Equations to Predict Carbon Monoxide Emissions from Amazon Rainforest Fires
Abstract
1. Introduction
1.1. Importance of Fire Emissions Accuracy
1.2. Linking Accuracy of Emissions to Intended Use of Predictions
1.3. Study Overview
2. Materials and Methods
2.1. Emissions Inventories
2.2. Regression Predictors
2.3. Regression Equation Development
2.4. Equation Accuracy Metrics
Ratio of Explained Variances
2.5. Initial Equation Screening
2.6. Burned Area Calculations and Comparisons with FireMIP
3. Results
3.1. Recommended Linear Equation
3.2. Recommended Log Equation
3.3. Best Equation Using Prescribed Meteorology
+ 3.72 ∗ 106 ∗ (deforested in previous 5 years, mean annual fraction of land)1.1
+ 53.2 ∗ (month’s average days since wetting rain)2
+ 6.11 ∗ 106 ∗ (deforested in current year, fraction of land)1.5
+ 2.34 ∗ 103 ∗ (historically dry biome, fraction of land)0.3
− 149 ∗ (land allocation to crops, as %)1.4
− 2130 ∗ (population per km2)0.3}
3.4. Interaction Terms
3.5. Distributions of Predicted CO Fluxes
3.6. Predictors in Recommended Emission Equations
3.7. Equations to Convert Emissions Predictions to Burned Area Predictions
emission prediction from Linear equation ∗ { + 19.4
+ 1.48 ∗ (land allocation to grass, %)
+ 0.709 ∗ (historically dry biome, % of land area)
+ 2.22 ∗ (land allocation to crops, %)
− 0.0188 ∗ (land allocation to grass, %) ∗ (historically dry biome, % of land area)
− 0.0764 ∗ (land allocation to grass, %) ∗ (land allocation to crops, %)
− 0.0507 ∗ (historically dry biome, % of land area) ∗ (land allocation to crops, %)}
4. Discussion
4.1. Comparisons of Fits for GFED v. Naus CO Inventories
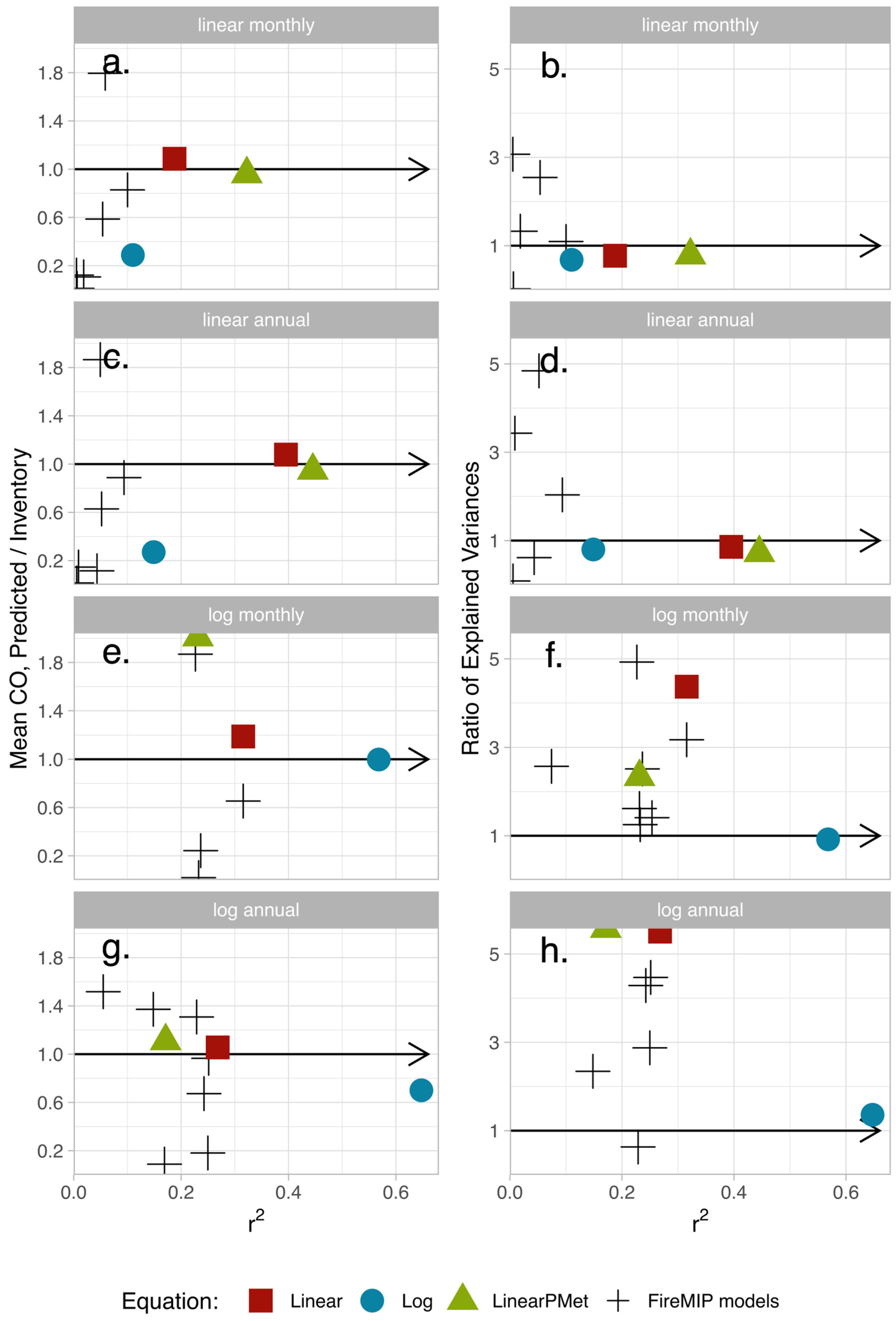
4.2. Accuracy Comparisons with FireMIP
4.3. Sources of Equation Error
5. Conclusions
Supplementary Materials
Author Contributions
Funding
Data Availability Statement
Acknowledgments
Conflicts of Interest
References
- Ford, B.; Val Martin, M.; Zelasky, S.E.; Fischer, E.V.; Anenberg, S.C.; Heald, C.L.; Pierce, J.R. Future Fire Impacts on Smoke Concentrations, Visibility, and Health in the Contiguous United States. GeoHealth 2018, 2, 229–247. [Google Scholar] [CrossRef] [PubMed]
- Knorr, W.; Dentener, F.; Lamarque, J.-F.; Jiang, L.; Arneth, A. Wildfire Air Pollution Hazard during the 21st Century. Atmos. Chem. Phys. 2017, 17, 9223–9236. [Google Scholar] [CrossRef]
- Mallet, M.; Nabat, P.; Johnson, B.; Michou, M.; Haywood, J.M.; Chen, C.; Dubovik, O. Climate Models Generally Underrepresent the Warming by Central Africa Biomass-Burning Aerosols over the Southeast Atlantic. Sci. Adv. 2021, 7, eabg9998. [Google Scholar] [CrossRef] [PubMed]
- Kloster, S.; Mahowald, N.M.; Randerson, J.T.; Thornton, P.E.; Hoffman, F.M.; Levis, S.; Lawrence, P.J.; Feddema, J.J.; Oleson, K.W.; Lawrence, D.M. Fire Dynamics during the 20th Century Simulated by the Community Land Model. Biogeosciences 2010, 7, 1877–1902. [Google Scholar] [CrossRef]
- Zou, Y.; Wang, Y.; Qian, Y.; Tian, H.; Yang, J.; Alvarado, E. Using CESM-RESFire to Understand Climate-Fire-Ecosystem Interactions and the Implications for Decadal Climate Variability. Atmos. Chem. Phys. 2020, 20, 995–1020. [Google Scholar] [CrossRef]
- Li, F.; Lawrence, D.M. Role of Fire in the Global Land Water Budget during the Twentieth Century due to Changing Ecosystems. J. Clim. 2017, 30, 1893–1908. [Google Scholar] [CrossRef]
- Heyblom, K.B.; Singh, H.A.; Rasch, P.J.; DeRepentigny, P. Increased Variability of Biomass Burning Emissions in CMIP6 Amplifies Hydrologic Cycle in the CESM2 Large Ensemble. Geophys. Res. Lett. 2022, 49, e2021GL096868. [Google Scholar] [CrossRef]
- Rabin, S.S.; Melton, J.R.; Lasslop, G.; Bachelet, D.; Forrest, M.; Hantson, S.; Kaplan, J.O.; Li, F.; Mangeon, S.; Ward, D.S.; et al. The Fire Modeling Intercomparison Project (FireMIP), Phase 1: Experimental and Analytical Protocols with Detailed Model Descriptions. Geosci. Model. Dev. 2017, 10, 1175–1197. [Google Scholar] [CrossRef]
- Li, F.; Val Martin, M.V.; Andreae, M.O.; Arneth, A.; Hantson, S.; Kaiser, J.W.; Lasslop, G.; Yue, C.; Bachelet, D.; Forrest, M.; et al. Historical (1700–2012) Global Multi-Model Estimates of the Fire Emissions from the Fire Modeling Intercomparison Project (FireMIP). Atmos. Chem. Phys. 2019, 19, 12545–12567. [Google Scholar] [CrossRef]
- van der Werf, G.R.; Randerson, J.T.; Giglio, L.; van Leeuwen, T.T.; Chen, Y.; Rogers, B.M.; Mu, M.; van Marle, M.J.E.; Morton, D.C.; Collatz, G.J.; et al. Global Fire Emissions Estimates during 1997–2016. Earth Syst. Sci. Data 2017, 9, 697–720. [Google Scholar] [CrossRef]
- Andela, N.; Morton, D.C.; Schroeder, W.; Chen, Y.; Brando, P.M.; Randerson, J.T. Tracking and Classifying Amazon Fire Events in near Real Time. Sci. Adv. 2022, 8, eabd2713. [Google Scholar] [CrossRef]
- Ray, D.; Nepstad, D.; Moutinho, P. Micrometeorological and Canopy Controls of Fire Susceptibility in a Forested Amazon Landscape. Ecol. Appl. 2005, 15, 1664–1678. [Google Scholar] [CrossRef]
- da Silva, S.S.; Fearnside, P.M.; de Alencastro Graça, P.M.L.; Brown, I.F.; Alencar, A.; de Melo, A.W.F. Dynamics of Forest Fires in the Southwestern Amazon. For. Ecol. Manag. 2018, 424, 312–322. [Google Scholar] [CrossRef]
- Silvestrini, R.A.; Soares-Filho, B.S.; Nepstad, D.; Coe, M.; Rodrigues, H.; Assunção, R. Simulating Fire Regimes in the Amazon in Response to Climate Change and Deforestation. Ecol. Appl. 2011, 21, 1573–1590. [Google Scholar] [CrossRef]
- Danabasoglu, G.; Lamarque, J.-F.; Bacmeister, J.; Bailey, D.A.; DuVivier, A.K.; Edwards, J.; Emmons, L.K.; Fasullo, J.; Garcia, R.; Gettelman, A.; et al. The Community Earth System Model Version 2 (CESM2). J. Adv. Model. Earth Syst. 2020, 12, e2019MS001916. [Google Scholar] [CrossRef]
- Hantson, S.; Kelley, D.I.; Arneth, A.; Harrison, S.P.; Archibald, S.; Bachelet, D.; Forrest, M.; Hickler, T.; Lasslop, G.; Li, F.; et al. Quantitative Assessment of Fire and Vegetation Properties in Simulations with Fire-Enabled Vegetation Models from the Fire Model Intercomparison Project. Geosci. Model. Dev. 2020, 13, 3299–3318. [Google Scholar] [CrossRef]
- Li, F.; Bond-Lamberty, B.; Levis, S. Quantifying the Role of Fire in the Earth System—Part 2: Impact on the Net Carbon Balance of Global Terrestrial Ecosystems for the 20th Century. Biogeosciences 2014, 11, 1345–1360. [Google Scholar] [CrossRef]
- Lawrence, D.M.; Fisher, R.; Koven, C.; Oleson, K.; Swenson, S.; Vertenstein, M. Technical Description of Version 5.0 of the Community Land Model (CLM); National Center for Atmospheric Research: Boulder, CO, USA, 2019. [Google Scholar]
- Stenzel, J.E.; Bartowitz, K.J.; Hartman, M.D.; Lutz, J.A.; Kolden, C.A.; Smith, A.M.S.; Law, B.E.; Swanson, M.E.; Larson, A.J.; Parton, W.J.; et al. Fixing a Snag in Carbon Emissions Estimates from Wildfires. Glob. Chang. Biol. 2019, 25, 3985–3994. [Google Scholar] [CrossRef]
- Zheng, B.; Ciais, P.; Chevallier, F.; Chuvieco, E.; Chen, Y.; Yang, H. Increasing Forest Fire Emissions despite the Decline in Global Burned Area. Sci. Adv. 2021, 7, eabh2646. [Google Scholar] [CrossRef]
- Aragão, L.E.O.C.; Poulter, B.; Barlow, J.B.; Anderson, L.O.; Malhi, Y.; Saatchi, S.; Phillips, O.L.; Gloor, E. Environmental Change and the Carbon Balance of Amazonian Forests: Environmental Change in Amazonia. Biol. Rev. 2014, 89, 913–931. [Google Scholar] [CrossRef]
- Chen, Y.; Hall, J.; Van Wees, D.; Andela, N.; Hantson, S.; Giglio, L.; Van Der Werf, G.R.; Morton, D.C.; Randerson, J.T. Multi-Decadal Trends and Variability in Burned Area from the Fifth Version of the Global Fire Emissions Database (GFED5). Earth Syst. Sci. Data 2023, 15, 5227–5259. [Google Scholar] [CrossRef]
- Archibald, S.; Lehmann, C.E.R.; Belcher, C.M.; Bond, W.J.; Bradstock, R.A.; Daniau, A.-L.; Dexter, K.G.; Forrestel, E.J.; Greve, M.; He, T.; et al. Biological and Geophysical Feedbacks with Fire in the Earth System. Environ. Res. Lett. 2018, 13, 033003. [Google Scholar] [CrossRef]
- Son, R.; Stacke, T.; Gayler, V.; Nabel, J.E.M.S.; Schnur, R.; Alonso, L.; Requena-Mesa, C.; Winkler, A.J.; Hantson, S.; Zaehle, S.; et al. Integration of a Deep-Learning-Based Fire Model Into a Global Land Surface Model. J. Adv. Model. Earth Syst. 2024, 16, e2023MS003710. [Google Scholar] [CrossRef]
- van der Laan-Luijkx, I.T.; van der Velde, I.R.; Krol, M.C.; Gatti, L.V.; Domingues, L.G.; Correia, C.S.C.; Miller, J.B.; Gloor, M.; van Leeuwen, T.T.; Kaiser, J.W.; et al. Response of the Amazon Carbon Balance to the 2010 Drought Derived with CarbonTracker South America. Glob. Biogeochem. Cycles 2015, 29, 1092–1108. [Google Scholar] [CrossRef]
- Nechita-Banda, N.; Krol, M.; van der Werf, G.R.; Kaiser, J.W.; Pandey, S.; Huijnen, V.; Clerbaux, C.; Coheur, P.; Deeter, M.N.; Röckmann, T. Monitoring Emissions from the 2015 Indonesian Fires Using CO Satellite Data. Philos. Trans. R. Soc. B 2018, 373, 20170307. [Google Scholar] [CrossRef] [PubMed]
- Zheng, B.; Ciais, P.; Chevallier, F.; Yang, H.; Canadell, J.G.; Chen, Y.; Van Der Velde, I.R.; Aben, I.; Chuvieco, E.; Davis, S.J.; et al. Record-High CO2 Emissions from Boreal Fires in 2021. Science 2023, 379, 912–917. [Google Scholar] [CrossRef]
- Ferek, R.J.; Reid, J.S.; Hobbs, P.V.; Blake, D.R.; Liousse, C. Emission Factors of Hydrocarbons, Halocarbons, Trace Gases and Particles from Biomass Burning in Brazil. J. Geophys. Res. 1998, 103, 32107–32118. [Google Scholar] [CrossRef]
- Soares Neto, T.G.; Carvalho, J.A.; Veras, C.A.G.; Alvarado, E.C.; Gielow, R.; Lincoln, E.N.; Christian, T.J.; Yokelson, R.J.; Santos, J.C. Biomass Consumption and CO2, CO and Main Hydrocarbon Gas Emissions in an Amazonian Forest Clearing Fire. Atmos. Environ. 2009, 43, 438–446. [Google Scholar] [CrossRef]
- Ward, D.E.; Hardy, C.C. Smoke Emissions from Wildland Fires. Environ. Int. 1991, 17, 117–134. [Google Scholar] [CrossRef]
- Gkatzelis, G.I.; Coggon, M.M.; Stockwell, C.E.; Hornbrook, R.S.; Allen, H.; Apel, E.C.; Bela, M.M.; Blake, D.R.; Bourgeois, I.; Brown, S.S.; et al. Parameterizations of US Wildfire and Prescribed Fire Emission Ratios and Emission Factors Based on FIREX-AQ Aircraft Measurements. Atmos. Chem. Phys. 2024, 24, 929–956. [Google Scholar] [CrossRef]
- Ågren, G.I. The C:N:P Stoichiometry of Autotrophs—Theory and Observations. Ecol. Lett. 2004, 7, 185–191. [Google Scholar] [CrossRef]
- Chung, S.H. Global Distribution and Climate Forcing of Carbonaceous Aerosols. J. Geophys. Res. 2002, 107, 4407. [Google Scholar] [CrossRef]
- Costantino, L.; Bréon, F.-M. Aerosol Indirect Effect on Warm Clouds over South-East Atlantic, from Co-Located MODIS and CALIPSO Observations. Atmos. Chem. Phys. 2013, 13, 69–88. [Google Scholar] [CrossRef]
- Frieler, K.; Meinshausen, M.; Schneider von Deimling, T.; Andrews, T.; Forster, P. Changes in Global-Mean Precipitation in Response to Warming, Greenhouse Gas Forcing and Black Carbon. Geophys. Res. Lett. 2011, 38, 1–5. [Google Scholar] [CrossRef]
- Gerwing, J.J. Degradation of Forests through Logging and Fire in the Eastern Brazilian Amazon. For. Ecol. Manag. 2002, 157, 131–141. [Google Scholar] [CrossRef]
- Jiang, Y.; Lu, Z.; Liu, X.; Qian, Y.; Zhang, K.; Wang, Y.; Yang, X.-Q. Impacts of Global Open-Fire Aerosols on Direct Radiative, Cloud and Surface-Albedo Effects Simulated with CAM5. Atmos. Chem. Phys. 2016, 16, 14805–14824. [Google Scholar] [CrossRef]
- Koren, I.; Kaufman, Y.J.; Remer, L.A.; Martins, J.V. Measurement of the Effect of Amazon Smoke on Inhibition of Cloud Formation. Science 2004, 303, 1342–1345. [Google Scholar] [CrossRef] [PubMed]
- Koren, I.; Martins, J.V.; Remer, L.A.; Afargan, H. Smoke Invigoration Versus Inhibition of Clouds over the Amazon. Science 2008, 321, 946–949. [Google Scholar] [CrossRef]
- Malavelle, F.F.; Haywood, J.M.; Mercado, L.M.; Folberth, G.A.; Bellouin, N.; Sitch, S.; Artaxo, P. Studying the Impact of Biomass Burning Aerosol Radiative and Climate Effects on the Amazon Rainforest Productivity with an Earth System Model. Atmos. Chem. Phys. 2019, 19, 1301–1326. [Google Scholar] [CrossRef]
- Ming, Y.; Ramaswamy, V.; Persad, G. Two Opposing Effects of Absorbing Aerosols on Global-Mean Precipitation. Geophys. Res. Lett. 2010, 37. [Google Scholar] [CrossRef]
- Mutahi, A.W. Aerosol Impact At High Altitude: A Case Study At 4800 M On Mt. Kenya. Doctoral Dissertation, University of Nairobi, Nairobi, Kenya, 2016. [Google Scholar]
- Magalhães, N.D.; Evangelista, H.; Condom, T.; Rabatel, A.; Ginot, P. Amazonian Biomass Burning Enhances Tropical Andean Glaciers Melting. Sci. Rep. 2019, 9, 16914. [Google Scholar] [CrossRef]
- Pedersen, C.A.; Gallet, J.-C.; Ström, J.; Gerland, S.; Hudson, S.R.; Forsström, S.; Isaksson, E.; Berntsen, T.K. In Situ Observations of Black Carbon in Snow and the Corresponding Spectral Surface Albedo Reduction: Black Carbon and Albedo in Snow. J. Geophys. Res. Atmos. 2015, 120, 1476–1489. [Google Scholar] [CrossRef]
- Pinto Neto, O.; Pinto, I.R.C.A.; Pinto Junior, O.; Williams, E.R. Evidence of a Link between Amazon Fires and Lightning. J. Atmos. Sol.-Terr. Phys. 2023, 249, 106095. [Google Scholar] [CrossRef]
- Pope, C.A.; Brook, R.D.; Burnett, R.T.; Dockery, D.W. How is Cardiovascular Disease Mortality Risk Affected by Duration and Intensity of Fine Particulate Matter Exposure? An Integration of the Epidemiologic Evidence. Air Qual. Atmos. Health 2011, 4, 5–14. [Google Scholar] [CrossRef]
- Quesada, C.A.; Lloyd, J.; Schwarz, M.; Baker, T.R.; Phillips, O.L.; Patiño, S.; Czimczik, C.; Hodnett, M.G.; Herrera, R.; Arneth, A.; et al. Regional and Large-Scale Patterns in Amazon Forest Structure and Function are Mediated by Variations in Soil Physical and Chemical Properties. Biogeosciences Discuss. 2009, 6, 3993–4057. [Google Scholar] [CrossRef]
- Rap, A.; Spracklen, D.V.; Mercado, L.; Reddington, C.L.; Haywood, J.M.; Ellis, R.J.; Phillips, O.L.; Artaxo, P.; Bonal, D.; Coupe, N.R.; et al. Fires Increase Amazon Forest Productivity through Increases in Diffuse Radiation. Geophys. Res. Lett. 2015, 42, 4654–4662. [Google Scholar] [CrossRef]
- Weichenthal, S.; Pinault, L.; Christidis, T.; Burnett, R.T.; Brook, J.R.; Chu, Y.; Crouse, D.L.; Erickson, A.C.; Hystad, P.; Li, C.; et al. How Low Can you Go? Air Pollution Affects Mortality at Very Low Levels. Sci. Adv. 2022, 8, eabo3381. [Google Scholar] [CrossRef] [PubMed]
- Zhang, J.; Liu, J.; Tao, S.; Ban-Weiss, G.A. Long-Range Transport of Black Carbon to the Pacific Ocean and Its Dependence on Aging Timescale. Atmos. Chem. Phys. 2015, 15, 11521–11535. [Google Scholar] [CrossRef]
- Lohmann, U.; Friebel, F.; Kanji, Z.A.; Mahrt, F.; Mensah, A.A.; Neubauer, D. Future Warming Exacerbated by Aged-Soot Effect on Cloud Formation. Nat. Geosci. 2020, 13, 674–680. [Google Scholar] [CrossRef]
- Naus, S. Improving Estimates of the Atmospheric Oxidative Capacity and Amazon Fire Emissions. Ph.D. Thesis, Wageningen University, Wageningen, The Netherlands, 2021. [Google Scholar]
- Naus, S.; Domingues, L.G.; Krol, M.; Luijkx, I.T.; Gatti, L.V.; Miller, J.B.; Gloor, E.; Basu, S.; Correia, C.; Koren, G.; et al. Sixteen Years of MOPITT Satellite Data Strongly Constrain Amazon CO Fire Emissions. Atmos. Meas. Tech. 2022, 22, 14735–14750. [Google Scholar] [CrossRef]
- Kaiser, J.W.; Heil, A.; Andreae, M.O.; Benedetti, A.; Chubarova, N.; Jones, L.; Morcrette, J.-J.; Razinger, M.; Schultz, M.G.; Suttie, M.; et al. Biomass Burning Emissions Estimated with a Global Fire Assimilation System Based on Observed Fire Radiative Power. Biogeochemistry 2011, 9, 527–554. [Google Scholar] [CrossRef]
- Deeter, M.N.; Edwards, D.P.; Francis, G.L.; Gille, J.C.; Mao, D.; Martínez-Alonso, S.; Worden, H.M.; Ziskin, D.; Andreae, M.O. Radiance-Based Retrieval Bias Mitigation for the MOPITT Instrument: The Version 8 Product. Atmos. Meas. Tech. 2019, 12, 4561–4580. [Google Scholar] [CrossRef]
- Abatzoglou, J.T.; Williams, A.P.; Barbero, R. Global Emergence of Anthropogenic Climate Change in Fire Weather Indices. Geophys. Res. Lett. 2019, 46, 326–336. [Google Scholar] [CrossRef]
- Ahearn, A. Burning Olympic Rainforest Poses Firefighting Challenge. Or. Public Broadcast. News. 2015. Available online: https://www.opb.org/news/article/burning-rainforest-in-olympic-national-park-poses-firefighting-challenge/ (accessed on 19 July 2015).
- Almeida, C.T.; Oliveira-Júnior, J.F.; Delgado, R.C.; Cubo, P.; Ramos, M.C. Spatiotemporal Rainfall and Temperature Trends Throughout the Brazilian Legal Amazon, 1973–2013. Int. J. Climatol. 2017, 37, 2013–2026. [Google Scholar] [CrossRef]
- Aragão, L.E.O.C.; Shimabukuro, Y.E. The Incidence of Fire in Amazonian Forests with Implications for REDD. Science 2010, 328, 1275–1278. [Google Scholar] [CrossRef]
- Armenteras, D.; Retana, J. Dynamics, Patterns and Causes of Fires in Northwestern Amazonia. PLoS ONE 2012, 7, e35288. [Google Scholar] [CrossRef] [PubMed]
- Baker, T.R.; Phillips, O.L.; Malhi, Y.; Almeida, S.; Arroyo, L.; Fiore, A.D.; Erwin, T.; Killeen, T.J.; Laurance, S.G.; Laurance, W.F.; et al. Variation in Wood Density Determines Spatial Patterns in Amazonian Forest Biomass. Glob. Chang. Biol. 2004, 10, 545–562. [Google Scholar] [CrossRef]
- Balch, J.K.; Nepstad, D.C.; Brando, P.M.; Curran, L.M.; Portela, O.; Carvalho, O.D.; Lefebvre, P. Negative Fire Feedback in a Transitional Forest of Southeastern Amazonia. Glob. Chang. Biol. 2008, 14, 2276–2287. [Google Scholar] [CrossRef]
- Bathiany, S.; Dakos, V.; Scheffer, M.; Lenton, T.M. Climate Models Predict Increasing Temperature Variability in Poor Countries. Sci. Adv. 2018, 4, eaar5809. [Google Scholar] [CrossRef]
- Cammelli, F.; Coudel, E.; De Freitas Navegantes Alves, L. Smallholders’ Perceptions of Fire in the Brazilian Amazon: Exploring Implications for Governance Arrangements. Hum. Ecol. 2019, 47, 601–612. [Google Scholar] [CrossRef]
- Cano-Crespo, A.; Oliveira, P.J.C.; Boit, A.; Cardoso, M.; Thonicke, K. Forest edge Burning in the Brazilian Amazon Promoted by Escaping Fires from Managed Pastures. J. Geophys. Res. Biogeosci. 2015, 120, 2095–2107. [Google Scholar] [CrossRef]
- UN WPP-Adjusted Population Density, v4.11: Gridded Population of the World (GPW), v4: Population Density Adjusted to Match 2015 Revision UN WPP Country Totals, Revision 11 2018; Center for International Earth Science Information Network—CIESIN—Columbia University: New York, NY, USA, 2018. [CrossRef]
- Chini, L.P.; Hurtt, G.; Sahajpal, R.; Frolking, S.; Klein Goldewijk, K.; Sitch, S.; Ganzenmüller, R.; Ma, L.; Ott, L.; Pongratz, J.; et al. Land-Use Harmonization Datasets for Annual Global Carbon Budgets. Earth Syst. Sci. Data 2021, 13, 4175–4189. [Google Scholar] [CrossRef]
- Cochrane, M.A. Fire Science for Rainforests. Nature 2003, 421, 913–919. [Google Scholar] [CrossRef] [PubMed]
- Cohen, J.D.; Deeming, J.E. The National Fire Danger Rating System: Basic Equations; USDA USFS Pacific Southwest Research Station: Berkeley, CA, USA, 1985; p. 16. [Google Scholar]
- Cumming, S.G. A Parametric Model of the Fire-Size Distribution. Can. J. For. Res. 2001, 31, 1297–1303. [Google Scholar] [CrossRef]
- Dahlin, K.M.; Ponte, D.D.; Setlock, E.; Nagelkirk, R. Global Patterns of Drought Deciduous Phenology in Semi-Arid and Savanna-Type Ecosystems. Ecography 2017, 40, 314–323. [Google Scholar] [CrossRef]
- Di Giuseppe, F.; Vitolo, C.; Krzeminski, B.; Barnard, C.; Maciel, P.; San-Miguel, J. Fire Weather Index: The Skill Provided by the European Centre for Medium-Range Weather Forecasts Ensemble Prediction System. Nat. Hazards Earth Syst. Sci. 2020, 20, 2365–2378. [Google Scholar] [CrossRef]
- Earth Resources Observation and Science (EROS) Center Shuttle Radar Topography Mission (SRTM) 1 Arc-Second Global. 2017. Available online: https://www.usgs.gov/centers/eros/science/usgs-eros-archive-digital-elevation-shuttle-radar-topography-mission-srtm-1?qt-science_center_objects=0#qt-science_center_objects (accessed on 23 December 2021).
- Filho, G.C.K.; Bufacchi, P.; Santos, J.C.; Veras, C.A.G.; Alvarado, E.C.; Mell, W.; Carvalho, J.A. Probability of Surface Fire Spread in Brazilian Rainforest Fuels from Outdoor Experimental Measurements. Eur. J. For. Res. 2017, 136, 217–232. [Google Scholar] [CrossRef]
- Forestry Canada Fire Danger Group. Development and Structure of the Canadian Forest Fire Behavior Prediction System; Forestry Canada Science and Sustainable Development Directorate: Ottawa, ON, Canada, 1992. [Google Scholar]
- Gualtieri, G. Reliability of ERA5 Reanalysis Data for Wind Resource Assessment: A Comparison against Tall Towers. Energies 2021, 14, 4169. [Google Scholar] [CrossRef]
- Guedes, B.J.; Massi, K.G.; Evers, C.; Nielsen-Pincus, M. Vulnerability of Small Forest Patches to Fire in the Paraiba Do Sul River Valley, Southeast Brazil: Implications for Restoration of the Atlantic Forest Biome. For. Ecol. Manag. 2020, 465, 118095. [Google Scholar] [CrossRef]
- Hasan, A.F.; Laurent, F.; Messner, F.; Bourgoin, C.; Blanc, L. Cumulative Disturbances to Assess Forest Degradation Using Spectral Unmixing in the Northeastern Amazon. Appl. Veg. Sci. 2019, 22, 394–408. [Google Scholar] [CrossRef]
- Hastie, T.; Tibshirani, R.; Friedman, J.H. The Elements of Statistical Learning: Data Mining, Inference, and Prediction, 2nd ed.; Springer: New York, NY, USA, 2009; ISBN 978-0-387-84857-0. [Google Scholar]
- Hersbach, H.; Muñoz Sabater, J.; Nicolas, J.; Rozum, I.; Simmons, A.; Vamborg, F.; Bell, B.; Berrisford, P.; Biavati, M.; Buontempo, C.; et al. Essential Climate Variables for Assessment of Climate Variability from 1979 to Present. 2018. Available online: https://cds.climate.copernicus.eu/datasets/ecv-for-climate-change?tab=overview (accessed on 6 December 2019).
- Hu, T.; Su, Y.; Xue, B.; Liu, J.; Zhao, X.; Fang, J.; Guo, Q. Mapping Global Forest Aboveground Biomass with Spaceborne LiDAR, Optical Imagery, and Forest Inventory Data. Remote Sens. 2016, 8, 565. [Google Scholar] [CrossRef]
- Judd, C.M.; McClelland, G.H.; Ryan, C.S. Data Analysis: A Model Comparison Approach to Regression, ANOVA, and Beyond, 3rd ed.; Routledge, Taylor & Francis Group: New York, NY, USA, 2017; ISBN 978-1-138-81982-5. [Google Scholar]
- Kelley, D.I.; Bistinas, I.; Whitley, R.; Burton, C.; Marthews, T.R.; Dong, N. How Contemporary Bioclimatic and Human Controls Change Global Fire Regimes. Nat. Clim. Chang. 2019, 9, 690–696. [Google Scholar] [CrossRef]
- Klein Goldewijk, K.; Beusen, A.; Doelman, J.; Stehfest, E. Anthropogenic Land Use Estimates for the Holocene—HYDE 3.2. Earth Syst. Sci. Data 2017, 9, 927–953. [Google Scholar] [CrossRef]
- Matricardi, E.A.T.; Skole, D.L.; Costa, O.B.; Pedlowski, M.A.; Samek, J.H.; Miguel, E.P. Long-Term Forest Degradation Surpasses Deforestation in the Brazilian Amazon. Science 2020, 369, 1378–1382. [Google Scholar] [CrossRef]
- Muñoz Sabater, J. ERA5-Land Hourly Data from 2001 to Present, Copernicus Climate Change Service. 2019. Available online: https://cds.climate.copernicus.eu/datasets/reanalysis-era5-land?tab=overview (accessed on 14 December 2021).
- Negrón-Juárez, R.; Jenkins, H.; Raupp, C.; Riley, W.; Kueppers, L.; Magnabosco Marra, D.; Ribeiro, G.; Monteiro, M.; Candido, L.; Chambers, J.; et al. Windthrow Variability in Central Amazonia. Atmosphere 2017, 8, 28. [Google Scholar] [CrossRef]
- Pivello, V.R. The Use of Fire in the Cerrado and Amazonian Rainforests of Brazil: Past and Present. Fire Ecol. 2011, 7, 24–39. [Google Scholar] [CrossRef]
- Randerson, J.T.; van der Werf, G.R.; Giglio, L.; Collatz, G.J.; Kasibhatla, P.S. Global Fire Emissions Database, Version 4.1 (GFEDv4); ORNL Distributed Active Archive Center: Oak Ridge, TN, USA, 2017. [Google Scholar] [CrossRef]
- Santana, R.A.; Dias-Júnior, C.Q.; da Silva, J.T.; Fuentes, J.D.; do Vale, R.S.; Alves, E.G.; dos Santos, R.M.N.; Manzi, A.O. Air turbulence Characteristics at Multiple Sites in and above the Amazon Rainforest Canopy. Agric. For. Meteorol. 2018, 260–261, 41–54. [Google Scholar] [CrossRef]
- Schoenberg, F.P.; Peng, R.; Woods, J. On the Distribution of Wildfire Sizes. Environmetrics 2003, 14, 583–592. [Google Scholar] [CrossRef]
- Vitolo, C.; Di Giuseppe, F.; D’Andrea, M. Caliver: An R Package for CALIbration and VERification of Forest Fire Gridded Model Outputs. PLoS ONE 2018, 13, e0189419. [Google Scholar] [CrossRef] [PubMed]
- Vitolo, C.; Di Giuseppe, F.; Krzeminski, B.; San-Miguel-Ayanz, J. A 1980–2018 Global Fire Danger Re-Analysis Dataset for the Canadian Fire Weather Indices. Sci. Data 2019, 6, 190032. [Google Scholar] [CrossRef] [PubMed]
- Westerling, A.L.; Swetnam, T.W. Interannual to Decadal Drought and Wildfire in the Western United States. Eos Trans. Am. Geophys. Union 2003, 84, 545–560. [Google Scholar] [CrossRef]
- Cucchi, M.; Weedon, G.P.; Amici, A.; Bellouin, N.; Lange, S.; Müller Schmied, H.; Hersbach, H.; Cagnazzo, C.; Buontempo, C. Near Surface Meteorological Variables from 1979 to 2018 Derived from Bias-Corrected Reanalysis, Version 2.1. 2020. Available online: https://cds.climate.copernicus.eu/datasets/derived-near-surface-meteorological-variables?tab=overview (accessed on 14 December 2021).
- Chini, L.P.; Hurtt, G.C.; Sahajpal, R.; Frolking, S.; Klein Goldewijk, K.; Sitch, S.; Pongratz, J.; Poulter, B.; Ma, L.; Ott, L. Vegetation Collection LUH2-GCB2019: Land-Use Harmonization 2 Update for the Global Carbon Budget, 850-2019; ORNL DAAC: Oak Ridge, TN, USA, 2021. [Google Scholar] [CrossRef]
- Li, F.; Levis, S.; Ward, D.S. Quantifying the Role of Fire in the Earth system—Part 1: Improved Global Fire Modeling in the Community Earth System Model (CESM1). Biogeosciences 2013, 10, 2293–2314. [Google Scholar] [CrossRef]
- Washington, R.; James, R.; Pearce, H.; Pokam, W.M.; Moufouma-Okia, W. Congo Basin Rainfall Climatology: Can we Believe the Climate Models? Philos. Trans. R. Soc. B Biol. Sci. 2013, 368, 20120296. [Google Scholar] [CrossRef] [PubMed]
- Bush, E.R.; Jeffery, K.; Bunnefeld, N.; Tutin, C.; Musgrave, R.; Moussavou, G.; Mihindou, V.; Malhi, Y.; Lehmann, D.; Edzang Ndong, J.; et al. Rare Ground Data Confirm Significant Warming and Drying in Western Equatorial Africa. PeerJ 2020, 8, e8732. [Google Scholar] [CrossRef]
- Graham, L.L.B.; Applegate, G.B.; Thomas, A.; Ryan, K.C.; Saharjo, B.H.; Cochrane, M.A. A Field Study of Tropical Peat Fire Behaviour and Associated Carbon Emissions. Fire 2022, 5, 62. [Google Scholar] [CrossRef]
- Brennan, J.; Gómez-Dans, J.L.; Disney, M.; Lewis, P. Theoretical Uncertainties for Global Satellite-Derived Burned Area Estimates. Biogeosciences 2019, 16, 3147–3164. [Google Scholar] [CrossRef]
- Withey, K.; Berenguer, E.; Palmeira, A.F.; Espírito-Santo, F.D.B.; Lennox, G.D.; Silva, C.V.J.; Aragão, L.E.O.C.; Ferreira, J.; França, F.; Malhi, Y.; et al. Quantifying Immediate Carbon Emissions from El Niño-Mediated Wildfires in Humid Tropical Forests. Phil. Trans. R. Soc. B 2018, 373, 20170312. [Google Scholar] [CrossRef]
- Olson, D.M.; Dinerstein, E.; Wikramanayake, E.D.; Burgess, N.D.; Powell, G.V.N.; Underwood, E.C.; D’amico, J.A.; Itoua, I.; Strand, H.E.; Morrison, J.C.; et al. Terrestrial Ecoregions of the World: A New Map of Life on Earth. BioScience 2001, 51, 933. [Google Scholar] [CrossRef]
- Zeileis, A.; Lumley, T.; Graham, N.; Koell, S. Package “Sandwich”: Robust Covariance Matrix Estimators. J. Stat. Softw. 2023, 95, 1–36. [Google Scholar]
- Schlobohm, P.; Brain, J. Gaining an Understanding of the National Fire Danger Rating System; National Wildfire Coordinating Group, Fire Danger Working Team: Boise, ID, USA, 2002; p. 71. [Google Scholar]
- Berk, R.A. An Introduction to Sample Selection Bias in Sociological Data. Am. Sociol. Rev. 1983, 48, 386. [Google Scholar] [CrossRef]
- Hansen, B.E. Probability & Statistics for Economists; Princeton University Press: Oxford, UK, 2022; ISBN 978-0-691-23594-3. [Google Scholar]
- Ammann, C.M.; Genton, M.G.; Li, B. Technical Note: Correcting for Signal Attenuation from Noisy Proxy Data in Climate Reconstructions. Clim. Past 2010, 6, 273–279. [Google Scholar] [CrossRef]
- Forkel, M.; Andela, N.; Harrison, S.P.; Lasslop, G.; Van Marle, M.; Chuvieco, E.; Dorigo, W.; Forrest, M.; Hantson, S.; Heil, A.; et al. Emergent Relationships with Respect to Burned Area in Global Satellite Observations and Fire-Enabled Vegetation Models. Biogeosciences 2019, 16, 57–76. [Google Scholar] [CrossRef]
- Gelman, A. Bayesian Data Analysis, 3rd ed.; CRC Press: Boca Raton, FL, USA, 2014; ISBN 978-1-4398-4095-5. [Google Scholar]
- Gustavsson, S.; Fagerberg, B.; Sallsten, G.; Andersson, E.M. Regression Models for Log-Normal Data: Comparing Different Methods for Quantifying the Association between Abdominal Adiposity and Biomarkers of Inflammation and Insulin Resistance. Int. J. Environ. Res. Public Health 2014, 11, 3521–3539. [Google Scholar] [CrossRef] [PubMed]
- Hausman, J. Mismeasured Variables in Econometric Analysis: Problems from the Right and Problems from the Left. J. Econ. Perspect. 2001, 15, 57–67. [Google Scholar] [CrossRef]
- Hilker, T.; Galvão, L.S.; Aragão, L.E.O.C.; de Moura, Y.M.; do Amaral, C.H.; Lyapustin, A.I.; Wu, J.; Albert, L.P.; Ferreira, M.J.; Anderson, L.O.; et al. Vegetation Chlorophyll Estimates in the Amazon from Multi-Angle MODIS Observations and Canopy Reflectance Model. Int. J. Appl. Earth Obs. Geoinf. 2017, 58, 278–287. [Google Scholar] [CrossRef]
- Kangas, A. On the Bias and Variance in Tree Volume Predictions Due to Model and Measurement Errors. Scand. J. For. Res. 1996, 11, 281–290. [Google Scholar] [CrossRef]
- More, S. Identifying and Overcoming Transformation Bias in Forecasting Models. arXiv 2022, arXiv:2208.12264. [Google Scholar]
- Pereira, J.M.C.; Pereira, B.S.; Barbosa, P.; Stroppiana, D.; Vasconcelos, M.J.P.; Grégoire, J.-M. Satellite Monitoring of Fire in the EXPRESSO Study Area during the 1996 Dry Season Experiment: Active Fires, Burnt Area, and Atmospheric Emissions. J. Geophys. Res. Atmos. 1999, 104, 30701–30712. [Google Scholar] [CrossRef]
- Pool, S.; Vis, M.; Seibert, J. Evaluating Model Performance: Towards a Non-Parametric Variant of the Kling-Gupta Efficiency. Hydrol. Sci. J. 2018, 63, 1941–1953. [Google Scholar] [CrossRef]
- Schroeder, W.; Morisette, J.T.; Csiszar, I.; Giglio, L.; Morton, D.; Justice, C.O. Characterizing Vegetation Fire Dynamics in Brazil through Multisatellite Data: Common Trends and Practical Issues. Earth Interact. 2005, 9, 1–26. [Google Scholar] [CrossRef]
- Shoari, N.; Dubé, J.-S. Toward Improved Analysis of Concentration Data: Embracing Nondetects: Considering Nondetects in Concentration Data Analysis. Env. Toxicol. Chem. 2018, 37, 643–656. [Google Scholar] [CrossRef] [PubMed]
- Zeileis, A.; Hothorn, T. Diagnostic Checking in Regression Relationships. R. News 2002, 2, 7–10. [Google Scholar]
- Hyndman, R.J.; Athanasopoulos, G. Forecasting: Principles and Practice, 3rd ed.; OTexts: Melbourne, Australia, 2021. [Google Scholar]
- Beauchamp, J.J.; Olson, J.S. Corrections for Bias in Regression Estimates After Logarithmic Transformation. Ecology 1973, 54, 1403–1407. [Google Scholar] [CrossRef]
- Duan, N. Smearing Estimate: A Nonparametric Retransformation Method. J. Am. Stat. Assoc. 1983, 78, 605–610. [Google Scholar] [CrossRef]
- Newman, M.C. Regression Analysis of Log-Transformed Data: Statistical Bias and its Correction. Environ. Toxicol. Chem. 1993, 12, 1129–1133. [Google Scholar] [CrossRef]
- Sprugel, D.G. Correcting for Bias in Log-Transformed Allometric Equations. Ecology 1983, 64, 209–210. [Google Scholar] [CrossRef]
- Melton, J.R.; Arora, V.K. Competition between Plant Functional Types in the Canadian Terrestrial Ecosystem Model (CTEM) v. 2.0. Geosci. Model. Dev. 2016, 9, 323–361. [Google Scholar] [CrossRef]
- Marengo, J.A.; Tomasella, J.; Alves, L.M.; Soares, W.R.; Rodriguez, D.A. The Drought of 2010 in the Context of Historical Droughts in the Amazon Region. Geophys. Res. Lett. 2011, 38, 1–5. [Google Scholar] [CrossRef]
- Fu, R.; Yin, L.; Li, W.; Arias, P.A.; Dickinson, R.E.; Huang, L.; Chakraborty, S.; Fernandes, K.; Liebmann, B.; Fisher, R.; et al. Increased Dry-Season Length over Southern Amazonia in Recent Decades and Its Implication for Future Climate Projection. Proc. Natl. Acad. Sci. USA 2013, 110, 18110–18115. [Google Scholar] [CrossRef]
- Song, F.; Leung, L.R.; Lu, J.; Zhou, T.; Huang, P. Advances in Understanding the Changes of Tropical Rainfall Annual Cycle: A Review. Environ. Res. Clim. 2023, 2, 042001. [Google Scholar] [CrossRef]
- Gupta, H.V.; Kling, H.; Yilmaz, K.K.; Martinez, G.F. Decomposition of the Mean Squared Error and NSE Performance Criteria: Implications for Improving Hydrological Modelling. J. Hydrol. 2009, 377, 80–91. [Google Scholar] [CrossRef]
- Vogel, R.M. Stochastic and Deterministic World Views. J. Water Resour. Plan. Manag. 1999, 125, 311–313. [Google Scholar] [CrossRef]
- Rao, S.; Klimont, Z.; Smith, S.J.; Van Dingenen, R.; Dentener, F.; Bouwman, L.; Riahi, K.; Amann, M.; Bodirsky, B.L.; van Vuuren, D.P.; et al. Future Air Pollution in the Shared Socio-Economic Pathways. Glob. Environ. Chang. 2017, 42, 346–358. [Google Scholar] [CrossRef]
- DeRepentigny, P.; Jahn, A.; Holland, M.M.; Kay, J.E.; Fasullo, J.; Lamarque, J.-F.; Tilmes, S.; Hannay, C.; Mills, M.J.; Bailey, D.A.; et al. Enhanced Simulated Early 21st Century Arctic Sea Ice Loss Due to CMIP6 Biomass Burning Emissions. Sci. Adv. 2022, 8, eabo2405. [Google Scholar] [CrossRef]
- Davidson, E.A.; de Araújo, A.C.; Artaxo, P.; Balch, J.K.; Brown, I.F.; Bustamante, M.M.C.; Coe, M.T.; DeFries, R.S.; Keller, M.; Longo, M.; et al. The Amazon Basin in Transition. Nature 2012, 481, 321–328. [Google Scholar] [CrossRef]
- Barbero, R.; Abatzoglou, J.T.; Steel, E.A.; K Larkin, N. Modeling Very Large-Fire Occurrences over the Continental United States from Weather and Climate Forcing. Environ. Res. Lett. 2014, 9, 124009. [Google Scholar] [CrossRef]
- Williams, A.P.; Abatzoglou, J.T. Recent Advances and Remaining Uncertainties in Resolving Past and Future Climate Effects on Global Fire Activity. Curr. Clim. Chang. Rep. 2016, 2, 1–14. [Google Scholar] [CrossRef]
- Velthoen, J.; Dombry, C.; Cai, J.-J.; Engelke, S. Gradient Boosting for Extreme Quantile Regression. Extremes 2023, 26, 639–667. [Google Scholar] [CrossRef]
- Brasika, I.B.M. The Role of El Nino Variability and Peatland in Burnt Area and Emitted Carbon in Forest Fire Modeling. For. Soc. 2022, 6, 84–103. [Google Scholar] [CrossRef]
- Burton, C.; Lampe, S.; Kelley, D.I.; Thiery, W.; Hantson, S.; Christidis, N.; Gudmundsson, L.; Forrest, M.; Burke, E.; Chang, J.; et al. Global Burned Area Increasingly Explained by Climate Change. Nat. Clim. Chang. 2024, 14, 1186–1192. [Google Scholar] [CrossRef]
- Christian, T.J.; Yokelson, R.J.; Carvalho, J.A.; Griffith, D.W.T.; Alvarado, E.C.; Santos, J.C.; Neto, T.G.S.; Veras, C.A.G.; Hao, W.M. The Tropical Forest and Fire Emissions Experiment: Trace Gases Emitted by Smoldering Logs and Dung from Deforestation and Pasture Fires in Brazil. J. Geophys. Res. 2007, 112, D18308. [Google Scholar] [CrossRef]
- Silva, C.V.J.; Aragão, L.E.O.C.; Young, P.J.; Espirito-Santo, F.; Berenguer, E.; Anderson, L.O.; Brasil, I.; Pontes-Lopes, A.; Ferreira, J.; Withey, K.; et al. Estimating the Multi-Decadal Carbon Deficit of Burned Amazonian Forests. Environ. Res. Lett. 2020, 15, 114023. [Google Scholar] [CrossRef]
- van der Werf, G.R.; Randerson, J.T.; Giglio, L.; Collatz, G.J.; Mu, M.; Kasibhatla, P.S.; Morton, D.C.; DeFries, R.S.; Jin, Y.; van Leeuwen, T.T. Global Fire Emissions and the Contribution of Deforestation, Savanna, Forest, Agricultural, and Peat Fires (1997–2009). Atmos. Chem. Phys. 2010, 10, 11707–11735. [Google Scholar] [CrossRef]
- Hantson, S.; Rabin, S.S.; Kelley, D.I.; Arneth, A.; Harrison, S.P.; Archibald, S.; Bachelet, D.; Forrest, M.; Hickler, T.; Kloster, S.; et al. Model Outputs: Quantitative Assessment of Fire and Vegetation Properties in Historical Simulations with Fire-Enabled Vegetation Models from the Fire Model Intercomparison Project. Geosci. Model. Dev. 2019, 13, 3299–3318. [Google Scholar] [CrossRef]
- Li, F.; Rabin, S.S.; Val Martin, M.; Hantson, S.; Andreae, M.O.; Arneth, A.; Lasslop, G.; Yue, C.; Bachelet, D.; Forrest, M.; et al. Model Outputs: Historical (1700–2012) Global Multi-model Estimates of the Fire Emissions from the Fire Modeling Intercomparison Project (FireMIP). Atmos. Chem. Phys. 2019, 19, 12545–12567. [Google Scholar] [CrossRef]
- van Marle, M.; Field, R.D.; Werf, G.R.; van der Wagt, I.A.E.; Houghton, R.A.; Rizzo, L.V.; Artaxo, P.; Tsigaridis, K. Fire and Deforestation Dynamics in Amazonia (1973–2014). Glob. Biogeochem. Cycles 2017, 31, 24–38. [Google Scholar] [CrossRef]
- Masson-Delmotte, V.; Zhai, P.; Pirani, A.; Connors, S.L.; Péan, C. Climate Change 2021: The Physical Science Basis, Working Group I Contribution to the Sixth Assessment Report of the Intergovernmental Panel on Climate Change; IPCC: Geneva, Switzerland, 2021; p. 2391. [Google Scholar]
- Teixeira, J.C.; Folberth, G.A.; O’Connor, F.M.; Unger, N.; Voulgarakis, A. Coupling Interactive Fire with Atmospheric Composition and Climate in the UK Earth System Model. Geosci. Model. Dev. 2021, 14, 6515–6539. [Google Scholar] [CrossRef]
- Smith, C.J.; Harris, G.R.; Palmer, M.D.; Bellouin, N.; Collins, W.; Myhre, G.; Schulz, M.; Golaz, J.-C.; Ringer, M.; Storelvmo, T.; et al. Energy Budget Constraints on the Time History of Aerosol Forcing and Climate Sensitivity. JGR Atmos. 2021, 126, e2020JD033622. [Google Scholar] [CrossRef]
- Brando, P.M.; Soares-Filho, B.; Rodrigues, L.; Assunção, A.; Morton, D.; Tuchschneider, D.; Fernandes, E.C.M.; Macedo, M.N.; Oliveira, U.; Coe, M.T. The Gathering Firestorm in Southern Amazonia. Sci. Adv. 2020, 6, eaay1632. [Google Scholar] [CrossRef] [PubMed]
- Hobbs, N.T.; Hooten, M.B. Bayesian Models: A Statistical Primer for Ecologists; Princeton University Press: Princeton, NJ, USA, 2015; ISBN 978-0-691-15928-7. [Google Scholar]
- Soares-Filho, B.; Silvestrini, R.; Nepstad, D.; Brando, P.; Rodrigues, H.; Alencar, A.; Coe, M.; Locks, C.; Lima, L.; Hissa, L.; et al. Forest Fragmentation, Climate Change and Understory Fire Regimes on the Amazonian Landscapes of the Xingu Headwaters. Landsc. Ecol. 2012, 27, 585–598. [Google Scholar] [CrossRef]
- Nepstad, D.C.; Carvalho, G.; Barros, A.C.; Alencar, A.; Capobianco, J.P.; Bishop, J.; Moutinho, P.; Lefebvre, P.; Silva , U.L., Jr.; Prins, E. Road Paving, Fire Regime Feedbacks, and the Future of Amazon forests. For. Ecol. Manag. 2001, 395–407. [Google Scholar] [CrossRef]
- dos Reis, M.; de Alencastro Graça, P.M.L.; Yanai, A.M.; Ramos, C.J.P.; Fearnside, P.M. Forest Fires and Deforestation in the Central Amazon: Effects of Landscape and Climate on Spatial and Temporal Dynamics. J. Environ. Manag. 2021, 288, 112310. [Google Scholar] [CrossRef] [PubMed]
- Rosan, T.M.; Klein Goldewijk, K.; Ganzenmüller, R.; O’Sullivan, M.; Pongratz, J.; Mercado, L.M.; Aragao, L.E.O.e.C.; Heinrich, V.; Von Randow, C.; Wiltshire, A.; et al. A Multi-Data Assessment of Land Use and Land Cover Emissions from Brazil During 2000–2019. Environ. Res. Lett. 2021, 16, 074004. [Google Scholar] [CrossRef]
- Barni, P.E.; Rego, A.C.M.; Silva, F.D.C.F.; Lopes, R.A.S.; Xaud, H.A.M.; Xaud, M.R.; Barbosa, R.I.; Fearnside, P.M. Logging Amazon Forest Increased the Severity and Spread of Fires during the 2015–2016 El Niño. For. Ecol. Manag. 2021, 500, 119652. [Google Scholar] [CrossRef]
- Fernandes, K.; Baethgen, W.; Bernardes, S.; DeFries, R.; DeWitt, D.G.; Goddard, L.; Lavado, W.; Lee, D.E.; Padoch, C.; Pinedo-Vasquez, M.; et al. North Tropical Atlantic Influence on Western Amazon Fire Season Variability. Geophys. Res. Lett. 2011, 38. [Google Scholar] [CrossRef]
- Yang, S.; Li, Z.; Yu, J.-Y.; Hu, X.; Dong, W.; He, S. El Niño–Southern Oscillation and its Impact in the Changing Climate. Natl. Sci. Rev. 2018, 5, 840–857. [Google Scholar] [CrossRef]
- Bar Massada, A.; Syphard, A.D.; Hawbaker, T.J.; Stewart, S.I.; Radeloff, V.C. Effects of Ignition Location Models on the Burn Patterns of Simulated Wildfires. Environ. Model. Softw. 2011, 26, 583–592. [Google Scholar] [CrossRef]
- Fosberg, M.A.; Deeming, J.E. Timelag Fuel Moisture Calculations for Fire-Danger Rating; USDA Forest Service: Fort Collins, CO, USA, 1971; pp. 1–8. [Google Scholar]
- van Wagner, C.E.; Pickett, T.L. Equations and FORTRAN Program for the Canadian Forest Fire Weather Index System; Forestry Technical Report; Canadian Forestry Service: Petawawa National Forestry Institute: Deep River, ON, Canada, 1985; pp. 1–18. [Google Scholar]
- Sharples, J.J.; Reddy, P.J.; Resco De Dios, V.; Nolan, R.H.; Boer, M.M.; Bradstock, R.A. Evaluation and Comparison of Simple Empirical Models for Dead Fuel Moisture Content. Int. J. Wildland Fire 2024, 33, WF23120. [Google Scholar] [CrossRef]
- Jennings, J.; Kim, J.M.; Lee, J.; Taylor, D. Measurement Error, Fixed Effects, and False Positives in Accounting Research. Rev. Account. Stud. 2024, 29, 959–995. [Google Scholar] [CrossRef]
- Hansen, M.C.; Potapov, P.V.; Moore, R.; Hancher, M.; Turubanova, S.A.; Tyukavina, A.; Thau, D.; Stehman, S.V.; Goetz, S.J.; Loveland, T.R.; et al. High-Resolution Global Maps of 21st-Century Forest Cover Change. Science 2013, 342, 850–853. [Google Scholar] [CrossRef] [PubMed]
- Tan, J.; Jakob, C.; Rossow, W.B.; Tselioudis, G. Increases in Tropical Rainfall Driven by Changes in Frequency of Organized Deep Convection. Nature 2015, 519, 451–454. [Google Scholar] [CrossRef] [PubMed]





Disclaimer/Publisher’s Note: The statements, opinions and data contained in all publications are solely those of the individual author(s) and contributor(s) and not of MDPI and/or the editor(s). MDPI and/or the editor(s) disclaim responsibility for any injury to people or property resulting from any ideas, methods, instructions or products referred to in the content. |
© 2024 by the authors. Licensee MDPI, Basel, Switzerland. This article is an open access article distributed under the terms and conditions of the Creative Commons Attribution (CC BY) license (https://creativecommons.org/licenses/by/4.0/).
Share and Cite
Gallup, S.M.; Ford, B.; Naus, S.; Gallup, J.L.; Pierce, J.R. Equations to Predict Carbon Monoxide Emissions from Amazon Rainforest Fires. Fire 2024, 7, 477. https://doi.org/10.3390/fire7120477
Gallup SM, Ford B, Naus S, Gallup JL, Pierce JR. Equations to Predict Carbon Monoxide Emissions from Amazon Rainforest Fires. Fire. 2024; 7(12):477. https://doi.org/10.3390/fire7120477
Chicago/Turabian StyleGallup, Sarah M., Bonne Ford, Stijn Naus, John L. Gallup, and Jeffrey R. Pierce. 2024. "Equations to Predict Carbon Monoxide Emissions from Amazon Rainforest Fires" Fire 7, no. 12: 477. https://doi.org/10.3390/fire7120477
APA StyleGallup, S. M., Ford, B., Naus, S., Gallup, J. L., & Pierce, J. R. (2024). Equations to Predict Carbon Monoxide Emissions from Amazon Rainforest Fires. Fire, 7(12), 477. https://doi.org/10.3390/fire7120477

