Temperature Distribution Curve Analysis on Concrete through LS-DYNA
Abstract
:1. Introduction
Fire Curves Used for This Study
2. Experimental Materials and Methods
2.1. Materials and Mix Proportion
2.2. Experimental Method
2.3. Simulation Methods
3. Results
3.1. Experiment and Simulation
3.2. Simulation Results from Different Fire Curves
3.3. Simulation Results from Concrete and Fireproof Board
3.4. Thermal Conductivity of Concrete
3.5. Thermal Conductivity of Calcium Silicate Fireproof Board
4. Discussion
5. Conclusions
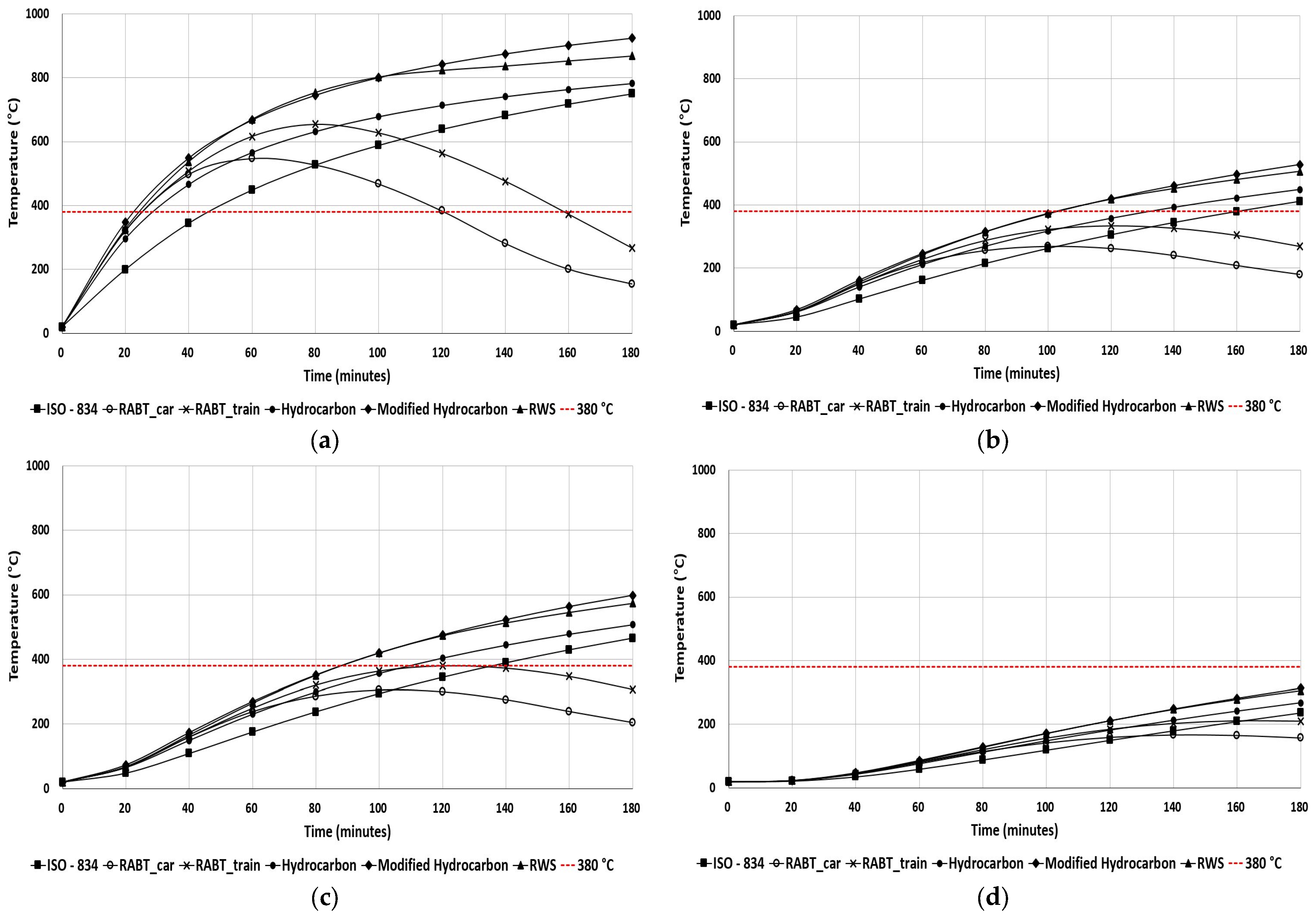
- In experimental and simulation results, the concrete blocks prepared by mixing materials exceeded the ITA’s temperature limit up to a depth of 40 mm. When a fire occurred, in all cases, temperatures at a depth of 20 mm surpassed the permissible ITA limit of 380 °C. However, it is worth noting that except for the RABT_car case, temperatures at a depth of 40 mm exceeded the ITA’s permissible limit of 380 °C during the fire incidents.
- Among international fire curves studied through simulation at a concrete depth of 20 mm, the temperature is over 380 °C, which exceeds the ITA’s permissible limit except for RABT_car and RABT_train.
- During the ISO-843 fire curve with a fireproof board, the temperature at a depth of 20 mm at 160 min is 379 °C, whereas, without a fireproof board at 46 min, the temperature at 20 mm is 379 °C. It was concluded that using a fireproof board increases the time to cross the ITA’s structure temperature limit.
- In the simulation of international fire curves, the modified hydrocarbon exhibited elevated temperature at various depths within the concrete. Interestingly, when subjected to fire, the modified hydrocarbon and RWS displayed a comparable temperature increase at different depths. However, it is worth noting that the RABT_car and RABT_train fire curves tended to decrease the temperature after 63 and 78 min, respectively, specifically at a concrete depth of 20 mm. This temperature decrease is attributed to the inherent characteristics of the fire curve. In contrast, the temperature at other depths continued to rise steadily.
- For concrete and fireproof boards, the selection of low-conductivity materials is directly proportional to the low thermal effect on tunnel lining due to fire accidents. Numerical simulation results confirmed that reducing the conductivity of the fireproof board led to a decrease in the fire’s effect on the concrete. This study confirms that selecting a 24 mm thick fireproof board with a conductivity of less than 0.12 J/ms·°C was suitable for reducing the negative temperature effect on concrete.
Author Contributions
Funding
Institutional Review Board Statement
Informed Consent Statement
Data Availability Statement
Conflicts of Interest
References
- Yoshitake, I.; Baba, K.; Ito, T.; Nakagawa, K. Behavior of Fiber Reinforced Concrete Under Fire. HPFRCC Workshop Honol. 2005, 3, 1–6. [Google Scholar]
- Sakkas, K.; Vagiokas, N.; Tsiamouras, K.; Mandalozis, D.; Benardos, A.; Nomikos, P. In-Situ Fire Test to Assess Tunnel Lining Fire Resistance. Tunn. Undergr. Space Technol. 2019, 85, 368–374. [Google Scholar] [CrossRef]
- Geography of Korea—Wikipedia. Available online: https://en.wikipedia.org/wiki/Geography_of_Korea (accessed on 11 April 2023).
- Road Bridge and Tunnel Status Information System. Available online: https://bti.kict.re.kr/bti/publicMain/main.do (accessed on 5 October 2023).
- Choi, S.; Kim, G.; Jang, T.; Oli, T.; Kim, S.; Park, C. Tensile Behavior Analysis of Rebar Exposure to High Temperature for Tunnel Fire Damage Diagnosis Method. In Proceedings of the Annual Korean Socity of Road Engineers Conference, Jeju, Republic of Korea, 4–7 October 2022; p. 99. [Google Scholar]
- Won, J.-P.; Choi, M.; Jang, C.-I.; Lee, S. Applied Time-Temperature Curve for Safety Evaluation in the Road Tunnel by Fire. KSCE J. Civ. Environ. Eng. Res. 2009, 29, 551–555. [Google Scholar]
- Kim, H.J.; Kim, H.Y.; Lee, J.S.; Kwan, K.H. An Experimental Study on Thermal Damage and Spalling of Concrete under Loading Conditions in a Tunnel Fire. J. Asian Archit. Build. Eng. 2011, 10, 375–382. [Google Scholar] [CrossRef]
- Fletcher, I.A.; Welch, S.; Torero, J.L.; Carvel, R.O.; Usmani, A. Behaviour of Concrete Structures in Fire. Therm. Sci. 2007, 11, 37–52. [Google Scholar] [CrossRef]
- Kim, S.; Oli, T.; Park, C. Effect of Exposure to High Temperature on the Mechanical Properties of SIFRCCs. Appl. Sci. 2020, 6, 2142. [Google Scholar] [CrossRef]
- Sanket, R.; Aniruddha, T.; Bahurudeen, A.; Appari, S. Performance of Concrete During Fire Exposure-A Review. Int. J. Eng. Res. Technol. 2015, 4, 1–8. [Google Scholar]
- Khoury, G.A. Effect of Fire on Concrete and Concrete Structures. Prog. Struct. Eng. Mater. 2000, 2, 429–447. [Google Scholar] [CrossRef]
- Helene, P.; Britez, C.; Carvalho, M. Fire Impacts on Concrete Structures. A Brief Review. Rev. Alconpat 2019, 10, 1–21. [Google Scholar] [CrossRef]
- Bilodeau, A.; Kodur, V.K.R.; Hoff, G.C. Optimization of the Type and amount of Polypropylene Fibres for Preventing the Spalling of Lightweight Concrete Subjected to Hydrocarbon Fire. Cem. Concr. Compos. 2004, 26, 163–174. [Google Scholar] [CrossRef]
- Do, C.T.; Bentz, D.P.; Stutzman, P.E. Microstructure and Thermal Conductivity of Hydrated Calcium Silicate Board Materials. J. Build. Phys. 2007, 31, 55–67. [Google Scholar] [CrossRef]
- Li, J.; Cao, P.; Jiang, S.; Zhang, D. Fire Resistance Test and Numerical Simulation on the Tube Structure of Steel–Concrete–Steel Immersed Tube Tunnel. Buildings 2023, 13, 33. [Google Scholar] [CrossRef]
- Hu, X.; Jiang, S.; Zhang, D.; Wang, J. Experimental Study on Fireproof Board Insulation Technique for Steel-Concrete-Steel Immersed Tunnel. Case Stud. Therm. Eng. 2023, 49, 103266. [Google Scholar] [CrossRef]
- Laím, L.; Rodrigues, J.P.C. Fire Protection of Reinforced-Concrete Tunnel Linings with Expanded-Clay. Stud. Res. Annu. Rev. Struct. Concr. 2012, 31, 12. [Google Scholar]
- Huo, J.; Xiao, Y.; Ren, X.; Zeng, X. A New Hybrid Heating Method Used in Fire Test. Exp. Therm. Fluid Sci. 2015, 62, 52–57. [Google Scholar] [CrossRef]
- Ezziane, M.; Kadri, T.; Molez, L.; Jauberthie, R.; Belhacen, A. High Temperature Behaviour of Polypropylene Fibres Reinforced Mortars. Fire Saf. J. 2015, 71, 324–331. [Google Scholar] [CrossRef]
- Hua, N.; Elhami Khorasani, N.; Tessari, A.; Ranade, R. Experimental Study of Fire Damage to Reinforced Concrete Tunnel Slabs. Fire Saf. J. 2022, 127, 103504. [Google Scholar] [CrossRef]
- Shapiro, A.B. Heat Transfer in LS-DYNA. In Proceedings of the 5th European LS-DYNA Users Conference, Birmingham, UK, 25–26 May 2005; p. 2a-14. [Google Scholar]
- Rackauskaite, E.; Flint, G.; Maani, A.; Temple, A.; Kotsovinos, P. Use of LS-DYNA for Structural Fire Engineering. In Proceedings of the 12th European LS-DYNA Users Conference, Koblenz, Germany, 14–16 May 2019. [Google Scholar]
- Ma, Z.; Havula, J.; Heinisuo, M. Structural Fire Analysis of Simple Steel Structures by Using LS-DYNA. Raken. Mek. 2019, 52, 1–22. [Google Scholar] [CrossRef]
- Rackauskaite, E.; Kotsovinos, P.; Rein, G. Model Parameter Sensitivity and Benchmarking of the Explicit Dynamic Solver of LS-DYNA for Structural Analysis in Case of Fire. Fire Saf. J. 2017, 90, 123–138. [Google Scholar] [CrossRef]
- International Fire Curves and Fire Safety Design—Promat. Available online: https://www.promat.com/en/tunnels/your-project/expert-area/159981/international-fire-curves-fire-safety/ (accessed on 5 October 2023).
- ISO 834-1:1999; Fire-Resistance Tests—Elements of Building Construction—Part 1: General Requirements. ISO: Geneva, Switzerland, 1999. Available online: https://www.iso.org/standard/2576.html (accessed on 6 October 2023).
- Oliveira, P.N.; Fonseca, E.M.M.; Campilho, R.D.S.G.; Piloto, P.A.G. Analytical Equations Applied to the Study of Steel Profiles under Fire According to Different Nominal Temperature-Time Curves. Math. Comput. Appl. 2021, 26, 48. [Google Scholar] [CrossRef]
- Sakkas, K.; Sofianos, A.; Nomikos, P.; Panias, D. Behaviour of Passive Fire Protection K-Geopolymer under Successive Severe Fire Incidents. Materials 2015, 8, 6096–6104. [Google Scholar] [CrossRef] [PubMed]
- Highway Construction Material Quality Standards: 21st Revision—Technical Information Construction Technology Information System CODIL. Available online: https://www.codil.or.kr/viewDtlConWrkDtlSch.do?gubun=tch&pMetaCode=CIGCEI220049 (accessed on 8 November 2023).
- LSDYNA Download/Install Overview. Available online: https://lsdyna.ansys.com/download-install-overview/ (accessed on 8 November 2023).
- Palm, J. Temperature Analysis Using ABAQUS. Fire Technol. 1994, 30, 291–303. [Google Scholar] [CrossRef]
- Guidelines for Structural Fire Resistance for Road Tunnels. Available online: https://about.ita-aites.org/publications/wg-publications/100-guidelines-for-structural-fire%02resistance-for-road-tunnels (accessed on 29 November 2023).
- Kim, S.; Shim, J.; Rhee, J.Y.; Jung, D.; Park, C. Temperature Distribution Characteristics of Concrete during Fire Occurrence in a Tunnel. Appl. Sci. 2019, 9, 4740. [Google Scholar] [CrossRef]
- Jiang, J.; Main, J.A.; Sadek, F.; Weigand, J.M. Numerical Modeling and Analysis of Heat Transfer in Composite Slabs with Profiled Steel Decking; National Institute of Standards Technology: Gaithersburg, MD, USA, 2017; pp. 1–56. [Google Scholar]








| Fire Curve | Time (min) | Temperature °C |
|---|---|---|
| RABT_train | 0 | 15 |
| 5 | 1200 | |
| 60 | 1200 | |
| 170 | 15 | |
| RABT_car | 0 | 15 |
| 5 | 1200 | |
| 30 | 1200 | |
| 140 | 15 | |
| RWS | 0 | 20 |
| 3 | 890 | |
| 5 | 1140 | |
| 10 | 1200 | |
| 30 | 1300 | |
| 60 | 1350 | |
| 90 | 1300 | |
| 120 | 1200 | |
| 180 | 1200 |
| Variable | W/C (%) | S/a (%) | Unit Weight (kg/m2) | ||||
|---|---|---|---|---|---|---|---|
| W | C | F.A. | C.A. | AE | |||
| Concrete | 50 | 42 | 167 | 334 | 739 | 1048 | 1.002 |
| Fire Curve | Thickness of Fireproof Board Plate (mm) | Time to Cross ITA’s Limit (min) | Remarks |
|---|---|---|---|
| ISO-834 | Without fireproof board | 46.5 | Cross ITA’s temperature limit |
| 24 | 160 | ||
| 30 | - | Below ITA’s temperature limit | |
| 35 | - | ||
| 40 | - | ||
| RABT_car | Without fireproof board | 25 | Cross ITA’s temperature limit |
| 24 | - | Below ITA’s temperature limit | |
| 30 | - | ||
| 35 | - | ||
| 40 | - | ||
| RABT_train | Without fireproof board | 25 | Cross ITA’s temperature limit |
| 24 | - | Below ITA’s temperature limit | |
| 30 | - | ||
| 35 | - | ||
| 40 | - | ||
| Hydrocarbon | Without fireproof board | 28.5 | Cross ITA’s temperature limit |
| 24 | 133 | ||
| 30 | 169 | ||
| 35 | - | Below ITA’s temperature limit | |
| 40 | - | ||
| Modified Hydrocarbon | Without fireproof board | 23 | Cross ITA’s temperature limit |
| 24 | 103.5 | ||
| 30 | 131.5 | ||
| 35 | 156 | ||
| 40 | - | Below ITA’s temperature limit | |
| RWS | Without fireproof board | 24.5 | Cross ITA’s temperature limit |
| 24 | 103.5 | ||
| 30 | 133.5 | ||
| 35 | 162 | ||
| 40 | - | Below ITA’s temperature limit |
Disclaimer/Publisher’s Note: The statements, opinions and data contained in all publications are solely those of the individual author(s) and contributor(s) and not of MDPI and/or the editor(s). MDPI and/or the editor(s) disclaim responsibility for any injury to people or property resulting from any ideas, methods, instructions or products referred to in the content. |
© 2023 by the authors. Licensee MDPI, Basel, Switzerland. This article is an open access article distributed under the terms and conditions of the Creative Commons Attribution (CC BY) license (https://creativecommons.org/licenses/by/4.0/).
Share and Cite
Oli, T.; Ha, D.; Jang, T.; Park, C.; Kim, G.; Kim, S. Temperature Distribution Curve Analysis on Concrete through LS-DYNA. Fire 2024, 7, 15. https://doi.org/10.3390/fire7010015
Oli T, Ha D, Jang T, Park C, Kim G, Kim S. Temperature Distribution Curve Analysis on Concrete through LS-DYNA. Fire. 2024; 7(1):15. https://doi.org/10.3390/fire7010015
Chicago/Turabian StyleOli, Topendra, Dongsoo Ha, Taejin Jang, Cheolwoo Park, Gihyun Kim, and Seungwon Kim. 2024. "Temperature Distribution Curve Analysis on Concrete through LS-DYNA" Fire 7, no. 1: 15. https://doi.org/10.3390/fire7010015
APA StyleOli, T., Ha, D., Jang, T., Park, C., Kim, G., & Kim, S. (2024). Temperature Distribution Curve Analysis on Concrete through LS-DYNA. Fire, 7(1), 15. https://doi.org/10.3390/fire7010015

