Quantitative Assessment of Ceramic Suspension Stability Using a LUMiSizer Analytical Centrifuge
Abstract
1. Introduction
2. Materials and Methods
2.1. Introduction to Stability Analysis and Instability Indexes
2.2. Evaluation of Stability Using Different Dispersion Media
2.3. Evaluation of Stability Using Additives
2.4. Optimization of Surfactant Concentration
2.5. Additional Materials Characterization
3. Results and Discussion
3.1. Introduction to Stability Analysis and Instability Indexes
3.2. Selection of Dispersion Media
3.3. Determining the Effect of the Additive on Suspension Stability
3.4. Optimizing Dispersant Concentration for 3D Printing Purposes
4. Conclusions
- (1)
- Using centrifugal force in an analytical centrifuge, it is possible to monitor the sedimentation process over time and evaluate kinetic stability using the values of the so-called instability index.
- (2)
- The instability index value can be used to determine the optimal volumetric concentration of the suspension at which no particle agglomeration occurs, even without the addition of a stabilizing agent. Corundum suspensions in a 2 wt.% water solution of CMC were analysed, and the LUMiSizer centrifuge proved that it is possible to homogenize suspensions up to 15 vol.% of particles without agglomeration. Suspensions with used dispersant showed exceptional kinetic stability, while their instability indexes reached values below 0.05.
- (3)
- It has been demonstrated that the optimal dispersion environment, which minimizes particle sedimentation, can be identified without the necessity of using time-consuming and inaccurate cylinder-based sedimentation tests. From the analysis of metakaolin suspensions examined in three different environments, it was confirmed that the graphical output and the corresponding II values obtained using the LUMiSizer centrifuge confirmed that sedimentation is significantly reduced in the medium containing the polymer stabilizer compared to the purely aqueous environment.
- (4)
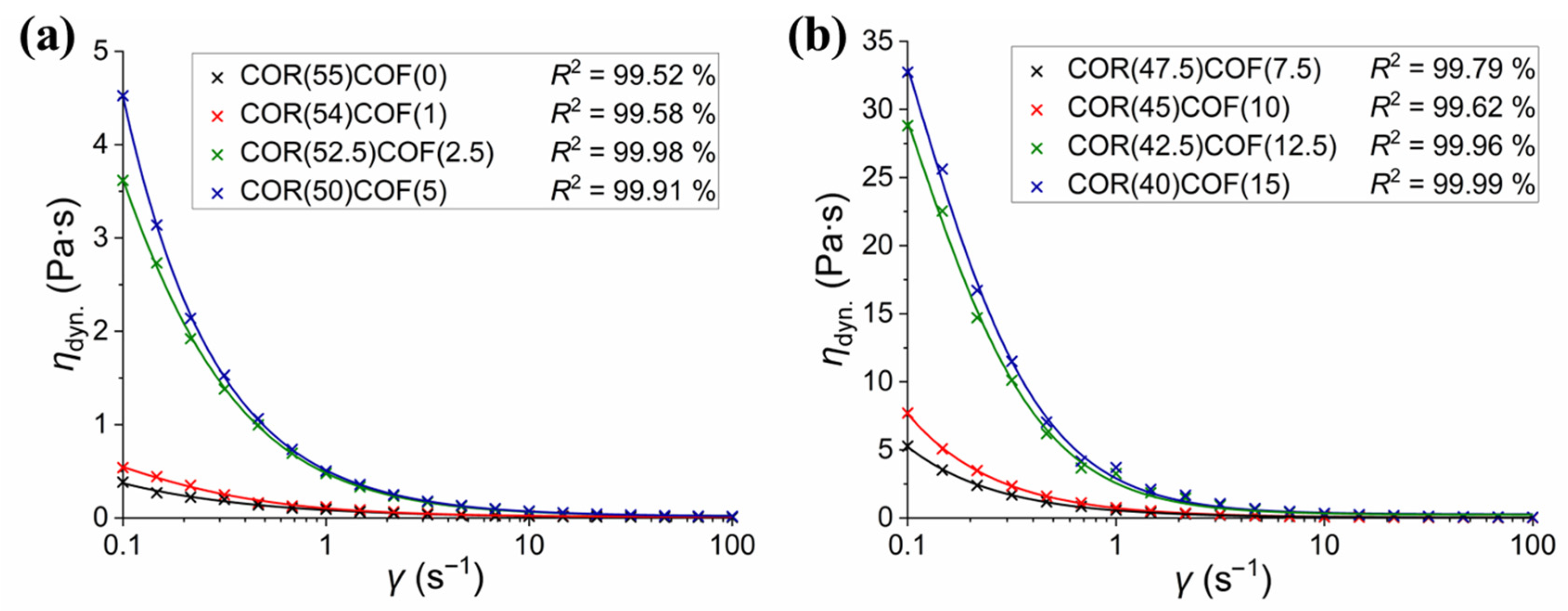
- The incorporation of porogens in the formation of porous ceramics increased the suspension stability, and the analytical centrifuge provides an opportunity for assessment of the effect of different additives on suspension stability. In particular, the stability of the prepared corundum suspensions increased with increasing waste coffee grounds content, which can be attributed to the corresponding increase in the dynamic viscosity values of the suspensions.
- (5)
- The instability index value proved to be a valuable complementary parameter for verifying the accuracy of conventional rheological measurements when optimizing the dispersant concentration, thereby preventing the occurrence of depletion flocculation or undesirable particle agglomeration. For a photocurable system containing zirconia particles, the optimal dispersant concentration (8.5 wt.%) was evaluated, with the corresponding instability indices exhibiting an excellent correlation with rheological data.
Author Contributions
Funding
Institutional Review Board Statement
Informed Consent Statement
Data Availability Statement
Conflicts of Interest
References
- Łada, P.; Falkowski, P.; Miazga, A.; Konopka, K.; Szafran, M. Fabrication of ZrO2-Ti Composites by Slip Casting Method. Arch. Metall. Mater. 2016, 61, 1095–1100. [Google Scholar] [CrossRef]
- Wong, T.L.; Li, R.K.Y.; Wu, C.M.L. Injection Moulding of Sicw/Al2O3 Composites. J. Mater. Process. Technol. 1997, 63, 399–404. [Google Scholar] [CrossRef]
- Zhang, X.; Jin, Y.; Li, D.; Xiong, Y. A Review on Recent Advances in Micro-Tubular Solid Oxide Fuel Cells. J. Power Sources 2021, 506, 230135. [Google Scholar] [CrossRef]
- Fabuel, C.; Gómez-Tena, M.P.; Moreno, A.; González-Juárez, F.; Rico-Pérez, V.; Balcells, J. Binder Jetting for Functional Testing of Ceramic Sanitaryware. Ceramics 2025, 8, 58. [Google Scholar] [CrossRef]
- De Noni, A., Jr.; Garcia, D.E.; Hotza, D. A Modified Model for the Viscosity of Ceramic Suspensions. Ceram. Int. 2002, 28, 731–735. [Google Scholar] [CrossRef]
- Tanurdjaja, S.; Tallon, C.; Scales, P.J.; Franks, G.V. Influence of Dispersant Size on Rheology of Non-Aqueous Ceramic Particle Suspensions. Adv. Powder Technol. 2011, 22, 476–481. [Google Scholar] [CrossRef]
- Wilms, P.; Hinrichs, J.; Kohlus, R. Macroscopic Rheology of Non-Brownian Suspensions at High Shear Rates: The Influence of Solid Volume Fraction and Non-Newtonian Behaviour of the Liquid Phase. Rheol. Acta 2021, 61, 123–138. [Google Scholar] [CrossRef]
- Lin, L.; Wu, H.; Li, Y.; Wang, J.; Wu, S. Effect of Particle Size on Rheology, Curing Kinetics, and Corresponding Mechanical and Thermal Properties of Aluminum Nitride (AlN) Ceramic by Digital Light Processing (DLP)-Based Vat Photopolymerization. J. Eur. Ceram. Soc. 2024, 44, 184–192. [Google Scholar] [CrossRef]
- Chargui, F.; Hamidouche, M.; Louahdi, R.; Fantozzi, G. Rheological Behavior of an Algerian Natural Kaolin: Effect of Dispersant. Ceramics 2024, 7, 1159–1171. [Google Scholar] [CrossRef]
- Ahlhelm, M.; Werner, D.; Kaube, N.; Maier, J.; Abel, J.; Behnisch, T.; Moritz, T.; Michaelis, A.; Gude, M. Deriving Principles of the Freeze-Foaming Process by Nondestructive Ct Macrostructure Analyses on Hydroxyapatite Foams. Ceramics 2018, 1, 65–82. [Google Scholar] [CrossRef]
- Horri, B.A.; Ranganathan, P.; Selomulya, C.; Wang, H. A New Empirical Viscosity Model for Ceramic Suspensions. Chem. Eng. Sci. 2011, 66, 2798–2806. [Google Scholar] [CrossRef]
- Komissarenko, D.A.; Sokolov, P.S.; Evstigneeva, A.D.; Slyusar, I.V.; Nartov, A.S.; Volkov, P.A.; Lyskov, N.V.; Evdokimov, P.V.; Putlayev, V.I.; Dosovitsky, A.E. DLP 3D Printing of Scandia-Stabilized Zirconia Ceramics. J. Eur. Ceram. Soc. 2021, 41, 684–690. [Google Scholar] [CrossRef]
- Sun, Y.; Wang, C.; Zhao, Z. ZTA Ceramic Materials for DLP 3D Printing. IOP Conf. Ser. Mater. Sci. Eng. 2019, 678, 012020. [Google Scholar] [CrossRef]
- Liu, Y.; Liu, Y.; She, W.; Cao, Y.; Zeng, Q.; Dong, N. Effect of Reactive Diluent Concentration on Rheological and Curing Behavior of Zirconia Ceramic Slurry for DLP Printing. Int. J. Appl. Ceram. Technol. 2023, 21, 62–75. [Google Scholar] [CrossRef]
- Edirisinghe, M.J.; Evans, J.R.G. Properties of Ceramic Injection Moulding Formulations: Part 1 Melt Rheology. Int. J. Mater. Sci. 1987, 22, 269–277. [Google Scholar] [CrossRef]
- Durgut, E.; Cinar, M.; Terzi, M.; Kursun Unver, I.; Yildirim, Y.; Ozdemir, O. Evaluation of Different Dispersants on the Dispersion/Sedimentation Behavior of Halloysite, Kaolinite, and Quartz Suspensions in the Enrichment of Halloysite Ore by Mechanical Dispersion. Minerals 2022, 12, 1426. [Google Scholar] [CrossRef]
- Lueptow, R.M.; Hollerbach, R.; Serre, E. Taylor–Couette and Related Flows on the Centennial of Taylor’s seminal Philosophical Transactions paper: Part 1. Philos. Trans. R. Soc. A 2023, 381, 20220140. [Google Scholar] [CrossRef]
- Xu, X.; Zhou, S.; Wu, J.; Liu, S.; Ma, S.; Cheng, T. Study of Alumina Ceramic Parts Fabricated Via DLP Stereolithography Using Powders with Different Sizes and Morphologies. Int. J. Appl. Ceram. Technol. 2022, 20, 1167–1193. [Google Scholar] [CrossRef]
- de Camargo, I.L.; Morais, M.M.; Fortulan, C.A.; Branciforti, M.C. A Review on the Rheological Behavior and Formulations of Ceramic Suspensions for Vat Photopolymerization. Ceram. Int. 2021, 47, 11906–11921. [Google Scholar] [CrossRef]
- Guldner, K.; Dahmann, D.; Mattenklott, T.; Fricke, H.H.; Steinig, O.; Böhm, J. Development of conversion factors for results of early gravimetric dust measurements. Gefahrstoffe—Reinhalt. Luft. 2011, 75, 191–198. [Google Scholar]
- Ulusoy, U.; Yekeler, M.; Biçer, C.; Gülsoy, Z. Combination of the Particle Size Distributions of Some Industrial Minerals Measured by Andreasen Pipette and Sieving Techniques. Particle 2006, 23, 448–456. [Google Scholar] [CrossRef]
- Ding, G.; He, R.; Zhang, K.; Xia, M.; Feng, C.; Fang, D. Dispersion and Stability of SiC Ceramic Slurry for Stereolithography. Ceram. Int. 2020, 46, 4720–4729. [Google Scholar] [CrossRef]
- Concha, F.; Bustos, M.C. A Modification of the Kynch Theory of Sedimentation. AIChE J. 1987, 33, 312–315. [Google Scholar] [CrossRef]
- Tiller, F.M. Revision of Kynch Sedimentation Theory. AIChE J. 1981, 27, 823–829. [Google Scholar] [CrossRef]
- Fitch, B. Kynch Theory and Compression Zones. AIChE J. 1983, 29, 940–947. [Google Scholar] [CrossRef]
- Fatimi, A.; Tassin, J.-F.; Axelos, M.A.V.; Weiss, P. The Stability Mechanisms of An Injectable Calcium Phosphate Ceramic Suspension. Mater. Sci. Mater. Med. 2010, 21, 1799–1809. [Google Scholar] [CrossRef] [PubMed]
- Maude, A.D.; Whitmore, R.L. A Generalized Theory of Sedimentation. Br. J. Appl. Phys. 1958, 9, 477–482. [Google Scholar] [CrossRef]
- Svedberg, T. Sedimentation Constants, Molecular Weights, and Isoelectric Points of the Respiratory Proteins. J. Biol. Chem. 1933, 103, 311–325. [Google Scholar] [CrossRef]
- Burgos-Montes, O.; Moreno, R. Stability of Concentrated Suspensions of Al2O3–SiO2 Measured by Multiple Light Scattering. J. Eur. Ceram. Soc. 2009, 29, 603–610. [Google Scholar] [CrossRef]
- Zielińska, A.; Martins-Gomes, C.; Ferreira, N.R.; Silva, A.M.; Nowak, I.; Souto, E.B. Anti-Inflammatory and Anti-Cancer Activity of Citral: Optimization of Citral-Loaded Solid Lipid Nanoparticles (SLN) Using Experimental Factorial Design and Lumisizer®. Int. J. Pharm. 2018, 553, 428–440. [Google Scholar] [CrossRef] [PubMed]
- Caddeo, C.; Manconi, M.; Fadda, A.M.; Lai, F.; Lampis, S.; Diez-Sales, O.; Sinico, C. Nanocarriers for Antioxidant Resveratrol: Formulation Approach, Vesicle Self-Assembly and Stability Evaluation. Colloids Surf. B Biointerfaces 2013, 111, 327–332. [Google Scholar] [CrossRef]
- Zhang, W.; Hao, J.; Yuan, Y.; Xu, D. Influence of Carboxymethyl Cellulose on the Stability, Rheological Property, and In-Vitro Digestion of Soy Protein Isolate (Spi)-Stabilized Rice Bran Oil Emulsion. Front. Nutr. 2022, 9, 878725. [Google Scholar] [CrossRef]
- Zhai, O.; Baust, H.; Gleiß, M.; Nirschl, H. Model-Based Scale Up of Solid Bowl Centrifuges Using Experimentally Determined Material Functions. Chem. Ing. Tech. 2022, 95, 189–198. [Google Scholar] [CrossRef]
- Kleinubing, S.A.; Outuki, P.M.; Hoscheid, J.; Pelegrini, B.L.; Antonio da Silva, E.; Renata de Almeida Canoff, J.; Miriam de Souza Lima, M.; Carvalho Cardoso, M.L. Hyaluronic Acid Incorporation into Nanoemulsions Containing Pterodon Pubescens Benth. Fruit Oil for Topical Drug Delivery. Biocatal. Agric. Biotechnol. 2021, 32, 101939. [Google Scholar] [CrossRef]
- Detloff, T.; Sobisch, T.; Lerche, D. Instability Index. Dispersion Letters Technical T4. 2013, pp. 1–4. Available online: https://www.dispersion-letters.com/technical-notes/instability-index (accessed on 21 August 2025).
- Ma, L.; Liu, D.; Li, X.; Zou, L.; Wang, Q.; Liu, W. Glycerol-Regulated Water Content in Dha Algal Oil Emulsions: Effects on Emulsion Stability and Oxidative Stability of Dha Algal Oil. J. Food Sci. 2025, 90, e70308. [Google Scholar] [CrossRef]
- Koltay, J.A.; Feke, D.L. Preparation of Continuous Fiber Ceramic Composites Using A Combination of Steric-Stabilization and Depletion-Flocculation Phenomena. Compos. Part A Appl. Sci. Manuf. 1999, 30, 231–237. [Google Scholar] [CrossRef]
- Mitkus, R.; Sinapius, M. Piezoelectric Ceramic/Photopolymer Composites Curable with UV Light: Viscosity, Curing Depth, and Dielectric Properties. J. Compos. Sci. 2022, 6, 212. [Google Scholar] [CrossRef]
- Li, Y.; Sheng, P.; Lin, L.; Wang, L.; Lu, D.; Lin, K.; Wu, H.; Wu, S. Vat Photopolymerization Versus Conventional Colloidal Processing Methods in Structural Ceramics: Progress, Challenges, and Future Perspectives. Addit. Manuf. Front. 2024, 3, 200110. [Google Scholar] [CrossRef]
- Liu, H.; Wang, Z.; Tian, Z.; Bu, J.; Qiu, J. Effect and Mechanism of Metakaolin Powder (MP) on Rheological and Mechanical Properties of Cementitious Suspension. Materials 2022, 15, 5797. [Google Scholar] [CrossRef]
- Malta, J.O.; Oliveira, L.V.S.; Ueki, M.M.; Barreto, L.S. Characterization and Stabilization of Nano-Metakaolin Colloidal Suspensions. Powder Technol. 2021, 383, 43–55. [Google Scholar] [CrossRef]
- Kocak, Y. Effects of Metakaolin on the Hydration Development of Portland–Composite Cement. J. Build. Eng. 2020, 31, 101419. [Google Scholar] [CrossRef]
- Ismail, M.K.; Hassan, A.A.A. Use of Metakaolin on Enhancing the Mechanical Properties of Self-Consolidating Concrete Containing High Percentages of Crumb Rubber. J. Clean. Prod. 2016, 125, 282–295. [Google Scholar] [CrossRef]
- Xu, X.; Oliveira, M.; Ferreira, J.M.F. Effect of Solvent Composition on Dispersing Ability of Reaction Sialon Suspensions. J. Colloid Interface Sci. 2003, 259, 391–397. [Google Scholar] [CrossRef] [PubMed]
- Geng, H.; Chen, W.; Li, Q.; Shui, Z.; Yuan, B. Effect of Pre-Dispersing Metakaolin in Water on the Properties, Hydration, and Metakaolin Distribution in Mortar. Front. Mater. 2019, 6, 99. [Google Scholar] [CrossRef]
- Lerche, D.; Sobisch, T. Direct and Accelerated Characterization of Formulation Stability. J. Disper. Sci. Technol. 2011, 32, 1799–1811. [Google Scholar] [CrossRef]
- Felipe, L.d.O.; Bicas, J.L.; Changwatchai, T.; Abah, E.O.; Nakajima, M.; Neves, M.A. Physical Stability of A-Terpineol-Based Nanoemulsions Assessed by Direct and Accelerated Tests Using Photo Centrifuge Analysis. LWT 2024, 205, 116513. [Google Scholar] [CrossRef]
- Jalaal, M.; Ganji, D.D.; Ahmadi, G. An Analytical Study on Settling of Non-Spherical Particles. Asia Pac. J. Chem. Eng. 2010, 7, 63–72. [Google Scholar] [CrossRef]
- Big-Alabo, A.; Ebieto, C.E.; Ofodu, J.C.; Ossia, C.V. on the Gravitational Fall of A Non-Spherical Particle in A Quiescent Fluid Medium. Powder Technol. 2023, 430, 119017. [Google Scholar] [CrossRef]
- Thomas, P.J. On the Influence of the Basset History Force on the Motion of A Particle Through A Fluid. Phys. Fluids A 1992, 4, 2090–2093. [Google Scholar] [CrossRef]
- Lerche, D. Comprehensive Characterization of Nano- and Microparticles by In-Situ Visualization of Particle Movement Using Advanced Sedimentation Techniques. KONA Powder Part. J. 2019, 36, 156–186. [Google Scholar] [CrossRef]
- Khattab, R.M.; Wahsh, M.M.S.; Khalil, N.M. Preparation and Characterization of Porous Alumina Ceramics Through Starch Consolidation Casting Technique. Ceram. Int. 2012, 38, 4723–4728. [Google Scholar] [CrossRef]
- Alag, H.K.; Zamel, R.S. Studying the Properties of Porous Alumina Using Starch as A Binder. J. Al-Nahrain Univ. Sci. 2018, 21, 112–118. [Google Scholar] [CrossRef]
- Gregorová, E.; Pabst, W. Process Control and Optimized Preparation of Porous Alumina Ceramics by Starch Consolidation Casting. J. Eur. Ceram. Soc. 2011, 31, 2073–2081. [Google Scholar] [CrossRef]
- Kerolli Mustafa, M.; Gabelica, I.; Mandić, V.; Veseli, R.; Ćurković, L. Reusing Waste Coffee Grounds in the Preparation of Porous Alumina Ceramics. Sustainability 2022, 14, 14244. [Google Scholar] [CrossRef]
- Smirnov, A.D.; Kholodkova, A.A.; Rybalchenko, V.V.; Tarasovskii, V.P. Porous Alumina-Bentonite Ceramics: Effects of Fillers and Molding Technique. Ceramics 2023, 6, 132–145. [Google Scholar] [CrossRef]
- Zhang, X.; Tahmasebi, P. Drafting, Kissing and Tumbling Process of Two Particles: The Effect of Morphology. Int. J. Multiph. Flow 2023, 160, 104379. [Google Scholar] [CrossRef]
- Sazhin, S. Droplets and Spray; Springer: London, UK, 2014; ISBN 978-1-4471-6385-5. [Google Scholar]
- Abu-Lebdeh, T.M.; Damptey, R.; Ungureanu, L.M.; Petrescu, F.I.T. A Ternary Model for Particle Packing Optimization. J. Compos. Sci. 2022, 6, 113. [Google Scholar] [CrossRef]
- Guazzelli, E.; Morris, J.F. A Physical Introduction to Suspension Dynamics; Cambridge University Press: Cambridge, UK, 2012; ISBN 978-0-521-19319-1. [Google Scholar]
- Shapiro, A.P.; Probstein, R.F. Random Packings of Spheres and Fluidity Limits of Monodisperse and Bidisperse Suspensions. Phys. Rev. Lett. 1992, 68, 1422–1425. [Google Scholar] [CrossRef]
- Baum, M.; Anders, D.; Reinicke, T. Enhancing Injection Molding Simulation Accuracy: A Comparative Evaluation of Rheological Model Performance. Appl. Sci. 2024, 14, 8468. [Google Scholar] [CrossRef]
- Wang, D.; Chen, T.; Zeng, Y.; Chen, X.; Xing, W.; Fan, Y.; Qiao, X. Optimization of UV-Curable Alumina Suspension for Digital Light Processing of Ceramic Membranes. J. Membr. Sci. 2022, 643, 120066. [Google Scholar] [CrossRef]
- Trembecka-Wójciga, K.; Ortyl, J. Enhancing 3D Printed Ceramic Components: The Function of Dispersants, Adhesion Promoters, and Surface-Active Agents in Photopolymerization-Based Additive Manufacturing. Adv. Colloid Interface Sci. 2024, 332, 103251. [Google Scholar] [CrossRef] [PubMed]










| Powder | Amount (Vol. %) | Dispersion Media | Surfactant |
|---|---|---|---|
| Corundum | 2.5–40 | 2% water solution of CMC | Dolapix CE64 |
| Corundum | 2.5–35 | 2% water solution of CMC | No |
| Designation | Solid Content of Metakaolin (wt.%) | Dispersion Media | Surfactant |
|---|---|---|---|
| MK(WAT) | 5 | Water | No |
| MK(2%CMC) | 5 | 2 wt.% aqueous solution of CMC | No |
| MK(2%PVA) | 5 | 2 wt.% aqueous solution of PVA | No |
| Designation | Solid Content of Corundum (wt.%) | Amount WCG (wt.%) | Surfactant |
|---|---|---|---|
| COR(55)COF(0) | 55 | 0 | 1 wt.% ascorbic acid |
| COR(52.5)COF(2.5) | 52.5 | 2.5 | 1 wt.% ascorbic acid |
| COR(50)COF(5) | 50 | 5 | 1 wt.% ascorbic acid |
| COR(47.5)COF(7.5) | 47.5 | 7.5 | 1 wt.% ascorbic acid |
| COR(45)COF(10) | 45 | 10 | 1 wt.% ascorbic acid |
| COR(42.5)COF(12.5) | 42.5 | 12.5 | 1 wt.% ascorbic acid |
| COR(40)COF(15) | 40 | 15 | 1 wt.% ascorbic acid |
| Sample | A (mm/h) | v(LUMiSizer) (mm/h) | v(Stokes) (mm/h) |
|---|---|---|---|
| MK(WAT) | 1.253 | 3.781 | 3.162 |
| MK(2%PVA) | 0.373 | 1.127 | 0.926 |
| MK(2%CMC) | 0.352 | 1.064 | 0.896 |
Disclaimer/Publisher’s Note: The statements, opinions and data contained in all publications are solely those of the individual author(s) and contributor(s) and not of MDPI and/or the editor(s). MDPI and/or the editor(s) disclaim responsibility for any injury to people or property resulting from any ideas, methods, instructions or products referred to in the content. |
© 2025 by the authors. Licensee MDPI, Basel, Switzerland. This article is an open access article distributed under the terms and conditions of the Creative Commons Attribution (CC BY) license (https://creativecommons.org/licenses/by/4.0/).
Share and Cite
Sokola, P.; Skalar, T.; Šiler, P.; Blahut, J.; Kalina, M.; Veteška, P.; Ptáček, P. Quantitative Assessment of Ceramic Suspension Stability Using a LUMiSizer Analytical Centrifuge. Ceramics 2025, 8, 115. https://doi.org/10.3390/ceramics8030115
Sokola P, Skalar T, Šiler P, Blahut J, Kalina M, Veteška P, Ptáček P. Quantitative Assessment of Ceramic Suspension Stability Using a LUMiSizer Analytical Centrifuge. Ceramics. 2025; 8(3):115. https://doi.org/10.3390/ceramics8030115
Chicago/Turabian StyleSokola, Patrik, Tina Skalar, Pavel Šiler, Jan Blahut, Michal Kalina, Peter Veteška, and Petr Ptáček. 2025. "Quantitative Assessment of Ceramic Suspension Stability Using a LUMiSizer Analytical Centrifuge" Ceramics 8, no. 3: 115. https://doi.org/10.3390/ceramics8030115
APA StyleSokola, P., Skalar, T., Šiler, P., Blahut, J., Kalina, M., Veteška, P., & Ptáček, P. (2025). Quantitative Assessment of Ceramic Suspension Stability Using a LUMiSizer Analytical Centrifuge. Ceramics, 8(3), 115. https://doi.org/10.3390/ceramics8030115

