Adjustment of the Grass Fuel Moisture Code for Grasslands in Southern Brazil
Abstract
1. Introduction
2. Materials and Methods
2.1. Study Site
2.2. Field Sampling
2.3. Laboratory Tests
2.4. Modelling of Equilibrium Moisture Content
2.5. Development of the Grass Fuel Moisture Code
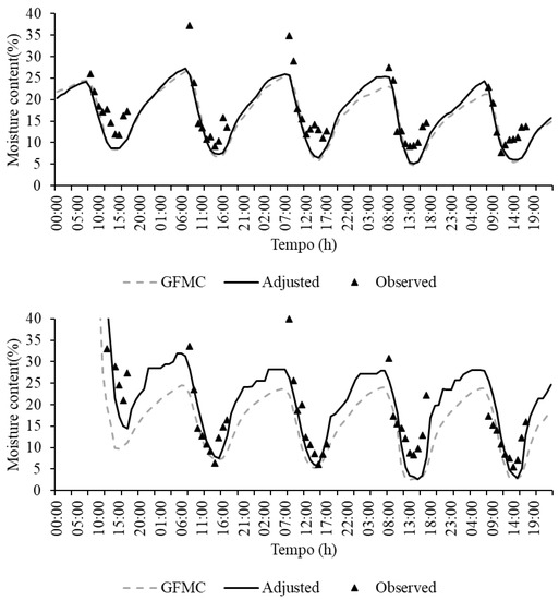
3. Results
3.1. Sorption Tests
3.2. Sorption Tests
4. Discussion
5. Conclusions
Author Contributions
Funding
Institutional Review Board Statement
Informed Consent Statement
Data Availability Statement
Conflicts of Interest
References
- Wotton, M. A Grass Moisture Model for the Canadian Forest Fire Danger Rating System. In Eighth Symposium on Fire and Forest Meteorology; American Meteorological Society: Boston, NE, USA, 13 October 2009; pp. 13–15. [Google Scholar]
- Cruz, M.G.; Kidnie, S.; Matthews, S.; Hurley, R.J.; Slijepcevic, A.; Nichols, D.; Gould, J.S. Evaluation of the Predictive Capacity of Dead Fuel Moisture Models for Eastern Australia Grasslands. Int. J. Wildland Fire 2016, 25, 995. [Google Scholar] [CrossRef]
- Instituto Brasileiro de Geografia e Estatística (Ed.) Manual Técnico da Vegetação Brasileira, 2a Edição Revista e Ampliada; Manuais técnicos em geociências; Instituto Brasileiro de Geografia e Estatística-IBGE: Rio de Janeiro, Brazil, 2012.
- Overbeck, G.; Muller, S.; Fidelis, A.; Pfadenhauer, J.; Pillar, V.; Blanco, C.; Boldrini, I.; Both, R.; Forneck, E. Brazil’s Neglected Biome: The South Brazilian Campos. Perspect. Plant Ecol. Evol. Syst. 2007, 9, 101–116. [Google Scholar] [CrossRef]
- White, B.L.A. Modelos Matemáticos de Previsão Do Teor de Umidade Dos Materiais Combustíveis Florestais Finos e Mortos. Ciênc. Florest. 2018, 28, 432–445. [Google Scholar] [CrossRef]
- Lopes, S.; Viegas, D.X.; Teixeira de Lemos, L.; Viegas, M.T. Equilibrium Moisture Content and Timelag of Dead Pinus Pinaster Needles. Int. J. Wildland Fire 2014, 23, 721. [Google Scholar] [CrossRef]
- Byram, G.M.; Nelson, R.M. An Analysis of the Drying Process in Forest Fuel Material; SRS-GTR-200; U.S. Department of Agriculture, Forest Service, Southern Research Station: Asheville, NC, USA, 2015; p. SRS-GTR-200. [CrossRef]
- Van Wagner. Method of Computing Fine Fuel Moisture Content Throughout the Diurnal Cycle; Petawawa Forest Experiment Station: Chalk River, ON, Canada, 1977; Volume Information Report PS-X-69. [Google Scholar]
- Bakšić, N.; Bakšić, D.; Jazbec, A. Hourly Fine Fuel Moisture Model for Pinus Halepensis (Mill.) Litter. Agric. For. Meteorol. 2017, 243, 93–99. [Google Scholar] [CrossRef]
- Ascoli, D.; Vacchiano, G.; Scarpa, C.; Arca, B.; Barbati, A.; Battipaglia, G.; Elia, M.; Esposito, A.; Garfì, V.; Lovreglio, R.; et al. Harmonized Dataset of Surface Fuels under Alpine, Temperate and Mediterranean Conditions in Italy. A Synthesis Supporting Fire Management. IForest-Biogeosci. For. 2020, 13, 513–522. [Google Scholar] [CrossRef]
- Alves, M.; Batista, A.; Soares, R.; Ottaviano, M.; Marchetti, M. Fuel Moisture Sampling and Modeling in Pinus Elliottii Engelm. Plantations Based on Weather Conditions in Paraná-Brazil. IForest-Biogeosci. For. 2009, 2, 99–103. [Google Scholar] [CrossRef]
- Alvares, C.A.; Stape, J.L.; Sentelhas, P.C.; de Moraes Gonçalves, J.L.; Sparovek, G. Köppen’s Climate Classification Map for Brazil. Meteorol. Z. 2013, 22, 711–728. [Google Scholar] [CrossRef] [PubMed]
- Sistema Meteorológico do Paraná. Dados Acadêmicos. 2019.
- Van Wagner. Equilibrium Moisture Contents of Some Fine Forest Fuels in Eastern Canada; Petawawa Forest Experiment Station: Chalk River, ON, Canada, 1972; Volume Information Report PS-X-36. [Google Scholar]
- Miller, E. Moisture Sorption Models for Fuel Beds of Standing Dead Grass in Alaska. Fire 2018, 2, 2. [Google Scholar] [CrossRef]
- Anderson, H.E. Moisture Diffusivity and Response Time in Fine Forest Fuels. Can. J. For. Res. 1990, 20, 315–325. [Google Scholar] [CrossRef]
- Simard, A.J. The Moisture Content of Forest Fuels–I: A Review of the Basic Concepts; Information Report PS-X-58; Forest Fire Research Institute: Chalk River, ON, Canada, 1968.
- Zhang, Y.; Tian, L. Dynamic Changes in Moisture Content and Applicability Analysis of a Typical Litter Prediction Model in Yunnan Province. PeerJ 2021, 9, e12206. [Google Scholar] [CrossRef] [PubMed]
- Anderson, H.E. Moisture and Fine Forest Fuel Response. In Proceedings of the Eighth Conference of Fire and Forest Meteorology, Society of American Foresters, Bethesda, MD, USA, 29 April–2 May 1985; pp. 192–199. [Google Scholar]
- Simard, A.J. The Moisture Content of Forest Fuels–III: Moisture Content Variations of Fast Responding Fuels below the Fibre Saturation Point; Information Report F-X-16; Forest Fire Research Institute: Chalk River, ON, Canada, 1968.
- Cawson, J.G.; Nyman, P.; Schunk, C.; Sheridan, G.J.; Duff, T.J.; Gibos, K.; Bovill, W.D.; Conedera, M.; Pezzatti, G.B.; Menzel, A. Estimation of Surface Dead Fine Fuel Moisture Using Automated Fuel Moisture Sticks across a Range of Forests Worldwide. Int. J. Wildland Fire 2020, 29, 548. [Google Scholar] [CrossRef]
- Slijepcevic, A.; Anderson, W.R.; Matthews, S.; Anderson, D.H. Evaluating Models to Predict Daily Fine Fuel Moisture Content in Eucalypt Forest. For. Ecol. Manag. 2015, 335, 261–269. [Google Scholar] [CrossRef]




| Process | Tests (n) | τ1 (h) | τ2 (h) | τ3 (h) | τ4 (h) | ||||
|---|---|---|---|---|---|---|---|---|---|
| Mean | S2 | Mean | S2 | Mean | S2 | Mean | S2 | ||
| Desorption | 21 | 2.21 | 1.21 | 2.81 | 1.52 | 4.89 | 2.92 | 5.02 | 3.22 |
| Adsorption | 21 | 3.39 | 2.12 | 3.47 | 2.54 | 6.33 | 2.1 | 2.8 | 4.33 |
| Model | Desorption | Adsorption | ||||||||
|---|---|---|---|---|---|---|---|---|---|---|
| τ | a1 | R2 | MAE | RSME | τ | a1 | R2 | MAE | RSME | |
| Byram (1963) | 0.31 | - | 0.828 | 0.092 | 0.126 | 0.217 | - | 0.862 | 0.082 | 0.117 |
| Henderson and Pabis (1961) | 0.33 | 1.065 | 0.83 | 0.09 | 0.125 | 0.241 | 1.103 | 0.869 | 0.082 | 0.114 |
| Process | Estimated Coefficients | Evaluation Paramenters | |||||
|---|---|---|---|---|---|---|---|
| α | β | γ | δ | MAE | RMSE | R2 | |
| Desorption | 1.0034 | 0.6374 | 13.1007 | 23.1046 | 0.1632 | 0.2039 | 0.9993 |
| Adsorption | 0.7973 | 0.7039 | 9.3548 | 12.6231 | 0.3008 | 0.3696 | 0.9969 |
| Model | Evaluation Paramenters | |||
|---|---|---|---|---|
| MAE | RMSE | MBE | R2 | |
| GFMC | 4.3682 | 6.6881 | 0.0000 | 0.8570 |
| Fitted | 3.4272 | 4.5624 | 0.0000 | 0.9311 |
Publisher’s Note: MDPI stays neutral with regard to jurisdictional claims in published maps and institutional affiliations. |
© 2022 by the authors. Licensee MDPI, Basel, Switzerland. This article is an open access article distributed under the terms and conditions of the Creative Commons Attribution (CC BY) license (https://creativecommons.org/licenses/by/4.0/).
Share and Cite
Labres dos Santos, J.F.; Kovalsyki, B.; Ferreira, T.d.S.; Batista, A.C.; Tetto, A.F. Adjustment of the Grass Fuel Moisture Code for Grasslands in Southern Brazil. Fire 2022, 5, 209. https://doi.org/10.3390/fire5060209
Labres dos Santos JF, Kovalsyki B, Ferreira TdS, Batista AC, Tetto AF. Adjustment of the Grass Fuel Moisture Code for Grasslands in Southern Brazil. Fire. 2022; 5(6):209. https://doi.org/10.3390/fire5060209
Chicago/Turabian StyleLabres dos Santos, João Francisco, Bruna Kovalsyki, Tiago de Souza Ferreira, Antonio Carlos Batista, and Alexandre França Tetto. 2022. "Adjustment of the Grass Fuel Moisture Code for Grasslands in Southern Brazil" Fire 5, no. 6: 209. https://doi.org/10.3390/fire5060209
APA StyleLabres dos Santos, J. F., Kovalsyki, B., Ferreira, T. d. S., Batista, A. C., & Tetto, A. F. (2022). Adjustment of the Grass Fuel Moisture Code for Grasslands in Southern Brazil. Fire, 5(6), 209. https://doi.org/10.3390/fire5060209

