Tunable Optical Properties and Relaxor Behavior in Ni/Ba Co-Doped NaNbO3 Ceramics: Pathways Toward Multifunctional Applications
Abstract
1. Introduction
2. Materials and Methods
3. Results
3.1. Structural and Microstructure Analysis
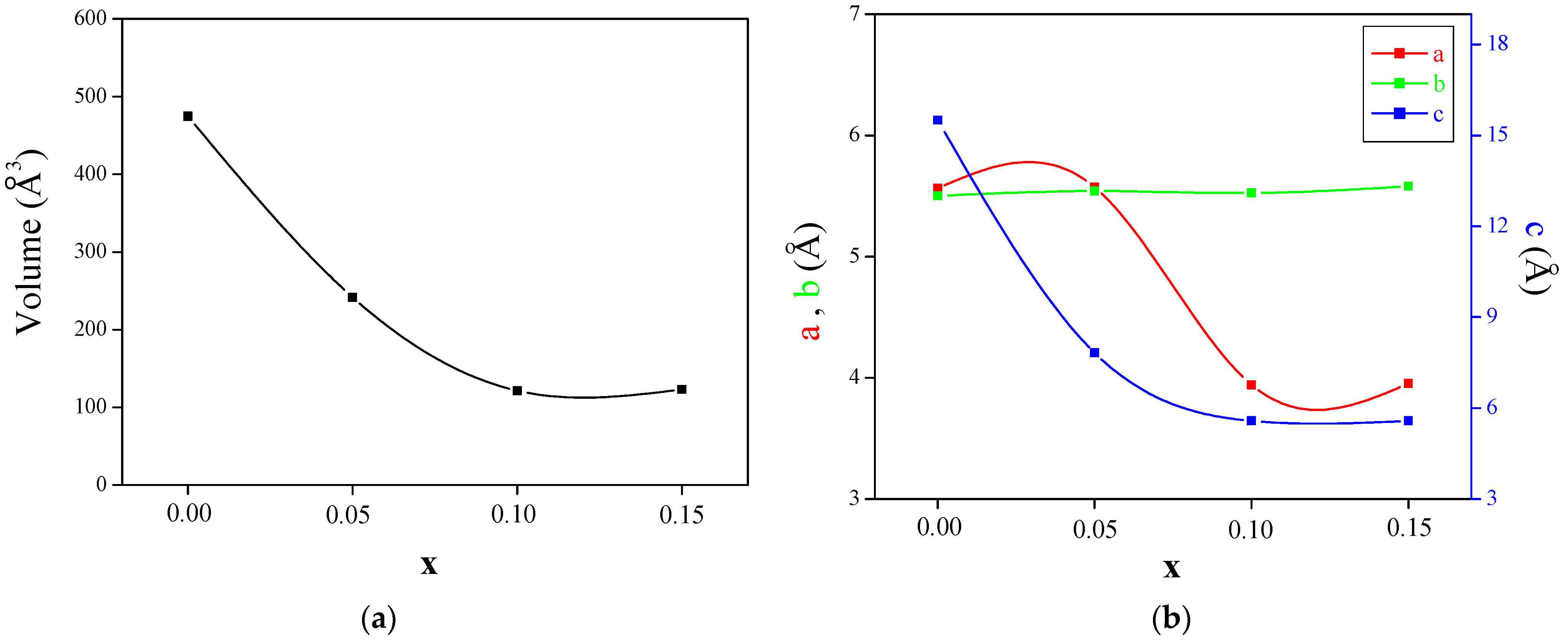
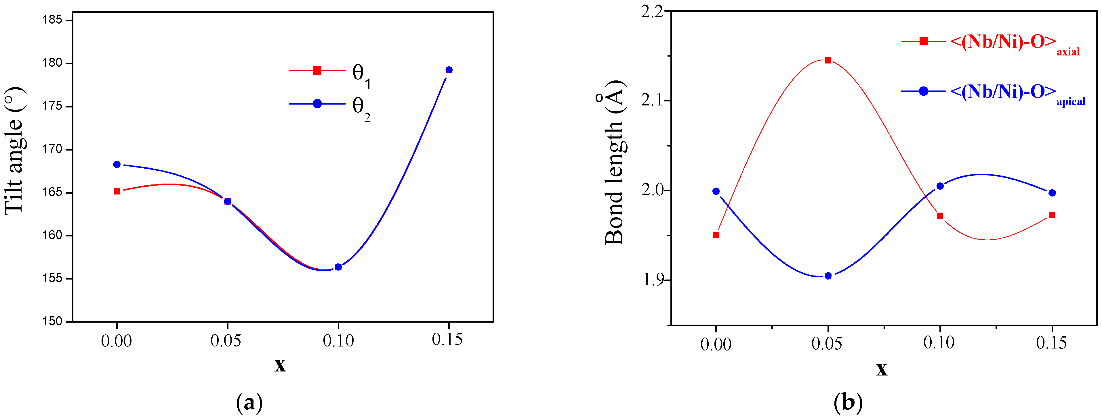
3.1.1. X-Ray Diffraction
3.1.2. Raman Analysis
3.1.3. Microstructure Analysis
3.2. Diffuse Reflectance Study
3.2.1. Band Gap Energy
3.2.2. Urbach Energy
3.3. Dielectric Study
4. Conclusions
Author Contributions
Funding
Institutional Review Board Statement
Informed Consent Statement
Data Availability Statement
Acknowledgments
Conflicts of Interest
References
- Saito, Y.; Takao, H.; Tani, T.; Nonoyama, T.; Takatori, K.; Homma, T.; Nagaya, T.; Nakamura, M. Lead-free piezoceramics. Nature 2004, 432, 84–87. [Google Scholar] [CrossRef] [PubMed]
- Cross, E. Lead-free at last. Nature 2004, 432, 24–25. [Google Scholar] [CrossRef] [PubMed]
- Shrout, T.R.; Zhang, S.J. Lead-free piezoelectric ceramics: Alternatives for PZT. J. Electroceramics 2007, 19, 113–126. [Google Scholar] [CrossRef]
- Zuo, R.; Qi, H.; Fu, J.; Li, J.; Shi, M.; Xu, Y. Giant electrostrictive effects of NaNbO3-BaTiO3 lead-free relaxor ferroelectrics. Appl. Phys. Lett. 2016, 108, 232904. [Google Scholar] [CrossRef]
- Rödel, J.; Jo, W.; Seifert, K.T.P.; Anton, E.M.; Granzow, T.; Damjanovic, D. Perspective on the Development of Lead-Free Piezoceramics. J. Am. Ceram. Soc. 2009, 92, 1153–1177. [Google Scholar] [CrossRef]
- Jiang, J.; Li, X.; Li, L.; Guo, S.; Zhang, J.; Wang, J.; Zhu, H.; Wang, Y.; Zhang, S.-T. Novel lead-free NaNbO3-based relaxor antiferroelectric ceramics with ultrahigh energy storage density and high efficiency. J. Materiomics 2022, 8, 295–301. [Google Scholar] [CrossRef]
- Qi, H.; Zuo, R.; Xie, A.; Tian, A.; Fu, J.; Zhang, Y.; Zhang, S. Ultrahigh energy-storage density in NaNbO3-based lead-free relaxor antiferroelectric ceramics with nanoscale domains. Adv. Funct. Mater. 2019, 29, 1903877. [Google Scholar] [CrossRef]
- Gu, L.; Zhou, D.; Cao, J.C. Piezoelectric Active Humidity Sensors Based on Lead-Free NaNbO3 Piezoelectric Nanofibers. Sensors 2016, 16, 833. [Google Scholar] [CrossRef] [PubMed]
- Khemakhem, H.; Simon, A.; Von Der Mühll, R.; Ravez, J. Relaxor or classical ferroelectric behaviour in ceramics with composition Ba1−xNaxTi1−xNbxO3. J. Phys. Condens. Matter. 2000, 12, 5951–5959. [Google Scholar] [CrossRef]
- Ben Mrad, M.; Hannachi, R.; Dammak, M.; Abdelmoula, N.; Zghal, S.; Khemakhem, H. Zirconium and lanthanide effects on the structural, dielectric and optical properties of Na0.8Ba0.2Nb0.8Ti0.2O3 ferroelectric ceramic. Mater. Today Commun. 2020, 24, 101223. [Google Scholar] [CrossRef]
- Xie, A.; Zuo, R.; Qiao, Z.; Fu, Z.; Hu, T.; Fei, L. NaNbO3-(Bi0.5Li0.5)TiO3 Lead-Free Relaxor Ferroelectric Capacitors with Superior Energy-Storage Performances via Multiple Synergistic Design. Adv. Energy Mater. 2021, 11, 2101378. [Google Scholar] [CrossRef]
- Shirane, G.; Newnham, R.; Pepinsky, R. Dielectric Properties and Phase Transitions of NaNbO3 and (Na, K)NbO3. Phys. Rev. 1954, 96, 581–588. [Google Scholar] [CrossRef]
- Li, P.; Ouyang, S.; Xi, G.; Kako, T.; Ye, J. The effects of crystal structure and electronic structure on photocatalytic H2 evolution and CO2 reduction over two phases of perovskite-structured NaNbO3. J. Phys. Chem. C 2012, 116, 7621–7628. [Google Scholar] [CrossRef]
- Fresno, F.; Jana, P.; Reñones, P.; Coronado, J.M.; Serrano, D.P.; De La Peña O’Shea, V.A. CO2 Reduction over NaNbO3 and NaTaO3 Perovskite Photocatalysts. Photochem. Photobiol. Sci. 2017, 16, 17–23. [Google Scholar] [CrossRef]
- Li, G. Photocatalytic properties of NaNbO3 and Na0.6Ag0.4NbO3 synthesized by polymerized complex method. Mater. Chem. Phys. 2010, 121, 42–46. [Google Scholar] [CrossRef]
- Sharma, A.; Bhardwaj, U.; Jain, D.; Kushwaha, H.S. NaNbO3 Nanorods: Photopiezocatalysts for Elevated Bacterial Disinfection and Wastewater Treatment. ACS Omega 2022, 7, 7595–7605. [Google Scholar] [CrossRef]
- Liu, Q.; Chai, Y.; Zhang, L.; Ren, J.; Dai, W.-L. Highly efficient Pt/NaNbO3 nanowire photocatalyst: Its morphology effect and application in water purification and H2 production. Appl. Catal. B Environ. 2017, 205, 505–513. [Google Scholar] [CrossRef]
- Baeissa, E.S. Photocatalytic degradation of malachite green dye using Au/NaNbO3 nanoparticles. J. Alloys Compd. 2016, 672, 564–570. [Google Scholar] [CrossRef]
- Zhang, B.; Zhang, D.; Xi, Z.; Wang, P.; Pu, X.; Shao, X.; Yao, S. Synthesis of Ag2O/NaNbO3 p-n junction photocatalysts with improved visible light photocatalytic activities. Sep. Purif. Technol. 2017, 178, 130–137. [Google Scholar] [CrossRef]
- Shi, H.; Chen, G.; Zhang, C.; Zou, Z. Polymeric g-C3N4 coupled with NaNbO3 nanowires toward enhanced photocatalytic reduction of CO2 into renewable fuel. ACS Catal. 2014, 4, 3637–3643. [Google Scholar] [CrossRef]
- Li, G.; Kako, T.; Wang, D.; Zou, Z.; Ye, J. Composition dependence of the photophysical and photocatalytic properties of (AgNbO3)1−x(NaNbO3)x solid solutions. J. Solid State Chem. 2007, 180, 2845–2850. [Google Scholar] [CrossRef]
- Shi, H.; Li, X.; Iwai, H.; Zou, Z.; Ye, J. 2-Propanol photodegradation over nitrogen-doped NaNbO3 powders under visible-light irradiation. J. Phys. Chem. Solids 2009, 70, 931–935. [Google Scholar] [CrossRef]
- Tong, H.; Ouyang, S.; Bi, Y.; Umezawa, N.; Oshikiri, M.; Ye, J. Nano-photocatalytic Materials: Possibilities and Challenges. Adv. Mater. 2012, 24, 229–251. [Google Scholar] [CrossRef]
- Choi, T.; Lee, S.; Choi, Y.J.; Kiryukhin, V.; Cheong, S.W. Switchable ferroelectric diode and photovoltaic effect in BiFeO3. Science 2009, 324, 63–66. [Google Scholar] [CrossRef]
- Brody, P.S. High voltage photovoltaic effect in barium titanate and lead titanate-lead zirconate ceramics. J. Solid State Chem. 1975, 12, 193–200. [Google Scholar] [CrossRef]
- Inoue, Y.; Sato, K.; Sato, K.; Miyama, H. Photoassisted water decomposition by ferroelectric lead zirconate titanate ceramics with anomalous photovoltaic effects. Phys. Chem. 1986, 90, 2809–2810. [Google Scholar] [CrossRef]
- Tiwari, R.P.; Birajdar, B.; Ghosh, R.K. Strain engineering of ferroelectric KNbO3 for bulk photovoltaic applications: An insight from density functional theory calculations. J. Phys. Condens. Matter 2019, 31, 505502. [Google Scholar] [CrossRef]
- Simon, M.; Wevering, S.; Buse, K.; Krätzig, E. The bulk photovoltaic effect of photorefractive LiNbO3: Fe crystals at high light intensities. J. Phys. D Appl. Phys. 1997, 30, 144–149. [Google Scholar] [CrossRef]
- Zenkevich, A.; Matveyev, Y.; Maksimova, K.; Gaynutdinov, R.; Tolstikhina, A.; Fridkin, V. Giant bulk photovoltaic effect in thin ferroelectric BaTiO3 films. Phys. Rev. B 2014, 90, 161409. [Google Scholar] [CrossRef]
- Ji, W.; Yao, K.; Liang, Y.C. Bulk Photovoltaic Effect at Visible Wavelength in Epitaxial Ferroelectric BiFeO3 Thin Films. Adv. Mater. 2010, 22, 1763–1766. [Google Scholar] [CrossRef]
- Haruna, A.; Abdulkadir, I.; Idris, S.O. Photocatalytic activity and doping effects of BiFeO3 nanoparticles in model organic dyes. Heliyon 2020, 6, e03237. [Google Scholar] [CrossRef] [PubMed]
- Tablero, C. An evaluation of BiFeO3 as a photovoltaic material. Sol. Energy Mater. Sol. Cells. 2017, 171, 161–165. [Google Scholar] [CrossRef]
- Yang, F.; Lin, S.; Yang, L.; Liao, J.; Chen, Y.; Wang, C.-Z. First-principles investigation of metal-doped cubic BaTiO3. Mater. Res. Bull. 2017, 96, 4372–4378. [Google Scholar] [CrossRef]
- Wang, J.; Peng, Z.; Wang, J.; Wu, D.; Yang, Z.; Chao, X. Band gap tunning to enhance photovoltaic response in NaNbO3-based bulk ferroelectrics. Scr. Mater. 2022, 221, 114976. [Google Scholar] [CrossRef]
- Bennett, J.W.; Grinberg, I.; Rappe, A.M. New Highly Polar Semiconductor Ferroelectrics through d8 Cation-O Vacancy Substitution into PbTiO3: A Theoretical Study. J. Am. Chem. Soc. 2008, 130, 17409–17412. [Google Scholar] [CrossRef] [PubMed]
- Grinberg, I.; West, D.V.; Torres, M.; Gou, G.; Stein, D.M.; Wu, L.; Chen, G.; Gallo, E.M.; Akbashev, A.R.; Davies, P.K.; et al. Perovskite oxides for visible-light-absorbing ferroelectric and photovoltaic materials. Nature 2013, 503, 509–512. [Google Scholar] [CrossRef]
- Kichanov, S.E.; Kozlenko, D.P.; Belozerova, N.M.; Jabarov, S.H.; Mehdiyeva, R.Z.; Lukin, E.V.; Mammadov, A.I.; Liermann, H.-P.; Morgenroth, W.; Dubrovinsky, L.S.; et al. An intermediate antipolar phase in NaNbO3 under compression. Ferroelectrics 2017, 520, 22–33. [Google Scholar] [CrossRef]
- Rietveld, H. A profile refinement method or nuclear and magnetic structures. J. Appl. Crystallogr. 1969, 2, 65–71. [Google Scholar] [CrossRef]
- Jarupoom, P.; Pengpat, K.; Pisitpipathsin, N.; Eitssayeam, S.; Intatha, U.; Rujijanagul, G.; Tunkasiri, T. Development of electrical properties in lead-free bismuth sodium lanthanum titanate–barium titanate ceramic near the morphotropic phase boundary. Current Appl. Phys. 2008, 8, 253–257. [Google Scholar] [CrossRef]
- Kakimoto, K.-I.; Akao, K.; Guo, Y.; Ohsato, H. Raman Scattering Study of Piezoelectric (Na0.5K0.5)NbO3-LiNbO3 Ceramics. Jpn. J. Appl. Phys. 2005, 44, 7064–7067. [Google Scholar] [CrossRef]
- Shen, Z.X.; Wang, X.B.; Kuok, M.H.; Tang, S.H. Raman Scattering Investigations of the Antiferroelectric–Ferroelectric Phase Transition of NaNbO3. J. Raman Spectrosc. 1998, 29, 379–384. [Google Scholar] [CrossRef]
- Halder, N.C.; Wagner, C.N.J. Separation of particle size and lattice strain in integral breadth measurements. Acta Crystallogr. 1966, 20, 312–313. [Google Scholar] [CrossRef]
- Halder, N.C.; Wagner, C.N.J. Analysis of the broadening of powder pattern peaks using variance, integral breadth, and Fourier coefficients of the line profile. Adv. X-Ray Anal. 1966, 9, 91–102. [Google Scholar]
- Stokes, A.R.; Wilson, A.J.C. The diffraction of X rays by distorted crystal aggregates—I. Proc. Phys. Soc. 1944, 56, 174. [Google Scholar] [CrossRef]
- Scherrer, P. Bestimmung der Größe und der inneren Struktur von Kolloidteilchen mittels Röntgenstrahlen. In Nachrichten von der Gesellschaft der Wissenschaften zu Göttingen, Mathematisch-Physikalische Klasse; Forgotten Books: London, UK, 1918; pp. 96–100. [Google Scholar]
- Ida, T.; Shimazaki, S.; Hibino, H.; Toraya, H. Diffraction peak profiles from spherical crystallites with lognormal size distribution. J. Appl. Crystallogr. 2003, 36, 1107–1115. [Google Scholar] [CrossRef]
- Chou, X.; Zhai, J.; Jiang, H.; Yao, X. Dielectric properties and relaxor behavior of rare-earth (La, Sm, Eu, Dy, Y) substituted barium zirconium titanate ceramics. J. Appl. Phys. 2007, 102, 084106. [Google Scholar] [CrossRef]
- Reddy, S.B.; Rao, K.P.; Rao, M.S.R. Effect of La substitution on the structural and dielectric properties of BaZr0.1Ti0.9O3 ceramics. J. Alloys Compd. 2009, 481, 692–696. [Google Scholar] [CrossRef]
- Chalfouh, C.; Lahmar, A.; Zghal, S.; Hannachi, R.; Abdelmoula, N.; Khemakhem, H. Effects of lanthanide amphoteric incorporation on structural, electrical, and photoluminescence properties of BaTi0.925(Yb0.5Nb0.5)0.075O3 ceramic. J. Alloys Compd. 2017, 711, 205–214. [Google Scholar] [CrossRef]
- Teixeira, G.F.; Silva Junior, E.; Simoes, A.Z.; Longo, E.; Zaghete, M.A. Unveiling the correlation between structural order-disorder character and photoluminescence emissions of NaNbO3. Cryst. Eng. Comm. 2017, 19, 4378–4392. [Google Scholar] [CrossRef]
- Kortum, G. Reflectance Spectroscopy: Principles, Methods, Applications; Springer: Berlin/Heidelberg, Germany, 1969. [Google Scholar]
- Alkallas, F.H.; Elshokrofy, K.M.; Mansour, S.A. Structural and diffuse reflectance characterization of cobalt-doped titanium dioxide nanostructured powder prepared via facile sonochemical hydrolysis technique. Nanomater. Nanotechnol. 2019, 9, 1–7. [Google Scholar] [CrossRef]
- Tian, P.; Chen, X.; Jin, J.; Lu, J.Q.; Liang, X.; Hu, X.-H. Stochastic model for quantifying effect of surface roughness on light reflection by diffuse reflectance standards. Opt. Eng. 2018, 57, 094104. [Google Scholar] [CrossRef]
- Kubelka, P.; Munk, F. Ein Beitrag Zur Optik Der Farbanstriche. Z. Tech. Phys. 1931, 12, 593–601. [Google Scholar]
- Morales, A.E.; Mora, E.S.; Pal, U. Use of diffuse reflectance spectroscopy for optical characterization of un-supported nanostructures. Rev. Mex. Fis. 2007, 53, 18–22. [Google Scholar]
- Smith, R.A. Semiconductors, 2nd ed.; Cambridge University Press: London, UK, 1978; pp. 434–436. [Google Scholar]
- Tang, J.W.; Zou, Z.G.; Ye, J.H. Photophysical and Photocatalytic Properties of AgInW2O8. J. Phys. Chem. B 2003, 107, 14265–14269. [Google Scholar] [CrossRef]
- Zhou, W.; Deng, H.; Yang, P.; Chu, J. Structural phase transition, narrow band gap, and room-temperature ferromagnetism in [KNbO3]1−x[BaNi1/2Nb1/2O3−δ]x ferroelectrics. Appl. Phys. Lett. 2014, 105, 111904. [Google Scholar] [CrossRef]
- Song, B.; Wang, X.; Xin, C.; Zhang, L.; Song, B.; Zhang, Y.; Wang, Y.; Wang, J.; Liu, Z.; Sui, Y.; et al. Multiferroic properties of Ba/Ni co-doped KNbO3 with narrow band-gap. J. Alloys Compd. 2017, 703, 67–72. [Google Scholar] [CrossRef]
- Vlazan, P.; Rus, S.F.; Poienar, M.; Sfirloaga, P. The effect of dopant concentrations on the structural, morphological and optical properties of NaNbO3 semiconductor materials. Mater. Sci. Semicond. Proc. 2019, 102, 104602. [Google Scholar] [CrossRef]
- Parida, S.; Satapathy, A.; Sinha, E.; Bisen, A.; Rout, S.K. Effect of Neodymium on Optical Band Gap and Microwave Dielectric Properties of Barium Zirconate Ceramic. Met. Mat. Trans. A 2015, 46, 1277–1286. [Google Scholar] [CrossRef]
- Saadi, H.; Khaldi, O.; Dahri, A.; Abdelmoula, N.; Hammami, I.; Graça, M.P.F.; Benzarti, Z. Influence of (Co+Al) Co-Doping on Structural, Micro-Structural, Optical and Electrical Properties of Nanostructured Zinc Oxide. Ceram. Int. 2024; in press. [Google Scholar]
- Borah, M.; Mohanta, D. Structural and optoelectronic properties of Eu2+ doped nanoscale barium titanates of pseudo-cubic form. J. Appl. Phys. 2012, 112, 124321. [Google Scholar] [CrossRef]
- Urbach, F. The long-wavelength edge of photographic sensitivity and of the electronic absorption of solids. Phys. Rev. 1953, 92, 1324. [Google Scholar] [CrossRef]
- Parida, S.; Rout, S.K. Effect of zirconia on the structural and optical properties of strontium titanate ceramic. Ferroelectrics 2017, 517, 81–89. [Google Scholar] [CrossRef]
- Mishra, S.K.; Choudhury, N.; Chaplot, S.L.; Krishna, P.S.R.; Mittal, R. Competing antiferroelectric and ferroelectric interactions in NaNbO3: Neutron diffraction and theoretical studies. Phys. Rev. B 2007, 76, 024110. [Google Scholar] [CrossRef]
- Lu, X.; Hou, L.; Jin, L.; Wang, L.; Tian, Y.; Yu, K.; Hu, Q.; Zhang, L.; Wei, X. Structure evolution and exceptionally ultra-low hysteresis unipolar electric field-induced strain in (1−x)NaNbO3-xBaTiO3 lead-free ferroelectrics. Ceram. Int. 2018, 44, 5492–5499. [Google Scholar] [CrossRef]
- Gaied, A.I.; Dahri, A.; Perrin, V.; Seveyrat, L.; Sassi, Z.; Khemakhem, H.; Abdelmoula, N.; Benzarti, Z. Synergistic effects of Zn B-site substitution in lead-free Ba0.95Ca0.05Ti0.92Sn0.08O3 ferroelectric ceramics for enhancing piezoelectric properties in energy harvesting applications. J. Alloys Compd. 2023, 958, 170419. [Google Scholar] [CrossRef]
- Tang, X.G.; Chew, K.-H.; Chan, H.L.W. Diffuse phase transition and dielectric tunability of Ba(ZryTi1-y)O3 relaxor ferroelectric ceramics. Acta Mater. 2004, 52, 5177–5183. [Google Scholar] [CrossRef]
- Yu, Z.; Ang, C.; Guo, R.; Bhalla, A.S. Dielectric properties of Ba(Ti1−xZrx)O3 solid solutions. Mater. Lett. 2007, 61, 326–329. [Google Scholar] [CrossRef]
- Sun, E.; Qi, X.; Yuan, Z.; Sang, S.; Zhang, R.; Yang, B.; Cao, W.; Zhao, L. Relaxation behavior in 0.24Pb(In1/2Nb1/2)O3–0.49Pb(Mg1/3Nb2/3)O3–0.27PbTiO3 ferroelectric single crystal. Ceram. Int. 2016, 42, 4893–4898. [Google Scholar] [CrossRef]
- Bourguiba, F.; Dhahri, A.; Tahri, T.; Dhahri, J.; Abdelmoula, N.; Taibi, K.; Hlil, E.K. Structure Properties and Relaxor Characteristics of the Phases Transformation in BaTi0.5(Fe0.33Mo0.17)O3 Perovskite Ceramic. J. Alloys Compd. 2016, 675, 174–182. [Google Scholar] [CrossRef]
- Ostos, C.; Mestres, L.; Martinez-Sarrion, M.L.; Garcia, J.E.; Albareda, A.; Perez, R. The influence of A-site rare-earth for barium substitution on the chemical structure and ferroelectric properties of BZT thin films. Solid State Sci. 2009, 11, 1016–1022. [Google Scholar] [CrossRef]
- Uchino, K.; Nomura, S. Critical exponents of the dielectric constants in diffused-phase-transition crystals. Ferroelectrics Lett. 1982, 44, 55–61. [Google Scholar] [CrossRef]
- Cross, L.E. Relaxor ferroelectrics. Ferroelectrics 1987, 76, 241–267. [Google Scholar] [CrossRef]
- Cross, L.E. Relaxor ferroelectrics: An overview. Ferroelectrics 1994, 151, 305–320. [Google Scholar] [CrossRef]
- Ravez, J.; Broustera, C.; Simon, A. Lead-free ferroelectric relaxor ceramics in the BaTiO3-BaZrO3-CaTiO3 system. J. Mater. Chem. 1999, 9, 1609–1613. [Google Scholar] [CrossRef]
















| Compounds | NNO | NBNNO0.05 | NBNNO0.10 | NBNNO0.15 |
|---|---|---|---|---|
| Structure | Orthorhombic | Orthorhombic | Orthorhombic | Orthorhombic |
| Space group | Pbma | Pnma | Amm2 | Amm2 |
| ) | 5.56427 | 5.57398 | 3.94260 | 3.95321 |
| ) | 5.50223 | 5.54044 | 5.52592 | 5.57900 |
| ) | 15.50840 | 7.82424 | 5.57834 | 5.58175 |
| ) | 474.80352 | 241.63054 | 121.53246 | 123.10526 |
| Bond lengths (Å) and bond angles (°) | ||||
| <d(Nb/Ni)–O>axial | 1.95050 | 2.14500 | 1.97200 | 1.97300 |
| <d(Nb/Ni)–Opl>apical | 1.99925 | 1.90500 | 2.00500 | 1.99725 |
| <d(Nb/Ni)–Opl> | 1.98300 | 1.98500 | 1.99400 | 1.98916 |
| <θ1(Nb/Ni)–O–(Nb/Ni)> | 165.17 | 163.99 | 156.37 | 179.26 |
| <θ2(Nb/Ni)–O–(Nb/Ni)> | 168.29 | 163.99 | 156.37 | 179.26 |
| Discrepancy factors | ||||
| Rp | 7.46 | 7.71 | 6.07 | 7.77 |
| Rwp | 9.61 | 9.74 | 7.78 | 9.87 |
| Rexp | 7.74 | 7.92 | 6.47 | 8.94 |
| χ2 | 1.54 | 1.51 | 1.44 | 1.22 |
| Composition | Wave Number (cm−1) | ||||||||||||||||||
|---|---|---|---|---|---|---|---|---|---|---|---|---|---|---|---|---|---|---|---|
| x | Na+/Ba2+ | ||||||||||||||||||
![]() | ![]() | ![]() | |||||||||||||||||
| 0 | 57 | 69 | 88 | 118 | 139 | 150 | 173 | 179 | 197 | 219 | 253 | 272 | 293 | 375 | 429 | 555 | 597 | 660 | |
| 0.05 | 60 | 73 | 110 | 136 | 176 | 196 | 216 | 246 | 276 | 290 | 428 | 569 | 609 | 655 | 867 | ||||
| 0.10 | 60 | 88 | 135 | 174 | 213 | 245 | 275 | 312 | 426 | 563 | 610 | 662 | 863 | ||||||
| 0.15 | 62 | 88 | 137 | 228 | 335 | 425 | 556 | 597 | 666 | 859 | |||||||||
| NBNNO0.05 | NBNNO0.10 | NBNNO0.15 | ||
|---|---|---|---|---|
| First transition | T0 (K) | 700 | 173 | 178 |
| C (×105 K) | 1.39 | 4.92 | 2.09 | |
| Tm K) | 710 | 444.5 | 276 | |
| Tdev (K) | 720 | 486 | 420 | |
| ΔTm = Tdev − Tm (K) | 10 | 41.5 | 44 | |
| Second transition | T0 (K) | 729 | 256 | 182 |
| C (×105 K) | 0.99 | 3.97 | 1.48 | |
| Tm (K) | 735 | 598.6 | 486 | |
| Tdev (K) | 746 | 612 | 505 | |
| ΔTm = Tdev − Tm (K) | 11 | 13,4 | 19 |
| NBNNO0.05 | NBNNO0.10 | NBNNO0.15 | ||
|---|---|---|---|---|
| First transition | r′m (K) | 8430 | 1638 | 1002 |
| Tm (K) | 710 | 444.5 | 276 | |
| γ | 2.1 | 1.9 | 1.7 | |
| C′ (×105 K) | 56 | 369 | 99 | |
| Second transition | r′m (K) | 5405 | 1210 | 574 |
| Tm (K) | 734 | 598.6 | 486 | |
| γ | 2.0 | 1.2 | 1.6 | |
| C′ (×105 K) | 34 | 7 | 10 |
| NBNNO0.05 | NBNNO0.10 | NBNNO0.15 | ||
|---|---|---|---|---|
| First transition | Tm (K) (1 kHz) | 710 | 444 | 272 |
| Tm (K) (1 MHz) | 729 | 444 | 309 | |
| δTrelax (K) | 19 | 0 | 37 | |
| Second transition | Tm (K) (1 kHz) | 734 | 598 | 486 |
| Tm (K) (1 MHz) | 750 | 598 | 497 | |
| δTrelax (K) | 16 | 0 | 11 |
Disclaimer/Publisher’s Note: The statements, opinions and data contained in all publications are solely those of the individual author(s) and contributor(s) and not of MDPI and/or the editor(s). MDPI and/or the editor(s) disclaim responsibility for any injury to people or property resulting from any ideas, methods, instructions or products referred to in the content. |
© 2024 by the authors. Licensee MDPI, Basel, Switzerland. This article is an open access article distributed under the terms and conditions of the Creative Commons Attribution (CC BY) license (https://creativecommons.org/licenses/by/4.0/).
Share and Cite
Chaabeni, T.; Benzarti, Z.; Abdelmoula, N.; Zghal, S. Tunable Optical Properties and Relaxor Behavior in Ni/Ba Co-Doped NaNbO3 Ceramics: Pathways Toward Multifunctional Applications. Ceramics 2024, 7, 1670-1694. https://doi.org/10.3390/ceramics7040107
Chaabeni T, Benzarti Z, Abdelmoula N, Zghal S. Tunable Optical Properties and Relaxor Behavior in Ni/Ba Co-Doped NaNbO3 Ceramics: Pathways Toward Multifunctional Applications. Ceramics. 2024; 7(4):1670-1694. https://doi.org/10.3390/ceramics7040107
Chicago/Turabian StyleChaabeni, Tawfik, Zohra Benzarti, Najmeddine Abdelmoula, and Slim Zghal. 2024. "Tunable Optical Properties and Relaxor Behavior in Ni/Ba Co-Doped NaNbO3 Ceramics: Pathways Toward Multifunctional Applications" Ceramics 7, no. 4: 1670-1694. https://doi.org/10.3390/ceramics7040107
APA StyleChaabeni, T., Benzarti, Z., Abdelmoula, N., & Zghal, S. (2024). Tunable Optical Properties and Relaxor Behavior in Ni/Ba Co-Doped NaNbO3 Ceramics: Pathways Toward Multifunctional Applications. Ceramics, 7(4), 1670-1694. https://doi.org/10.3390/ceramics7040107




