Adaptive Algorithm for the Generation of Superconfigurations in Hot-Plasma Opacity Calculations
Abstract
1. Introduction
2. Estimating Configuration Probabilities
2.1. Configuration Probabilities Based on the Average-Atom Model
- The configurations are statistically independent,
- A configuration C is entirely defined by the integer occupation numbers in each subshell i, .
- The total energy of C in terms of the occupation numbers can be expressed using quantities provided by the average-atom calculation.
2.1.1. Uncorrelated Probability Law
- The average occupation number of each subshell is a direct result of the average-atom calculation,
- The probability can be factorized shell by shell, making the calculation of averages simple. For instance, the variance of the total number of bound electrons is
2.1.2. Correlated Probability Law: Integral Transformation and High Temperature Limit
2.1.3. Correlated Gaussian Approximations
3. The Superconfiguration Method
3.1. Subshells, Configurations
3.2. Supershells, Superconfigurations
3.3. Linearization of the Energy of a Superconfiguration
3.4. Number of Configurations, Weight of a Superconfiguration
3.5. Number of Superconfigurations Associated with a Partition
4. Populating a Partition in Superconfigurations from the Average-Atom Results
4.1. Calculation of
4.2. Estimating Statistical Weights
- In the calculation of the statistical sum , the one-electron energies (and subsequently the Boltzmann factors ) are approximated by the ones of the average atom.
- The free energy of the superconfiguration is estimated by the relation , being its ionization and the average-atom chemical potential.
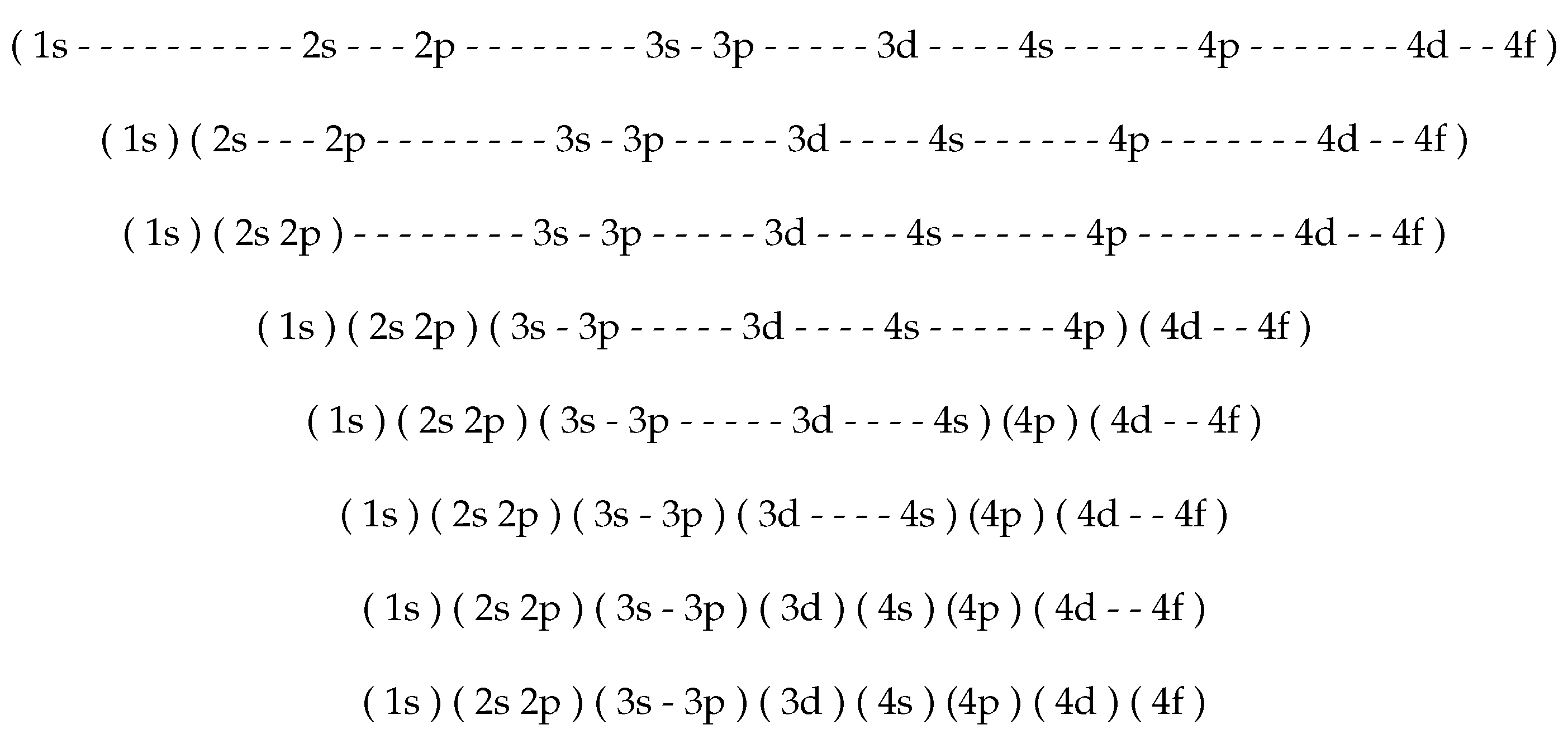
5. Adaptive Algorithm
5.1. Algorithm “Divide and Conquer”
- A procedure consisting of splitting (“Split”) of a supershell into two supershells and :Such a mechanism will be activated if (unverified energy criterion). Its effect is to reduce the energy differences, but it increases by one the size of the partition. The number of superconfigurations to generate is multiplied by
- A concatenation (gathering) mechanism of consecutive and supershells (“Merge”)Such a mechanism will be activated if . Its effect is to reduce by one the size of the partition and the number of superconfigurations to generate is divided by the factor (38), but increases the energy differences inside the resulting supershell:
5.2. Algorithm “Divide and Conquer”: General Procedure
- Phase 1: gathering the supershells. As far as the number of superconfigurations to generate is larger than an imposed maximal value , we try to reduce the number of supershells of the partition. More precisely, we look for two consecutive supershells such that the energy dispersion (spread) be minimal, i.e.,If , we gather the states of these two supershells into a unique supershell , with characteristicsorOtherwise, end of phase 1.
- Phase 2: splitting the supershells. As far as there are supershells such that , and that the number of supershells remains smaller than an imposed maximum value , we look for the supershell such that the energy dispersion be maximum:The supershell is then split into two supershells, each one containing half of the states.
- Phase 3: relaxation of criterion: . This phase is necessary if there is no partition of the subshells that ensures several superconfigurations (but less than the critical value ).
5.3. Energy Criterion
5.4. Link to the Master Theorem
6. Examples and Results
7. Other Possible Algorithms and Discussion
7.1. Generating Superconfigurations Using the Correlated Gaussian Approximation for Configurations
7.2. The Scroll Algorithm
7.2.1. Effective (Ionization) Temperature
7.2.2. Binary Supershell Split Algorithm
8. Conclusions
Funding
Data Availability Statement
Acknowledgments
Conflicts of Interest
Abbreviations
| CRSTA | Configurationally Resolved Super Transition Array |
| DLA | Detailed Line Accounting |
| HULLAC | Hebrew University Lawrence Livermore Atomic Code |
| LTE | Local Thermodynamic Equilibrium |
| SCO | Superconfiguration Code for Opacity |
| SCROLL | Super Configuration Radiative cOLLisional |
| SOSA | Spin-Orbit Split Array |
| STA | Super Transition Array |
| UTA | Unresolved Transition Array |
References
- Bauche-Arnoult, C.; Bauche, J.; Klapisch, M. Variance of the distributions of energy levels and of the transition arrays in atomic spectra. Phys. Rev. A 1979, 20, 2424–2439. [Google Scholar] [CrossRef]
- Gilleron, F.; Pain, J.-C.; Bauche, J.; Bauche-Arnoult, C. Impact of high-order moments on the statistical modeling of transition arrays. Phys. Rev. E 2008, 77, 026708. [Google Scholar] [CrossRef] [PubMed]
- Pain, J.-C.; Gilleron, F.; Bauche, J.; Bauche-Arnoult, C. Effect of third- and fourth-order moments on the modeling of unresolved transition arrays. High Energy Density Phys. 2009, 5, 294–301. [Google Scholar] [CrossRef]
- Bauche-Arnoult, C.; Bauche, J.; Klapisch, M. Variance of the distributions of energy levels and of the transition arrays in atomic spectra. III. Case of spin-orbit-split arrays. Phys. Rev. A 1985, 31, 2248–2259. [Google Scholar] [CrossRef]
- Bar-Shalom, A.; Oreg, J.; Goldstein, W.H.; Shvarts, D.; Zigler, A. Super-transition-arrays: A model for the spectral analysis of hot, dense plasmas. Phys. Rev. A 1989, 40, 3183–3193. [Google Scholar] [CrossRef]
- Porcherot, Q.; Pain, J.-C.; Gilleron, F.; Blenski, T. A consistent approach for mixed detailed and statistical calculation of opacities in hot plasmas. High Energy Density Phys. 2011, 7, 234–239. [Google Scholar] [CrossRef]
- Pain, J.-C.; Gilleron, F. Accounting for highly excited states in detailed opacity calculations. High Energy Density Phys. 2015, 15, 30–42. [Google Scholar] [CrossRef]
- Pain, J.-C.; Gilleron, F.; Blenski, T. Detailed computation of hot-plasma atomic spectra. Laser Part. Beams 2015, 33, 201–210. [Google Scholar] [CrossRef]
- Pain, J.-C. Super Transition Arrays: A Tool for Studying Spectral Properties of Hot Plasmas. Plasma 2021, 4, 42–64. [Google Scholar] [CrossRef]
- Bailey, J.; Nagayama, T.; Loisel, G.; Rochau, G.A.; Blancard, C.; Colgan, J.; Cosse, P.; Faussurier, G.; Fontes, C.J.; Gilleron, F.; et al. A higher-than-predicted measurement of iron opacity at solar interior temperatures. Nature 2015, 517, 56–59. [Google Scholar] [CrossRef]
- Blenski, T.; Grimaldi, A.; Perrot, F. A superconfiguration code based on the local density approximation. J. Quant. Spectroc. Radiat. Transf. 2000, 65, 91–100. [Google Scholar] [CrossRef]
- Blenski, T.; Grimaldi, A.; Perrot, F. A Hartree-Fock statistical approach to atoms in plasmas-electron and hole countings in evaluation of statistical sums. J. Quant. Spectrosc. Radiat. Transf. 1997, 58, 495–500. [Google Scholar] [CrossRef]
- Blenski, T.; Grimaldi, A.; Perrot, F. Hartree-Fock statistical approach to atoms and photoabsorption in plasmas. Phys. Rev. E 1997, 55, R4889–R4892. [Google Scholar] [CrossRef]
- Pain, J.-C. Koopmans’ theorem in the statistical Hartree-Fock theory. J. Phys. B At. Mol. Opt. Phys. 2011, 44, 145001. [Google Scholar] [CrossRef]
- Winhart, G.; Eidmann, K.; Iglesias, C.A.; Bar-Shalom, A.; Minguez, E.; Rickert, A.; Rose, S.J. XUV opacity measurements and comparison with models. J. Quant. Spectrosc. Radiat. Transf. 1995, 54, 437–446. [Google Scholar] [CrossRef]
- Winhart, G.; Eidmann, K.; Iglesias, C.A.; Bar-Shalom, A. Measurements of extreme uv opacities of hot dense Al, Fe and Ho. Phys. Rev. E 1996, 53, R1332–R1335. [Google Scholar] [CrossRef]
- Merdji, H.; Missalla, T.; Blenski, T.; Perrot, F.; Gauthier, J.-C.; Eidmann, K.; Chenais-Popovics, C. Absorption spectroscopy of a radiatively heated samarium plasma. Phys. Rev. E 1998, 57, 1042–1046. [Google Scholar] [CrossRef]
- Blenski, T.; Loisel, G.; Poirier, M.; Thais, F.; Arnault, P.; Caillaud, T.; Fariaut, J.; Gilleron, F.; Pain, J.-C.; Porcherot, Q.; et al. Opacity of iron, nickel and copper plasmas in the X-ray wavelength range: Theoretical interpretation of the 2p-3d absorption spectra measured at the LULI2000 facility. Phys. Rev. E 2011, 84, 036407. [Google Scholar] [CrossRef]
- Lee, T.-G.; Jarrah, W.; Benredjem, D.; Pain, J.-C.; Busquet, M.; Klapisch, M.; Schmitt, A.J.; Bates, J.W.; Giuliani, J. Super-transition-array calculations for synthetic spectra and opacity of high-density, high-temperature germanium plasmas. High Energy Density Phys. 2020, 35, 100742. [Google Scholar] [CrossRef]
- Kurzweil, Y.; Polack-Schupper, N. Accuracy analysis of opacity models from transmission measurements in laser-produced plasmas. Phys. Plasmas 2022, 29, 012704. [Google Scholar] [CrossRef]
- Krief, M.; Feigel, A. The effect of first order superconfiguration energies on the opacity of hot dense matter. High Energy Density Phys. 2015, 15, 59–66. [Google Scholar] [CrossRef]
- Krief, M.; Feigel, A.; Gazit, D. Solar opacity calculations using the super-transition-array method. Astrophys. J. 2016, 821, 45–59. [Google Scholar] [CrossRef]
- Pain, J.-C. Detailed Opacity Calculations for Astrophysical Applications. Atoms 2017, 5, 22. [Google Scholar] [CrossRef]
- Krief, M.; Feigel, A.; Gazit, D. A New Implementation of the STA Method for the Calculation of Opacities of Local Thermodynamic Equilibrium Plasmas. Atoms 2018, 6, 35. [Google Scholar] [CrossRef]
- Pain, J.-C. Sur la Physique Atomique des Ions Dans les Plasmas en Présence de L’écrantage. Ph.D. Thesis, Université Paris Sud XI, Orsay, France, 2002. (In French). [Google Scholar]
- Pain, J.-C.; Dejonghe, G.; Blenski, T. A self-consistent model for the study of electronic properties of hot dense plasmas in the superconfiguration approximation. J. Quant. Spectroc. Radiat. Transf. 2006, 99, 451–468. [Google Scholar] [CrossRef]
- Pain, J.-C.; Dejonghe, G.; Blenski, T. Quantum mechanical model for the study of pressure ionization in the superconfiguration approach. J. Phys. A Math. Gen. 2006, 39, 4659–4666. [Google Scholar] [CrossRef]
- Pain, J.-C. A model of dense-plasma atomic structure for equation-of-state calculations. J. Phys. B At. Mol. Opt. Phys. 2007, 40, 1553–1573. [Google Scholar] [CrossRef][Green Version]
- Pain, J.-C.; Dejonghe, G.; Blenski, T. Equation of State of Dense Plasma Mixtures: Application to the Sun Center. Contrib. Plasma Phys. 2012, 52, 23–27. [Google Scholar] [CrossRef]
- Busquet, M. Pressure ionization in partition function algebra. High Energy Density Phys. 2013, 9, 535–541. [Google Scholar] [CrossRef]
- Ovechkin, A.A.; Loboda, P.A.; Novikov, V.G.; Grushin, A.S.; Solomyannaya, A.D. RESEOS-A model of thermodynamic and optical properties of hot and warm dense matter. High Energy Density Phys. 2014, 13, 20–33. [Google Scholar] [CrossRef]
- Ovechkin, A.A.; Loboda, P.A.; Falkov, A.L. Transport and dielectric properties of dense ionized matter from the average-atom RESEOS model. High Energy Density Phys. 2016, 20, 38–54. [Google Scholar] [CrossRef]
- Ovechkin, A.A.; Loboda, P.A.; Falkov, A.L. Plasma opacity calculations using the Starrett and Saumon average-atom model with ion correlations. High Energy Density Phys. 2019, 30, 29–40. [Google Scholar] [CrossRef]
- Pain, J.-C.; Blenski, T. Self-consistent approach for the thermodynamics of ions in dense plasmas in the superconfiguration approximation. J. Quant. Spectroc. Radiat. Transf. 2003, 81, 355–369. [Google Scholar] [CrossRef]
- Oreg, J.; Bar-Shalom, A.; Klapisch, M. Operator technique for calculating superconfiguration-averaged quantities of atoms in plasmas. Phys. Rev. E 1997, 55, 5874–5882. [Google Scholar] [CrossRef]
- Faussurier, G. Superconfiguration accounting approach versus average-atom model in local-thermodynamic-equilibrium highly ionized plasmas. Phys. Rev. E 1999, 59, 7096–7109. [Google Scholar] [CrossRef]
- Wilson, B.; Chen, M.H. A revised algorithm for the computation of super-transition array spectra of hot dense plasmas. J. Quant. Spectrosc. Radiat. Transf. 1999, 61, 813–823. [Google Scholar] [CrossRef]
- Gilleron, F.; Pain, J.-C. Stable method for the calculation of partition functions in the superconfiguration approach. Phys. Rev. E 2004, 69, 056117. [Google Scholar] [CrossRef]
- Wilson, B.G.; Gilleron, F.; Pain, J.-C. Further stable methods for the calculation of partition functions in the superconfiguration approach. Phys. Rev. E 2007, 76, 032103. [Google Scholar] [CrossRef]
- Pain, J.-C.; Gilleron, F.; Porcherot, Q. Generating functions for canonical systems of fermions. Phys. Rev. E 2011, 83, 067701. [Google Scholar] [CrossRef]
- Pain, J.-C.; Gilleron, F.; Wilson, B.G. Optimized recursion relation for the computation of partition functions in the superconfiguration approach. High Energy Density Phys. 2020, 37, 100891. [Google Scholar] [CrossRef]
- Faussurier, G.; Wilson, B.G.; Chen, M.H. Generalization of super-transition-array methods to hot dense plasmas by using optimum independent particle reference systems. Phys. Rev. E 2002, 65, 016403, Erratum in Phys. Rev. E 2002, 65, 049901. [Google Scholar] [CrossRef] [PubMed]
- Pain, J.-C.; Gilleron, F.; Faussurier, G. Jensen-Feynman approach to the statistics of interacting electrons. Phys. Rev. E 2009, 80, 026703. [Google Scholar] [CrossRef] [PubMed]
- Kurzweil, Y.; Hazak, G. Summation of the spectra of all partially resolved transition arrays in a supertransition array. Phys. Rev. E 2016, 94, 053210. [Google Scholar] [CrossRef] [PubMed]
- Hazak, G.; Kurzweil, Y. A Configurationally-Resolved-Super-Transition-Arrays method for calculation of the spectral absorption coefficient in hot plasmas. High Energy Density Phys. 2012, 8, 290–297. [Google Scholar] [CrossRef]
- Kurzweil, Y.; Hazak, G. Inclusion of UTA widths in the Configurationally Resolved Super-Transition-Arrays (CRSTA) method. High Energy Density Phys. 2013, 9, 548–552. [Google Scholar] [CrossRef]
- Wilson, B.G.; Iglesias, C.A.; Chen, M.H. Partially resolved super transition array method. High Energy Density Phys. 2015, 14, 67–73. [Google Scholar] [CrossRef]
- Perrot, F. Correlated fluctuations of electron populations in high temperature plasmas. Phys. A Stat. Mech. Appl. 1988, 150, 357–370. [Google Scholar] [CrossRef]
- Mayer, H. Methods of Opacity Calculations; Report LA-647; Los Alamos Scientific Laboratory: Los Alamos, NM, USA, 1947.
- Grimaldi, F.; Grimaldi-Lecourt, A. Quasi-static electron density fluctuations of atoms in hot compressed matter. J. Quant. Spectrosc. Radiat. Transf. 1982, 27, 373–385. [Google Scholar] [CrossRef]
- Grimaldi, F.; Grimaldi-Lecourt, A. Fluctuations of a hot system of electrons in a static potential. In Proceedings of the 2nd International Conference on Radiative Properties of Hot Dense Matter, Sarasota, FL, USA, 31 October–4 November 1983; Davis, J., Hooper, C., Lee, R., Merts, A., Rozsnyai, B., Eds.; World Scientific: Singapore, 1985. [Google Scholar]
- Grimaldi, F.; Grimaldi-Lecourt, A. The calculation of the opacity of hot dense plasmas. In Proceedings of the 2nd International Conference on Radiative Properties of Hot Dense Matter, Sarasota, FL, USA, 31 October–4 November 1983; Davis, J., Hooper, C., Lee, R., Merts, A., Rozsnyai, B., Eds.; World Scientific: Singapore, 1985. [Google Scholar]
- Grimaldi, F. Electron Density Fluctuations in Hot Matter: A Method to Calculate Statistical Correlation Factors, p. 145 in Radiative Properties of Hot Dense Matter. In Proceedings of the 4th International Workshop, Sarasota, FL, USA, 22 October 1990; Goldstein, W., Hooper, C., Gauthier, J., Seely, J., Lee, R., Eds.; World Scientific: Singapore, 1991. [Google Scholar]
- Perrot, F.; Blenski, T. Electronic structure and statistical mechanics of ionic configurations in hot plasmas. J. Phys. IV Fr. 2000, 10, 473–480. [Google Scholar] [CrossRef]
- Wilson, B. Evaluating orbital occupation number correlations in high-temperature plasmas. J. Quant. Spectrosc. Radiat. Transf. 1993, 49, 241–258. [Google Scholar] [CrossRef]
- Faussurier, G. Traitement Statistique des Propriétés Spectrales des Plasmas à L’équilibre Thermodynamique Local Dans le Cadre du Modèle Hydrogénique Écranté. Ph.D. Thesis, Ecole Polytechnique, Paris, France, 1996. (In French). [Google Scholar]
- Green, J.M. The statistical mechanics of the interdependent electrons in the screening constant model of the many-electron-atom. J. Quant. Spectrosc. Radiat. Transf. 1964, 4, 639–662. [Google Scholar] [CrossRef]
- Green, J. An Explicit Expression for the Grand Partition Function of Interacting Particles in the High Temperature Limit; R&D Associates Report RDA-TR-135302-001; R&D Associates: Marina Del Rey, CA, USA, 1989. [Google Scholar]
- Fischer, H. A History of the Central Limit Theorem from Classical to Modern Probability Theory; Springer: New York, NY, USA, 2011. [Google Scholar]
- Pain, J.-C.; Poirier, M. Analytical and numerical expressions for the number of atomic configurations contained in a supershell. J. Phys. B At. Mol. Opt. Phys. 2020, 53, 115002. [Google Scholar] [CrossRef]
- Krief, M. Number of populated electronic configurations in a hot dense plasma. Phys. Rev. 2021, 103, 033206. [Google Scholar] [CrossRef]
- Drmota, M.; Szpankowski, W. A Master Theorem for Discrete Divide and Conquer Recurrences. J. ACM 2013, 60, 1–49. [Google Scholar] [CrossRef]
- Pain, J.-C.; Gilleron, F. A quantitative study of some sources of uncertainty in opacity measurements. High Energy Density Phys. 2020, 34, 100745. [Google Scholar] [CrossRef]
- Faussurier, G.; Blancard, C.; Decoster, A. Laser Interaction with Matter (Proceedings of the 23rd European Conference, St. Johns College, Oxford, UK, 1923 September 1994); Rose, S.J., Ed.; Rutherford Laboratory: Chilton/Didcot, UK, 1995; p. 239. [Google Scholar]
- Faussurier, G.; Blancard, C.; Decoster, A. Statistical treatment of radiative transitions in local thermodynamic equilibrium plasmas. Phys. Rev. E 1997, 56, 3488–3497. [Google Scholar] [CrossRef]
- Bar-Shalom, A.; Oreg, J.; Klapisch, M. Non-LTE superconfiguration collisional radiative model. J. Quant. Spectrosc. Radiat. Transf. 1997, 58, 427–439. [Google Scholar] [CrossRef]
- Bar-Shalom, A.; Oreg, J.; Klapisch, M. Collisional radiative model for heavy atoms in hot non-local-thermodynamical-equilibrium plasmas. Phys. Rev. E 1997, 56, R70–R73. [Google Scholar] [CrossRef]
- Bar-Shalom, A.; Oreg, J.; Klapisch, M. Recent developments in the SCROLL model. J. Quant. Spectrosc. Radiat. Transf. 2000, 65, 43–55. [Google Scholar] [CrossRef]
- Bar-Shalom, A.; Klapisch, M.; Oreg, J. HULLAC, an integrated computer package for atomic processes in plasmas. J. Quant. Spectrosc. Radiat. Transf. 2001, 71, 169–188. [Google Scholar] [CrossRef]
- Busquet, M. Radiation-dependent ionization model for laser-created plasmas. Phys. Fluids B Plasma Phys. 1993, 5, 4191–4206. [Google Scholar] [CrossRef]
- Klapisch, M.; Bar-Shalom, A. Checking the validity of Busquet’s ionization temperature with detailed collisional radiative models. J. Quant. Spectrosc. Radiat. Transf. 1997, 58, 687–697. [Google Scholar] [CrossRef]
- Cossé, P. Contribution à L’étude de la Cinétique Ionique des Plasmas Chauds: Mise en Évidence de Pseudo-Équilibres Thermodynamiques. Ph.D. Thesis, Université Paris Sud XI, Orsay, France, 2001. (In French). [Google Scholar]



| Final | Number of | Final Value | Final Number of | |
|---|---|---|---|---|
| Partition | Iterations | of | Superconfigurations | |
| 10 | 282 | 13.02 | 8 | |
| 100 | 65 | 2.30 | 36 | |
| 500 | 33 | 0.85 | 288 | |
| 1000 | 31 | 0.80 | 864 | |
| 5000 | 21 | 0.40 | 2592 | |
| 10,000 | 20 | 0.40 | 5184 | |
| 50,000 | 15 | 0.25 | 31,104 | |
| Planck Mean | Rosseland Mean | |
|---|---|---|
| (cm/g) | (cm/g) | |
| 10 | 1715 | 321.2 |
| 100 | 1611 | 211.6 |
| 500 | 1616 | 220.1 |
| 1000 | 1617 | 215.4 |
| 5000 | 1621 | 216.7 |
| 10,000 | 1621 | 216.7 |
| 50,000 | 1621 | 216.7 |
Publisher’s Note: MDPI stays neutral with regard to jurisdictional claims in published maps and institutional affiliations. |
© 2022 by the author. Licensee MDPI, Basel, Switzerland. This article is an open access article distributed under the terms and conditions of the Creative Commons Attribution (CC BY) license (https://creativecommons.org/licenses/by/4.0/).
Share and Cite
Pain, J.-C. Adaptive Algorithm for the Generation of Superconfigurations in Hot-Plasma Opacity Calculations. Plasma 2022, 5, 154-175. https://doi.org/10.3390/plasma5010012
Pain J-C. Adaptive Algorithm for the Generation of Superconfigurations in Hot-Plasma Opacity Calculations. Plasma. 2022; 5(1):154-175. https://doi.org/10.3390/plasma5010012
Chicago/Turabian StylePain, Jean-Christophe. 2022. "Adaptive Algorithm for the Generation of Superconfigurations in Hot-Plasma Opacity Calculations" Plasma 5, no. 1: 154-175. https://doi.org/10.3390/plasma5010012
APA StylePain, J.-C. (2022). Adaptive Algorithm for the Generation of Superconfigurations in Hot-Plasma Opacity Calculations. Plasma, 5(1), 154-175. https://doi.org/10.3390/plasma5010012
