Simulation of Low-Temperature Oxidation and Combustion of N-Dodecane Droplets under Microgravity Conditions
Abstract
1. Introduction
2. Materials and Methods
2.1. Mathematical Model
- (1)
- there is no natural and forced convection;
- (2)
- nonequilibrium effects are negligible;
- (3)
- the effects of thermal diffusion are insignificant;
- (4)
- the solubility of gas in a liquid is negligible.
2.2. Solution Procedure
3. Results and Discussion
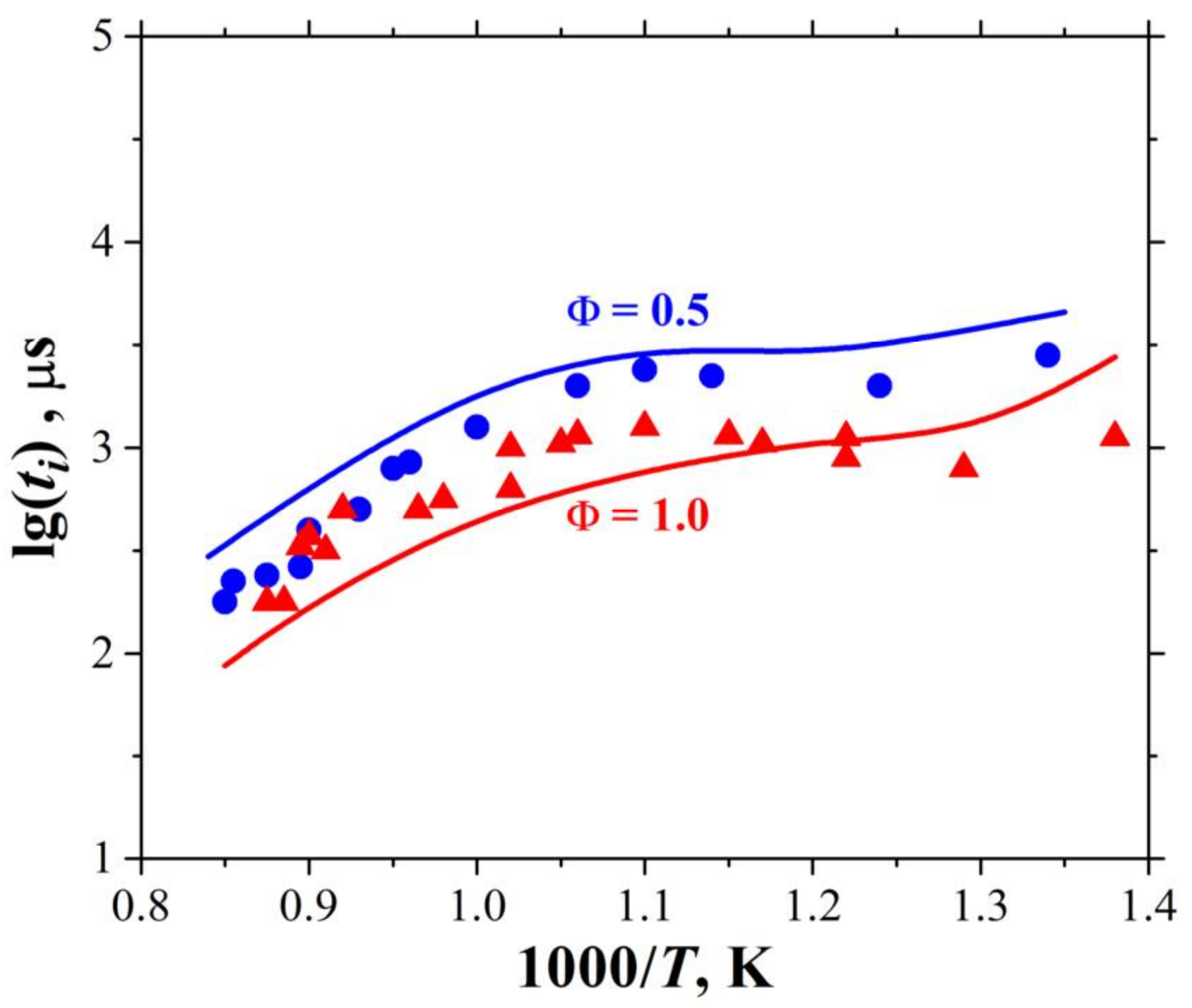
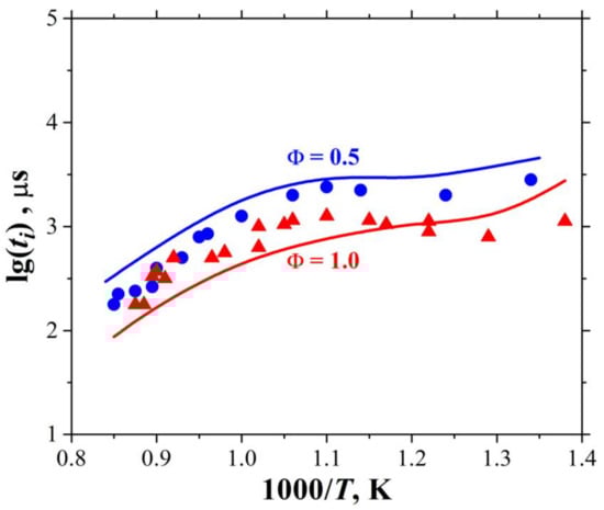
3.1. Self-Ignition of Homogeneous Mixtures
3.2. Droplet Combustion
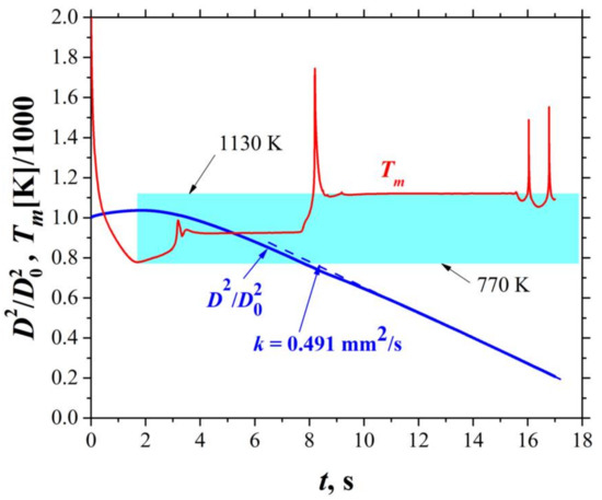
3.3. Forced Ignition of the Droplet
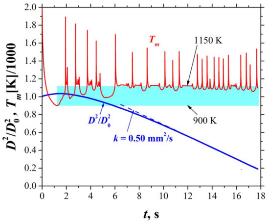
3.4. Self-Ignition of the Droplet
4. Conclusions
- (1)
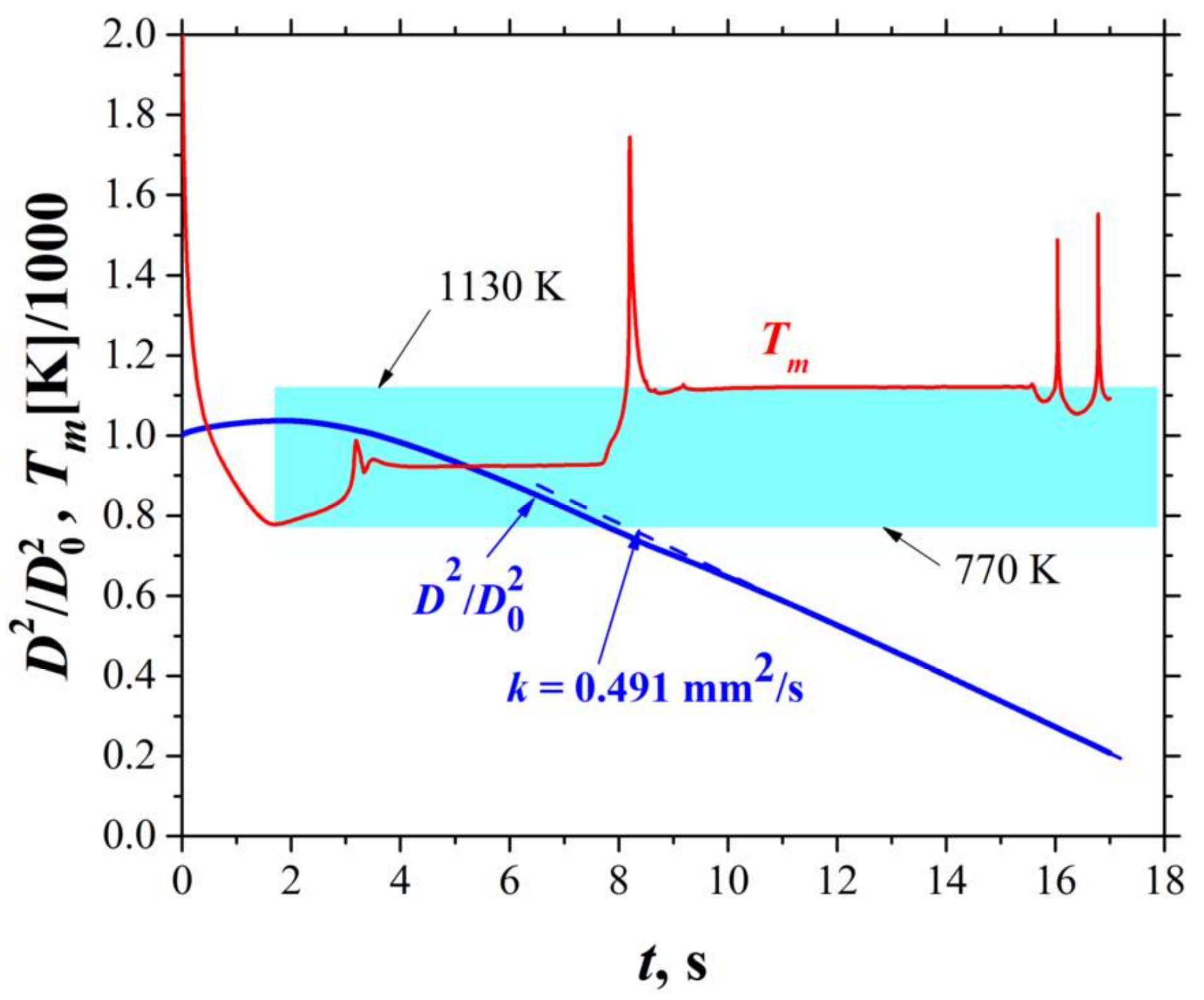
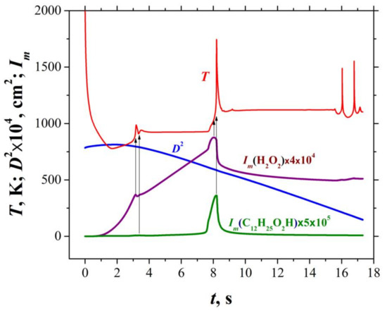
- Calculations confirm the important role of the soot shell and low-temperature reactions in the phenomenon of droplet radiative extinction with multiple flame flashes in the space experiment. In the vicinity of the droplet, even after the primary flame is extinguished, low-temperature chemical reactions, including chain exothermic reactions, can occur. Over time, active intermediate products are produced in low-temperature reactions, the main of which are alkyl and hydrogen peroxides. Upon reaching a certain critical concentration, the peroxides thermally decompose with the formation of hydroxyl radicals quickly reacting with other intermediates, causing a secondary flash of flame around the droplet. The secondary flash is followed by the formation of a secondary soot shell, which subsequently leads to the extinction of the flame and so on until the complete disappearance of the droplet. Under certain conditions, the intensity of the secondary flashes is very low that outwardly, the combustion of the droplet proceeds as flameless. Since the temperature of the gases in the vicinity of the droplet is higher than room temperature, the droplet evaporates much faster than in a room-temperature gas.
- (2)
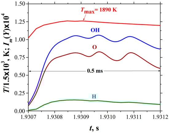
- Calculations reveal the decisive role of the blue flame, arising due to the decomposition of hydrogen peroxide, in multiple flame flashes after the radiative extinction of droplet combustion.
- (3)
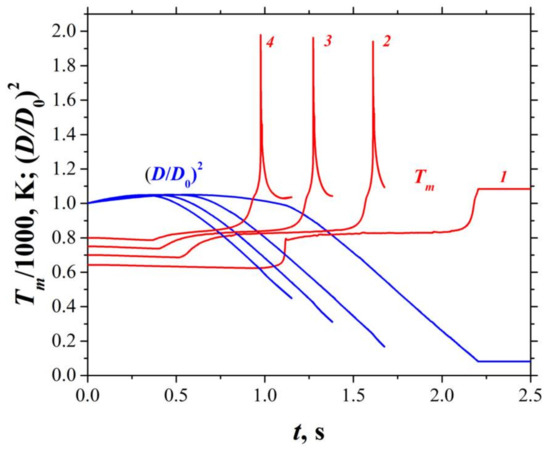
- Calculations with forced ignition of n-dodecane droplets reveal the effect of the ignition procedure on droplet evolution. It is shown that variation in ignition parameters changes the timing and the number of flashes of cool, blue, and hot flame.
- (4)
- The combustion rate constant of the droplet is also dependent on the forced ignition procedure, which correlates with recent findings in [35] on the long-term (about 10 s) effect of ignition on the soot yield in the gaseous spherical diffusion flame in microgravity conditions.
- (5)
- Calculations with droplet self-ignition reveal the possible existence of new modes of low-temperature oxidation of droplets without appearance of hot flame. In this case, the main reaction zone is located very close to the droplet surface and fuel vapor is oxidized only partly in it.
Author Contributions
Funding
Institutional Review Board Statement
Informed Consent Statement
Data Availability Statement
Conflicts of Interest
References
- Meyer, M.E.; Urban, D.L.; Mulholland, G.W.; Bryg, V.; Yuan, Z.-G.; Ruff, G.A.; Cleary, T.; Yang, J. Evaluation of spacecraft smoke detector performance in the low-gravity environment. Fire Saf. J. 2018, 98, 74–81. [Google Scholar] [CrossRef] [PubMed]
- Wang, X.; Zhou, H.; Arnott, W.P.; Meyer, M.E.; Taylor, S.; Firouzkouhi, H.; Moosmüller, H.; Chow, J.C.; Watson, J.G. Characterization of smoke for spacecraft fire safety. J. Aerosol Sci. 2019, 136, 36–47. [Google Scholar] [CrossRef]
- Hong, T.-K.; Park, S.-H. Numerical analysis of smoke behavior and detection of solid combustible fire developed in manned exploration module based on exploration gravity. Fire 2021, 4, 85. [Google Scholar] [CrossRef]
- Available online: https://www.nasa.gov/mission_pages/station/research/experiments/666.html (accessed on 25 January 2023).
- Farouk, T.; Dryer, F.L. Microgravity droplet combustion: Effect of tethering fiber on burning rate and flame structure. Combust. Theory Model. 2011, 15, 487–515. [Google Scholar] [CrossRef]
- Nayagam, V.; Dietrich, D.L.; Ferkul, P.V.; Hicks, M.C.; Williams, F.A. Can cool flames support quasi-steady alkane droplet burning? Combust. Flame 2012, 159, 3583–3588. [Google Scholar] [CrossRef]
- Nayagam, V.; Dietrich, D.L.; Hicks, M.C.; Williams, F.A. Cool-flame extinction during n-alkane droplet combustion in microgravity. Combust. Flame 2015, 162, 2140–2147. [Google Scholar] [CrossRef]
- Nayagam, V.; Dietrich, D.L.; Hicks, M.C.; Williams, F.A. Radiative extinction of large n-alkane droplets in oxygen-inert mixtures in microgravity. Combust. Flame 2018, 194, 107–114. [Google Scholar] [CrossRef]
- Shaw, B.; Dryer, F.; Williams, F.; Haggard, J. Sooting and disruption in spherically symmetrical combustion of decane droplets in air. Acta Astronaut. 1988, 17, 1195–1202. [Google Scholar] [CrossRef]
- Avedisian, C.T. Recent advances in soot formation from spherical droplet flames at atmospheric pressure. J. Propuls. Power 2000, 16, 628–635. [Google Scholar] [CrossRef]
- Sokolik, A.S. Self-Ignition, Flame and Detonation in Gases; Akad. Nauk SSSR: Moscow, Ruassia, 1960. [Google Scholar]
- Nehse, M.; Warnat, J.; Chevalier, C. Kinetic modeling of the oxidation of large aliphatic hydrocarbons. Proc. Symp. Int. Combust. 1996, 26, 773–780. [Google Scholar] [CrossRef]
- Basevich, V.Y.; Belyaev, A.A.; Frolov, S.M. Mechanisms of the oxidation and combustion of normal alkanes: Transition from C1–C5 to C6H14. Russ. J. Phys. Chem. B 2010, 4, 634–640. [Google Scholar] [CrossRef]
- You, X.; Egolfopoulos, F.N.; Wang, H. Detailed and simplified kinetic models of n-dodecane oxidation: The role of fuel cracking in aliphatic hydrocarbon combustion. Proc. Combust. Inst. 2009, 32, 403–410. [Google Scholar] [CrossRef]
- Yao, T.; Pei, Y.; Zhong, B.-J.; Som, S.; Lu, T.; Luo, K.H. A compact skeletal mechanism for n-dodecane with optimized semi-global low-temperature chemistry for diesel engine simulations. Fuel 2017, 191, 339–349. [Google Scholar] [CrossRef]
- Desantes, J.M.; López, J.J.; García-Oliver, J.M.; López-Pintor, D. Experimental validation and analysis of seven different chemical kinetic mechanisms for n-dodecane using a Rapid Compression-Expansion Machine. Combust. Flame 2017, 182, 76–89. [Google Scholar] [CrossRef]
- Payri, F.; García-Oliver, J.M.; Novella, R.; Pérez-Sánchez, E.J. Influence of the n-dodecane chemical mechanism on the CFD modelling of the diesel-like ECN Spray A flame structure at different ambient conditions. Combust. Flame 2019, 208, 198–218. [Google Scholar] [CrossRef]
- Chang, K.-C.; Shier, J.-S. Theoretical investigation of transient droplet combustion by considering flame radiation. Int. J. Heat Mass Transf. 1995, 38, 2611–2621. [Google Scholar] [CrossRef]
- Baek, S.W.; Park, J.H.; Choi, C.E. Investigation of droplet combustion with nongray gas radiation effects. Combust. Sci. Technol. 1999, 142, 55–79. [Google Scholar] [CrossRef]
- Basevich, V.Y.; Frolov, S.M.; Posvyanskii, V.S. The conditions of existence of stationary heterogeneous detonation. Khim. Fiz. 2005, 24, 60–70. [Google Scholar]
- Tanabe, M.; Kono, M.; Sato, J.; Koenig, J.; Eigenbrod, C.; Dinkelacker, F.; Rath Zarm, H.J. Two stage ignition of n-heptane isolated droplets. Combust. Sci. Technol. 1995, 108, 103–119. [Google Scholar] [CrossRef]
- Schnaubelt, S.; Moriue, O.; Coordes, T.; Eigenbrod, C.; Rath Zarm, H.J. Detailed numerical simulations of the multistage self-ignition process of n-heptane, isolated droplets and their verification by comparison with microgravity experiments. Proc. Combust. Inst. 2000, 28, 953–960. [Google Scholar] [CrossRef]
- Marchese, A.; Dryer, F.; Nayagam, V. Numerical modeling of isolated n-alkane droplet flames: Initial comparisons with ground and space-based microgravity experiments. Combust. Flame 1999, 116, 432–459. [Google Scholar] [CrossRef]
- Jackson, G.S.; Avedisian, C.T. Modeling of spherically symmetric droplet flames including complex chemistry: Effect of water addition on n-heptane droplet combustion. Combust. Sci. Technol. 1996, 115, 125–149. [Google Scholar] [CrossRef]
- Wolff, M.C.; Meisl, J.; Koch, R.; Wittig, S. The influence of evaporation on the autoignition-delay of n-heptane air mixtures under gas turbine conditions. Proc. Symp. Int. Combust. 1998, 27, 2025–2031. [Google Scholar] [CrossRef]
- Cuoci, A.; Mehl, M.; Buzzi-Ferraris, G.; Faravelli, T.; Manca, D.; Ranzi, E. Autoignition and burning rates of fuel droplets under microgravity. Combust. Flame 2005, 143, 211–226. [Google Scholar] [CrossRef]
- Stauch, R.; Lipp, S.; Maas, U. Detailed numerical simulations of the autoignition of single n-heptane droplets in air. Combust. Flame 2006, 145, 533–542. [Google Scholar] [CrossRef]
- Stagni, A.; Cuoci, A.; Frassoldati, A.; Ranzi, E.; Faravelli, T. Numerical investigation of soot formation from microgravity droplet combustion using heterogeneous chemistry. Combust. Flame 2018, 189, 393–406. [Google Scholar] [CrossRef]
- Frolov, S.M.; Basevich, V.Y.; Medvedev, S.N. Modeling of low-temperature oxidation and combustion of droplets. Dokl. Phys. Chem. 2016, 470, 150–153. [Google Scholar] [CrossRef]
- Basevich, V.Y.; Belyaev, A.A.; Medvedev, S.N.; Posvyanskii, V.S.; Frolov, F.S.; Frolov, S.M. Simulation of the autoignition and combustion of n-heptane droplets using a detailed kinetic mechanism. Russ. J. Phys. Chem. B 2010, 4, 995–1004. [Google Scholar] [CrossRef]
- Basevich, V.Y.; Belyaev, A.A.; Posvyanskii, V.S.; Frolov, S.M. Mechanism of the oxidation and combustion of normal paraffin hydrocarbons: Transition from C1–C6 to C7H16. Russ. J. Phys. Chem. B 2010, 4, 985–994. [Google Scholar] [CrossRef]
- Frolov, S.M.; Basevich, V.Y.; Medvedev, S.N.; Frolov, F.S. Low-temperature flameless combustion of a large drop of n-dodecane under microgravity conditions. Russ. J. Phys. Chem. B 2018, 12, 245–257. [Google Scholar] [CrossRef]
- Basevich, V.Y.; Belyaev, A.A.; Posvyanskii, V.S.; Frolov, S.M. Mechanisms of the oxidation and combustion of normal paraffin hydrocarbons: Transition from C1–C10 to C11–C16. Russ. J. Phys. Chem. B 2013, 7, 161–169. [Google Scholar] [CrossRef]
- Basevich, V.Y.; Medvedev, S.N.; Frolov, S.M.; Frolov, F.S.; Basara, B.; Priesching, P. Macrokinetic model for calculation of soot emissions in diesel engine. Combust. Explos. 2016, 9, 36–47. [Google Scholar]
- Frolov, S.M.; Ivanov, V.S.; Frolov, F.S.; Vlasov, P.A.; Axelbaum, R.; Irace, P.H.; Yablonsky, G.; Waddell, K. Soot formation in spherical diffusion flames. Mathematics 2023, 11, 261. [Google Scholar] [CrossRef]
- Frolov, S.M.; Basevich, V.Y.; Frolov, F.S.; Borisov, A.A.; Smetanyuk, V.A.; Avdeev, K.A.; Gots, A.N. Correlation between drop vaporization and self-ignition. Russ. J. Phys. Chem. B 2009, 3, 333–347. [Google Scholar] [CrossRef]
- Agafonov, G.L.; Bilera, I.V.; Vlasov, P.A.; Kolbanovskii, Y.A.; Smirnov, V.N.; Tereza, A.M. Soot formation at pyrolysis and oxidation of acetylene and ethylene in shock tubes. Kinet. Catal. 2015, 56, 12–30. [Google Scholar] [CrossRef]
















| Reaction | , (L, mol, s) | , K | |
|---|---|---|---|
| C2H2 + C2H2 = C + C + C2H4 | 1016 | 40,000 | 0 |
| C + CO2 = CO + CO | 1015 | 40,000 | 0 |
| C + H2O = H2 + CO | 1015 | 40,000 | 0 |
| C + OH = HCO | 1012 | 0 | 0 |
| , | , K | Number of Flashes | , mm2/s |
|---|---|---|---|
| 0.55 | 900–1150 | Many | 0.500 |
| 0.53 | 770–1150 | 3 | 0.491 |
| 0.52 | 950 | 1 | 0.422 |
| 0.51 | - | None | 0.00923 |
Disclaimer/Publisher’s Note: The statements, opinions and data contained in all publications are solely those of the individual author(s) and contributor(s) and not of MDPI and/or the editor(s). MDPI and/or the editor(s) disclaim responsibility for any injury to people or property resulting from any ideas, methods, instructions or products referred to in the content. |
© 2023 by the authors. Licensee MDPI, Basel, Switzerland. This article is an open access article distributed under the terms and conditions of the Creative Commons Attribution (CC BY) license (https://creativecommons.org/licenses/by/4.0/).
Share and Cite
Frolov, S.M.; Basevich, V.Y. Simulation of Low-Temperature Oxidation and Combustion of N-Dodecane Droplets under Microgravity Conditions. Fire 2023, 6, 70. https://doi.org/10.3390/fire6020070
Frolov SM, Basevich VY. Simulation of Low-Temperature Oxidation and Combustion of N-Dodecane Droplets under Microgravity Conditions. Fire. 2023; 6(2):70. https://doi.org/10.3390/fire6020070
Chicago/Turabian StyleFrolov, Sergey M., and Valentin Y. Basevich. 2023. "Simulation of Low-Temperature Oxidation and Combustion of N-Dodecane Droplets under Microgravity Conditions" Fire 6, no. 2: 70. https://doi.org/10.3390/fire6020070
APA StyleFrolov, S. M., & Basevich, V. Y. (2023). Simulation of Low-Temperature Oxidation and Combustion of N-Dodecane Droplets under Microgravity Conditions. Fire, 6(2), 70. https://doi.org/10.3390/fire6020070

