Study on the Influence of Ventilation Speed on Smoke and Temperature Characteristics of Complex Underground Spaces
Abstract
:1. Introduction
2. Numerical Simulation
2.1. Fire Scenarios
2.2. Grid Independence Analysis
3. Results and Interpretation
3.1. Smoke Spread Characteristics
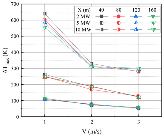
3.2. Temperature Distribution
3.3. CO Density and Visibility
4. Conclusions
- This study pinpointed the critical role of ventilation speed in mitigating the risks associated with smoke backflow and temperature control. The identification of a specific ventilation speed range, from 2 to 3 m/s, represents a significant contribution to fire safety. This range ensures efficient smoke management and facilitates personnel evacuation in scenarios ranging from 2 MW to 10 MW.
- The research emphasized the impacts of accelerated longitudinal winds on temperature profiles, especially in high Heat Release Rate (HRR) scenarios. Understanding wind effects is crucial to devise effective fire response strategies. Notably, in cases where = 160 m, temperatures in the middle lane were consistently higher. For instance, when the HRR reached 10 MW, the average temperatures exceeded 100 °C, posing a significant threat to pedestrians in the middle lane.
- This paper addressed the pressing issue of the CO concentration, highlighting the dangers associated with downstream gas accumulation. Higher ventilation speeds were found to be effective in reducing the CO levels and in enhancing the overall safety measures. The CO concentrations remained consistent across heights when = 2 or 3 m/s, underscoring the importance of an optimal ventilation speed.
- This study examined visibility, revealing that higher ventilation speeds improve visibility. However, the potential impact of excessive wind speed on personnel evacuation warrants careful consideration. In the middle and return lanes, the visibility steadily rose with the increasing wind speed, reaching approximately 0.7 m at = 3 m/s, indicating the need for a balanced approach to ventilation.
Author Contributions
Funding
Institutional Review Board Statement
Informed Consent Statement
Data Availability Statement
Acknowledgments
Conflicts of Interest
References
- Meng, N.; Wang, Q.; Liu, Z.; Li, X.; Yang, H. Smoke flow temperature beneath tunnel ceiling for train fire at subway station: Reduced-scale experiments and correlations. Appl. Therm. Eng. 2017, 115, 995–1003. [Google Scholar] [CrossRef]
- Peng, M.; Cheng, X.; He, K.; Cong, W.; Shi, L.; Yuen, R. Experimental study on ceiling smoke temperature distributions in near field of pool fires in the subway train. J. Wind Eng. Ind. Aerodyn. 2020, 199, 104135. [Google Scholar] [CrossRef]
- Zhong, W.; Li, Z.; Wang, T.; Liang, T.; Liu, Z. Experimental Study on the Influence of Different Transverse Fire Locations on the Critical Longitudinal Ventilation Velocity in Tunnel Fires. Fire Technol. 2015, 51, 1217–1230. [Google Scholar] [CrossRef]
- Hu, L.H.; Huo, R.; Peng, W.; Chow, W.K.; Yang, R.X. On the maximum smoke temperature under the ceiling in tunnel fires. Tunn. Undergr. Space Technol. 2006, 21, 650–655. [Google Scholar] [CrossRef]
- Rosema, A.; Guan, H.; Veld, H. Simulation of spontaneous combustion, to study the causes of coal fires in the Rujigou Basin. Fuel 2001, 80, 7–16. [Google Scholar] [CrossRef]
- Rowland, J.H.; Verakis, H.; Hockenberry, M.A.; Smith, A.C. Effect of Air Velocity on Conveyor Belt Fire Suppression Systems; Society for Mining, Metallurgy, and Exploration, Incorporated: Englewood, CO, USA, 2009. [Google Scholar]
- Vauquelin, O.; Michaux, G.; Lucchesi, C. Scaling laws for a buoyant release used to simulate fire-induced smoke in laboratory experiments. Fire Saf. J. 2009, 44, 665–667. [Google Scholar] [CrossRef]
- Wang, K.; Jiang, S.; Ma, X.; Wu, Z.; Zhang, W.; Shao, H. Study of the destruction of ventilation systems in coal mines due to gas explosions. Powder Technol. 2015, 286, 401–411. [Google Scholar] [CrossRef]
- Yao, Y.; Wang, J.; Jiang, L.; Wu, B.; Qu, B. Numerical study on fire behavior and temperature distribution in a blind roadway with different sealing situations. Environ. Sci. Pollut. Res. 2023, 30, 36967–36978. [Google Scholar] [CrossRef]
- Hansen, R.; Ingason, H. Heat release rate measurements of burning mining vehicles in an underground mine. Fire Saf. J. 2013, 61, 12–25. [Google Scholar] [CrossRef]
- Li, Y.Z.; Lei, B.; Ingason, H. The maximum temperature of buoyancy-driven smoke flow beneath the ceiling in tunnel Fires. Fire Saf. J. 2011, 46, 204–210. [Google Scholar] [CrossRef]
- Ng, Y.W.; Chow, W.K.; Cheng, C.H.; Chow, C.L. Scale modeling study on flame colour in a ventilation-limited train car pool fire. Tunn. Undergr. Space Technol. 2019, 85, 375–391. [Google Scholar] [CrossRef]
- Xi, Y.; Zhou, Z.; Mao, J.; Chow, W.; Tang, F. Maximum ceiling temperature and longitudinal distribution in a corridor-like enclosure with opening. Tunn. Undergr. Space Technol. 2023, 134, 104994. [Google Scholar] [CrossRef]
- Xi, Y.; Zhou, Z.; Lian, H.; Mao, J.; Chow, W.; Tang, F. Temperature variation inside a corridor-like enclosure under limited ventilation. Tunn. Undergr. Space Technol. 2022, 126, 104539. [Google Scholar] [CrossRef]
- Vauquelin, O.; Wu, Y. Influence of tunnel width on longitudinal smoke control. Fire Saf. J. 2006, 41, 420–426. [Google Scholar] [CrossRef]
- Wang, K.; Jiang, S.; Ma, X.; Wu, Z.; Shao, H.; Zhang, W.; Cui, C. Information fusion of plume control and personnel escape during the emergency rescue of external-caused fire in a coal mine. Process Saf. Environ. Prot. 2016, 103, 46–59. [Google Scholar] [CrossRef]
- Wu, E.; Huang, R.; Wu, L.; Shen, X.; Li, Z. Numerical Study on the Influence of Altitude on Roof Temperature in Mine Fires. IEEE Access 2020, 8, 102855–102866. [Google Scholar] [CrossRef]
- Chow, W.K.; Gao, Y.; Zou, J.F.; Liu, Q.K.; Chow, C.L.; Miao, L. Numerical Studies on Thermally-Induced Air Flow in Sloping Tunnels with Experimental Scale Modelling Justifications. Fire Technol. 2018, 54, 867–892. [Google Scholar] [CrossRef]
- Gannouni, S.; Maad, R.B. Numerical study of the effect of blockage on critical velocity and backlayering length in longitudinally ventilated tunnel fires. Tunn. Undergr. Space Technol. 2015, 48, 147–155. [Google Scholar] [CrossRef]
- Huang, Y.; Li, Y.; Dong, B.; Li, J.; Liang, Q. Numerical investigation on the maximum ceiling temperature and longitudinal decay in a sealing tunnel fire. Tunn. Undergr. Space Technol. 2018, 72, 120–130. [Google Scholar] [CrossRef]
- Liu, C.; Zhong, M.; Tian, X.; Zhang, P.; Xiao, Y.; Mei, Q. Experimental and numerical study on fire-induced smoke temperature in connected area of metro tunnel under natural ventilation. Int. J. Therm. Sci. 2019, 138, 84–97. [Google Scholar] [CrossRef]
- Liu, Q.; Xu, Z.; Fan, C.; Tao, H.; Zhao, J.; He, L. Experimental and Numerical Study of Plug-Holing with Lateral Smoke Exhaust in Tunnel Fires. Fire Technol. 2022, 45, 1–21. [Google Scholar] [CrossRef]
- Tian, X.; Liu, C.; Zhong, M. Numerical and experimental study on the effects of a ceiling beam on the critical velocity of a tunnel fire based on virtual fire source. Int. J. Therm. Sci. 2021, 159, 106635. [Google Scholar] [CrossRef]
- Ming, Y.; Zhu, G.; He, L.; Liu, X.; Zhou, Y.; Ding, J. Study on the maximum excess temperature and temperature distribution under the influence of lateral smoke exhaust in tunnel fires. Therm. Sci. Eng. Prog. 2023, 40, 101713. [Google Scholar] [CrossRef]
- He, L.; Liao, K.; Zhou, Y.; Tao, H.; Ming, Y.; Wang, X.; Zhang, H.; Zhu, G. Study on the influence of the longitudinal position of the fire source on the movement behavior of the asymmetric flow field. Therm. Sci. Eng. Prog. 2023, 39, 101753. [Google Scholar] [CrossRef]
- McGrattan, K.B.; Forney, G.P. Fire Dynamics Simulator (Version 5): User’s Guide; National Institute of Standards and Technology: Gaithersburg, MD, USA, 2004. [CrossRef]
- Drożdżol, K. Zapewnienie bezpieczeństwa w systemach odprowadzania spalin w budownictwie mieszkaniowym. Bezpieczeństwo Tech. Pożarnicza 2016, 41, 67–73. [Google Scholar] [CrossRef]
- Sedda, A.F.; Rossi, G. Death scene evaluation in a case of fatal accidental carbon monoxide toxicity. Forensic Sci. Int. 2006, 164, 164–167. [Google Scholar] [CrossRef]
- Tekbaş, Ö.F.; Vaizoglu, S.A.; Evci, E.D.; Yüceer, B.; Güler, Ç. Carbon Monoxide Levels in Bathrooms Using Hot Water Boilers. Indoor Built Environ. 2001, 10, 167–171. [Google Scholar] [CrossRef]
- Cohen, R.; Novak, B.L.; Sineno, E. A New Method for the Prevention of Carbon Monoxide Poisoning. Sanitarian 1962, 24, 350–353. Available online: http://www.jstor.org/stable/44512952 (accessed on 31 March 2016).
- Tang, F.; Mei, F.Z.; Wang, Q.; He, Z.; Fan, C.G.; Tao, C.F. Maximum temperature beneath the ceiling in tunnel fires with combination of ceiling mechanical smoke extraction and longitudinal ventilation. Tunn. Undergr. Space Technol. 2017, 68, 231–237. [Google Scholar] [CrossRef]
- Yao, Y.; He, K.; Peng, M.; Shi, L.; Cheng, X. The maximum gas temperature rises beneath the ceiling in a longitudinal ventilated tunnel fire. Tunn. Undergr. Space Technol. 2021, 108, 103672. [Google Scholar] [CrossRef]
- Zhu, Y.; Tang, F.; Zhao, Z.; Wang, Q. Effect of lateral smoke extraction on transverse temperature distribution and smoke maximum temperature under ceiling in tunnel fires. J. Therm. Anal. Calorim. 2022, 147, 4275–4284. [Google Scholar] [CrossRef]
- Li, Y.Z.; Ingason, H. The maximum ceiling gas temperature in a large tunnel fire. Fire Saf. J. 2012, 48, 38–48. [Google Scholar] [CrossRef]












| No. | HRRs (MW) | Ventilation Speeds (m/s) | Fire Locations in Middle Lane (m) |
|---|---|---|---|
| 1–12 | 2 | 1 | 40, 80, 120, 160 |
| 2 | 40, 80, 120, 160 | ||
| 3 | 40, 80, 120, 160 | ||
| 13–24 | 5 | 1 | 40, 80, 120, 160 |
| 2 | 40, 80, 120, 160 | ||
| 3 | 40, 80, 120, 160 | ||
| 25–36 | 10 | 1 | 40, 80, 120, 160 |
| 2 | 40, 80, 120, 160 | ||
| 3 | 40, 80, 120, 160 |
| HRR (MW) | D* | D*/D |
|---|---|---|
| 2 | 1.26544 | 5.06177 |
| 5 | 1.82565 | 7.30262 |
| 10 | 2.20326 | 8.81306 |
Disclaimer/Publisher’s Note: The statements, opinions and data contained in all publications are solely those of the individual author(s) and contributor(s) and not of MDPI and/or the editor(s). MDPI and/or the editor(s) disclaim responsibility for any injury to people or property resulting from any ideas, methods, instructions or products referred to in the content. |
© 2023 by the authors. Licensee MDPI, Basel, Switzerland. This article is an open access article distributed under the terms and conditions of the Creative Commons Attribution (CC BY) license (https://creativecommons.org/licenses/by/4.0/).
Share and Cite
Ou, J.; Wang, X.; Ming, Y.; Sun, X. Study on the Influence of Ventilation Speed on Smoke and Temperature Characteristics of Complex Underground Spaces. Fire 2023, 6, 436. https://doi.org/10.3390/fire6110436
Ou J, Wang X, Ming Y, Sun X. Study on the Influence of Ventilation Speed on Smoke and Temperature Characteristics of Complex Underground Spaces. Fire. 2023; 6(11):436. https://doi.org/10.3390/fire6110436
Chicago/Turabian StyleOu, Jianchun, Xinyu Wang, Yuyang Ming, and Xixi Sun. 2023. "Study on the Influence of Ventilation Speed on Smoke and Temperature Characteristics of Complex Underground Spaces" Fire 6, no. 11: 436. https://doi.org/10.3390/fire6110436
APA StyleOu, J., Wang, X., Ming, Y., & Sun, X. (2023). Study on the Influence of Ventilation Speed on Smoke and Temperature Characteristics of Complex Underground Spaces. Fire, 6(11), 436. https://doi.org/10.3390/fire6110436
