The Effect of Glazing and Repeated Firing on Color, Translucency, and Flexural Strength of Different Types of Zirconia: An In Vitro Study
Abstract
1. Introduction
2. Materials and Methods
2.1. Sample Preparation and Study Design
2.2. Assessment of Color and Translucency
2.3. Assessment of Flexural Strength
2.4. Statistical Analysis
3. Results
3.1. Flexural Strength
3.2. Translucency
3.3. Color Stability
4. Discussion
5. Conclusions
- Heat treatment significantly reduced the flexural strengths of all materials, with the degree of reduction varying by material.
- The impact of heat treatment on translucency and color stability was material-dependent.
- The type 4Y-PSZ demonstrated the greatest stability in flexural strength, translucency, and color when subjected to multiple heat treatments. This makes it a reliable and practical choice for monolithic restorations, even when multiple glaze firings are required, suitable for both anterior and posterior use.
- The type 5Y-PSZ was highly sensitive to multiple heat treatments, showing unacceptable changes in color and significant changes in translucency and flexural strength. It is recommended to be polished only, without glaze firings, to maintain its properties.
- The type 3Y-TZP experienced acceptable color changes with heat treatments and increased translucency but remains insufficient for aesthetic applications, especially in the anterior zone.
Author Contributions
Funding
Institutional Review Board Statement
Informed Consent Statement
Data Availability Statement
Acknowledgments
Conflicts of Interest
References
- Huang, B.; Chen, M.; Wang, J.; Zhang, X. Advances in Zirconia-Based Dental Materials: Properties, Classification, Applications, and Future Prospects. J. Dent. 2024, 147, 105111. [Google Scholar] [CrossRef]
- Zhang, Y.; Lawn, B.R. Novel zirconia materials in dentistry. J. Dent. Res. 2018, 97, 140–147. [Google Scholar] [CrossRef]
- Bömicke, W.; Rammelsberg, P.; Zenthöfer, A.; Ohlmann, B. Clinical performance of zirconia–ceramic cantilever fixed partial dentures—Longitudinal nine-year results from a prospective, randomized, controlled pilot study. J. Prosthodont. Res. 2019, 63, 334–339. [Google Scholar] [CrossRef] [PubMed]
- Pekkan, G.; Pekkan, K.; Bayindir, B.Ç.; Özcan, M.; Karasu, B. Factors affecting the translucency of monolithic zirconia ceramics: A review from materials science perspective. Dent. Mater. J. 2020, 39, 1–8. [Google Scholar] [CrossRef] [PubMed]
- Zhang, H.; Li, Z.; Kim, B.-N.; Morita, K.; Yoshida, H.; Hiraga, K.; Sakka, Y. Effect of alumina dopant on transparency of tetragonal zirconia. J. Nanomater. 2012, 2012, 269064. [Google Scholar] [CrossRef]
- Vichi, A.; Sedda, M.; Fabian Fonzar, R.; Carrabba, M.; Ferrari, M. Comparison of contrast ratio, translucency parameter, and flexural strength of traditional and “augmented translucency” zirconia for CEREC CAD/CAM system. J. Esthet. Restor. Dent. 2016, 28, S32–S39. [Google Scholar] [CrossRef] [PubMed]
- Kwon, S.J.; Lawson, N.C.; McLaren, E.E.; Nejat, A.H.; Burgess, J.O. Comparison of the mechanical properties of translucent zirconia and lithium disilicate. J. Prosthet. Dent. 2018, 120, 132–137. [Google Scholar] [CrossRef]
- Villa, H.L.; Lawson, N.C.; Brindis, M. Material Selection for Single-Unit Crown Anterior Restorations. Compend. Contin. Educ. Dent. 2020, 41, 477. [Google Scholar]
- Manjuran, N.G.; Sreelal, T. An in vitro study to identify a ceramic polishing protocol effecting smoothness superior to glazed surface. J. Indian Prosthodont. Soc. 2014, 14, 219–227. [Google Scholar] [CrossRef] [PubMed]
- Fehmi, G.; Ersan, Ç.; Caner, Ö. Influence of repeated firings on the color parameters of two different all-ceramic materials. Color Res. Appl. 2018, 43, 606–611. [Google Scholar] [CrossRef]
- Yener, E.S.; Özcan, M.; Kazazoğlu, E. The effect of glazing on the biaxial flexural strength of different zirconia core materials. Acta Odontol. Latinoam. 2011, 24, 133–140. [Google Scholar]
- Kumchai, H.; Juntavee, P.; Sun, A.F.; Nathanson, D. Effect of glazing on flexural strength of full-contour zirconia. Int. J. Dent. 2018, 2018, 8793481. [Google Scholar] [CrossRef] [PubMed]
- Subaşı, M.G.; Çakmak, G.; Sert, M.; Yilmaz, B. Effect of multiple firings on surface roughness and flexural strength of CAD-CAM ceramics. J. Prosthet. Dent. 2022, 128, 216.e1–216.e8. [Google Scholar] [CrossRef]
- Yang, S.; Li, Q.; Chen, S.-y.; Yu, H. Effect of multiple firings on the marginal fit of monolithic zirconia crowns: An in vitro study. J. Prosthet. Dent. 2023, 130, 897–901. [Google Scholar] [CrossRef] [PubMed]
- Altan, B.; Cinar, S. Effect of repeated firings and thickness on optical properties of variable preshaded and shaded novel translucent zirconia blocks. BioMed Res. Int. 2022, 2022, 8572782. [Google Scholar] [CrossRef] [PubMed]
- Dentsply Sirona Prosthetics. Cercon®Makes You Smile: Brochure for the Dental Laboratory; Catalog No. 283678/REV 2017-02; Dentsply Sirona, DeguDent GmbH: Hanau-Wolfgang, Germany, 2017; p. 16. [Google Scholar]
- Ivoclar Vivadent, A.G. IPS e.max ZirCAD Labside: Instructions for Use, 3rd ed.; Catalog No. 690511/EN; Ivoclar Vivadent AG: Schaan, Liechtenstein, 2019; p. 60. [Google Scholar]
- ISO 6872:2024; Dentistry—Ceramic Materials. International Organization for Standardization: Geneva, Switzerland, 2024.
- CIE Technical Report: Colorimetry; CIE Pub No. 15.3.2004; Commission Internationale del’ Eclairage: Vienna, Austria, 2004; pp. 20–21.
- Juntavee, N.; Attashu, S. Effect of sintering process on color parameters of nano-sized yttria partially stabilized tetragonal monolithic zirconia. J. Clin. Exp. Dent. 2018, 10, e794. [Google Scholar] [CrossRef]
- Harada, A.; Shishido, S.; Barkarmo, S.; Inagaki, R.; Kanno, T.; Örtengren, U.; Egusa, H.; Nakamura, K. Mechanical and microstructural properties of ultra-translucent dental zirconia ceramic stabilized with 5 mol% yttria. J. Mech. Behav. Biomed. Mater. 2020, 111, 103974. [Google Scholar] [CrossRef] [PubMed]
- Mao, L.; Kaizer, M.; Zhao, M.; Guo, B.; Song, Y.; Zhang, Y. Graded ultra-translucent zirconia (5Y-PSZ) for strength and functionalities. J. Dent. Res. 2018, 97, 1222–1228. [Google Scholar] [CrossRef]
- Nam, M.-G.; Park, M.-G. Changes in the flexural strength of translucent zirconia due to glazing and low-temperature degradation. J. Prosthet. Dent. 2018, 120, 969.e1–969.e6. [Google Scholar] [CrossRef] [PubMed]
- Lai, X.; Si, W.; Jiang, D.; Sun, T.; Shao, L.; Deng, B. Effects of small-grit grinding and glazing on mechanical behaviors and ageing resistance of a super-translucent dental zirconia. J. Dent. Res. 2017, 66, 23–31. [Google Scholar] [CrossRef]
- Dimitriadis, K.; Sfikas, A.K.; Kamnis, S.; Tsolka, P.; Agathopoulos, S. Influence of heat treatment on the microstructure and the physical and mechanical properties of dental highly translucent zirconia. J. Adv. Prosthodont. 2022, 14, 96. [Google Scholar] [CrossRef] [PubMed]
- Luo, M.R.; Cui, G.; Rigg, B. The development of the CIE 2000 colour-difference formula: CIEDE2000. Color Res. Appl. 2001, 26, 340–350. [Google Scholar] [CrossRef]
- Douglas, R.D.; Steinhauer, T.J.; Wee, A.G. Intraoral determination of the tolerance of dentists for perceptibility and acceptability of shade mismatch. J. Prosthet. Dent. 2007, 97, 200–208. [Google Scholar] [CrossRef] [PubMed]
- Paravina, R.D.; Ghinea, R.; Herrera, L.J.; Bona, A.D.; Igiel, C.; Linninger, M.; Sakai, M.; Takahashi, H.; Tashkandi, E.; Mar Perez, M.d. Color difference thresholds in dentistry. J. Esthet. Restor. Dent. 2015, 27, S1–S9. [Google Scholar] [CrossRef] [PubMed]
- Lee, Y.-K. Comparison of CIELAB ΔE* and CIEDE2000 color-differences after polymerization and thermocycling of resin composites. Dent. Mater. 2005, 21, 678–682. [Google Scholar] [CrossRef]
- Pecho, O.E.; Ghinea, R.; Alessandretti, R.; Pérez, M.M.; Della Bona, A. Visual and instrumental shade matching using CIELAB and CIEDE2000 color difference formulas. Dent. Mater. 2016, 32, 82–92. [Google Scholar] [CrossRef] [PubMed]
- Jiang, L.; Xu, M.-Q.; Lu, X.-L.; Tong, X.-W.; Liang, X.-J.; Yu, H. Effect of multiple firings on the color and translucency of monolithic zirconia. Front. Mater. 2023, 10, 1110688. [Google Scholar] [CrossRef]
- Habib, A.W.; Aboushelib, M.N.; Habib, N.A. Effect of chemical aging on color stability and surface properties of stained all-ceramic restorations. J. Esthet. Restor. Dent. 2021, 33, 636–647. [Google Scholar] [CrossRef]
- Manziuc, M.M.; Gasparik, C.; Burde, A.V.; Colosi, H.A.; Negucioiu, M.; Dudea, D. Effect of glazing on translucency, color, and surface roughness of monolithic zirconia materials. J. Esthet. Restor. Dent. 2019, 31, 478–485. [Google Scholar] [CrossRef] [PubMed]
- Aydoğdu, H.M.; Yıldız, P.; Ünlü, D.G. A comparative study of translucency and color perception in monolithic zirconia and lithium disilicate veneers. Heliyon 2024, 10, e23789. [Google Scholar] [CrossRef]
- Lee, Y.-K. Translucency of human teeth and dental restorative materials and its clinical relevance. J. Biomed. Opt. 2015, 20, 045002. [Google Scholar] [CrossRef]
- Nejatidanesh, F.; Azadbakht, K.; Savabi, O.; Sharifi, M.; Shirani, M. Effect of repeated firing on the translucency of CAD-CAM monolithic glass-ceramics. J. Prosthet. Dent. 2020, 123, 530.e1–530.e6. [Google Scholar] [CrossRef] [PubMed]
- Salas, M.; Lucena, C.; Herrera, L.J.; Yebra, A.; Della Bona, A.; Pérez, M.M. Translucency thresholds for dental materials. Dent. Mater. 2018, 34, 1168–1174. [Google Scholar] [CrossRef]
- Savaş, T.Y.; Akın, C. Effects of sintering protocol and dipping time on the optical properties of monolithic zirconia. J. Prosthet. Dent. 2022, 127, 801.e1–801.e8. [Google Scholar] [CrossRef] [PubMed]
- Li, S.; Zhang, X.; Xia, W.; Liu, Y. Effects of surface treatment and shade on the color, translucency, and surface roughness of high-translucency self-glazed zirconia materials. J. Prosthet. Dent. 2022, 128, 217.e1–217.e9. [Google Scholar] [CrossRef] [PubMed]
- Wu, Z.; Wei, D.; Tian, J.; Zhang, Y.; Lin, Y.; Di, P. Quantitative analysis of the color in six CAD-CAM dental materials of varied thickness and surface roughness: An in vitro study. J. Prosthet. Dent. 2024, 131, 292.e1–292.e9. [Google Scholar] [CrossRef] [PubMed]
- Lee, S.-H.; Lee, Y.-K.; Lim, B.-S. Influence of thermocycling on the optical properties of laboratory resin composites and an all-ceramic material. J. Mater. Sci. Mater. Med. 2004, 15, 1221–1226. [Google Scholar] [CrossRef]
- Barizon, K.T.; Bergeron, C.; Vargas, M.A.; Qian, F.; Cobb, D.S.; Gratton, D.G.; Geraldeli, S. Ceramic materials for porcelain veneers. Part I: Correlation between translucency parameters and contrast ratio. J. Prosthet. Dent. 2013, 110, 397–401. [Google Scholar] [CrossRef]





| Material | Composition and Flexural Strength | Manufacturer | Shade/Lot Number |
|---|---|---|---|
| Cercon xt (extra-high-translucency zirconia), 5Y-PSZ 1, third-generation zirconia |
| DENTSPLY, New York, NY, US [16] | A2/18043031 |
| IPS e.max ZirCAD MT (medium-translucency zirconia), 4Y-PSZ 2, third-generation zirconia |
| IVOCLAR, Schaan, Liechtenstein [17] | A2/Z02T7V |
| IPS e.max ZirCAD LT (low-translucency zirconia), 3Y-TZP 3, second-generation zirconia |
| IVOCLAR, Schaan, Liechtenstein | A2/Z04TWP |
| Source | Type III Sum of Squares | df b | Mean Square | F c | p-Value | Partial Eta Squared |
|---|---|---|---|---|---|---|
| Corrected Model | 2,736,014.389 a | 11 | 248,728.581 | 16.055 | <0.001 | 0.621 |
| Intercept | 51,248,722.557 | 1 | 51,248,722.557 | 3307.961 | <0.001 | 0.968 |
| Treatment | 371,151.627 | 3 | 123,717.209 | 7.986 | <0.001 | 0.182 |
| Material | 2,208,286.521 | 2 | 1,104,143.261 | 71.269 | <0.001 | 0.569 |
| Treatment × Material | 156,576.242 | 6 | 26,096.040 | 1.684 | 0.132 | 0.086 |
| Error | 1,673,194.494 | 108 | 15,492.542 | |||
| Total | 55,657,931.441 | 120 | ||||
| Corrected Total | 4,409,208.884 | 119 |
| Treatment Group | Material | p-Value | ||
|---|---|---|---|---|
| Cercon xt (5Y-PSZ) | IPS e.max ZirCAD MT (4Y-PSZ) | IPS e.max ZirCAD LT (3Y-TZP) | ||
| P | 614.99 (157.24) a,A | 681.10 (130.15) a,A | 918.46 (148.91) a,B | <0.001 |
| PG | 525.50 (103.15) a,b,A | 574.50 (101.46) a,A | 736.10 (143.11) b,B | <0.001 |
| PGF | 551.95 (96.23) a,A | 567.45 (107.78) a,A | 883.40 (140.76) a,b,B | <0.001 |
| PGFF | 401.58 (82.36) b,A | 562.28 (112.23) a,B | 824.80 (143.49) a,b,C | <0.001 |
| p-value | 0.002 | 0.075 | 0.04 | |
| Translucency Index | Treatment Group | Material | p-Value | ||
|---|---|---|---|---|---|
| Cercon xt (5Y-PSZ) | IPS e.max ZirCAD MT (4Y-PSZ) | IPS e.max ZirCAD LT (3Y-TZP) | |||
| Translucency Parameter | P | 5.86 (0.63) a,A | 5.36 (1.62) a,A,B | 4.11 (2.87) a,B | 0.001 |
| PG | 6.28 (1.16) a,b,A | 5.25 (0.89) a,B | 4.53 (2.45) a,B | <0.001 | |
| PGF | 6.52 (0.64) b,A | 5.54 (0.90) a,B | 4.53 (3.37) a,B | <0.001 | |
| PGFF | 6.19 (2.74) a,b,A | 5.94 (2.78) a,B | 4.23 (3.75) a,B | 0.012 | |
| p-value | 0.003 | 0.088 | 0.799 | ||
| Contrast Ratio | P | 0.85 (0.02) b,A | 0.88 (0.06) a,b,A,B | 0.91 (0.11) a,B | 0.001 |
| PG | 0.82 (0.02) a,A | 0.88 (0.05) b,B | 0.90 (0.09) a,B | <0.001 | |
| PGF | 0.83 (0.02) a,A | 0.87 (0.03) a,b,B | 0.88 (0.10) a,B | <0.001 | |
| PGFF | 0.85 (0.08) b,A | 0.86 (0.05) a,A,B | 0.91 (0.11) a,B | 0.014 | |
| p-value | <0.001 | 0.031 | 0.577 | ||
| Color Parameter | Treatment Group | Material | p-Value | ||
|---|---|---|---|---|---|
| Cercon xt (5Y-TZP) | IPS e.max ZirCAD MT (4Y-TZP) | IPS e.max ZirCAD LT (3Y-TZP) | |||
| L* | P | 72.01 (1.02) c,B | 77.68 (0.71) c,A | 77.74 (1.21) c,A | <0.001 |
| PG | 63.31 (1.82) a,B | 76.92 (1.81) b,A | 76.34 (1.60) b,A | <0.001 | |
| PGF | 69.39 (1.11) b,B | 76.40 (2.21) b,A | 76.05 (1.78) b,A | <0.001 | |
| PGFF | 72.86 (11.4) c,B | 75.55 (3.00) a,A | 75.42 (2.73) a,A | 0.004 | |
| p-value | <0.001 | <0.001 | <0.001 | ||
| a* | P | −1.38 (0.08) b,A | −1.29 (0.06) b,B | −0.31 (0.05) b,C | <0.001 |
| PG | −1.54 (0.12) a,A | −1.54 (0.12) a,A | −0.37 (0.13) a,b,B | <0.001 | |
| PGF | −1.62 (0.07) a,A | −1.63 (0.06) a,A | −0.35 (0.10) a,b,B | <0.001 | |
| PGFF | −1.62 (0.06) a,A | −1.63 (0.09) a,A | −0.46 (0.10) a,B | <0.001 | |
| p-value | <0.001 | <0.001 | 0.016 | ||
| b* | P | 7.12 (0.14) a,A | 6.70 (0.41) a,A | 7.69 (0.49) a,B | <0.001 |
| PG | 7.71 (0.34) b,A | 6.88 (0.51) a,B | 7.69 (0.26) a,A | <0.001 | |
| PGF | 8.27 (0.15) c,A | 6.97 (0.20) a,B | 7.53 (0.55) a,C | <0.001 | |
| PGFF | 8.54 (0.39) c,A | 6.80 (0.32) a,B | 8.38 (0.47) b,A | <0.001 | |
| p-value | <0.001 | 0.441 | 0.001 | ||
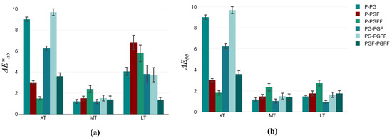
| Color Differences Between Treatment Groups | Material | p-Value | ||
|---|---|---|---|---|
| Cercon xt (5Y-TZP) | IPS e.max ZirCAD MT (4Y-TZP) | IPS e.max ZirCAD LT (3Y-TZP) | ||
| ΔE*ab (P-PG) | 9.02 (0.67) d,C | 1.21 (0.61) a,A | 4.93 (3.04) b,B | <0.001 |
| ΔE*ab (P-PGF) | 3.03 (0.44) b,B | 1.51 (0.63) a,b,A | 6.83 (2.13) c,C | <0.001 |
| ΔE*ab (P-PGFF) | 1.49 (0.54) a,A | 2.39 (1.09) b,A | 5.79 (2.51) b,c,B | <0.001 |
| ΔE*ab (PG-PGF) | 6.25 (0.74) c,C | 1.21 (0.61) a,A | 3.81 (2.68) a,b,B | <0.001 |
| ΔE*ab (PG-PGFF) | 9.69 (0.98) d,C | 1.53 (0.88) a,b,A | 3.75 (2.14) a,b,B | <0.001 |
| ΔE*ab (PGF-PGFF) | 4.60 (1.06) b,B | 1.39 (1.03) a,b,A | 1.35(0.77) a,A | <0.001 |
| p-value | <0.001 | 0.026 | <0.001 | |
| ΔE00 (P-PG) | 9.02 (0.67) d,B | 1.18 (0.62) a,A | 1.48(0.28) a,A | <0.001 |
| ΔE00 (P-PGF) | 3.02 (0.44) b,B | 1.47 (0.64) a,b,A | 1.76 (0.76) a,A | <0.001 |
| ΔE00 (P-PGFF) | 1.83 (0.72) a,A | 2.45 (1.12) b,A | 2.74 (0.88) b,A | 0.103 |
| ΔE00 (PG-PGF) | 6.25 (0.74) c,B | 1.04 (0.62) a,A | 0.95 (0.45) a,A | <0.001 |
| ΔE00 (PG-PGFF) | 9.69 (1.00) d,B | 1.51 (0.89) a,b,A | 1.62 (0.80) a,A | <0.001 |
| ΔE00 (PGF-PGFF) | 3.59 (1.06) b,B | 1.39 (1.04) a,b,A | 1.76 (0.86) a,A | <0.001 |
| p-value | <0.001 | 0.020 | <0.001 | |
Disclaimer/Publisher’s Note: The statements, opinions and data contained in all publications are solely those of the individual author(s) and contributor(s) and not of MDPI and/or the editor(s). MDPI and/or the editor(s) disclaim responsibility for any injury to people or property resulting from any ideas, methods, instructions or products referred to in the content. |
© 2025 by the authors. Licensee MDPI, Basel, Switzerland. This article is an open access article distributed under the terms and conditions of the Creative Commons Attribution (CC BY) license (https://creativecommons.org/licenses/by/4.0/).
Share and Cite
Alshali, R.Z.; Awad, M.A.; Assiri, A.A.; Aljahdali, S.A.; Babeer, W.A.; Bukhary, D.M.; Altassan, M.M.; Al-Turki, L.E. The Effect of Glazing and Repeated Firing on Color, Translucency, and Flexural Strength of Different Types of Zirconia: An In Vitro Study. Ceramics 2025, 8, 14. https://doi.org/10.3390/ceramics8010014
Alshali RZ, Awad MA, Assiri AA, Aljahdali SA, Babeer WA, Bukhary DM, Altassan MM, Al-Turki LE. The Effect of Glazing and Repeated Firing on Color, Translucency, and Flexural Strength of Different Types of Zirconia: An In Vitro Study. Ceramics. 2025; 8(1):14. https://doi.org/10.3390/ceramics8010014
Chicago/Turabian StyleAlshali, Ruwaida Z., Mohamed Abdelmageed Awad, Amnah A. Assiri, Shahad A. Aljahdali, Walaa A. Babeer, Dalea M. Bukhary, Mosa M. Altassan, and Lulwa E. Al-Turki. 2025. "The Effect of Glazing and Repeated Firing on Color, Translucency, and Flexural Strength of Different Types of Zirconia: An In Vitro Study" Ceramics 8, no. 1: 14. https://doi.org/10.3390/ceramics8010014
APA StyleAlshali, R. Z., Awad, M. A., Assiri, A. A., Aljahdali, S. A., Babeer, W. A., Bukhary, D. M., Altassan, M. M., & Al-Turki, L. E. (2025). The Effect of Glazing and Repeated Firing on Color, Translucency, and Flexural Strength of Different Types of Zirconia: An In Vitro Study. Ceramics, 8(1), 14. https://doi.org/10.3390/ceramics8010014

