature distribution inherits the inaccuracies of the original imagery, leading to a severe underestimation of temperatures, fragmented thermal anomalies, and poor boundary definition. The fundamental advancement presented in this work is the integration of the high-fidelity temperature correction performed by the NRBO-XGBoost model prior to reconstruction. This critical step ensures that the 3D model is textured with physically accurate and spatially consistent temperatures, enabling the generation of a true high-fidelity 3D thermal field.
The corrected 3D thermal field model (Figure 12b) significantly improves upon these limitations. By applying the NRBO-XGBoost regression correction, the temperature response range, particularly for high temperatures, is greatly expanded, even under a broader color scale. High-temperature regions (in red) exhibit clear strip-like patterns with strong spatial continuity, sharp boundaries, and smooth internal gradients. The model also effectively corrects previously underestimated low-temperature regions, producing a more physically realistic match with the actual thermal anomaly distribution in the coal fire zone.
The detail-enhanced model (Figure 12c), which integrates high-resolution RGB textures, further improves the interpretability of the thermal field. While retaining the benefits of temperature correction, it introduces fine surface details and spatial semantic information through RGB-T fusion. This enhancement results in sharper thermal region boundaries and richer background structural context. Particularly in transitional zones, the color gradient transitions closely align with terrain contours, enhancing the model’s ability to depict thermal anomaly propagation paths.
As illustrated in Figure 14 the corrected 3D thermal field model demonstrates a marked improvement in identifying high-temperature anomalies. In the original model, high-temperature regions account for only 0.43% of the total surface area, primarily appearing as isolated hotspots that fail to form continuous thermal belts. This significantly limits the accurate delineation of the coal fire boundary. In contrast, the corrected model increases the proportion of high-temperature areas to 2.60%, effectively expanding the detectable thermal anomaly range and mitigating omissions caused by temperature underestimation in the raw data.
Figure 15 presents a localized comparison between the corrected and detail-enhanced 3D thermal field models. In (i), although the corrected temperature field exhibits continuous high-temperature distributions, texture detail remains limited, particularly in low-temperature transitions and fine thermal gradients. In (ii), the RGB-T fusion introduces notable improvements in image clarity, edge sharpness, and structural fidelity. Enhanced textures, especially around object boundaries and high-temperature zones, provide a more accurate and interpretable thermal distribution. The integration of visible and thermal information enhances the model’s spatial precision and visualization quality, facilitating more accurate identification of heat sources and surrounding anomalies. This is particularly beneficial for analyzing coal fire expansion and predicting high-risk zones.
Through the complete optimization process proposed in this study, the 3D thermal field models progressively improve, from correcting underestimated temperatures to transforming fragmented thermal hotspots into coherent thermal belts, and ultimately clarifying coal fire boundaries and terrain textures. The final detail-enhanced model demonstrates strong potential for coal fire monitoring and early warning applications, validating the effectiveness and practical adaptability of the NRBO-XGBoost model in enhancing temperature representation in TIR imagery.

6. Conclusions

This study addresses the issue of measurement accuracy degradation in UAV-based thermal infrared remote sensing caused by environmental interference and systematic errors. A novel temperature correction model, NRBO-XGBoost, is proposed, integrating the Newton–Raphson-Based Optimizer (NRBO) algorithm with Extreme Gradient Boosting (XGBoost). It is particularly suited for coal fire monitoring due to its direct alignment with the application’s core demands. The model excels in handling the high-dimensional, non-linear thermal data inherent to coal fires, thanks to the XGBoost component. Simultaneously, the NRBO optimization ensures robust performance under complex field conditions by achieving a globally optimal model configuration, a critical advantage over traditional optimizers. This dual strength enables the unprecedented accuracy and spatial coherence in thermal anomaly detection demonstrated in our field application. The corrected data are subsequently used to reconstruct a high-fidelity 3D thermal field through RGB-T feature fusion and 3D reconstruction techniques. The main conclusions are as follows:
  • A six-dimensional feature dataset is constructed, comprising 3800 samples. The input features include thermal monitoring temperature, UAV altitude, ambient temperature, relative humidity, and wind speed, while the actual temperature serves as the output variable. The dataset covers diverse conditions across temperature ranges (5–500 °C), UAV flight altitudes (0–120 m, at 5 m intervals), and all four seasons. Standardization and outlier handling strategies are employed to enhance the robustness and adaptability of the data-driven model under complex environmental conditions.
  • A thermal infrared temperature correction model, NRBO-XGBoost, is proposed by embedding second-order optimization information (Hessian matrix) into XGBoost via the NRBO algorithm. This approach accelerates convergence, mitigates local optima, and significantly improves prediction accuracy (R2 = 0.9993; RMSE reduced by 85.6%; MAE reduced by 86.6%), while enhancing the generalization capability of the model.
  • A 3D thermal field enhancement approach based on RGB-T feature fusion is employed to enable high-fidelity reconstruction of thermal fields in coal fire zones. By integrating the corrected 3D thermal field model with visible-spectrum texture features, a high-fidelity and detail-enhanced 3D thermal model is generated. This enables more continuous and precise localization of thermal anomalies.
  • In the field application conducted at the Santanghu coal fire zone in Xinjiang, the final detail-enhanced 3D thermal field model achieves a 363% increase in the number of detected high-temperature regions, with the coverage area expanding nearly 6-fold. Notable improvements are observed in fire boundary delineation and thermal gradient representation.
These results validate the engineering applicability of the NRBO-XGBoost model under complex field conditions, providing reliable technical support for coal mine fire monitoring and disaster prevention. However, several limitations and challenges remain to be addressed in practical deployment. The current temperature correction process employs a post-processing approach, limiting real-time monitoring and rapid emergency response capabilities. Furthermore, the substantial computational resources required to generate high-resolution 3D thermal models hinder efficient analysis of large-scale coal seam fire areas. To overcome these constraints, future research will focus on two key areas: developing real-time correction models based on edge computing and integrating multimodal sensor data to enhance the accuracy and interpretability of thermal anomaly identification. These advancements are expected to improve the precision of fire spread modeling, thereby supporting the development of more effective large-scale coal seam fire prevention and control strategies.

Author Contributions

Conceptualization, Z.W. and Z.S.; Methodology, Z.W. and Z.S.; Software, Z.W.; Validation, Z.W. and Z.S.; Formal analysis, Z.W., Y.Z. and B.Z.; Data curation, Z.W., Z.S., R.C., M.Z. and Y.M.; Writing—original draft preparation, Z.W.; Writing—review and editing, Z.W., Z.S., Z.J. and W.X.; Visualization, Z.W.; Funding acquisition, Z.S. and Z.W.; Supervision, Z.S. All authors have read and agreed to the published version of the manuscript.

Funding

This research was funded by the National Natural Science Foundation of China (Grant Nos. 52274236, and 52130411), Major Science and Technology Projects in Xinjiang (Grant No. 2024A01002), the Xinjiang Key Research and Development Special Task (Grant No. 2022B03003-1), the China Postdoctoral Science Foundation (Grant No. 2023M733765, and 2025T180503), the Postgraduate Research & Practice Innovation Program of Jiangsu Province (Grant No. SJCX24_1423) and the Graduate Innovation Program of China University of Mining and Technology (Grant No. 2024WLJCRCZL192).

Data Availability Statement

The data presented in this study are available on request from the corresponding author due to non-disclosure agreement.

Conflicts of Interest

Author Zichao Jia was employed by the company Xinjiang Xinkuang Geological Technology Co., Ltd. The remaining authors declare that the research was conducted in the absence of any commercial or financial relationships that could be construed as a potential conflict of interest.

Abbreviations

The following abbreviations are used in this manuscript:
UAVUnmanned Aerial Vehicle
TIRThermal Infrared
NRBONewton–Raphson-Based Optimizer
XGBoostExtreme Gradient Boosting
RMSERoot Mean Square Error
MAEMean Absolute Error
3DThree Dimensional
NRSRNewton–Raphson Search Rule
TAOTrap Avoidance Operator
GBDTGradient Boosting Decision Tree
SHAPShapley Additive Explanations

References

  1. China Mineral Resources Released. China Nonferrous Metals; China Mineral Resources Released: Beijing, China, 2024; p. 24. [Google Scholar]
  2. Zhang, R.; Li, W.; Li, Y.; Li, H. Job losses or gains? The impact of supply-side energy transition on employment in China. Energy 2024, 308, 132804. [Google Scholar] [CrossRef]
  3. Guo, W.; Guo, M.; Tan, Y.; Bai, E.; Zhao, G. Sustainable development of resources and the environment: Mining-induced eco-geological environmental damage and mitigation measures—A case study in the Henan coal mining area, China. Sustainability 2019, 11, 4366. [Google Scholar] [CrossRef]
  4. Thakur, T.K.; Swamy, S.; Dutta, J.; Thakur, A.; Mishra, A.; Sarangi, P.K.; Kumar, A.; Almutairi, B.O.; Kumar, R. Assessment of land use dynamics and vulnerability to land degradation in coal-mined landscapes of central India: Implications for ecorestoration strategies. Front. Environ. Sci. 2024, 12, 1419041. [Google Scholar] [CrossRef]
  5. Colomina, I.; Molina, P. Unmanned aerial systems for photogrammetry and remote sensing: A review. ISPRS J. Photogramm. Remote Sens. 2014, 92, 79–97. [Google Scholar] [CrossRef]
  6. Abdollahi, A.; Pradhan, B.; Alamri, A. RoadVecNet: A new approach for simultaneous road network segmentation and vectorization from aerial and google earth imagery in a complex urban set-up. GIScience Remote Sens. 2021, 58, 1151–1174. [Google Scholar] [CrossRef]
  7. Ren, H.; Zhao, Y.; Xiao, W.; Hu, Z. A review of UAV monitoring in mining areas: Current status and future perspectives. Int. J. Coal Sci. Technol. 2019, 6, 320–333. [Google Scholar] [CrossRef]
  8. Marques, T.; Carreira, S.; Miragaia, R.; Ramos, J.; Pereira, A. Applying deep learning to real-time UAV-based forest monitoring: Leveraging multi-sensor imagery for improved results. Expert Syst. Appl. 2024, 245, 123107. [Google Scholar] [CrossRef]
  9. Usamentiaga, R.; Venegas, P.; Sfarra, S.; Zhang, H. Enhanced temperature measurement using infrared thermography in dynamic environments through an automated robust detection-tracking approach. Quant. InfraRed Thermogr. J. 2025, 22, 424–451. [Google Scholar] [CrossRef]
  10. Alexa, P.; Solař, J.; Čmiel, F.; Valíček, P.; Kadulová, M. Infrared thermographic measurement of the surface temperature and emissivity of glossy materials. J. Build. Phys. 2018, 41, 533–546. [Google Scholar] [CrossRef]
  11. Li, Y.; Cao, B.; Su, X.; Chen, J.; Li, L.; Zhang, G.; Zhu, Y. Infrared array imaging for precise temperature measurement and temperature compensation. Infrared Laser Eng. 2024, 53, 20240269. [Google Scholar]
  12. Cai, L.; Zhou, K.; Shen, G.; Yao, Y.; Qiu, L.; Zi, C.; Cao, X. High-precision temperature measurement and calibration technology of infrared thermal imager. Infrared Laser Eng. 2021, 50, 20210043. [Google Scholar]
  13. Wei, S.; Qin, W.; Han, L.; Cheng, F. The research on compensation algorithm of infrared temperature measurement based on intelligent sensors. Clust. Comput. 2019, 22, 6091–6100. [Google Scholar] [CrossRef]
  14. Yang, H.; Chen, C.; Xue, X. Coupled convolutional neural network with long short-term memory network for predicting lake water temperature. J. Hydrol. 2025, 655, 132878. [Google Scholar] [CrossRef]
  15. Gan, Z.; Yang, M.; Feng, T.; Timmermans, H.J. Examining the relationship between built environment and metro ridership at station-to-station level. Transp. Res. Part D Transp. Environ. 2020, 82, 102332. [Google Scholar] [CrossRef]
  16. Munawar, H.S.; Ullah, F.; Khan, S.I.; Qadir, Z.; Qayyum, S. UAV assisted spatiotemporal analysis and management of bushfires: A case study of the 2020 victorian bushfires. Fire 2021, 4, 40. [Google Scholar] [CrossRef]
  17. Wasilewski, S. Monitoring the thermal and gaseous activity of coal waste dumps. Environ. Earth Sci. 2020, 79, 474. [Google Scholar] [CrossRef]
  18. Abramowicz, A.; Rahmonov, O.; Chybiorz, R. Environmental management and landscape transformation on self-heating coal-waste dumps in the Upper Silesian Coal Basin. Land 2020, 10, 23. [Google Scholar] [CrossRef]
  19. Wang, Y.-j.; Feng, T.; Huang, Y.; Jian, W.; Wei, C.-j. Monitoring coal fires in Datong coalfield using multi-source remote sensing data. Trans. Nonferrous Met. Soc. China 2015, 25, 3421–3428. [Google Scholar] [CrossRef]
  20. Yuan, G.; Wang, Y.; Zhao, F.; Yan, S.; Zhang, H.; Lang, F.; Hao, M.; Cao, F.; Peng, B.; Dang, L. Spatiotemporal correlation characteristics between thermal infrared remote sensing obtained surface thermal anomalies and reconstructed 4-D temperature fields of underground coal fires. IEEE Trans. Geosci. Remote Sens. 2023, 61, 4506318. [Google Scholar] [CrossRef]
  21. He, X.; Yang, X.; Luo, Z.; Guan, T. Application of unmanned aerial vehicle (UAV) thermal infrared remote sensing to identify coal fires in the Huojitu coal mine in Shenmu city, China. Sci. Rep. 2020, 10, 13895. [Google Scholar] [CrossRef] [PubMed]
  22. Kacker, T.; Perrusquia, A.; Guo, W. Multi-spectral fusion using generative adversarial networks for uav detection of wild fires. In Proceedings of the 2023 International Conference on Artificial Intelligence in Information and Communication (ICAIIC), Bali, Indonesia, 20–23 February 2023; pp. 182–187. [Google Scholar]
  23. Lewicki, T.; Liu, K. Multimodal wildfire surveillance with uav. In Proceedings of the 2021 IEEE Global Communications Conference (GLOBECOM), Madrid, Spain, 7–11 December 2021; pp. 1–6. [Google Scholar]
  24. Shao, Z.; Liang, Y.; Tian, F.; Song, S.; Deng, R. Constructing 3-D land surface temperature model of local coal fires using UAV thermal images. IEEE Trans. Geosci. Remote Sens. 2022, 60, 5002309. [Google Scholar] [CrossRef]
  25. Shao, Z.; Deng, R.; Zhang, G.; Li, Y.; Tang, X.; Zhang, W. 3D thermal mapping of smoldering coal gangue pile fires using airborne thermal infrared data. Case Stud. Therm. Eng. 2023, 48, 103146. [Google Scholar] [CrossRef]
  26. Shao, Z.; Yang, T.; Deng, R.; Shao, H. Monitoring Burning Coal Gangue Dump Based on the 3D Thermal Infrared Model. IEEE J. Sel. Top. Appl. Earth Obs. Remote Sens. 2024, 17, 8979–8995. [Google Scholar] [CrossRef]
  27. Qiu, Y.; Zhou, J.; Khandelwal, M.; Yang, H.; Yang, P.; Li, C. Performance evaluation of hybrid WOA-XGBoost, GWO-XGBoost and BO-XGBoost models to predict blast-induced ground vibration. Eng. Comput. 2022, 38, 4145–4162. [Google Scholar] [CrossRef]
  28. Sowmya, R.; Premkumar, M.; Jangir, P. Newton-Raphson-based optimizer: A new population-based metaheuristic algorithm for continuous optimization problems. Eng. Appl. Artif. Intell. 2024, 128, 107532. [Google Scholar] [CrossRef]
  29. Ramraj, S.; Uzir, N.; Sunil, R.; Banerjee, S. Experimenting XGBoost algorithm for prediction and classification of different datasets. Int. J. Control Theory Appl. 2016, 9, 651–662. [Google Scholar]
  30. Zhu, X.; Chu, J.; Wang, K.; Wu, S.; Yan, W.; Chiam, K. Prediction of rockhead using a hybrid N-XGBoost machine learning framework. J. Rock Mech. Geotech. Eng. 2021, 13, 1231–1245. [Google Scholar] [CrossRef]
  31. Nalluri, M.; Pentela, M.; Eluri, N.R. A scalable tree boosting system: XG boost. Int. J. Res. Stud. Sci. Eng. Technol. 2020, 7, 36–51. [Google Scholar]
  32. Parsa, A.B.; Movahedi, A.; Taghipour, H.; Derrible, S.; Mohammadian, A.K. Toward safer highways, application of XGBoost and SHAP for real-time accident detection and feature analysis. Accid. Anal. Prev. 2020, 136, 105405. [Google Scholar] [CrossRef]
  33. Khaleel, O.J.; Ibrahim, T.K.; Ismail, F.B.; Al-Sammarraie, A.T. Developing an analytical model to predict the energy and exergy based performances of a coal-fired thermal power plant. Case Stud. Therm. Eng. 2021, 28, 101519. [Google Scholar] [CrossRef]
  34. Khaleel, O.J.; Ibrahim, T.K.; Ismail, F.B.; Al-Sammarraie, A.T.; bin Abu Hassan, S.H. Modeling and analysis of optimal performance of a coal-fired power plant based on exergy evaluation. Energy Rep. 2022, 8, 2179–2199. [Google Scholar] [CrossRef]
  35. Khaleel, O.J.; Ismail, F.B.; Ibrahim, T.K. Parametric assessment of the thermal performance of coal-fired power plant. J. Adv. Res. Fluid. Mech. Therm. Sci. 2021, 87, 27–43. [Google Scholar] [CrossRef]
  36. Chen, T.; Guestrin, C. Xgboost: A scalable tree boosting system. In Proceedings of the 22nd Acm Sigkdd International Conference on Knowledge Discovery and Data Mining, San Francisco, CA, USA, 13–17 August 2016; pp. 785–794. [Google Scholar]
  37. Meng, Y.; Yang, N.; Qian, Z.; Zhang, G. What makes an online review more helpful: An interpretation framework using XGBoost and SHAP values. J. Theor. Appl. Electron. Commer. Res. 2020, 16, 466–490. [Google Scholar] [CrossRef]
  38. Li, Z. Extracting spatial effects from machine learning model using local interpretation method: An example of SHAP and XGBoost. Comput. Environ. Urban Syst. 2022, 96, 101845. [Google Scholar] [CrossRef]
Figure 3. Histogram and boxplot of data distribution for each input feature.
Figure 3. Histogram and boxplot of data distribution for each input feature.
Fire 08 00462 g003
Figure 5. Initial performance comparison of commonly used regression models in terms of R2 and normalized RMSE.
Figure 5. Initial performance comparison of commonly used regression models in terms of R2 and normalized RMSE.
Fire 08 00462 g005
Figure 6. Overview of SHAP feature effects and importance ranking.
Figure 6. Overview of SHAP feature effects and importance ranking.
Fire 08 00462 g006
Figure 7. Examples of TIR image sequences collected from actual coal fire zones. (a) Partial TIR images at 236.6 °C from 5 to120 m altitude. (b) Partial TIR images at 372.7 °C from 5 to 120 m altitude.
Figure 7. Examples of TIR image sequences collected from actual coal fire zones. (a) Partial TIR images at 236.6 °C from 5 to120 m altitude. (b) Partial TIR images at 372.7 °C from 5 to 120 m altitude.
Fire 08 00462 g007
Figure 8. Overview of regression results before and after XGBoost optimization. (a) Original XGBoost model. (b) Optimized NRBO-XGBoost model.
Figure 8. Overview of regression results before and after XGBoost optimization. (a) Original XGBoost model. (b) Optimized NRBO-XGBoost model.
Fire 08 00462 g008
Figure 9. Comparison of TIR images before and after temperature correction. (i) Original TIR image. (ii) Temperature-corrected TIR image. (ad) Four distinct observation scenes.
Figure 9. Comparison of TIR images before and after temperature correction. (i) Original TIR image. (ii) Temperature-corrected TIR image. (ad) Four distinct observation scenes.
Fire 08 00462 g009
Figure 10. On-site thermal anomaly observations in the coal fire zone. (a) Schematic of the coal fire zone and on-site data collection. (b) Sulfur deposits. (c) Smoke emissions and subsidence features. (d) Ground fissures.
Figure 10. On-site thermal anomaly observations in the coal fire zone. (a) Schematic of the coal fire zone and on-site data collection. (b) Sulfur deposits. (c) Smoke emissions and subsidence features. (d) Ground fissures.
Fire 08 00462 g010
Figure 11. Comparison of extracted thermal hotspot contours before and after temperature correction. (i) Original TIR image. (ii) Temperature-corrected TIR image. (a,b) represent different observation scenarios.
Figure 11. Comparison of extracted thermal hotspot contours before and after temperature correction. (i) Original TIR image. (ii) Temperature-corrected TIR image. (a,b) represent different observation scenarios.
Fire 08 00462 g011
Figure 12. 3D thermal field reconstruction results of the Santanghu coal fire zone from different perspectives. (a) Original 3D thermal field model reconstructed from raw TIR images. (b) Corrected 3D thermal field model reconstructed from NRBO-XGBoost-processed TIR images. (c) Enhanced 3D thermal field model reconstructed from RGB-T fused images.
Figure 12. 3D thermal field reconstruction results of the Santanghu coal fire zone from different perspectives. (a) Original 3D thermal field model reconstructed from raw TIR images. (b) Corrected 3D thermal field model reconstructed from NRBO-XGBoost-processed TIR images. (c) Enhanced 3D thermal field model reconstructed from RGB-T fused images.
Fire 08 00462 g012
Figure 13. 3D thermal field reconstruction results of the Santanghu coal fire zone. (a) Original 3D thermal field model reconstructed from raw TIR images. (b) Corrected 3D thermal field model reconstructed from NRBO-XGBoost-processed TIR images. (c) Enhanced 3D thermal field model reconstructed from RGB-T fused images.
Figure 13. 3D thermal field reconstruction results of the Santanghu coal fire zone. (a) Original 3D thermal field model reconstructed from raw TIR images. (b) Corrected 3D thermal field model reconstructed from NRBO-XGBoost-processed TIR images. (c) Enhanced 3D thermal field model reconstructed from RGB-T fused images.
Fire 08 00462 g013
Figure 14. Comparison of high-temperature contours extracted from 3D thermal field models. (a) Original 3D thermal field model. (b) Corrected 3D thermal field model.
Figure 14. Comparison of high-temperature contours extracted from 3D thermal field models. (a) Original 3D thermal field model. (b) Corrected 3D thermal field model.
Fire 08 00462 g014
Figure 15. Local detail comparison of 3D thermal field models. (i) Corrected 3D thermal field model. (ii) Detail-enhanced 3D thermal field model. (a,b) represent different observation scenarios.
Figure 15. Local detail comparison of 3D thermal field models. (i) Corrected 3D thermal field model. (ii) Detail-enhanced 3D thermal field model. (a,b) represent different observation scenarios.
Fire 08 00462 g015
Table 1. Evaluation of five optimization algorithms for XGBoost hyperparameter tuning.
Table 1. Evaluation of five optimization algorithms for XGBoost hyperparameter tuning.
OptimizersRMSER2
Grid Search5.260.9783
BO5.300.9921
PSO3.230.9981
GWO3.130.9958
NRBO3.050.9997
Disclaimer/Publisher’s Note: The statements, opinions and data contained in all publications are solely those of the individual author(s) and contributor(s) and not of MDPI and/or the editor(s). MDPI and/or the editor(s) disclaim responsibility for any injury to people or property resulting from any ideas, methods, instructions or products referred to in the content.

Share and Cite

MDPI and ACS Style

Wang, Z.; Shao, Z.; Chen, R.; Zhao, M.; Jia, Z.; Ma, Y.; Xie, W.; Zhang, Y.; Zhang, B. NRBO-XGBoost-Optimized High-Fidelity Temperature Correction for UAV-Based TIR Imagery and Its Application for Monitoring Coal Fire. Fire 2025, 8, 462. https://doi.org/10.3390/fire8120462

AMA Style

Wang Z, Shao Z, Chen R, Zhao M, Jia Z, Ma Y, Xie W, Zhang Y, Zhang B. NRBO-XGBoost-Optimized High-Fidelity Temperature Correction for UAV-Based TIR Imagery and Its Application for Monitoring Coal Fire. Fire. 2025; 8(12):462. https://doi.org/10.3390/fire8120462

Chicago/Turabian Style

Wang, Zhaolong, Zhenlu Shao, Rifu Chen, Mengyu Zhao, Zichao Jia, Yifei Ma, Wanru Xie, Yuhang Zhang, and Baoyu Zhang. 2025. "NRBO-XGBoost-Optimized High-Fidelity Temperature Correction for UAV-Based TIR Imagery and Its Application for Monitoring Coal Fire" Fire 8, no. 12: 462. https://doi.org/10.3390/fire8120462

APA Style

Wang, Z., Shao, Z., Chen, R., Zhao, M., Jia, Z., Ma, Y., Xie, W., Zhang, Y., & Zhang, B. (2025). NRBO-XGBoost-Optimized High-Fidelity Temperature Correction for UAV-Based TIR Imagery and Its Application for Monitoring Coal Fire. Fire, 8(12), 462. https://doi.org/10.3390/fire8120462

Article Metrics

Back to TopTop