A Quantitative Analysis of Fuel Break Effectiveness Drivers in Southern California National Forests
Abstract
1. Introduction
2. Materials and Methods
2.1. Wildfires
2.2. Fuel Break Polylines
2.3. Data Model
2.4. Predictor Variables
2.4.1. Accessibility
2.4.2. Fire Behavior
2.4.3. Condition and Design
2.4.4. Suppression
2.4.5. Topography
2.4.6. Vegetation/Fuels
2.4.7. Weather
2.5. Statistical Model of Fuel Break Effectiveness
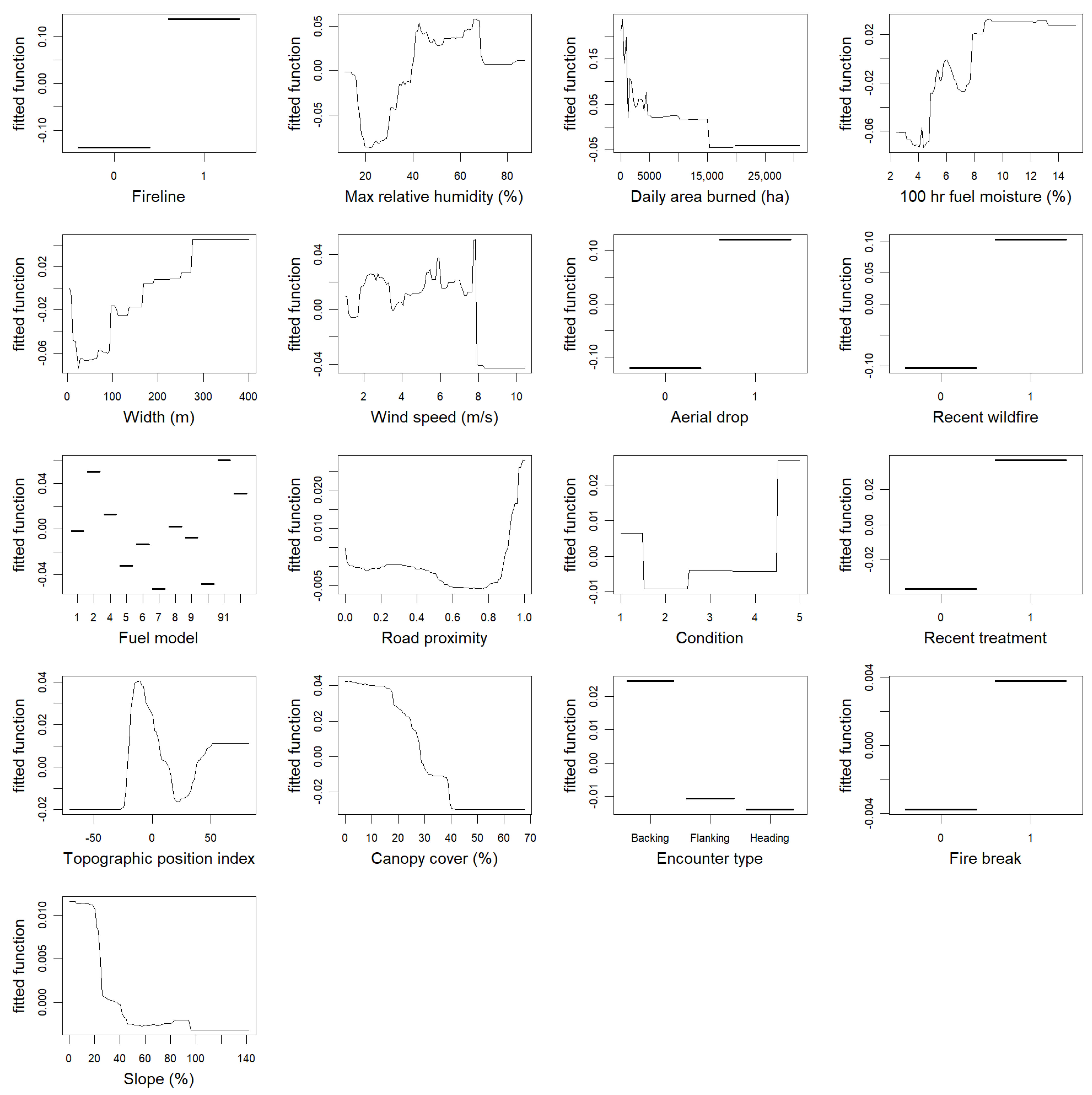
3. Results
4. Discussion
4.1. Progress, Limitations, and Future Directions for Modeling Fuel Break Effectiveness
4.2. Management Implications
Supplementary Materials
Author Contributions
Funding
Institutional Review Board Statement
Informed Consent Statement
Data Availability Statement
Acknowledgments
Conflicts of Interest
Disclaimer
References
- U.S.D.A. Forest Service. Confronting the Wildfire Crisis: A Strategy for Protecting Communities and Improving Resilience in America’s Forests; Report FS-1187a; U.S. Department of Agriculture, Forest Service: Washington, DC, USA, 2022.
- Syphard, A.D.; Keeley, J.E.; Brennan, T.J. Comparing the role of fuel breaks across southern California national forests. For. Ecol. Manag. 2011, 261, 2038–2048. [Google Scholar] [CrossRef]
- Oliviera, T.M.; Barros, A.M.G.; Ager, A.A. Assessing the effect of a fuel break network to reduce burnt area and wildfire risk transmission. Int. J. Wildland Fire 2016, 25, 619–632. [Google Scholar] [CrossRef]
- Ager, A.A.; Palaiologou, P.; Evers, C.R.; Day, M.A.; Barros, A.M.G. Assessing transboundary wildfire exposure in the Southwestern United States. Risk Anal. 2018, 38, 2105–2127. [Google Scholar] [CrossRef]
- Parisien, M.-A.; Dawe, D.A.; Miller, C.; Stockdale, C.A.; Armitage, B.A. Applications of simulation-based burn probability modelling: A review. Int. J. Wildland Fire 2019, 28, 913–926. [Google Scholar] [CrossRef]
- Wilson, A.A.G. Width of firebreak that is necessary to stop grass fires: Some field experiments. Can. J. For. Res. 1988, 18, 682–687. [Google Scholar] [CrossRef]
- Agee, J.K.; Berni, B.; Finney, M.A.; Omi, P.N.; Sapsis, D.B.; Skinner, C.N.; van Wagtendonk, J.W.; Weatherspoon, C.P. The use of shaded fuelbreaks in landscape fire management. For. Ecol. Manag. 2000, 127, 55–66. [Google Scholar] [CrossRef]
- Syphard, A.D.; Keeley, J.E.; Brennan, T.J. Factors affecting fuel break effectiveness in the control of large fires on the Los Padres National Forest, California. Int. J. Wildland Fire 2011, 20, 764–775. [Google Scholar] [CrossRef]
- Wollstein, K.; O’Connor, C.; Gear, J.; Hoagland, R. Minimize the bad days: Wildland fire response and suppression success. Rangelands 2022, 44, 187–193. [Google Scholar] [CrossRef]
- Murphy, J.L.; Green, L.R.; Bentley, J.R. Fuelbreaks—Effective aids, not cure-alls. Fire Control Notes 1967, 28, 4–5. [Google Scholar]
- Omi, P.N. Planning future fuelbreak strategies using mathematical modeling techniques. Environ. Manag. 1979, 3, 73–80. [Google Scholar] [CrossRef]
- Moghaddas, J.J.; Craggs, L. A fuel treatment reduces fire severity and increases suppression efficiency in a mixed conifer forest. Int. J. Wildland Fire 2007, 16, 673–678. [Google Scholar] [CrossRef]
- California Department of Forestry & Fire Protection. Cal Fire Fuel Breaks and Use during Fire Suppression; California Department of Forestry & Fire Protection: Sacramento, CA, USA, 2019. Available online: https://www.fire.ca.gov/media/5585/fuel_break_case_studies_03212019.pdf (accessed on 1 September 2021).
- Thompson, M.P.; Lauer, C.J.; Calkin, D.E.; Rieck, J.D.; Stonesifer, C.S.; Hand, M.S. Wildfire response performance measurement: Current and future directions. Fire 2018, 1, 21. [Google Scholar] [CrossRef]
- Plucinski, M.P. Contain and control: Wildfire suppression effectiveness at incidents and across landscapes. Curr. For. Rep. 2019, 5, 20–40. [Google Scholar] [CrossRef]
- Green, L.R. Fuelbreaks and Other Fuel Modification for Wildland Fire Control; Agriculture Handbook No. 499; U.S. Department of Agriculture, Forest Service: Washington, DC, USA, 1977.
- Frangieh, N.; Accary, G.; Rossi, J.-L.; Morvan, D.; Meradji, S.; Marcelli, T.; Chatelon, F.-J. Fuelbreak effectiveness against wind-driven and plume-dominated fires: A 3D numerical study. Fire Saf. J. 2021, 124, 103383. [Google Scholar] [CrossRef]
- Martinson, E.J.; Omi, P.N. Fuel Treatments and Fire Severity: A Meta-Analysis; Research Paper RMRS-RP-103WWW; U.S. Department of Agriculture, Forest Service, Rocky Mountain Research Station: Fort Collins, CO, USA, 2013.
- Kalies, E.L.; Kent, L.J.Y. Tamm review: Are fuel treatments effective at achieving ecological and social objectives? A systematic review. For. Ecol. Manag. 2016, 375, 84–95. [Google Scholar] [CrossRef]
- Kennedy, M.C.; Johnson, M.C. Fuel treatment prescriptions alter spatial patterns of fire severity around the wildland-urban interface during the Wallow Fire, Arizona, USA. For. Ecol. Manag. 2014, 318, 122–132. [Google Scholar] [CrossRef]
- Kennedy, M.C.; Johnson, M.C.; Fallon, K.; Mayer, D. How big is enough? Vegetation structure impacts effective fuel treatment width and forest resiliency. Ecosphere 2019, 10, e02573. [Google Scholar] [CrossRef]
- Finney, M.A.; McHugh, C.W.; Grenfell, I.C. Stand- and landscape-level effects of prescribed burning on two Arizona wildfires. Can. J. For. Res. 2005, 35, 1714–1722. [Google Scholar] [CrossRef]
- Wimberly, M.C.; Cochrane, M.A.; Baer, A.D.; Pabst, K. Assessing fuel treatment effectiveness using satellite imagery and spatial statistics. Ecol. Appl. 2009, 19, 1377–1384. [Google Scholar] [CrossRef]
- Price, O.F.; Bradstock, R.A. The effect of fuel age on the spread of fire in sclerophyll forest in the Sydney region of Australia. Int. J. Wildland Fire 2010, 19, 35–45. [Google Scholar] [CrossRef]
- Narayanaraj, G.; Wimberly, M.C. Influences of forest roads on the spatial pattern of wildfire boundaries. Int. J. Wildland Fire 2011, 20, 792–803. [Google Scholar] [CrossRef]
- O’Connor, C.D.; Calkin, D.E.; Thompson, M.P. An empirical machine learning method for predicting potential fire control locations for pre-fire planning and operational fire management. Int. J. Wildland Fire 2017, 26, 587–597. [Google Scholar] [CrossRef]
- Rodrigues, M.; Alcasena, F.; Gelabert, P.; Vega-García, C. Geospatial modeling of containment probability for escaped wildfires in a mediterraean region. Risk Anal. 2020, 40, 1762–1779. [Google Scholar] [CrossRef]
- Macauley, K.A.P.; McLoughlin, N.; Beverly, J.L. Modelling fire perimeter formation in the Canadian Rocky Mountains. For. Ecol. Manag. 2022, 506, 119958. [Google Scholar] [CrossRef]
- U.S. Environmental Protection Agency. Level III Ecoregions; U.S. Environmental Protection Agency: Washington, DC, USA, 2013. Available online: https://www.epa.gov/eco-research/level-iii-and-iv-ecoregions-continental-united-states (accessed on 1 October 2022).
- Keeley, J.E.; Fotheringham, C.J. Historic fire regime in Southern California shrublands. Conserv. Biol. 2001, 15, 1536–1548. [Google Scholar] [CrossRef]
- Kolden, C.A.; Abatzoglou, J.T. Spatial distribution of wildfires ignited under katabatic versus non-katabatic winds in Mediterranean Southern California USA. Fire 2018, 1, 19. [Google Scholar] [CrossRef]
- LANDFIRE. Biophysical Setting, Fire Behavior Fuel Model (Anderson 13), and Fuel Canopy Cover; U.S. Department of Agriculture and U.S. Department of the Interior. 2016. Available online: https://landfire.gov/index.php (accessed on 1 August 2021).
- Monitoring Trends in Burn Severity. National—Burned area boundaries dataset; U.S. Geological Survey and U.S. Department of Agriculture Forest Service. Available online: https://www.mtbs.gov/ (accessed on 1 September 2021).
- Geospatial Multiagency Coordination Center. Historic GeoMAC Perimeters; National Interagency Fire Center: Boise, ID, USA. Available online: https://data-nifc.opendata.arcgis.com/ (accessed on 1 September 2021).
- Wildland Fire Decision Support System. Interagency Fire Perimeter History All Years. National Interagency Fire Center: Boise, ID, USA. Available online: https://data-nifc.opendata.arcgis.com/ (accessed on 1 September 2021).
- Wildland Fire Interagency Geospatial Services. WFIGS—Wildland Fire Perimeters Full History. National Interagency Fire Center: Boise, ID, USA. Available online: https://data-nifc.opendata.arcgis.com/ (accessed on 1 September 2021).
- National Agriculture Imagery Program. National Agriculture Imagery Program (NAIP) Orthophoto County Mosaics. Available online: https://datagateway.nrcs.usda.gov/GDGHome_DirectDownLoad.aspx (accessed on 1 September 2021).
- U.S.D.A. Forest Service. Historical SIT Data; U.S.D.A. Forest Service, Fire and Aviation Management Information Technology. Available online: https://famit.nwcg.gov/applications/SIT209/historicalSITdata (accessed on 1 September 2021).
- Short, K.C. Spatial Wildfire Occurrence Data for the United States, 1992–2018, 5th ed.; U.S.D.A. Forest Service, Research Data Archive: Fort Collins, CO, USA, 2021. [CrossRef]
- Brennan, T.; Keeley, J. SoCal Fire Roads, Fuelbreaks, & Dozer Lines Dataset; U.S. Geological Survey, Western Ecological Research Center: Three Rivers, CA, USA, 2011.
- Clervi, C.; (U.S.D.A. Forest Service, Fort Collins, CO, USA). Personal communication, 2021.
- HERE. Roads Polyline Data; HERE: Washington, DC, USA, 2020; Available online: https://www.here.com/ (accessed on 15 January 2021).
- U.S.D.A. Forest Service. National Forest System Roads; U.S. Department of Agriculture, Forest Service, Enterprise Data Warehouse. Available online: https://data.fs.usda.gov/geodata/edw/datasets.php (accessed on 1 September 2021).
- Parks, S.A. Mapping day-of-burning with coarse-resolution satellite fire-detection data. Int. J. Wildland Fire 2014, 23, 215–223. [Google Scholar] [CrossRef]
- National Aeronautics and Space Administration. Fire Information for Resource Management System (FIRMS) Satellite Fire Detections. 2021. Available online: https://firms.modaps.eosdis.nasa.gov/download/ (accessed on 11 May 2021).
- Scott, J.H. A deterministic method for generating flame-length probabilities. In Proceedings of the Fire Continuum Conference; Missoula, MT, USA, 21–24 May 2018, Hood, S., Drury, S., Steelman, T., Steffens, R., Eds.; U.S.D.A. Forest Service, Rocky Mountain Research Station: Fort Collins, CO, USA, 2020; pp. 195–205. [Google Scholar]
- Catchpole, E.A.; Alexander, M.E.; Gill, A.M. Elliptical-fire perimeter- and area-intensity distributions. Can. J. For. Res. 1992, 22, 968–972. [Google Scholar] [CrossRef]
- Stonesifer, C.S.; Calkin, D.E.; Thompson, M.P.; Belval, E.J. Is this flight necessary? The Aviation Use Summary (AUS): A framework for strategic, risk-informed aviation decision support. Forests 2021, 12, 1078. [Google Scholar] [CrossRef]
- Stonesifer, C.S.; (U.S.D.A. Forest Service, Missoula, MT, USA). Personal communication, 2021.
- National Interagency Fire Center. National Incident Feature Service, Incident Firelines 2017–2018; National Interagency Fire Center: Boise, ID, USA, 2021. Available online: https://data-nifc.opendata.arcgis.com/ (accessed on 15 September 2021).
- National Interagency Fire Center. NIFC FTP Server, Incident Specific Data; National Interagency Fire Center: Boise, ID, USA, 2021. Available online: https://ftp.wildfire.gov/ (accessed on 15 September 2021).
- U.S. Geological Survey. 3D Elevation Program 30-Meter Resolution Digital Elevation Model; U.S. Geological Survey: Reston, VA, USA, 2021. Available online: https://www.usgs.gov/the-national-map-data-delivery (accessed on 28 July 2021).
- Weiss, A. Topographic Position and Landforms Analysis. Presented at the ESRI User Conference, San Diego, CA, USA, 9–13 July 2001. Available online: http://www.jennessent.com/downloads/tpi-poster-tnc_18x22.pdf (accessed on 24 September 2022).
- Anderson, H.A. Aids to Determining Fuel Models for Estimating Fire Behavior; General Technical Report INT-122; U.S. Department of Agriculture, Forest Service: Ogden, UT, USA, 1982.
- U.S.D.A. Forest Service. Hazardous Fuel Treatment Reduction: Polygon; U.S. Department of Agriculture, Forest Service, Enterprise Data Warehouse. Available online: https://data.fs.usda.gov/geodata/edw/datasets.php (accessed on 1 September 2021).
- Abatzoglou, J.T. Development of gridded surface meteorological data for ecological applications and modelling. Int. J. Climatol. 2013, 33, 121–131. [Google Scholar] [CrossRef]
- Deeming, J.E.; Burgan, R.E.; Cohen, J.D. The National Fire-Danger Rating System—1978. Revisions to the 1978 National Fire-Danger Rating System; General Technical Report INT-39; U.S. Department of Agriculture, Forest Service, Intermountain Forest and Range Experiment Station: Ogden, UT, USA, 1977.
- Srock, A.F.; Charney, J.J.; Potter, B.E.; Goodrick, S.L. The Hot-Dry-Windy Index: A new fire weather index. Atmosphere 2018, 9, 279. [Google Scholar] [CrossRef]
- Elith, J.; Leathwick, J.R.; Hastie, T. A working guide to boosted regression trees. J. Anim. Ecol. 2008, 77, 802–813. [Google Scholar] [CrossRef] [PubMed]
- Greenwell, B.; Boehmke, B.; Cunningham, J.; GBM Developers. gbm: Generalized Boosted Regression Models, R Package Version 2.1.8. GBM Developers; 2020. Available online: https://CRAN.R-project.org/package=gbm (accessed on 15 November 2021).
- R Core Team. R: A Language and Environment for Statistical Computing; R Foundation for Statistical Computing: Vienna, Austria, 2021; Available online: https://www.R-project.org/ (accessed on 19 July 2021).
- Bataineh, A.L.; Oswald, B.P.; Bataineh, M.; Unger, D.; Hung, I.-K.; Scognamillo, D. Spatial autocorrelation and pseudoreplication in fire ecology. Fire Ecol. 2006, 2, 107–118. [Google Scholar] [CrossRef]
- Ingalsbee, T. Ecological fire use for ecological fire management: Managing large wildfires by design. In Proceedings of the Large Wildland Fires Conference, Missoula, MT, USA, 9–23 May 2014; Keane, R.E., Jolly, M., Parsons, R., Riley, K., Eds.; U.S.D.A. Forest Service, Rocky Mountain Research Station: Fort Collins, CO, USA, 2015; pp. 120–127. [Google Scholar]
- Simpson, H.; Bradstock, R.; Price, O. Quantifying the prevalence and practice of suppression firing with operational data from large fires in Victoria, Australia. Fire 2021, 4, 63. [Google Scholar] [CrossRef]
- Jolly, W.M.; Freeborn, P.H.; Page, W.G.; Butler, B.W. Severe Fire Danger Index: A forecastable metric to inform firefighter and community wildfire risk management. Fire 2019, 2, 47. [Google Scholar] [CrossRef]
- Andrews, P.L.; Heinsch, F.A.; Schelvan, L. How to Generate and Interpret Fire Characteristics Charts for Surface and Crown Fire Behavior; General Technical Report RMRS-GTR-253; U.S. Department of Agriculture, Forest Service: Fort Collins, CO, USA, 2011.
- U.S.D.A. Forest Service. Aerial Firefighting Use and Effectiveness (AFUE) Report; U.S. Department of Agriculture, Forest Service: Washington, DC, USA, 2020.
- Yocom, L.L.; Jenness, J.; Fulé, P.Z.; Thode, A.E. Previous fires and roads limit wildfire growth in Arizona and New Mexico, U.S.A. For. Ecol. Manag. 2019, 449, 117440. [Google Scholar] [CrossRef]
- Thompson, M.P.; Freeborn, P.; Rieck, J.D.; Calkin, D.E.; Gilbertson-Day, J.W.; Cochrane, M.A.; Hand, M.S. Quantifying the influence of previously burned areas on suppression effectiveness and avoided exposure: A chase study of the Las Conchas Fire. Int. J. Wildland Fire 2016, 25, 167–181. [Google Scholar] [CrossRef]







| Year | Name | Area (ha) | Sample Points | Success Rate (%) | Fireline | Fire Detections |
|---|---|---|---|---|---|---|
| 2017 | Canyon 1 | 1077 | 277 | 0.51 | Yes | Yes |
| 2017 | Creek | 6321 | 2685 | 0.09 | Yes | Yes |
| 2017 | Holcomb | 609 | 84 | 0.37 | Yes | Yes |
| 2017 | Lake | 297 | 307 | 0.74 | Yes | No |
| 2017 | Thomas | 114,079 | 11,802 | 0.20 | Yes | Yes |
| 2017 | Whittier | 7451 | 971 | 0.16 | Yes | Yes |
| 2017 | Wildomar | 351 | 100 | 0.60 | Yes | Yes |
| 2018 | Charlie | 1356 | 1073 | 0.46 | No | No |
| 2018 | Cranston | 5395 | 2006 | 0.47 | Yes | Yes |
| 2018 | Holy | 9318 | 935 | 0.32 | Yes | Yes |
| 2018 | Stone | 547 | 110 | 0.19 | No | Yes |
| 2019 | Cave | 1265 | 371 | 0.36 | No | Yes |
| 2019 | Saddle Ridge | 3561 | 493 | 0.32 | Yes | Yes |
| 2020 | Apple | 13,450 | 1142 | 0.15 | Yes | Yes |
| 2020 | Bobcat | 46,943 | 6437 | 0.34 | Yes | Yes |
| 2020 | Bond | 2703 | 868 | 0.08 | Yes | Yes |
| 2020 | Dolan | 50,395 | 2201 | 0.17 | Yes | Yes |
| 2020 | El Dorado | 9204 | 1635 | 0.30 | Yes | Yes |
| 2020 | Lake | 12,545 | 3918 | 0.31 | Yes | Yes |
| 2020 | Ranch 2 | 1667 | 780 | 0.82 | No | Yes |
| 2020 | Rowher | 262 | 307 | 0.72 | Yes | No |
| 2020 | Valley | 6633 | 451 | 0.44 | Yes | Yes |
| Model | |||||||
|---|---|---|---|---|---|---|---|
| Category | Predictor Variable | Units | 1 | 2 | 3 | 4 | 5 |
| Accessibility | Road proximity | Continuous: 1 on road declining to 0 at 1000 m | * | * | * | * | * |
| Fire behavior | Daily area burned | Hectare (ha) | * | * | * | * | |
| Encounter type | Categorical: heading, flanking, and backing | * | * | * | * | ||
| Fire radiative power | Megawatt (MW) | * | |||||
| Fuel break | Condition | Ordinal: 1 for poor to 5 for excellent | * | * | * | * | * |
| Fire break | Binary: 0/1 for absent/present | * | * | * | * | * | |
| Width | Meters (m) | * | * | * | * | * | |
| Suppression | Aerial drop | Binary: 0/1 for absent/present | * | * | * | * | * |
| Fireline | Binary: 0/1 for absent/present | * | * | * | * | * | |
| Topography | Slope | Percent | * | * | * | * | * |
| Topographic Position Index | Meters (m) above or below neighborhood mean | * | * | * | * | * | |
| Veg/fuels | Canopy cover | Percent | * | * | * | * | * |
| Fire Behavior Fuel Model | Categorical: Anderson 13 + non-burnable | * | * | * | * | * | |
| Recent wildfire | Binary: 0/1 for absent/present in prior 10 years | * | * | * | * | * | |
| Recent treatment | Binary: 0/1 for absent/present in prior 10 years | * | * | * | * | * | |
| Weather | Burning Index | Continuous: positively associated with fire | * | ||||
| Energy Release Component | Continuous: positively associated with fire | * | |||||
| 100 h fuel moisture | Percent | * | * | * | |||
| Maximum relative humidity | Percent | * | * | * | |||
| Vapor Pressure Deficit | Continuous: positively associated with fire | * | |||||
| Wind speed | Meters per second (m/s) | * | * | * | * | ||
| Category | Predictor Variable | Model 1 | Model 2 | Model 3 | Model 4 | Model 5 |
|---|---|---|---|---|---|---|
| Accessibility | Road proximity | 3.5 | 3.7 | 3.6 | 3.6 | 3.9 |
| Fire behavior | Daily area burned | 8.8 | 10.6 | 20.3 | 20.6 | X |
| Encounter type | 1.4 | 1.3 | 1.4 | 2.1 | X | |
| Fire radiative power | 14.4 | X | X | X | X | |
| Fuel break | Condition | 2.5 | 3.7 | 3.4 | 3.2 | 4.0 |
| Fire break | 0.4 | 1.2 | 1.3 | 1.5 | 1.4 | |
| Width | 5.8 | 6.5 | 7.9 | 7.9 | 8.1 | |
| Suppression | Aerial drop | 5.7 | 5.8 | 6.4 | 6.4 | 6.5 |
| Fireline | 17.3 | 18.7 | 18.8 | 18.9 | 19.6 | |
| Topography | Slope | 0.4 | 0.5 | 0.5 | 0.6 | 0.6 |
| Topographic Position Index | 2.1 | 2.6 | 2.9 | 2.8 | 2.8 | |
| Veg/fuels | Canopy cover | 1.5 | 2.0 | 2.1 | 2.1 | 2.4 |
| Fire Behavior Fuel Model | 3.0 | 3.8 | 3.5 | 3.1 | 4.0 | |
| Recent wildfire | 2.8 | 4.2 | 4.2 | 4.7 | 4.4 | |
| Recent treatment | 3.1 | 3.3 | 4.3 | 5.1 | 3.5 | |
| Weather | Burning Index | X | X | 7.4 | X | X |
| Energy Release Component | X | X | 11.9 | X | X | |
| 100 h fuel moisture | 6.4 | 8.6 | X | X | 11.3 | |
| Maximum relative humidity | 15.5 | 17.4 | X | X | 19.4 | |
| Vapor Pressure Deficit | X | X | X | 7.8 | X | |
| Wind speed | 5.5 | 6.1 | X | 9.5 | 7.9 | |
| Performance | AUC (training) | 0.976 | 0.967 | 0.966 | 0.965 | 0.963 |
| metrics | AUC (3-fold) | 0.971 | 0.962 | 0.961 | 0.960 | 0.958 |
| Overall accuracy (%) * | 92.9 | 91.9 | 91.7 | 91.6 | 91.5 | |
| Obs. failure & Pred. failure (n) * | 27,275 | 27,188 | 27,191 | 27,257 | 27,167 | |
| Obs. failure & Pred. success (n) * | 792 | 879 | 876 | 810 | 900 | |
| Obs. success & Pred. failure (n) * | 1969 | 2263 | 2340 | 2477 | 2418 | |
| Obs. success & Pred. success (n) * | 8917 | 8623 | 8546 | 8409 | 8468 |
| Minimum Spacing (m) | Sample Points | Percent of Full Sample Points | AUC | Overall Accuracy (%) | Spearman Corr. with Full Model Predictions |
|---|---|---|---|---|---|
| 50 | 12,500 | 32.1 | 0.963 | 91.2 | 0.994 |
| 100 | 6152 | 15.8 | 0.959 | 90.7 | 0.984 |
| 200 | 3114 | 8.0 | 0.950 | 89.7 | 0.963 |
| 500 | 1146 | 2.9 | 0.925 | 87.2 | 0.909 |
Disclaimer/Publisher’s Note: The statements, opinions and data contained in all publications are solely those of the individual author(s) and contributor(s) and not of MDPI and/or the editor(s). MDPI and/or the editor(s) disclaim responsibility for any injury to people or property resulting from any ideas, methods, instructions or products referred to in the content. |
© 2023 by the authors. Licensee MDPI, Basel, Switzerland. This article is an open access article distributed under the terms and conditions of the Creative Commons Attribution (CC BY) license (https://creativecommons.org/licenses/by/4.0/).
Share and Cite
Gannon, B.; Wei, Y.; Belval, E.; Young, J.; Thompson, M.; O’Connor, C.; Calkin, D.; Dunn, C. A Quantitative Analysis of Fuel Break Effectiveness Drivers in Southern California National Forests. Fire 2023, 6, 104. https://doi.org/10.3390/fire6030104
Gannon B, Wei Y, Belval E, Young J, Thompson M, O’Connor C, Calkin D, Dunn C. A Quantitative Analysis of Fuel Break Effectiveness Drivers in Southern California National Forests. Fire. 2023; 6(3):104. https://doi.org/10.3390/fire6030104
Chicago/Turabian StyleGannon, Benjamin, Yu Wei, Erin Belval, Jesse Young, Matthew Thompson, Christopher O’Connor, David Calkin, and Christopher Dunn. 2023. "A Quantitative Analysis of Fuel Break Effectiveness Drivers in Southern California National Forests" Fire 6, no. 3: 104. https://doi.org/10.3390/fire6030104
APA StyleGannon, B., Wei, Y., Belval, E., Young, J., Thompson, M., O’Connor, C., Calkin, D., & Dunn, C. (2023). A Quantitative Analysis of Fuel Break Effectiveness Drivers in Southern California National Forests. Fire, 6(3), 104. https://doi.org/10.3390/fire6030104

