Thermoelectric Properties of Si-Doped In2Se3 Polycrystalline Alloys
Abstract
:1. Introduction
2. Experimental Method
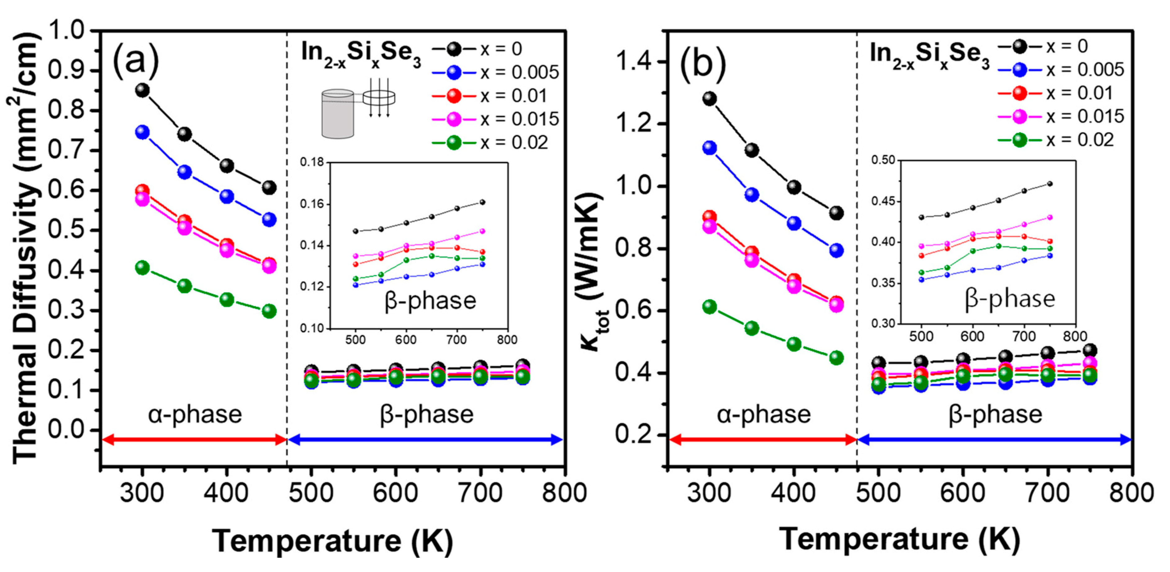
3. Results and Discussion
4. Conclusions
Supplementary Materials
Author Contributions
Funding
Data Availability Statement
Conflicts of Interest
References
- Luxa, J.; Wang, Y.; Sofer, Z.; Pumera, M. Layered Post-Transition-Metal Dichalcogenides (X-M-M-X) and Their Properties. Chem. Eur. J. 2016, 22, 18810–18816. [Google Scholar] [CrossRef] [PubMed]
- Ramakrishna Reddy, K.T.; Koteswara Reddy, N.; Miles, R.W. Photovoltaic properties of SnS based solar cells. Sol. Energy Mater. Sol. Cells 2006, 90, 3041–3046. [Google Scholar] [CrossRef]
- Kim, J.; Kim, H.Y.; Kim, S. Electrical and thermal transport properties of S- and Te-doped InSe alloys. J. Phys. D Appl. Phys. 2019, 52, 295501. [Google Scholar] [CrossRef]
- Champier, D. Thermoelectric generators: A review of applications. Energy Convers. Manag. 2017, 140, 167–181. [Google Scholar] [CrossRef]
- Wang, H.; Jasim, A.; Chen, X. Energy harvesting technologies in roadway and bridge for different applications—A comprehensive review. Appl. Energy 2018, 212, 1083–1094. [Google Scholar] [CrossRef]
- Dusastre, V.; Snyder, G.J.; Eric, S.T. Complex thermoelectric materials. In Materials for Sustainable Energy: A Collection of Peer-Reviewed Research and Review Articles from Nature Publishing Group; Macmillan Publishers Ltd.: London, UK, 2011; pp. 101–110. [Google Scholar]
- Lin, Z.; Zhigilei, L.V. Temperature dependences of the electron–phonon coupling, electron heat capacity and thermal conductivity in Ni under femtosecond laser irradiation. Appl. Surf. Sci. 2007, 253, 6295–6300. [Google Scholar] [CrossRef]
- Yin, L.; Liu, W.; Shi, X.; Gao, H.; Li, M.; Wang, D.; Wu, H.; Kou, L.; Guo, H.; Wang, Y.; et al. High near-room temperature figure of merit of n-type Bi2GeTe4-based thermoelectric materials via a stepwise optimization of carrier concentration. Chem. Eng. J. 2022, 433, 133775. [Google Scholar] [CrossRef]
- Wang, D.; Li, W.; Li, M.; Yin, L.; Gao, H.; Sun, Q.; Wu, H.; Wang, Y.; Shi, X.; Yang, X.; et al. Simultaneously achieving high ZT and mechanical hardness in highly alloyed GeTe with symmetric nanodomains. Chem. Eng. J. 2022, 441, 136131. [Google Scholar] [CrossRef]
- Holland, M.G. Phonon Scattering in Semiconductors From Thermal Conductivity Studies. Phys. Rev. 1964, 134, A471. [Google Scholar] [CrossRef]
- Broido, D.A.; Malorny, M.; Birner, G.; Mingo, N.; Stewart, D.A. Intrinsic lattice thermal conductivity of semiconductors from first principles. Appl. Phys. Lett. 2007, 91, 231922. [Google Scholar] [CrossRef] [Green Version]
- Lee, K.H.; Oh, M.W.; Kim, H.S.; Shin, W.H.; Lee, K.; Lim, J.H.; Kim, J.; Kim, S. Enhanced thermoelectric transport properties of n-type InSe due to the emergence of the flat band by Si doping. Inorg. Chem. Front. 2019, 6, 1475–1481. [Google Scholar] [CrossRef]
- Kim, S.; Bang, J.; An, J.; Hong, S.; Bang, G.; Shin, W.H.; Kim, T.W.; Lee, K. Effect of Br substitution on thermoelectric transport properties in layered SnSe2. J. Alloys Compd. 2021, 868, 159161. [Google Scholar] [CrossRef]
- Rhyee, J.S.; Lee, K.H.; Lee, S.M.; Cho, E.; Kim, S.I.; Lee, E.; Kwon, Y.S.; Shim, J.H.; Kotliar, G. Peierls distortion as a route to high thermoelectric performance in In4Se3-δ crystals. Nature 2009, 459, 965–968. [Google Scholar] [CrossRef] [PubMed]
- Qian, Z.; Bolin, L.; Yucheng, L.; Kevin, L.; Weishu, L.; Keivan, E.; Cyril, O.; David, B.; Gang, C.; Zhifeng, R. High thermoelectric performance by resonant dopant indium in nanostructured SnTe. Proc. Natl. Acad. Sci. USA 2013, 110, 13261–13266. [Google Scholar]
- Wei, T.R.; Wang, H.; Gibbs, Z.M.; Wu, C.F.; Snyder, G.J.; Li, J.F. Thermoelectric properties of Sn-doped p-type Cu3SbSe4: A compound with large effective mass and small band gap. J. Mater. Chem. A 2014, 2, 13527–13533. [Google Scholar] [CrossRef] [Green Version]
- Wang, S.; Su, L.; Qiu, Y.; Xiao, Y.; Zhao, L.D. Enhanced thermoelectric performance in Cl-doped BiSbSe3 with optimal carrier concentration and effective mass. J. Mater. Sci. Technol. 2021, 70, 67–72. [Google Scholar] [CrossRef]
- Nian, T.; Wang, Z.; Dong, B. Thermoelectric properties of α-In2Se3 monolayer. Appl. Phys. Lett. 2021, 118, 033103. [Google Scholar] [CrossRef]
- Okamoto, H.; Schlesinger, M.E.; Mueller, E.M. Binary Alloy Phase Diagrams; ASM International: Novelty, OH, USA, 2016; p. 86. [Google Scholar]
- Cui, J.L.; Zhang, X.J.; Deng, Y.; Fu, H.; Yan, Y.M.; Gao, Y.L.; Li, Y.Y. Modified structures and improved thermoelectric property in Ag-added polycrystalline In2Se3. Scr. Mater. 2011, 64, 510–512. [Google Scholar] [CrossRef]
- Song, Z.; Liu, H.; Du, Z.; Liu, X.; Cui, J. Improvement of thermoelectric performance of α-In2Se3 upon S incorporation. Phys. Status Solidi A 2016, 213, 986–993. [Google Scholar] [CrossRef]
- Vilaplana, R.; Parra, S.G.; Jorge-Montero, A.; Rodríguez-Hernández, P.; Munoz, A.; Errandonea, D.; Segura, A.; Manjón, F.J. Experimental and Theoretical Studies on α-c at High Pressure. Inorg. Chem. 2018, 57, 8241–8252. [Google Scholar] [CrossRef]
- Ye, J.; Seoda, S.; Nakamura, Y.; Nittono, O. Crystal structures and phase transformation in In2Se3 compound semiconductor. Jpn. J. Appl. Phys. 1998, 37, 4264. [Google Scholar] [CrossRef]
- Tang, C.; Zhang, L.; Wijethunge, D.; Ostrikov, K.K.; Du, A. Controllable Polarization and Doping in Ferroelectric In2Se3 Monolayers and Heterobilayers via Intrinsic Defect Engineering. J. Phys. Chem. C 2021, 125, 24648. [Google Scholar] [CrossRef]
- Cui, J.; Liu, X.; Zhang, X.; Li, Y.; Deng, Y. Bandgap reduction responsible for the improved thermoelectric performance of bulk polycrystalline In2–xCuxSe3 (x = 0–0.2). J. Appl. Phys. 2011, 110, 023708. [Google Scholar] [CrossRef]





| In2−xSixSe3 | In | Si | Se |
|---|---|---|---|
| x = 0.01 | 44.98 | 0.12 | 54.90 |
| x = 0.02 | 40.70 | 0.28 | 59.02 |
Publisher’s Note: MDPI stays neutral with regard to jurisdictional claims in published maps and institutional affiliations. |
© 2022 by the authors. Licensee MDPI, Basel, Switzerland. This article is an open access article distributed under the terms and conditions of the Creative Commons Attribution (CC BY) license (https://creativecommons.org/licenses/by/4.0/).
Share and Cite
Park, O.; Lee, S.W.; Kim, S.-i. Thermoelectric Properties of Si-Doped In2Se3 Polycrystalline Alloys. Ceramics 2022, 5, 281-287. https://doi.org/10.3390/ceramics5030022
Park O, Lee SW, Kim S-i. Thermoelectric Properties of Si-Doped In2Se3 Polycrystalline Alloys. Ceramics. 2022; 5(3):281-287. https://doi.org/10.3390/ceramics5030022
Chicago/Turabian StylePark, Okmin, Se Woong Lee, and Sang-il Kim. 2022. "Thermoelectric Properties of Si-Doped In2Se3 Polycrystalline Alloys" Ceramics 5, no. 3: 281-287. https://doi.org/10.3390/ceramics5030022
APA StylePark, O., Lee, S. W., & Kim, S.-i. (2022). Thermoelectric Properties of Si-Doped In2Se3 Polycrystalline Alloys. Ceramics, 5(3), 281-287. https://doi.org/10.3390/ceramics5030022

