Coordinated Evaluation of Technological Innovation and Financial Development in China: An Engineering Perspective
Abstract
1. Introduction
2. Related Work
2.1. Coupling and Coordination Studies
2.2. Coupling and Coordination Modeling
2.3. Comparison with Related Studies
- We use a more comprehensive set of predictors to describe each subsystem than those in existing studies. In Table 1, we summarize the predictors used for related studies and ours. In Section, we demonstrate that by using a comprehensive set of predictors, the predictability and consistency of the coupling and coordination degree are stronger than previous studies.
- We perform pre-processing of the data, and use regression to fill the missing data. Although this step is essential in machine learning-based studies, it has not been used in the competing studies to our knowledge. By filling the missing data, we are able to investigate the coupling and coordination degree for a wider range of durations.
- We perform regression-based prediction of future trend on the coupling and coordination degree. Again, this is not reported in competing studies. The reliable prediction of future trend is instrumental to enacting optimal government policies for financial development. A side benefit of doing this is that the quality of the selected predictors can be indirectly assessed by the errors of the regression. The rationale is that if the predictors can truly reflect the development stage of the subsystem, and there is no drastic change of governmental policies, the development of the subsystem would change gradually and easily fit into a regression model.
3. Coupling and Coordination Modeling
3.1. Predictors
3.2. Comprehensive Evaluation Index
3.3. Coupling Degree
3.4. Coordination Degree
4. Data Source
5. Data Processing and Results
5.1. Data Pre-Processing
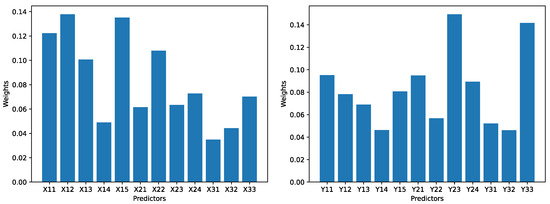
5.2. Determination of the Weights of Predicators
5.3. Determination of Comprehensive Evaluation Index for Technological Innovation
- Economic and financial infrastructure: Beijing is the capital of China with a large concentration of financial institutions, including international financial headquarters. Qinghai, on the other hand, is located in the far western region of China and much less economically developed with very limited financial infrastructure.
- Technological development: Beijing is home to many top universities in China, and as such, Beijing is leading in patent filings and technology startups. In contrast, Qinghai does not have a top university and lacks the high-tech industrial base.
- Government policy and investment: Being the capital of China, Beijing receives substantial central government funding and policy support. The support for Qinghai is limited to renewable energy projects.
- Human capital and talent pool: Due to the special location and the rich opportunities, Beijing attracts top-tier latent from across China. Beijing also has the best talent pool in China due to its top universities. In contrast, Qinghai faces significant challenges in attracting and retaining skilled workers due to the lack of opportunities and possibly harsh weather. Qinghai also lacks a talent pool.
5.4. Determination of Comprehensive Evaluation Index for Financial Development
5.5. The Coupling Degree Between Technological Innovation and Financial Development
5.6. The Coordination Degree Between Technological Innovation and Financial Development
5.7. Projection of Future Coordination Degree
- Number of estimators: with possible values of 50, 100, and 200;
- Learning rate: with possible values of 0.01, 0.1, and 0.2;
- Max depth: with possible values of 3, 4, 5;
- Minimum samples split: with possible values of 2, 5, and 10;
- Minimum samples leaf: with possible values of 1, 2, and 4.
5.7.1. Linear Regression with Polynomial Features
5.7.2. Gradient Boosting Regression
6. Discussion
6.1. Reduced Predictor Set
6.2. Alternative Imputation Methods
6.3. Alternative Weighting Method
6.4. Statistical Comparison of Regression Performance
6.5. Heterogeneity of Coordination Degrees and Heterogeneity of Projection Performance
7. Concluding Remarks
Author Contributions
Funding
Institutional Review Board Statement
Informed Consent Statement
Data Availability Statement
Acknowledgments
Conflicts of Interest
Abbreviations
| LRPF | Linear Regression with Polynomial Features |
| GBR | Gradient Boosting Regression |
| MSE | Mean Squared Error |
| MAE | Mean Absolute Error |
| RMSE | Root Mean Squared Error |
| GDP | Gross Domestic Product |
| R&D | Research and Development |
| IQR | Interquartile Range |
| CRITIC | Criteria Importance Through Intercriteria Correlation |
Appendix A. Predictors Used for Subsystems in Related Studies
| References | Category | Predictor |
|---|---|---|
| [3] | Investment on technology | Number of full-time R&D personnel () |
| R&D expenditure as percentage of GDP () | ||
| Financial investment in technology as percentage of GDP () | ||
| Technological innovation output | Number of patents applications () | |
| Number of technological papers indexed () | ||
| High tech transaction total amount () | ||
| New product sales as a percentage of total sales () | ||
| [4] | Investment on technology | Number of full-time R&D personnel |
| R & D investment as percentage of GDP | ||
| technological innovation environment | Number of patent applications | |
| Number of trademark applications | ||
| Intellectual property expenditure | ||
| Technological innovation output | Number of journal articles published | |
| High tech product export as a percentage of total export | ||
| [5] | Investment on technology | Number of full-time R&D personnel |
| R&D expenditure as percentage of GDP | ||
| Technological innovation output | Number of patent applications | |
| Number of patents awarded | ||
| [26] | The number of patents awarded | |
| Number of papers published | ||
| Wealth generated by high-tech industry as a percentage of the total industry valuation | ||
| Technology market contract valuation | ||
| [6] | Investment on technology | Number of full-time R&D personnel |
| R&D expenditure | ||
| Technological innovation environment | R&D funding as a percentage of the total fiscal expenditure | |
| Total high tech sales income as percentage of GDP | ||
| Total high-tech market value per 10,000 population | ||
| Technological innovation output | Number of publications indexed by SCI per 10,000 full-time R&D personnel | |
| Number of patents awarded per 100,000,000 RMB R&D expenditure | ||
| Total sales amount for new products as a percentage of all sales | ||
| [8] | Investment on technology | Number of full-time R&D personnel |
| The number of technological research institutions | ||
| Technological innovation environment | R&D funding as a percentage of the total fiscal expenditure | |
| Technological innovation output | Number of patents awarded | |
| The high-tech industry output value | ||
| [9] | Investment on technology | Number of R&D projects |
| R&D expenditure in industry | ||
| Technological innovation output | Number of patents applications | |
| Number of publications | ||
| New product output value | ||
| Technology transfer transaction amount | ||
| [27] | Investment on technology | Number of full-time R&D personnel |
| R&D expenditure | ||
| Technological innovation output | Total transaction amount in high-tech market | |
| Number of patents awarded | ||
| Total sales amount for new products | ||
| Technological innovation environment | Number of students enrolled in higher education per 100,000 population | |
| Number of households that have wide-band Internet connection | ||
| Number of technological research institutions | ||
| [25] | Investment on technology | Number of full-time R&D personnel |
| R&D expenditure | ||
| Actual amount of foreign capital used | ||
| Electricity consumption of the whole society | ||
| Total number of students in higher education | ||
| Technological innovation output | Innovation index | |
| Number of patents awarded | ||
| Technological innovation environment | Number of books in library per 1 million population | |
| Number of households that have wide-band Internet connection | ||
| Number of higher education institutions |
| References | Category | Predictor |
|---|---|---|
| [3] | Financial development scale | Financial industry output value () |
| Total financial assets as percentage of GDP () | ||
| Financial employment as percentage of total employment () | ||
| Financial development structure | Banking market share () | |
| Securities Industry Market Share () | ||
| Insurance market share () | ||
| Financial services efficiency | Loan-to-deposit ratio of financial institutions ( | |
| [4] | Financial environment | Protection extent for financial activities |
| Information acquisition for financial activities | ||
| Credit provided by banks as a percentage of GDP | ||
| Financial market | Stock exchange rate | |
| Stock exchange total as percentage of GDP | ||
| Public company marks cap as percentage of GDP | ||
| [5] | Financial support for technological innovation | Budget on R&D as percentage of total budget of local government |
| Financial development scale | Deposit balance of foreign currency | |
| Financial development structure | Total premium income | |
| [26] | Total value of financial assets as percentage of GDP | |
| Total near money as percentage of GDP | ||
| The ratio of total value of financial assets versus M1 | ||
| [8] | Financial development scale | Financial industry output as a percentage of GDP |
| Number of full-time personnel as a percentage of full-time personnel of all industries | ||
| Financial development structure | The proportion of equity financing to various loans | |
| Financial development efficiency | Ratio of various loans to deposits | |
| Financial industry output per capita | ||
| [6] | Financial development scale | Number of financial institutions per 10,000 population |
| The sum of load balance, stock market value, and premium income as a percentage of GDP | ||
| The sum of new loans, stock market financing amount, and bond financing amount as a percentage of GDP | ||
| Financial development structure | New loans as a percentage of GDP | |
| Term-life insurance premium income | ||
| financial development efficiency | The proportion of financial industry value added to total financial industry assets | |
| The proportion of loan balance to deposit balance of financial institutions | ||
| Stock turnover as a percentage of GDP | ||
| [27] | Fundamental condition | Fixed asset in financial industry |
| Increase in employment in the financial industry | ||
| Number of full-time personnel in the financial industry | ||
| Total wages of the personnel in the financial industry | ||
| Market status | Savings balance in banking institutions | |
| Loan balance in banking institutions | ||
| Total market value of stocks | ||
| Number of publicly-traded companies | ||
| Total Insurance premium income | ||
| [25] | Financial development scale | Total industrial output value |
| Gross regional product | ||
| Fixed asset investment | ||
| Year-end population | ||
| Fixed asset investment | ||
| Total retail sales of consumer goods | ||
| Financial benefit level | Number of public companies | |
| Loan balance of financial institutions at the end of the year | ||
| Deposit balance of financial institutions at the end of the year | ||
| The proportion of tertiary industry in GDP | ||
| Green finance considerations | Industrial wastewater discharge | |
| Industrial discharge | ||
| Industrial smoke and dust emissions |
Appendix B. Comprehensive Evaluation Index Results
| Region/Year | 2002 | 2003 | 2004 | 2005 | 2006 | 2007 | 2008 | 2009 | 2010 | 2011 | 2012 | 2013 | 2014 | 2015 | 2016 | 2017 | 2018 | 2019 | 2020 | 2021 | 2022 | 2023 |
|---|---|---|---|---|---|---|---|---|---|---|---|---|---|---|---|---|---|---|---|---|---|---|
| Beijing | 0.355 | 0.339 | 0.349 | 0.373 | 0.386 | 0.4 | 0.406 | 0.42 | 0.439 | 0.439 | 0.445 | 0.463 | 0.479 | 0.49 | 0.504 | 0.515 | 0.546 | 0.581 | 0.593 | 0.619 | 0.648 | 0.666 |
| Tianjin | 0.12 | 0.123 | 0.129 | 0.147 | 0.16 | 0.165 | 0.176 | 0.181 | 0.185 | 0.196 | 0.207 | 0.218 | 0.224 | 0.23 | 0.234 | 0.227 | 0.233 | 0.224 | 0.241 | 0.261 | 0.28 | 0.296 |
| Hebei | 0.081 | 0.082 | 0.084 | 0.088 | 0.071 | 0.065 | 0.072 | 0.079 | 0.087 | 0.096 | 0.105 | 0.116 | 0.124 | 0.129 | 0.142 | 0.156 | 0.164 | 0.173 | 0.186 | 0.2 | 0.22 | 0.237 |
| Shanxi | 0.089 | 0.088 | 0.09 | 0.097 | 0.104 | 0.1 | 0.106 | 0.114 | 0.118 | 0.125 | 0.131 | 0.138 | 0.141 | 0.142 | 0.145 | 0.149 | 0.154 | 0.152 | 0.162 | 0.179 | 0.195 | 0.211 |
| Neimenggu | 0.053 | 0.054 | 0.055 | 0.063 | 0.066 | 0.063 | 0.071 | 0.081 | 0.089 | 0.1 | 0.108 | 0.115 | 0.121 | 0.123 | 0.124 | 0.118 | 0.12 | 0.121 | 0.127 | 0.139 | 0.155 | 0.166 |
| Liaoning | 0.139 | 0.141 | 0.146 | 0.155 | 0.16 | 0.138 | 0.147 | 0.156 | 0.166 | 0.174 | 0.182 | 0.194 | 0.201 | 0.199 | 0.198 | 0.208 | 0.169 | 0.174 | 0.188 | 0.203 | 0.215 | 0.23 |
| Jilin | 0.1 | 0.1 | 0.102 | 0.11 | 0.097 | 0.099 | 0.105 | 0.116 | 0.118 | 0.121 | 0.129 | 0.136 | 0.143 | 0.149 | 0.151 | 0.153 | 0.155 | 0.154 | 0.168 | 0.178 | 0.199 | 0.234 |
| Heilongjiang | 0.098 | 0.102 | 0.104 | 0.212 | 0.118 | 0.12 | 0.128 | 0.135 | 0.139 | 0.142 | 0.147 | 0.151 | 0.154 | 0.155 | 0.151 | 0.153 | 0.149 | 0.141 | 0.152 | 0.161 | 0.185 | 0.193 |
| Shanghai | 0.165 | 0.17 | 0.178 | 0.185 | 0.202 | 0.218 | 0.233 | 0.251 | 0.253 | 0.26 | 0.252 | 0.268 | 0.275 | 0.283 | 0.298 | 0.313 | 0.335 | 0.354 | 0.367 | 0.397 | 0.416 | 0.442 |
| Jiangsu | 0.122 | 0.127 | 0.134 | 0.147 | 0.156 | 0.155 | 0.189 | 0.21 | 0.231 | 0.254 | 0.279 | 0.302 | 0.315 | 0.335 | 0.359 | 0.383 | 0.415 | 0.447 | 0.477 | 0.524 | 0.55 | 0.58 |
| Zhejiang | 0.094 | 0.099 | 0.106 | 0.12 | 0.13 | 0.127 | 0.149 | 0.159 | 0.173 | 0.181 | 0.196 | 0.217 | 0.229 | 0.244 | 0.274 | 0.282 | 0.311 | 0.342 | 0.362 | 0.391 | 0.417 | 0.458 |
| Anhui | 0.081 | 0.083 | 0.084 | 0.089 | 0.081 | 0.074 | 0.081 | 0.091 | 0.1 | 0.109 | 0.123 | 0.138 | 0.145 | 0.151 | 0.173 | 0.18 | 0.192 | 0.209 | 0.227 | 0.254 | 0.286 | 0.313 |
| Fujian | 0.101 | 0.106 | 0.108 | 0.115 | 0.123 | 0.083 | 0.093 | 0.103 | 0.11 | 0.123 | 0.133 | 0.147 | 0.159 | 0.167 | 0.182 | 0.191 | 0.204 | 0.222 | 0.235 | 0.257 | 0.273 | 0.291 |
| Jiangxi | 0.075 | 0.078 | 0.079 | 0.089 | 0.102 | 0.084 | 0.087 | 0.09 | 0.096 | 0.1 | 0.107 | 0.115 | 0.123 | 0.132 | 0.147 | 0.158 | 0.166 | 0.181 | 0.199 | 0.22 | 0.243 | 0.264 |
| Shandong | 0.136 | 0.139 | 0.142 | 0.154 | 0.148 | 0.154 | 0.172 | 0.182 | 0.199 | 0.213 | 0.228 | 0.243 | 0.252 | 0.269 | 0.284 | 0.3 | 0.308 | 0.312 | 0.346 | 0.38 | 0.407 | 0.439 |
| Henan | 0.073 | 0.075 | 0.076 | 0.083 | 0.084 | 0.077 | 0.087 | 0.097 | 0.107 | 0.115 | 0.123 | 0.134 | 0.145 | 0.153 | 0.174 | 0.193 | 0.203 | 0.222 | 0.237 | 0.261 | 0.287 | 0.311 |
| Hubei | 0.124 | 0.127 | 0.126 | 0.135 | 0.143 | 0.126 | 0.137 | 0.146 | 0.154 | 0.162 | 0.172 | 0.185 | 0.194 | 0.201 | 0.21 | 0.22 | 0.231 | 0.251 | 0.262 | 0.29 | 0.321 | 0.357 |
| Hunan | 0.122 | 0.123 | 0.125 | 0.132 | 0.138 | 0.087 | 0.098 | 0.108 | 0.114 | 0.121 | 0.131 | 0.14 | 0.146 | 0.155 | 0.163 | 0.175 | 0.189 | 0.205 | 0.229 | 0.25 | 0.282 | 0.314 |
| Guangdong | 0.174 | 0.175 | 0.177 | 0.188 | 0.196 | 0.154 | 0.184 | 0.202 | 0.225 | 0.24 | 0.259 | 0.287 | 0.297 | 0.331 | 0.371 | 0.414 | 0.457 | 0.51 | 0.538 | 0.585 | 0.608 | 0.641 |
| Guangxi | 0.071 | 0.072 | 0.072 | 0.075 | 0.064 | 0.059 | 0.065 | 0.07 | 0.08 | 0.087 | 0.095 | 0.102 | 0.108 | 0.111 | 0.12 | 0.13 | 0.135 | 0.147 | 0.158 | 0.175 | 0.188 | 0.203 |
| Hainan | 0.016 | 0.016 | 0.018 | 0.022 | 0.025 | 0.026 | 0.034 | 0.041 | 0.049 | 0.055 | 0.059 | 0.064 | 0.068 | 0.07 | 0.074 | 0.077 | 0.08 | 0.087 | 0.093 | 0.107 | 0.118 | 0.133 |
| Chongqing | 0.032 | 0.034 | 0.037 | 0.045 | 0.054 | 0.053 | 0.06 | 0.07 | 0.079 | 0.088 | 0.097 | 0.108 | 0.117 | 0.128 | 0.146 | 0.153 | 0.162 | 0.173 | 0.184 | 0.2 | 0.216 | 0.231 |
| Sichuan | 0.098 | 0.102 | 0.1 | 0.108 | 0.112 | 0.103 | 0.109 | 0.117 | 0.129 | 0.135 | 0.146 | 0.158 | 0.172 | 0.184 | 0.199 | 0.212 | 0.231 | 0.253 | 0.274 | 0.299 | 0.313 | 0.33 |
| Guizhou | 0.055 | 0.056 | 0.056 | 0.059 | 0.063 | 0.035 | 0.035 | 0.039 | 0.043 | 0.047 | 0.057 | 0.063 | 0.07 | 0.078 | 0.088 | 0.099 | 0.11 | 0.12 | 0.128 | 0.135 | 0.14 | 0.148 |
| Yunnan | 0.041 | 0.041 | 0.041 | 0.047 | 0.049 | 0.051 | 0.055 | 0.055 | 0.064 | 0.069 | 0.076 | 0.082 | 0.089 | 0.095 | 0.106 | 0.118 | 0.123 | 0.136 | 0.147 | 0.159 | 0.172 | 0.189 |
| Shaanxi | 0.135 | 0.132 | 0.133 | 0.14 | 0.129 | 0.12 | 0.126 | 0.137 | 0.145 | 0.153 | 0.163 | 0.177 | 0.185 | 0.192 | 0.201 | 0.209 | 0.218 | 0.228 | 0.24 | 0.263 | 0.285 | 0.307 |
| Gansu | 0.054 | 0.054 | 0.054 | 0.061 | 0.065 | 0.064 | 0.069 | 0.074 | 0.079 | 0.084 | 0.091 | 0.098 | 0.102 | 0.105 | 0.108 | 0.109 | 0.113 | 0.115 | 0.123 | 0.135 | 0.15 | 0.165 |
| Qinghai | 0.011 | 0.012 | 0.013 | 0.013 | 0.015 | 0.016 | 0.017 | 0.025 | 0.031 | 0.035 | 0.036 | 0.04 | 0.042 | 0.042 | 0.047 | 0.051 | 0.055 | 0.056 | 0.059 | 0.065 | 0.07 | 0.077 |
| Ningxia | 0.02 | 0.02 | 0.021 | 0.025 | 0.033 | 0.036 | 0.034 | 0.04 | 0.045 | 0.053 | 0.057 | 0.064 | 0.069 | 0.072 | 0.075 | 0.08 | 0.086 | 0.092 | 0.098 | 0.107 | 0.113 | 0.13 |
| Xinjiang | 0.079 | 0.079 | 0.081 | 0.083 | 0.086 | 0.06 | 0.063 | 0.066 | 0.07 | 0.076 | 0.081 | 0.088 | 0.092 | 0.094 | 0.098 | 0.102 | 0.107 | 0.114 | 0.119 | 0.132 | 0.146 | 0.165 |
| Region/Year | 2002 | 2003 | 2004 | 2005 | 2006 | 2007 | 2008 | 2009 | 2010 | 2011 | 2012 | 2013 | 2014 | 2015 | 2016 | 2017 | 2018 | 2019 | 2020 | 2021 | 2022 | 2023 |
|---|---|---|---|---|---|---|---|---|---|---|---|---|---|---|---|---|---|---|---|---|---|---|
| Beijing | 0.205 | 0.223 | 0.223 | 0.253 | 0.229 | 0.266 | 0.339 | 0.376 | 0.379 | 0.35 | 0.375 | 0.377 | 0.438 | 0.461 | 0.497 | 0.498 | 0.469 | 0.51 | 0.555 | 0.577 | 0.598 | 0.598 |
| Tianjin | 0.103 | 0.127 | 0.122 | 0.114 | 0.12 | 0.165 | 0.162 | 0.185 | 0.154 | 0.161 | 0.173 | 0.185 | 0.178 | 0.203 | 0.223 | 0.212 | 0.229 | 0.253 | 0.278 | 0.288 | 0.296 | 0.296 |
| Hebei | 0.106 | 0.095 | 0.099 | 0.1 | 0.109 | 0.148 | 0.163 | 0.16 | 0.158 | 0.163 | 0.175 | 0.207 | 0.232 | 0.241 | 0.259 | 0.265 | 0.273 | 0.289 | 0.306 | 0.306 | 0.311 | 0.309 |
| Shanxi | 0.108 | 0.118 | 0.123 | 0.109 | 0.116 | 0.161 | 0.169 | 0.176 | 0.166 | 0.171 | 0.18 | 0.215 | 0.221 | 0.23 | 0.253 | 0.254 | 0.248 | 0.258 | 0.28 | 0.271 | 0.264 | 0.262 |
| Neimenggu | 0.103 | 0.101 | 0.099 | 0.097 | 0.099 | 0.135 | 0.132 | 0.142 | 0.135 | 0.139 | 0.152 | 0.162 | 0.165 | 0.168 | 0.173 | 0.211 | 0.212 | 0.223 | 0.244 | 0.241 | 0.239 | 0.237 |
| Liaoning | 0.134 | 0.136 | 0.142 | 0.137 | 0.157 | 0.189 | 0.174 | 0.19 | 0.17 | 0.184 | 0.185 | 0.248 | 0.223 | 0.248 | 0.271 | 0.297 | 0.315 | 0.323 | 0.352 | 0.365 | 0.32 | 0.319 |
| Jilin | 0.125 | 0.127 | 0.104 | 0.093 | 0.113 | 0.165 | 0.157 | 0.159 | 0.137 | 0.133 | 0.145 | 0.17 | 0.163 | 0.177 | 0.229 | 0.202 | 0.219 | 0.258 | 0.275 | 0.239 | 0.295 | 0.292 |
| Heilongjiang | 0.091 | 0.099 | 0.099 | 0.103 | 0.113 | 0.202 | 0.185 | 0.176 | 0.137 | 0.152 | 0.149 | 0.19 | 0.182 | 0.194 | 0.23 | 0.208 | 0.246 | 0.298 | 0.307 | 0.312 | 0.302 | 0.3 |
| Shanghai | 0.187 | 0.208 | 0.202 | 0.209 | 0.227 | 0.27 | 0.281 | 0.289 | 0.298 | 0.313 | 0.304 | 0.32 | 0.348 | 0.391 | 0.408 | 0.409 | 0.403 | 0.435 | 0.459 | 0.483 | 0.491 | 0.495 |
| Jiangsu | 0.107 | 0.134 | 0.15 | 0.144 | 0.165 | 0.172 | 0.19 | 0.189 | 0.179 | 0.193 | 0.209 | 0.235 | 0.251 | 0.274 | 0.305 | 0.321 | 0.327 | 0.34 | 0.363 | 0.385 | 0.401 | 0.4 |
| Zhejiang | 0.121 | 0.139 | 0.162 | 0.157 | 0.158 | 0.196 | 0.196 | 0.204 | 0.196 | 0.2 | 0.225 | 0.285 | 0.259 | 0.285 | 0.299 | 0.339 | 0.351 | 0.382 | 0.401 | 0.423 | 0.426 | 0.425 |
| Anhui | 0.092 | 0.106 | 0.107 | 0.113 | 0.123 | 0.139 | 0.159 | 0.157 | 0.158 | 0.159 | 0.173 | 0.21 | 0.147 | 0.218 | 0.238 | 0.243 | 0.242 | 0.233 | 0.25 | 0.263 | 0.272 | 0.271 |
| Fujian | 0.102 | 0.103 | 0.105 | 0.124 | 0.123 | 0.146 | 0.152 | 0.156 | 0.152 | 0.157 | 0.167 | 0.207 | 0.146 | 0.199 | 0.216 | 0.244 | 0.245 | 0.246 | 0.265 | 0.276 | 0.26 | 0.258 |
| Jiangxi | 0.111 | 0.108 | 0.101 | 0.091 | 0.102 | 0.146 | 0.151 | 0.145 | 0.135 | 0.139 | 0.153 | 0.175 | 0.174 | 0.187 | 0.19 | 0.193 | 0.213 | 0.214 | 0.232 | 0.235 | 0.24 | 0.24 |
| Shandong | 0.104 | 0.113 | 0.112 | 0.113 | 0.14 | 0.157 | 0.15 | 0.162 | 0.154 | 0.161 | 0.174 | 0.218 | 0.213 | 0.233 | 0.258 | 0.282 | 0.296 | 0.311 | 0.341 | 0.353 | 0.351 | 0.349 |
| Henan | 0.114 | 0.093 | 0.092 | 0.093 | 0.063 | 0.142 | 0.142 | 0.15 | 0.145 | 0.143 | 0.153 | 0.175 | 0.186 | 0.215 | 0.232 | 0.248 | 0.255 | 0.256 | 0.269 | 0.288 | 0.28 | 0.28 |
| Hubei | 0.12 | 0.119 | 0.125 | 0.122 | 0.121 | 0.154 | 0.143 | 0.135 | 0.136 | 0.134 | 0.147 | 0.168 | 0.187 | 0.198 | 0.221 | 0.225 | 0.238 | 0.244 | 0.261 | 0.268 | 0.275 | 0.358 |
| Hunan | 0.098 | 0.102 | 0.111 | 0.107 | 0.116 | 0.15 | 0.151 | 0.137 | 0.126 | 0.14 | 0.156 | 0.177 | 0.186 | 0.193 | 0.215 | 0.218 | 0.225 | 0.227 | 0.249 | 0.256 | 0.266 | 0.265 |
| Guangdong | 0.192 | 0.189 | 0.186 | 0.179 | 0.188 | 0.198 | 0.204 | 0.219 | 0.226 | 0.234 | 0.255 | 0.308 | 0.295 | 0.34 | 0.371 | 0.412 | 0.436 | 0.466 | 0.51 | 0.537 | 0.526 | 0.523 |
| Guangxi | 0.097 | 0.101 | 0.095 | 0.097 | 0.12 | 0.138 | 0.129 | 0.127 | 0.113 | 0.123 | 0.137 | 0.147 | 0.157 | 0.166 | 0.176 | 0.179 | 0.2 | 0.205 | 0.214 | 0.225 | 0.224 | 0.222 |
| Hainan | 0.094 | 0.1 | 0.105 | 0.105 | 0.098 | 0.12 | 0.123 | 0.135 | 0.119 | 0.135 | 0.139 | 0.146 | 0.191 | 0.184 | 0.201 | 0.191 | 0.198 | 0.198 | 0.206 | 0.218 | 0.228 | 0.223 |
| Chongqing | 0.124 | 0.121 | 0.117 | 0.117 | 0.118 | 0.147 | 0.151 | 0.155 | 0.156 | 0.15 | 0.154 | 0.185 | 0.199 | 0.226 | 0.236 | 0.229 | 0.349 | 0.233 | 0.246 | 0.251 | 0.262 | 0.26 |
| Sichuan | 0.115 | 0.12 | 0.127 | 0.124 | 0.13 | 0.155 | 0.164 | 0.167 | 0.175 | 0.176 | 0.187 | 0.21 | 0.225 | 0.247 | 0.271 | 0.275 | 0.277 | 0.277 | 0.293 | 0.307 | 0.309 | 0.307 |
| Guizhou | 0.118 | 0.123 | 0.123 | 0.121 | 0.125 | 0.146 | 0.174 | 0.144 | 0.13 | 0.136 | 0.157 | 0.169 | 0.181 | 0.187 | 0.197 | 0.202 | 0.211 | 0.209 | 0.221 | 0.228 | 0.234 | 0.233 |
| Yunnan | 0.137 | 0.122 | 0.147 | 0.129 | 0.134 | 0.174 | 0.171 | 0.169 | 0.155 | 0.16 | 0.172 | 0.18 | 0.193 | 0.202 | 0.211 | 0.209 | 0.218 | 0.207 | 0.216 | 0.222 | 0.231 | 0.231 |
| Shaanxi | 0.103 | 0.113 | 0.119 | 0.11 | 0.127 | 0.15 | 0.14 | 0.142 | 0.138 | 0.158 | 0.161 | 0.18 | 0.194 | 0.193 | 0.209 | 0.216 | 0.226 | 0.233 | 0.254 | 0.251 | 0.255 | 0.254 |
| Gansu | 0.117 | 0.126 | 0.122 | 0.114 | 0.117 | 0.167 | 0.144 | 0.143 | 0.131 | 0.154 | 0.152 | 0.175 | 0.19 | 0.186 | 0.202 | 0.208 | 0.228 | 0.235 | 0.25 | 0.25 | 0.233 | 0.234 |
| Qinghai | 0.112 | 0.11 | 0.127 | 0.141 | 0.129 | 0.161 | 0.157 | 0.132 | 0.117 | 0.128 | 0.139 | 0.16 | 0.165 | 0.161 | 0.175 | 0.172 | 0.2 | 0.194 | 0.196 | 0.204 | 0.202 | 0.201 |
| Ningxia | 0.115 | 0.116 | 0.125 | 0.135 | 0.121 | 0.139 | 0.138 | 0.134 | 0.131 | 0.151 | 0.159 | 0.165 | 0.176 | 0.182 | 0.194 | 0.202 | 0.234 | 0.235 | 0.244 | 0.244 | 0.241 | 0.239 |
| Xinjiang | 0.126 | 0.144 | 0.135 | 0.132 | 0.133 | 0.162 | 0.148 | 0.168 | 0.158 | 0.167 | 0.175 | 0.194 | 0.197 | 0.204 | 0.213 | 0.225 | 0.24 | 0.248 | 0.257 | 0.266 | 0.247 | 0.246 |
| Region/Year | 2002 | 2003 | 2004 | 2005 | 2006 | 2007 | 2008 | 2009 | 2010 | 2011 | 2012 | 2013 | 2014 | 2015 | 2016 | 2017 | 2018 | 2019 | 2020 | 2021 | 2022 | 2023 |
|---|---|---|---|---|---|---|---|---|---|---|---|---|---|---|---|---|---|---|---|---|---|---|
| Beijing | 0.259 | 0.235 | 0.224 | 0.265 | 0.239 | 0.26 | 0.316 | 0.351 | 0.338 | 0.311 | 0.312 | 0.304 | 0.335 | 0.326 | 0.325 | 0.328 | 0.316 | 0.316 | 0.333 | 0.327 | 0.327 | 0.326 |
| Tianjin | 0.243 | 0.212 | 0.2 | 0.317 | 0.199 | 0.238 | 0.214 | 0.192 | 0.2 | 0.186 | 0.187 | 0.19 | 0.198 | 0.209 | 0.228 | 0.235 | 0.238 | 0.261 | 0.275 | 0.264 | 0.256 | 0.255 |
| Hebei | 0.199 | 0.223 | 0.23 | 0.221 | 0.224 | 0.242 | 0.269 | 0.269 | 0.277 | 0.254 | 0.241 | 0.236 | 0.24 | 0.256 | 0.276 | 0.284 | 0.284 | 0.289 | 0.285 | 0.266 | 0.26 | 0.257 |
| Shanxi | 0.227 | 0.219 | 0.211 | 0.213 | 0.217 | 0.234 | 0.241 | 0.243 | 0.246 | 0.227 | 0.221 | 0.22 | 0.232 | 0.254 | 0.269 | 0.276 | 0.261 | 0.263 | 0.27 | 0.257 | 0.244 | 0.241 |
| Neimenggu | 0.223 | 0.204 | 0.21 | 0.201 | 0.199 | 0.221 | 0.223 | 0.218 | 0.223 | 0.21 | 0.205 | 0.203 | 0.21 | 0.225 | 0.235 | 0.25 | 0.26 | 0.274 | 0.283 | 0.256 | 0.24 | 0.237 |
| Liaoning | 0.227 | 0.22 | 0.219 | 0.215 | 0.217 | 0.203 | 0.212 | 0.204 | 0.209 | 0.182 | 0.179 | 0.177 | 0.192 | 0.21 | 0.233 | 0.237 | 0.223 | 0.228 | 0.236 | 0.232 | 0.252 | 0.25 |
| Jilin | 0.21 | 0.207 | 0.205 | 0.201 | 0.205 | 0.226 | 0.239 | 0.229 | 0.241 | 0.218 | 0.208 | 0.205 | 0.219 | 0.237 | 0.255 | 0.27 | 0.268 | 0.281 | 0.284 | 0.278 | 0.27 | 0.266 |
| Heilongjiang | 0.218 | 0.226 | 0.224 | 0.378 | 0.23 | 0.221 | 0.267 | 0.253 | 0.261 | 0.233 | 0.228 | 0.231 | 0.257 | 0.267 | 0.282 | 0.325 | 0.314 | 0.322 | 0.321 | 0.311 | 0.291 | 0.288 |
| Shanghai | 0.292 | 0.25 | 0.24 | 0.233 | 0.248 | 0.278 | 0.261 | 0.27 | 0.27 | 0.244 | 0.247 | 0.246 | 0.263 | 0.276 | 0.284 | 0.283 | 0.265 | 0.267 | 0.282 | 0.271 | 0.272 | 0.273 |
| Jiangsu | 0.25 | 0.242 | 0.233 | 0.216 | 0.213 | 0.216 | 0.225 | 0.221 | 0.228 | 0.217 | 0.212 | 0.206 | 0.214 | 0.225 | 0.241 | 0.259 | 0.244 | 0.249 | 0.247 | 0.238 | 0.234 | 0.233 |
| Zhejiang | 0.214 | 0.222 | 0.205 | 0.198 | 0.197 | 0.193 | 0.196 | 0.198 | 0.206 | 0.197 | 0.198 | 0.203 | 0.206 | 0.217 | 0.226 | 0.245 | 0.241 | 0.246 | 0.253 | 0.243 | 0.245 | 0.244 |
| Anhui | 0.216 | 0.257 | 0.257 | 0.226 | 0.233 | 0.24 | 0.264 | 0.259 | 0.259 | 0.234 | 0.223 | 0.214 | 0.223 | 0.234 | 0.242 | 0.258 | 0.255 | 0.254 | 0.249 | 0.241 | 0.227 | 0.225 |
| Fujian | 0.225 | 0.23 | 0.224 | 0.212 | 0.209 | 0.207 | 0.215 | 0.213 | 0.214 | 0.199 | 0.195 | 0.199 | 0.209 | 0.214 | 0.219 | 0.22 | 0.218 | 0.217 | 0.225 | 0.224 | 0.228 | 0.227 |
| Jiangxi | 0.204 | 0.236 | 0.236 | 0.215 | 0.21 | 0.217 | 0.235 | 0.22 | 0.231 | 0.209 | 0.2 | 0.2 | 0.213 | 0.226 | 0.231 | 0.237 | 0.232 | 0.23 | 0.238 | 0.225 | 0.221 | 0.221 |
| Shandong | 0.223 | 0.224 | 0.22 | 0.206 | 0.208 | 0.208 | 0.217 | 0.213 | 0.224 | 0.211 | 0.209 | 0.203 | 0.209 | 0.223 | 0.239 | 0.253 | 0.255 | 0.261 | 0.262 | 0.248 | 0.257 | 0.254 |
| Henan | 0.354 | 0.216 | 0.222 | 0.215 | 0.218 | 0.237 | 0.288 | 0.264 | 0.29 | 0.277 | 0.255 | 0.243 | 0.245 | 0.256 | 0.268 | 0.295 | 0.299 | 0.291 | 0.282 | 0.261 | 0.251 | 0.252 |
| Hubei | 0.216 | 0.207 | 0.206 | 0.201 | 0.199 | 0.213 | 0.241 | 0.23 | 0.241 | 0.225 | 0.216 | 0.211 | 0.216 | 0.23 | 0.242 | 0.259 | 0.257 | 0.262 | 0.263 | 0.254 | 0.25 | 0.377 |
| Hunan | 0.224 | 0.243 | 0.238 | 0.231 | 0.212 | 0.229 | 0.263 | 0.246 | 0.251 | 0.232 | 0.22 | 0.215 | 0.22 | 0.227 | 0.237 | 0.252 | 0.26 | 0.261 | 0.265 | 0.249 | 0.245 | 0.243 |
| Guangdong | 0.273 | 0.276 | 0.277 | 0.278 | 0.285 | 0.213 | 0.215 | 0.214 | 0.22 | 0.204 | 0.201 | 0.198 | 0.211 | 0.222 | 0.235 | 0.236 | 0.231 | 0.241 | 0.246 | 0.239 | 0.253 | 0.252 |
| Guangxi | 0.2 | 0.2 | 0.199 | 0.196 | 0.191 | 0.2 | 0.206 | 0.196 | 0.199 | 0.193 | 0.192 | 0.194 | 0.199 | 0.209 | 0.218 | 0.23 | 0.231 | 0.23 | 0.234 | 0.231 | 0.226 | 0.223 |
| Hainan | 0.223 | 0.197 | 0.191 | 0.173 | 0.178 | 0.199 | 0.185 | 0.189 | 0.195 | 0.19 | 0.191 | 0.193 | 0.203 | 0.224 | 0.226 | 0.232 | 0.239 | 0.243 | 0.239 | 0.238 | 0.233 | 0.225 |
| Chongqing | 0.211 | 0.204 | 0.203 | 0.197 | 0.203 | 0.217 | 0.243 | 0.242 | 0.251 | 0.226 | 0.219 | 0.217 | 0.218 | 0.23 | 0.234 | 0.249 | 0.335 | 0.249 | 0.257 | 0.256 | 0.243 | 0.242 |
| Sichuan | 0.215 | 0.218 | 0.214 | 0.217 | 0.226 | 0.246 | 0.263 | 0.249 | 0.261 | 0.244 | 0.234 | 0.23 | 0.236 | 0.249 | 0.275 | 0.281 | 0.269 | 0.268 | 0.264 | 0.252 | 0.247 | 0.243 |
| Guizhou | 0.184 | 0.19 | 0.186 | 0.188 | 0.197 | 0.21 | 0.206 | 0.212 | 0.215 | 0.205 | 0.2 | 0.195 | 0.199 | 0.201 | 0.206 | 0.215 | 0.219 | 0.224 | 0.239 | 0.232 | 0.224 | 0.224 |
| Yunnan | 0.205 | 0.224 | 0.2 | 0.196 | 0.197 | 0.206 | 0.217 | 0.212 | 0.218 | 0.203 | 0.2 | 0.203 | 0.211 | 0.217 | 0.225 | 0.232 | 0.233 | 0.231 | 0.228 | 0.215 | 0.212 | 0.211 |
| Shaanxi | 0.194 | 0.197 | 0.192 | 0.197 | 0.201 | 0.215 | 0.229 | 0.225 | 0.234 | 0.218 | 0.208 | 0.207 | 0.214 | 0.224 | 0.238 | 0.251 | 0.256 | 0.253 | 0.259 | 0.243 | 0.232 | 0.23 |
| Gansu | 0.222 | 0.216 | 0.208 | 0.202 | 0.206 | 0.218 | 0.23 | 0.228 | 0.232 | 0.21 | 0.205 | 0.202 | 0.208 | 0.218 | 0.227 | 0.241 | 0.245 | 0.25 | 0.256 | 0.254 | 0.242 | 0.242 |
| Qinghai | 0.203 | 0.215 | 0.181 | 0.175 | 0.176 | 0.218 | 0.2 | 0.207 | 0.21 | 0.185 | 0.181 | 0.185 | 0.195 | 0.204 | 0.213 | 0.221 | 0.216 | 0.22 | 0.227 | 0.233 | 0.219 | 0.216 |
| Ningxia | 0.207 | 0.196 | 0.202 | 0.206 | 0.212 | 0.223 | 0.223 | 0.224 | 0.231 | 0.219 | 0.217 | 0.221 | 0.227 | 0.241 | 0.26 | 0.274 | 0.277 | 0.282 | 0.28 | 0.271 | 0.258 | 0.257 |
| Xinjiang | 0.252 | 0.233 | 0.231 | 0.223 | 0.229 | 0.244 | 0.272 | 0.25 | 0.242 | 0.227 | 0.225 | 0.224 | 0.233 | 0.24 | 0.25 | 0.255 | 0.258 | 0.268 | 0.268 | 0.259 | 0.243 | 0.241 |
| Region/Year | 2002 | 2003 | 2004 | 2005 | 2006 | 2007 | 2008 | 2009 | 2010 | 2011 | 2012 | 2013 | 2014 | 2015 | 2016 | 2017 | 2018 | 2019 | 2020 | 2021 | 2022 | 2023 |
|---|---|---|---|---|---|---|---|---|---|---|---|---|---|---|---|---|---|---|---|---|---|---|
| Beijing | 0.328 | 0.213 | 0.27 | 0.239 | 0.23 | 0.487 | 0.482 | 0.51 | 0.533 | 0.52 | 0.497 | 0.536 | 0.575 | 0.533 | 0.526 | 0.545 | 0.58 | 0.603 | 0.62 | 0.698 | 0.684 | 0.668 |
| Tianjin | 0.28 | 0.275 | 0.33 | 0.286 | 0.281 | 0.301 | 0.306 | 0.291 | 0.287 | 0.27 | 0.295 | 0.343 | 0.352 | 0.348 | 0.342 | 0.342 | 0.333 | 0.298 | 0.334 | 0.354 | 0.318 | 0.304 |
| Hebei | 0.061 | 0.059 | 0.065 | 0.062 | 0.068 | 0.08 | 0.084 | 0.086 | 0.081 | 0.078 | 0.105 | 0.115 | 0.131 | 0.133 | 0.152 | 0.177 | 0.195 | 0.229 | 0.248 | 0.254 | 0.239 | 0.25 |
| Shanxi | 0.071 | 0.065 | 0.071 | 0.069 | 0.083 | 0.154 | 0.107 | 0.099 | 0.126 | 0.09 | 0.085 | 0.112 | 0.106 | 0.084 | 0.071 | 0.117 | 0.118 | 0.145 | 0.155 | 0.156 | 0.206 | 0.176 |
| Neimenggu | 0.021 | 0.02 | 0.022 | 0.026 | 0.024 | 0.029 | 0.035 | 0.038 | 0.049 | 0.044 | 0.049 | 0.057 | 0.052 | 0.078 | 0.114 | 0.222 | 0.221 | 0.069 | 0.08 | 0.107 | 0.178 | 0.197 |
| Liaoning | 0.193 | 0.22 | 0.191 | 0.176 | 0.157 | 0.173 | 0.199 | 0.152 | 0.157 | 0.183 | 0.172 | 0.179 | 0.17 | 0.166 | 0.206 | 0.203 | 0.219 | 0.173 | 0.191 | 0.218 | 0.232 | 0.169 |
| Jilin | 0.056 | 0.066 | 0.082 | 0.067 | 0.073 | 0.088 | 0.075 | 0.108 | 0.071 | 0.079 | 0.086 | 0.1 | 0.093 | 0.092 | 0.096 | 0.116 | 0.136 | 0.157 | 0.168 | 0.147 | 0.175 | 0.175 |
| Heilongjiang | 0.146 | 0.195 | 0.078 | 0.33 | 0.075 | 0.109 | 0.107 | 0.095 | 0.096 | 0.101 | 0.107 | 0.107 | 0.112 | 0.11 | 0.138 | 0.123 | 0.09 | 0.224 | 0.288 | 0.231 | 0.197 | 0.114 |
| Shanghai | 0.224 | 0.129 | 0.132 | 0.18 | 0.197 | 0.306 | 0.311 | 0.381 | 0.336 | 0.316 | 0.324 | 0.327 | 0.326 | 0.309 | 0.338 | 0.348 | 0.371 | 0.376 | 0.394 | 0.414 | 0.405 | 0.451 |
| Jiangsu | 0.142 | 0.127 | 0.123 | 0.125 | 0.145 | 0.189 | 0.23 | 0.242 | 0.25 | 0.306 | 0.333 | 0.351 | 0.361 | 0.376 | 0.391 | 0.404 | 0.444 | 0.48 | 0.528 | 0.551 | 0.585 | 0.604 |
| Zhejiang | 0.117 | 0.16 | 0.159 | 0.173 | 0.189 | 0.229 | 0.244 | 0.272 | 0.264 | 0.307 | 0.337 | 0.375 | 0.385 | 0.417 | 0.434 | 0.441 | 0.472 | 0.515 | 0.532 | 0.554 | 0.594 | 0.636 |
| Anhui | 0.104 | 0.176 | 0.07 | 0.114 | 0.113 | 0.12 | 0.11 | 0.159 | 0.147 | 0.198 | 0.217 | 0.214 | 0.22 | 0.251 | 0.318 | 0.32 | 0.373 | 0.403 | 0.418 | 0.462 | 0.487 | 0.501 |
| Fujian | 0.155 | 0.275 | 0.19 | 0.215 | 0.206 | 0.241 | 0.242 | 0.206 | 0.202 | 0.224 | 0.232 | 0.255 | 0.226 | 0.221 | 0.237 | 0.297 | 0.261 | 0.267 | 0.296 | 0.311 | 0.289 | 0.272 |
| Jiangxi | 0.052 | 0.083 | 0.083 | 0.08 | 0.078 | 0.085 | 0.079 | 0.085 | 0.087 | 0.078 | 0.085 | 0.105 | 0.106 | 0.122 | 0.135 | 0.162 | 0.196 | 0.259 | 0.282 | 0.281 | 0.319 | 0.311 |
| Shandong | 0.181 | 0.165 | 0.191 | 0.152 | 0.152 | 0.183 | 0.191 | 0.188 | 0.202 | 0.226 | 0.224 | 0.226 | 0.218 | 0.238 | 0.245 | 0.269 | 0.303 | 0.32 | 0.353 | 0.436 | 0.489 | 0.498 |
| Henan | 0.103 | 0.102 | 0.1 | 0.092 | 0.081 | 0.1 | 0.097 | 0.116 | 0.108 | 0.095 | 0.092 | 0.252 | 0.247 | 0.242 | 0.228 | 0.258 | 0.329 | 0.27 | 0.314 | 0.306 | 0.407 | 0.401 |
| Hubei | 0.059 | 0.068 | 0.09 | 0.073 | 0.106 | 0.144 | 0.134 | 0.169 | 0.168 | 0.168 | 0.185 | 0.199 | 0.232 | 0.232 | 0.236 | 0.271 | 0.336 | 0.372 | 0.373 | 0.375 | 0.438 | 0.446 |
| Hunan | 0.075 | 0.06 | 0.175 | 0.079 | 0.09 | 0.095 | 0.109 | 0.155 | 0.132 | 0.149 | 0.147 | 0.188 | 0.194 | 0.213 | 0.219 | 0.224 | 0.23 | 0.246 | 0.298 | 0.329 | 0.401 | 0.434 |
| Guangdong | 0.153 | 0.152 | 0.161 | 0.164 | 0.174 | 0.214 | 0.232 | 0.266 | 0.31 | 0.305 | 0.338 | 0.376 | 0.349 | 0.46 | 0.463 | 0.492 | 0.57 | 0.605 | 0.607 | 0.627 | 0.621 | 0.644 |
| Guangxi | 0.059 | 0.055 | 0.06 | 0.056 | 0.047 | 0.067 | 0.067 | 0.071 | 0.062 | 0.077 | 0.084 | 0.095 | 0.088 | 0.066 | 0.063 | 0.074 | 0.096 | 0.101 | 0.097 | 0.123 | 0.136 | 0.129 |
| Hainan | 0.012 | 0.019 | 0.024 | 0.012 | 0.015 | 0.032 | 0.039 | 0.082 | 0.046 | 0.067 | 0.068 | 0.088 | 0.076 | 0.07 | 0.058 | 0.07 | 0.067 | 0.067 | 0.085 | 0.119 | 0.17 | 0.157 |
| Chongqing | 0.139 | 0.112 | 0.133 | 0.187 | 0.181 | 0.168 | 0.205 | 0.231 | 0.165 | 0.185 | 0.101 | 0.093 | 0.109 | 0.197 | 0.169 | 0.23 | 0.189 | 0.192 | 0.213 | 0.219 | 0.233 | 0.242 |
| Sichuan | 0.087 | 0.212 | 0.179 | 0.192 | 0.186 | 0.206 | 0.172 | 0.193 | 0.092 | 0.138 | 0.133 | 0.137 | 0.158 | 0.17 | 0.168 | 0.184 | 0.189 | 0.216 | 0.221 | 0.262 | 0.255 | 0.244 |
| Guizhou | 0.085 | 0.099 | 0.079 | 0.09 | 0.104 | 0.112 | 0.101 | 0.097 | 0.119 | 0.109 | 0.121 | 0.129 | 0.116 | 0.1 | 0.109 | 0.122 | 0.143 | 0.139 | 0.174 | 0.166 | 0.157 | 0.116 |
| Yunnan | 0.079 | 0.068 | 0.066 | 0.067 | 0.056 | 0.109 | 0.101 | 0.118 | 0.098 | 0.117 | 0.096 | 0.11 | 0.109 | 0.099 | 0.089 | 0.111 | 0.102 | 0.099 | 0.178 | 0.098 | 0.118 | 0.132 |
| Shaanxi | 0.14 | 0.149 | 0.163 | 0.166 | 0.179 | 0.189 | 0.183 | 0.152 | 0.158 | 0.162 | 0.154 | 0.155 | 0.169 | 0.182 | 0.194 | 0.192 | 0.186 | 0.206 | 0.193 | 0.251 | 0.273 | 0.266 |
| Gansu | 0.07 | 0.06 | 0.074 | 0.069 | 0.079 | 0.086 | 0.099 | 0.104 | 0.123 | 0.127 | 0.144 | 0.124 | 0.143 | 0.158 | 0.168 | 0.203 | 0.196 | 0.148 | 0.159 | 0.163 | 0.196 | 0.179 |
| Qinghai | 0.131 | 0.031 | 0.026 | 0.025 | 0.02 | 0.031 | 0.035 | 0.038 | 0.025 | 0.025 | 0.029 | 0.034 | 0.036 | 0.046 | 0.086 | 0.095 | 0.124 | 0.113 | 0.176 | 0.095 | 0.084 | 0.081 |
| Ningxia | 0.073 | 0.083 | 0.069 | 0.132 | 0.228 | 0.225 | 0.275 | 0.212 | 0.251 | 0.207 | 0.178 | 0.207 | 0.222 | 0.207 | 0.191 | 0.183 | 0.316 | 0.317 | 0.298 | 0.246 | 0.293 | 0.209 |
| Xinjiang | 0.094 | 0.095 | 0.096 | 0.15 | 0.169 | 0.146 | 0.079 | 0.078 | 0.085 | 0.152 | 0.047 | 0.086 | 0.069 | 0.171 | 0.192 | 0.125 | 0.129 | 0.082 | 0.05 | 0.052 | 0.054 | 0.085 |
Appendix C. Coupling Degree Results
| Region/Year | 2002 | 2003 | 2004 | 2005 | 2006 | 2007 | 2008 | 2009 | 2010 | 2011 | 2012 | 2013 | 2014 | 2015 | 2016 | 2017 | 2018 | 2019 | 2020 | 2021 | 2022 | 2023 |
|---|---|---|---|---|---|---|---|---|---|---|---|---|---|---|---|---|---|---|---|---|---|---|
| Beijing | 0.964 | 0.978 | 0.975 | 0.981 | 0.967 | 0.98 | 0.996 | 0.998 | 0.997 | 0.994 | 0.996 | 0.995 | 0.999 | 1 | 1 | 1 | 0.997 | 0.998 | 0.999 | 0.999 | 0.999 | 0.999 |
| Tianjin | 0.997 | 1 | 1 | 0.992 | 0.99 | 1 | 0.999 | 1 | 0.996 | 0.995 | 0.996 | 0.997 | 0.994 | 0.998 | 1 | 0.999 | 1 | 0.998 | 0.997 | 0.999 | 1 | 1 |
| Hebei | 0.991 | 0.997 | 0.996 | 0.998 | 0.979 | 0.922 | 0.922 | 0.94 | 0.958 | 0.966 | 0.968 | 0.959 | 0.953 | 0.953 | 0.957 | 0.966 | 0.969 | 0.968 | 0.97 | 0.978 | 0.985 | 0.991 |
| Shanxi | 0.995 | 0.989 | 0.988 | 0.998 | 0.999 | 0.972 | 0.973 | 0.976 | 0.986 | 0.988 | 0.988 | 0.976 | 0.975 | 0.971 | 0.962 | 0.966 | 0.972 | 0.966 | 0.964 | 0.979 | 0.989 | 0.994 |
| Neimenggu | 0.946 | 0.952 | 0.959 | 0.977 | 0.979 | 0.932 | 0.954 | 0.961 | 0.979 | 0.986 | 0.985 | 0.986 | 0.988 | 0.988 | 0.987 | 0.96 | 0.961 | 0.954 | 0.949 | 0.963 | 0.977 | 0.984 |
| Liaoning | 1 | 1 | 1 | 0.998 | 1 | 0.988 | 0.996 | 0.995 | 1 | 1 | 1 | 0.992 | 0.999 | 0.994 | 0.988 | 0.984 | 0.953 | 0.954 | 0.953 | 0.959 | 0.981 | 0.987 |
| Jilin | 0.994 | 0.993 | 1 | 0.997 | 0.997 | 0.968 | 0.979 | 0.987 | 0.997 | 0.999 | 0.998 | 0.994 | 0.998 | 0.996 | 0.979 | 0.991 | 0.985 | 0.968 | 0.97 | 0.989 | 0.981 | 0.994 |
| Heilongjiang | 0.999 | 1 | 1 | 0.938 | 1 | 0.967 | 0.983 | 0.991 | 1 | 0.999 | 1 | 0.993 | 0.996 | 0.994 | 0.978 | 0.988 | 0.97 | 0.934 | 0.942 | 0.947 | 0.971 | 0.976 |
| Shanghai | 0.998 | 0.995 | 0.998 | 0.998 | 0.998 | 0.994 | 0.996 | 0.997 | 0.997 | 0.996 | 0.995 | 0.996 | 0.993 | 0.987 | 0.988 | 0.991 | 0.996 | 0.995 | 0.994 | 0.995 | 0.997 | 0.998 |
| Jiangsu | 0.998 | 1 | 0.998 | 1 | 1 | 0.999 | 1 | 0.999 | 0.992 | 0.991 | 0.99 | 0.992 | 0.994 | 0.995 | 0.997 | 0.996 | 0.993 | 0.991 | 0.991 | 0.988 | 0.988 | 0.983 |
| Zhejiang | 0.992 | 0.985 | 0.978 | 0.991 | 0.995 | 0.977 | 0.991 | 0.993 | 0.998 | 0.999 | 0.998 | 0.991 | 0.998 | 0.997 | 0.999 | 0.996 | 0.998 | 0.999 | 0.999 | 0.999 | 1 | 0.999 |
| Anhui | 0.998 | 0.993 | 0.993 | 0.993 | 0.979 | 0.952 | 0.946 | 0.964 | 0.975 | 0.983 | 0.986 | 0.978 | 1 | 0.983 | 0.987 | 0.989 | 0.993 | 0.998 | 0.999 | 1 | 1 | 0.997 |
| Fujian | 1 | 1 | 1 | 0.999 | 1 | 0.962 | 0.971 | 0.979 | 0.987 | 0.993 | 0.994 | 0.985 | 0.999 | 0.996 | 0.996 | 0.992 | 0.996 | 0.999 | 0.998 | 0.999 | 1 | 0.998 |
| Jiangxi | 0.982 | 0.987 | 0.992 | 1 | 1 | 0.962 | 0.964 | 0.972 | 0.985 | 0.987 | 0.984 | 0.979 | 0.985 | 0.985 | 0.992 | 0.995 | 0.992 | 0.996 | 0.997 | 0.999 | 1 | 0.999 |
| Shandong | 0.991 | 0.995 | 0.993 | 0.988 | 1 | 1 | 0.998 | 0.998 | 0.992 | 0.99 | 0.991 | 0.999 | 0.997 | 0.997 | 0.999 | 1 | 1 | 1 | 1 | 0.999 | 0.997 | 0.994 |
| Henan | 0.977 | 0.994 | 0.995 | 0.998 | 0.989 | 0.955 | 0.97 | 0.977 | 0.989 | 0.994 | 0.994 | 0.991 | 0.992 | 0.986 | 0.99 | 0.992 | 0.993 | 0.997 | 0.998 | 0.999 | 1 | 0.999 |
| Hubei | 1 | 1 | 1 | 0.999 | 0.996 | 0.995 | 1 | 0.999 | 0.998 | 0.995 | 0.997 | 0.999 | 1 | 1 | 1 | 1 | 1 | 1 | 1 | 0.999 | 0.997 | 1 |
| Hunan | 0.994 | 0.996 | 0.998 | 0.994 | 0.996 | 0.964 | 0.977 | 0.993 | 0.999 | 0.997 | 0.996 | 0.993 | 0.993 | 0.994 | 0.99 | 0.994 | 0.996 | 0.999 | 0.999 | 1 | 1 | 0.996 |
| Guangdong | 0.999 | 0.999 | 1 | 1 | 1 | 0.992 | 0.999 | 0.999 | 1 | 1 | 1 | 0.999 | 1 | 1 | 1 | 1 | 1 | 0.999 | 1 | 0.999 | 0.997 | 0.995 |
| Guangxi | 0.988 | 0.985 | 0.99 | 0.992 | 0.953 | 0.917 | 0.944 | 0.959 | 0.986 | 0.985 | 0.983 | 0.984 | 0.982 | 0.98 | 0.982 | 0.988 | 0.98 | 0.986 | 0.988 | 0.992 | 0.996 | 0.999 |
| Hainan | 0.711 | 0.695 | 0.709 | 0.752 | 0.8 | 0.77 | 0.823 | 0.847 | 0.908 | 0.906 | 0.915 | 0.922 | 0.878 | 0.893 | 0.887 | 0.904 | 0.906 | 0.921 | 0.926 | 0.939 | 0.949 | 0.967 |
| Chongqing | 0.805 | 0.828 | 0.854 | 0.896 | 0.928 | 0.884 | 0.9 | 0.926 | 0.944 | 0.965 | 0.974 | 0.965 | 0.965 | 0.961 | 0.972 | 0.98 | 0.931 | 0.989 | 0.99 | 0.993 | 0.995 | 0.998 |
| Sichuan | 0.997 | 0.996 | 0.993 | 0.998 | 0.997 | 0.98 | 0.98 | 0.984 | 0.988 | 0.991 | 0.992 | 0.99 | 0.991 | 0.989 | 0.988 | 0.991 | 0.996 | 0.999 | 0.999 | 1 | 1 | 0.999 |
| Guizhou | 0.932 | 0.927 | 0.928 | 0.94 | 0.944 | 0.788 | 0.748 | 0.822 | 0.867 | 0.874 | 0.883 | 0.888 | 0.896 | 0.912 | 0.924 | 0.939 | 0.949 | 0.963 | 0.964 | 0.966 | 0.968 | 0.974 |
| Yunnan | 0.839 | 0.866 | 0.828 | 0.886 | 0.887 | 0.836 | 0.857 | 0.862 | 0.909 | 0.918 | 0.922 | 0.926 | 0.93 | 0.933 | 0.943 | 0.96 | 0.961 | 0.978 | 0.982 | 0.986 | 0.989 | 0.995 |
| Shaanxi | 0.991 | 0.997 | 0.999 | 0.993 | 1 | 0.994 | 0.999 | 1 | 1 | 1 | 1 | 1 | 1 | 1 | 1 | 1 | 1 | 1 | 1 | 1 | 0.999 | 0.996 |
| Gansu | 0.931 | 0.918 | 0.924 | 0.952 | 0.958 | 0.894 | 0.937 | 0.948 | 0.969 | 0.956 | 0.968 | 0.959 | 0.953 | 0.96 | 0.952 | 0.95 | 0.941 | 0.939 | 0.941 | 0.954 | 0.976 | 0.985 |
| Qinghai | 0.573 | 0.591 | 0.58 | 0.557 | 0.602 | 0.578 | 0.595 | 0.732 | 0.811 | 0.822 | 0.81 | 0.798 | 0.803 | 0.812 | 0.819 | 0.84 | 0.821 | 0.835 | 0.845 | 0.855 | 0.876 | 0.896 |
| Ningxia | 0.711 | 0.707 | 0.703 | 0.723 | 0.822 | 0.81 | 0.796 | 0.843 | 0.873 | 0.878 | 0.882 | 0.898 | 0.899 | 0.902 | 0.897 | 0.903 | 0.886 | 0.899 | 0.904 | 0.92 | 0.933 | 0.956 |
| Xinjiang | 0.973 | 0.957 | 0.968 | 0.974 | 0.976 | 0.887 | 0.916 | 0.9 | 0.922 | 0.927 | 0.93 | 0.926 | 0.932 | 0.93 | 0.929 | 0.927 | 0.924 | 0.93 | 0.931 | 0.942 | 0.966 | 0.98 |
| Region/Year | 2002 | 2003 | 2004 | 2005 | 2006 | 2007 | 2008 | 2009 | 2010 | 2011 | 2012 | 2013 | 2014 | 2015 | 2016 | 2017 | 2018 | 2019 | 2020 | 2021 | 2022 | 2023 |
|---|---|---|---|---|---|---|---|---|---|---|---|---|---|---|---|---|---|---|---|---|---|---|
| Beijing | 0.993 | 0.999 | 0.996 | 0.999 | 1 | 0.953 | 0.978 | 0.983 | 0.975 | 0.968 | 0.973 | 0.961 | 0.964 | 0.971 | 0.972 | 0.969 | 0.955 | 0.95 | 0.953 | 0.932 | 0.936 | 0.939 |
| Tianjin | 0.998 | 0.992 | 0.97 | 0.999 | 0.985 | 0.993 | 0.984 | 0.978 | 0.984 | 0.983 | 0.974 | 0.958 | 0.96 | 0.968 | 0.98 | 0.983 | 0.986 | 0.998 | 0.995 | 0.989 | 0.994 | 0.996 |
| Hebei | 0.847 | 0.814 | 0.83 | 0.826 | 0.844 | 0.863 | 0.851 | 0.857 | 0.836 | 0.848 | 0.919 | 0.939 | 0.956 | 0.948 | 0.957 | 0.972 | 0.982 | 0.993 | 0.998 | 1 | 0.999 | 1 |
| Shanxi | 0.853 | 0.84 | 0.869 | 0.861 | 0.894 | 0.979 | 0.923 | 0.907 | 0.946 | 0.902 | 0.897 | 0.945 | 0.928 | 0.863 | 0.814 | 0.914 | 0.926 | 0.957 | 0.963 | 0.969 | 0.996 | 0.988 |
| Neimenggu | 0.561 | 0.568 | 0.59 | 0.635 | 0.619 | 0.638 | 0.685 | 0.714 | 0.769 | 0.758 | 0.787 | 0.827 | 0.797 | 0.875 | 0.939 | 0.998 | 0.997 | 0.8 | 0.828 | 0.912 | 0.989 | 0.996 |
| Liaoning | 0.997 | 1 | 0.998 | 0.995 | 0.987 | 0.997 | 1 | 0.989 | 0.99 | 1 | 1 | 1 | 0.998 | 0.993 | 0.998 | 0.997 | 1 | 0.991 | 0.994 | 0.999 | 0.999 | 0.981 |
| Jilin | 0.816 | 0.856 | 0.903 | 0.864 | 0.88 | 0.899 | 0.853 | 0.933 | 0.84 | 0.883 | 0.91 | 0.938 | 0.914 | 0.898 | 0.892 | 0.916 | 0.945 | 0.959 | 0.966 | 0.951 | 0.977 | 0.978 |
| Heilongjiang | 0.98 | 0.997 | 0.874 | 0.998 | 0.862 | 0.94 | 0.904 | 0.89 | 0.887 | 0.919 | 0.933 | 0.931 | 0.919 | 0.91 | 0.939 | 0.892 | 0.831 | 0.984 | 0.999 | 0.989 | 0.981 | 0.901 |
| Shanghai | 0.991 | 0.947 | 0.957 | 0.992 | 0.993 | 0.999 | 0.996 | 0.986 | 0.994 | 0.992 | 0.991 | 0.99 | 0.994 | 0.998 | 0.996 | 0.995 | 0.986 | 0.985 | 0.986 | 0.978 | 0.981 | 0.969 |
| Jiangsu | 0.961 | 0.95 | 0.951 | 0.964 | 0.982 | 0.998 | 1 | 0.999 | 0.999 | 0.985 | 0.975 | 0.966 | 0.967 | 0.968 | 0.971 | 0.976 | 0.957 | 0.948 | 0.932 | 0.918 | 0.904 | 0.897 |
| Zhejiang | 0.956 | 0.987 | 0.992 | 0.998 | 1 | 0.996 | 0.994 | 0.988 | 0.992 | 0.976 | 0.965 | 0.954 | 0.953 | 0.949 | 0.949 | 0.958 | 0.946 | 0.935 | 0.935 | 0.921 | 0.909 | 0.895 |
| Anhui | 0.937 | 0.982 | 0.822 | 0.944 | 0.938 | 0.944 | 0.911 | 0.971 | 0.961 | 0.997 | 1 | 1 | 1 | 0.999 | 0.991 | 0.994 | 0.982 | 0.974 | 0.967 | 0.95 | 0.931 | 0.925 |
| Fujian | 0.982 | 0.996 | 0.996 | 1 | 1 | 0.997 | 0.998 | 1 | 1 | 0.998 | 0.996 | 0.992 | 0.999 | 1 | 0.999 | 0.989 | 0.996 | 0.995 | 0.991 | 0.987 | 0.993 | 0.996 |
| Jiangxi | 0.803 | 0.877 | 0.877 | 0.889 | 0.888 | 0.901 | 0.867 | 0.896 | 0.893 | 0.889 | 0.914 | 0.95 | 0.941 | 0.954 | 0.965 | 0.982 | 0.997 | 0.998 | 0.996 | 0.994 | 0.983 | 0.986 |
| Shandong | 0.995 | 0.988 | 0.998 | 0.989 | 0.988 | 0.998 | 0.998 | 0.998 | 0.999 | 0.999 | 0.999 | 0.999 | 1 | 0.999 | 1 | 0.999 | 0.996 | 0.995 | 0.989 | 0.962 | 0.951 | 0.946 |
| Henan | 0.836 | 0.934 | 0.924 | 0.916 | 0.888 | 0.914 | 0.867 | 0.922 | 0.89 | 0.873 | 0.882 | 1 | 1 | 1 | 0.997 | 0.998 | 0.999 | 0.999 | 0.999 | 0.997 | 0.971 | 0.974 |
| Hubei | 0.82 | 0.863 | 0.921 | 0.883 | 0.952 | 0.981 | 0.958 | 0.988 | 0.984 | 0.989 | 0.997 | 1 | 0.999 | 1 | 1 | 1 | 0.991 | 0.985 | 0.985 | 0.981 | 0.962 | 0.996 |
| Hunan | 0.868 | 0.798 | 0.988 | 0.871 | 0.914 | 0.909 | 0.91 | 0.974 | 0.951 | 0.976 | 0.98 | 0.998 | 0.998 | 1 | 0.999 | 0.998 | 0.998 | 1 | 0.998 | 0.99 | 0.97 | 0.959 |
| Guangdong | 0.96 | 0.957 | 0.964 | 0.966 | 0.971 | 1 | 0.999 | 0.994 | 0.985 | 0.98 | 0.967 | 0.95 | 0.969 | 0.937 | 0.945 | 0.936 | 0.906 | 0.902 | 0.906 | 0.894 | 0.907 | 0.9 |
| Guangxi | 0.838 | 0.824 | 0.845 | 0.831 | 0.794 | 0.866 | 0.859 | 0.884 | 0.852 | 0.902 | 0.921 | 0.94 | 0.922 | 0.855 | 0.835 | 0.859 | 0.912 | 0.921 | 0.91 | 0.953 | 0.968 | 0.963 |
| Hainan | 0.439 | 0.562 | 0.634 | 0.484 | 0.53 | 0.691 | 0.755 | 0.92 | 0.787 | 0.877 | 0.88 | 0.927 | 0.89 | 0.851 | 0.806 | 0.843 | 0.828 | 0.823 | 0.88 | 0.942 | 0.988 | 0.984 |
| Chongqing | 0.979 | 0.956 | 0.978 | 1 | 0.998 | 0.992 | 0.996 | 1 | 0.978 | 0.995 | 0.93 | 0.917 | 0.943 | 0.997 | 0.987 | 0.999 | 0.96 | 0.992 | 0.996 | 0.997 | 1 | 1 |
| Sichuan | 0.905 | 1 | 0.996 | 0.998 | 0.995 | 0.996 | 0.978 | 0.992 | 0.879 | 0.96 | 0.962 | 0.967 | 0.98 | 0.982 | 0.97 | 0.978 | 0.985 | 0.994 | 0.996 | 1 | 1 | 1 |
| Guizhou | 0.93 | 0.95 | 0.914 | 0.937 | 0.951 | 0.953 | 0.941 | 0.929 | 0.958 | 0.952 | 0.969 | 0.979 | 0.964 | 0.942 | 0.951 | 0.961 | 0.978 | 0.972 | 0.988 | 0.986 | 0.984 | 0.949 |
| Yunnan | 0.896 | 0.845 | 0.862 | 0.871 | 0.828 | 0.951 | 0.931 | 0.958 | 0.925 | 0.963 | 0.937 | 0.955 | 0.947 | 0.929 | 0.901 | 0.937 | 0.92 | 0.916 | 0.992 | 0.927 | 0.959 | 0.973 |
| Shaanxi | 0.987 | 0.99 | 0.997 | 0.996 | 0.998 | 0.998 | 0.994 | 0.981 | 0.981 | 0.989 | 0.989 | 0.99 | 0.993 | 0.994 | 0.995 | 0.991 | 0.987 | 0.995 | 0.99 | 1 | 0.997 | 0.997 |
| Gansu | 0.853 | 0.825 | 0.88 | 0.871 | 0.894 | 0.901 | 0.918 | 0.927 | 0.951 | 0.969 | 0.985 | 0.971 | 0.983 | 0.987 | 0.989 | 0.996 | 0.994 | 0.967 | 0.972 | 0.976 | 0.994 | 0.989 |
| Qinghai | 0.976 | 0.662 | 0.664 | 0.663 | 0.606 | 0.657 | 0.708 | 0.723 | 0.614 | 0.652 | 0.693 | 0.724 | 0.725 | 0.774 | 0.905 | 0.917 | 0.963 | 0.947 | 0.992 | 0.908 | 0.896 | 0.891 |
| Ningxia | 0.878 | 0.914 | 0.871 | 0.975 | 0.999 | 1 | 0.994 | 1 | 0.999 | 1 | 0.995 | 0.999 | 1 | 0.997 | 0.988 | 0.98 | 0.998 | 0.998 | 1 | 0.999 | 0.998 | 0.995 |
| Xinjiang | 0.889 | 0.907 | 0.911 | 0.98 | 0.989 | 0.968 | 0.834 | 0.853 | 0.876 | 0.98 | 0.758 | 0.895 | 0.839 | 0.986 | 0.991 | 0.94 | 0.943 | 0.848 | 0.729 | 0.748 | 0.771 | 0.877 |
Appendix D. Coordination Degree Results
| Region/Year | 2002 | 2003 | 2004 | 2005 | 2006 | 2007 | 2008 | 2009 | 2010 | 2011 | 2012 | 2013 | 2014 | 2015 | 2016 | 2017 | 2018 | 2019 | 2020 | 2021 | 2022 | 2023 |
|---|---|---|---|---|---|---|---|---|---|---|---|---|---|---|---|---|---|---|---|---|---|---|
| Beijing | 0.519 | 0.524 | 0.528 | 0.554 | 0.545 | 0.571 | 0.609 | 0.631 | 0.639 | 0.626 | 0.639 | 0.646 | 0.677 | 0.69 | 0.708 | 0.711 | 0.711 | 0.738 | 0.757 | 0.773 | 0.789 | 0.795 |
| Tianjin | 0.333 | 0.354 | 0.354 | 0.36 | 0.372 | 0.406 | 0.411 | 0.428 | 0.411 | 0.422 | 0.435 | 0.448 | 0.447 | 0.465 | 0.477 | 0.468 | 0.481 | 0.488 | 0.509 | 0.523 | 0.537 | 0.544 |
| Hebei | 0.305 | 0.298 | 0.302 | 0.307 | 0.297 | 0.313 | 0.329 | 0.335 | 0.343 | 0.353 | 0.368 | 0.393 | 0.412 | 0.419 | 0.438 | 0.451 | 0.46 | 0.473 | 0.488 | 0.497 | 0.512 | 0.521 |
| Shanxi | 0.313 | 0.319 | 0.324 | 0.32 | 0.331 | 0.356 | 0.365 | 0.376 | 0.374 | 0.382 | 0.392 | 0.415 | 0.42 | 0.425 | 0.437 | 0.441 | 0.443 | 0.445 | 0.462 | 0.469 | 0.477 | 0.485 |
| Neimenggu | 0.272 | 0.272 | 0.272 | 0.279 | 0.284 | 0.304 | 0.311 | 0.327 | 0.331 | 0.343 | 0.357 | 0.369 | 0.376 | 0.38 | 0.382 | 0.397 | 0.399 | 0.405 | 0.42 | 0.428 | 0.439 | 0.445 |
| Liaoning | 0.37 | 0.372 | 0.379 | 0.382 | 0.398 | 0.402 | 0.4 | 0.415 | 0.41 | 0.423 | 0.428 | 0.468 | 0.46 | 0.471 | 0.482 | 0.499 | 0.48 | 0.487 | 0.507 | 0.522 | 0.512 | 0.52 |
| Jilin | 0.334 | 0.335 | 0.321 | 0.318 | 0.323 | 0.358 | 0.358 | 0.368 | 0.357 | 0.356 | 0.37 | 0.39 | 0.391 | 0.403 | 0.431 | 0.42 | 0.429 | 0.447 | 0.464 | 0.454 | 0.492 | 0.511 |
| Heilongjiang | 0.307 | 0.317 | 0.318 | 0.384 | 0.339 | 0.395 | 0.392 | 0.393 | 0.372 | 0.383 | 0.384 | 0.411 | 0.409 | 0.416 | 0.432 | 0.422 | 0.438 | 0.453 | 0.465 | 0.473 | 0.486 | 0.491 |
| Shanghai | 0.42 | 0.433 | 0.436 | 0.444 | 0.463 | 0.492 | 0.506 | 0.519 | 0.524 | 0.534 | 0.526 | 0.541 | 0.556 | 0.577 | 0.591 | 0.598 | 0.606 | 0.626 | 0.641 | 0.662 | 0.672 | 0.684 |
| Jiangsu | 0.338 | 0.361 | 0.376 | 0.382 | 0.4 | 0.404 | 0.436 | 0.446 | 0.451 | 0.47 | 0.491 | 0.516 | 0.53 | 0.551 | 0.576 | 0.592 | 0.607 | 0.625 | 0.645 | 0.67 | 0.685 | 0.694 |
| Zhejiang | 0.326 | 0.342 | 0.362 | 0.37 | 0.379 | 0.397 | 0.413 | 0.424 | 0.429 | 0.437 | 0.458 | 0.499 | 0.493 | 0.514 | 0.535 | 0.556 | 0.575 | 0.601 | 0.617 | 0.638 | 0.649 | 0.664 |
| Anhui | 0.295 | 0.307 | 0.308 | 0.317 | 0.316 | 0.318 | 0.337 | 0.345 | 0.355 | 0.363 | 0.382 | 0.413 | 0.382 | 0.426 | 0.45 | 0.457 | 0.464 | 0.47 | 0.488 | 0.508 | 0.528 | 0.54 |
| Fujian | 0.319 | 0.323 | 0.326 | 0.346 | 0.351 | 0.332 | 0.345 | 0.356 | 0.36 | 0.373 | 0.386 | 0.417 | 0.391 | 0.427 | 0.445 | 0.465 | 0.473 | 0.483 | 0.499 | 0.516 | 0.516 | 0.523 |
| Jiangxi | 0.302 | 0.302 | 0.299 | 0.3 | 0.319 | 0.332 | 0.339 | 0.338 | 0.337 | 0.343 | 0.358 | 0.376 | 0.382 | 0.396 | 0.409 | 0.418 | 0.434 | 0.444 | 0.463 | 0.477 | 0.492 | 0.502 |
| Shandong | 0.345 | 0.354 | 0.355 | 0.364 | 0.379 | 0.394 | 0.401 | 0.414 | 0.418 | 0.43 | 0.446 | 0.48 | 0.482 | 0.5 | 0.52 | 0.539 | 0.549 | 0.558 | 0.586 | 0.605 | 0.615 | 0.625 |
| Henan | 0.302 | 0.289 | 0.29 | 0.296 | 0.27 | 0.323 | 0.333 | 0.347 | 0.353 | 0.358 | 0.37 | 0.391 | 0.405 | 0.426 | 0.448 | 0.468 | 0.477 | 0.488 | 0.503 | 0.523 | 0.532 | 0.543 |
| Hubei | 0.349 | 0.35 | 0.354 | 0.359 | 0.363 | 0.373 | 0.374 | 0.375 | 0.38 | 0.383 | 0.398 | 0.42 | 0.437 | 0.446 | 0.464 | 0.472 | 0.484 | 0.498 | 0.511 | 0.528 | 0.545 | 0.598 |
| Hunan | 0.331 | 0.335 | 0.343 | 0.344 | 0.356 | 0.338 | 0.349 | 0.349 | 0.346 | 0.361 | 0.378 | 0.397 | 0.406 | 0.416 | 0.432 | 0.442 | 0.454 | 0.465 | 0.488 | 0.503 | 0.523 | 0.537 |
| Guangdong | 0.428 | 0.426 | 0.426 | 0.428 | 0.438 | 0.418 | 0.44 | 0.459 | 0.475 | 0.487 | 0.507 | 0.545 | 0.544 | 0.579 | 0.609 | 0.643 | 0.668 | 0.698 | 0.724 | 0.748 | 0.752 | 0.761 |
| Guangxi | 0.288 | 0.292 | 0.288 | 0.292 | 0.296 | 0.301 | 0.302 | 0.307 | 0.308 | 0.322 | 0.338 | 0.35 | 0.361 | 0.369 | 0.381 | 0.391 | 0.405 | 0.416 | 0.429 | 0.446 | 0.453 | 0.46 |
| Hainan | 0.198 | 0.202 | 0.209 | 0.218 | 0.222 | 0.237 | 0.255 | 0.273 | 0.277 | 0.293 | 0.301 | 0.311 | 0.337 | 0.336 | 0.349 | 0.348 | 0.355 | 0.362 | 0.372 | 0.391 | 0.405 | 0.415 |
| Chongqing | 0.25 | 0.253 | 0.257 | 0.269 | 0.283 | 0.297 | 0.308 | 0.323 | 0.333 | 0.339 | 0.35 | 0.376 | 0.391 | 0.413 | 0.43 | 0.432 | 0.488 | 0.448 | 0.462 | 0.473 | 0.487 | 0.495 |
| Sichuan | 0.326 | 0.332 | 0.336 | 0.34 | 0.347 | 0.356 | 0.366 | 0.374 | 0.388 | 0.392 | 0.407 | 0.427 | 0.444 | 0.461 | 0.482 | 0.491 | 0.503 | 0.515 | 0.532 | 0.551 | 0.558 | 0.564 |
| Guizhou | 0.285 | 0.288 | 0.288 | 0.291 | 0.298 | 0.267 | 0.28 | 0.275 | 0.274 | 0.283 | 0.308 | 0.321 | 0.335 | 0.348 | 0.363 | 0.376 | 0.39 | 0.398 | 0.41 | 0.419 | 0.425 | 0.431 |
| Yunnan | 0.273 | 0.266 | 0.279 | 0.279 | 0.285 | 0.307 | 0.311 | 0.311 | 0.315 | 0.325 | 0.338 | 0.348 | 0.363 | 0.372 | 0.387 | 0.396 | 0.405 | 0.41 | 0.422 | 0.434 | 0.446 | 0.457 |
| Shaanxi | 0.344 | 0.349 | 0.355 | 0.352 | 0.358 | 0.367 | 0.364 | 0.373 | 0.376 | 0.395 | 0.402 | 0.422 | 0.435 | 0.438 | 0.452 | 0.461 | 0.471 | 0.48 | 0.497 | 0.507 | 0.519 | 0.528 |
| Gansu | 0.282 | 0.288 | 0.285 | 0.288 | 0.295 | 0.322 | 0.316 | 0.32 | 0.319 | 0.337 | 0.343 | 0.362 | 0.373 | 0.373 | 0.384 | 0.388 | 0.4 | 0.406 | 0.419 | 0.428 | 0.432 | 0.443 |
| Qinghai | 0.188 | 0.19 | 0.202 | 0.207 | 0.208 | 0.226 | 0.228 | 0.24 | 0.244 | 0.259 | 0.267 | 0.282 | 0.288 | 0.287 | 0.301 | 0.306 | 0.323 | 0.323 | 0.329 | 0.339 | 0.345 | 0.353 |
| Ningxia | 0.219 | 0.219 | 0.226 | 0.24 | 0.252 | 0.267 | 0.262 | 0.271 | 0.277 | 0.299 | 0.308 | 0.321 | 0.331 | 0.338 | 0.347 | 0.357 | 0.377 | 0.383 | 0.393 | 0.402 | 0.407 | 0.42 |
| Xinjiang | 0.316 | 0.327 | 0.324 | 0.323 | 0.326 | 0.313 | 0.311 | 0.324 | 0.324 | 0.335 | 0.345 | 0.361 | 0.367 | 0.372 | 0.38 | 0.389 | 0.401 | 0.41 | 0.418 | 0.433 | 0.436 | 0.449 |
| Region/Year | 2002 | 2003 | 2004 | 2005 | 2006 | 2007 | 2008 | 2009 | 2010 | 2011 | 2012 | 2013 | 2014 | 2015 | 2016 | 2017 | 2018 | 2019 | 2020 | 2021 | 2022 | 2023 |
|---|---|---|---|---|---|---|---|---|---|---|---|---|---|---|---|---|---|---|---|---|---|---|
| Beijing | 0.539 | 0.473 | 0.496 | 0.502 | 0.484 | 0.596 | 0.625 | 0.65 | 0.651 | 0.634 | 0.628 | 0.635 | 0.662 | 0.646 | 0.643 | 0.65 | 0.654 | 0.661 | 0.674 | 0.691 | 0.688 | 0.683 |
| Tianjin | 0.511 | 0.492 | 0.507 | 0.548 | 0.487 | 0.517 | 0.506 | 0.486 | 0.489 | 0.473 | 0.484 | 0.505 | 0.514 | 0.519 | 0.528 | 0.533 | 0.53 | 0.528 | 0.55 | 0.553 | 0.534 | 0.528 |
| Hebei | 0.332 | 0.339 | 0.35 | 0.342 | 0.351 | 0.372 | 0.388 | 0.39 | 0.386 | 0.375 | 0.398 | 0.406 | 0.421 | 0.429 | 0.452 | 0.474 | 0.485 | 0.508 | 0.516 | 0.51 | 0.499 | 0.503 |
| Shanxi | 0.357 | 0.345 | 0.35 | 0.348 | 0.366 | 0.436 | 0.401 | 0.394 | 0.419 | 0.378 | 0.371 | 0.396 | 0.397 | 0.382 | 0.372 | 0.423 | 0.419 | 0.442 | 0.453 | 0.448 | 0.473 | 0.454 |
| Neimenggu | 0.262 | 0.252 | 0.262 | 0.268 | 0.263 | 0.282 | 0.297 | 0.303 | 0.324 | 0.31 | 0.316 | 0.328 | 0.323 | 0.364 | 0.405 | 0.485 | 0.489 | 0.37 | 0.388 | 0.407 | 0.454 | 0.465 |
| Liaoning | 0.457 | 0.469 | 0.452 | 0.441 | 0.429 | 0.433 | 0.453 | 0.42 | 0.426 | 0.427 | 0.418 | 0.422 | 0.425 | 0.432 | 0.468 | 0.469 | 0.47 | 0.446 | 0.461 | 0.474 | 0.492 | 0.453 |
| Jilin | 0.33 | 0.341 | 0.36 | 0.34 | 0.35 | 0.376 | 0.366 | 0.396 | 0.362 | 0.362 | 0.365 | 0.378 | 0.377 | 0.385 | 0.396 | 0.421 | 0.437 | 0.459 | 0.467 | 0.45 | 0.466 | 0.464 |
| Heilongjiang | 0.422 | 0.458 | 0.363 | 0.594 | 0.363 | 0.394 | 0.411 | 0.393 | 0.398 | 0.392 | 0.395 | 0.397 | 0.412 | 0.414 | 0.444 | 0.447 | 0.41 | 0.518 | 0.551 | 0.518 | 0.489 | 0.426 |
| Shanghai | 0.506 | 0.424 | 0.422 | 0.452 | 0.47 | 0.54 | 0.534 | 0.566 | 0.549 | 0.527 | 0.532 | 0.533 | 0.541 | 0.54 | 0.557 | 0.56 | 0.56 | 0.563 | 0.577 | 0.579 | 0.577 | 0.592 |
| Jiangsu | 0.434 | 0.419 | 0.412 | 0.405 | 0.419 | 0.45 | 0.477 | 0.481 | 0.489 | 0.507 | 0.516 | 0.518 | 0.527 | 0.539 | 0.554 | 0.568 | 0.574 | 0.588 | 0.601 | 0.602 | 0.609 | 0.612 |
| Zhejiang | 0.398 | 0.434 | 0.425 | 0.43 | 0.439 | 0.459 | 0.467 | 0.482 | 0.483 | 0.496 | 0.508 | 0.525 | 0.531 | 0.549 | 0.559 | 0.573 | 0.58 | 0.597 | 0.606 | 0.606 | 0.617 | 0.627 |
| Anhui | 0.387 | 0.461 | 0.367 | 0.4 | 0.403 | 0.412 | 0.412 | 0.45 | 0.441 | 0.464 | 0.469 | 0.462 | 0.47 | 0.492 | 0.526 | 0.536 | 0.555 | 0.566 | 0.568 | 0.578 | 0.577 | 0.579 |
| Fujian | 0.432 | 0.501 | 0.454 | 0.462 | 0.455 | 0.472 | 0.477 | 0.457 | 0.456 | 0.46 | 0.461 | 0.475 | 0.466 | 0.466 | 0.477 | 0.506 | 0.488 | 0.491 | 0.508 | 0.513 | 0.507 | 0.498 |
| Jiangxi | 0.32 | 0.374 | 0.374 | 0.362 | 0.357 | 0.369 | 0.369 | 0.369 | 0.377 | 0.357 | 0.361 | 0.38 | 0.387 | 0.408 | 0.42 | 0.442 | 0.462 | 0.494 | 0.509 | 0.501 | 0.515 | 0.512 |
| Shandong | 0.448 | 0.439 | 0.453 | 0.421 | 0.421 | 0.442 | 0.451 | 0.447 | 0.461 | 0.467 | 0.465 | 0.463 | 0.462 | 0.48 | 0.492 | 0.511 | 0.527 | 0.537 | 0.552 | 0.573 | 0.595 | 0.596 |
| Henan | 0.437 | 0.386 | 0.386 | 0.375 | 0.364 | 0.392 | 0.408 | 0.419 | 0.421 | 0.403 | 0.391 | 0.498 | 0.496 | 0.499 | 0.497 | 0.525 | 0.56 | 0.53 | 0.545 | 0.532 | 0.565 | 0.564 |
| Hubei | 0.336 | 0.345 | 0.369 | 0.347 | 0.381 | 0.418 | 0.424 | 0.444 | 0.448 | 0.441 | 0.447 | 0.453 | 0.473 | 0.481 | 0.489 | 0.515 | 0.542 | 0.559 | 0.56 | 0.556 | 0.575 | 0.64 |
| Hunan | 0.361 | 0.348 | 0.452 | 0.367 | 0.372 | 0.384 | 0.411 | 0.442 | 0.427 | 0.431 | 0.425 | 0.448 | 0.454 | 0.469 | 0.477 | 0.488 | 0.495 | 0.503 | 0.53 | 0.535 | 0.56 | 0.57 |
| Guangdong | 0.452 | 0.453 | 0.459 | 0.462 | 0.472 | 0.462 | 0.473 | 0.489 | 0.511 | 0.499 | 0.511 | 0.522 | 0.521 | 0.565 | 0.574 | 0.584 | 0.602 | 0.618 | 0.622 | 0.622 | 0.63 | 0.635 |
| Guangxi | 0.33 | 0.324 | 0.331 | 0.324 | 0.307 | 0.34 | 0.342 | 0.344 | 0.334 | 0.349 | 0.356 | 0.369 | 0.363 | 0.343 | 0.343 | 0.361 | 0.386 | 0.39 | 0.388 | 0.411 | 0.418 | 0.412 |
| Hainan | 0.227 | 0.246 | 0.261 | 0.211 | 0.226 | 0.282 | 0.291 | 0.353 | 0.308 | 0.336 | 0.337 | 0.361 | 0.352 | 0.354 | 0.338 | 0.357 | 0.356 | 0.357 | 0.377 | 0.41 | 0.446 | 0.433 |
| Chongqing | 0.414 | 0.388 | 0.405 | 0.438 | 0.438 | 0.437 | 0.472 | 0.486 | 0.452 | 0.452 | 0.386 | 0.377 | 0.392 | 0.462 | 0.446 | 0.489 | 0.502 | 0.468 | 0.484 | 0.486 | 0.488 | 0.492 |
| Sichuan | 0.369 | 0.464 | 0.443 | 0.452 | 0.452 | 0.474 | 0.461 | 0.468 | 0.394 | 0.429 | 0.421 | 0.421 | 0.44 | 0.454 | 0.463 | 0.477 | 0.475 | 0.491 | 0.492 | 0.507 | 0.501 | 0.494 |
| Guizhou | 0.354 | 0.371 | 0.348 | 0.361 | 0.378 | 0.392 | 0.38 | 0.379 | 0.4 | 0.387 | 0.395 | 0.398 | 0.389 | 0.376 | 0.387 | 0.403 | 0.421 | 0.42 | 0.452 | 0.443 | 0.434 | 0.401 |
| Yunnan | 0.357 | 0.351 | 0.338 | 0.338 | 0.324 | 0.387 | 0.385 | 0.398 | 0.382 | 0.392 | 0.372 | 0.387 | 0.389 | 0.383 | 0.376 | 0.401 | 0.393 | 0.389 | 0.449 | 0.381 | 0.398 | 0.409 |
| Shaanxi | 0.406 | 0.414 | 0.421 | 0.425 | 0.436 | 0.449 | 0.452 | 0.43 | 0.439 | 0.434 | 0.424 | 0.423 | 0.436 | 0.449 | 0.464 | 0.469 | 0.467 | 0.478 | 0.473 | 0.497 | 0.501 | 0.497 |
| Gansu | 0.353 | 0.337 | 0.353 | 0.343 | 0.357 | 0.37 | 0.389 | 0.393 | 0.411 | 0.404 | 0.415 | 0.398 | 0.415 | 0.431 | 0.442 | 0.47 | 0.468 | 0.439 | 0.449 | 0.451 | 0.467 | 0.456 |
| Qinghai | 0.404 | 0.285 | 0.262 | 0.258 | 0.244 | 0.285 | 0.289 | 0.298 | 0.268 | 0.262 | 0.27 | 0.281 | 0.289 | 0.311 | 0.368 | 0.38 | 0.404 | 0.397 | 0.447 | 0.386 | 0.368 | 0.364 |
| Ningxia | 0.35 | 0.357 | 0.344 | 0.406 | 0.469 | 0.473 | 0.497 | 0.467 | 0.491 | 0.462 | 0.444 | 0.463 | 0.474 | 0.472 | 0.472 | 0.473 | 0.544 | 0.547 | 0.537 | 0.508 | 0.525 | 0.481 |
| Xinjiang | 0.392 | 0.386 | 0.386 | 0.428 | 0.444 | 0.435 | 0.383 | 0.374 | 0.378 | 0.431 | 0.321 | 0.372 | 0.356 | 0.45 | 0.468 | 0.423 | 0.427 | 0.385 | 0.34 | 0.341 | 0.338 | 0.378 |
References
- Von Bertalanffy, L. General System Theory: Foundations, Development, Applications; George Braziller: New York, NY, USA, 1968; p. 40. [Google Scholar]
- Wang, H.; Liu, J.; Lei, D. Research on the functional positioning of science and technology finance in the process of coupling development of new and old industries. Manag. World 2014, 2, 178–179. [Google Scholar]
- Zhang, L.; Li, Y. Research on the system coupling mechanism and coupling coordination degree between financial development and technological innovation. South China Financ. 2015, 11, 53–61. [Google Scholar]
- Wang, R.; Yang, M. The coupling relationship between technoligy innovation and financial innovation and its effects on economic efficiency. Soft Sci. 2015, 29, 33–41. [Google Scholar]
- Feng, R.; Liu, G.; Luo, Y. A study on the coupling of science and technology innovation and financial development in Guangdong province. J. Guangzhou Univ. Social Sci. Ed. 2017, 16, 63–69. [Google Scholar]
- He, Y.; Bei, Z. Research on the coupling of scientific and technological innovation and financial developmen in the economic circle of Yangtze river delta. J. Tech. Econ. Manag. 2019, 25, 51–55. [Google Scholar]
- Dai, J.; Yan, X.; Liu, D. Construction of regional science and technology finance and technological innovation synergy mechanism: Hubei case. Wuhan Fiance 2019, 4, 22–26. [Google Scholar]
- Sun, G.; Tang, D. Analysis on the coupling and coordinated development among culture, technology, and financial industry. Sci. Technol. Ind. 2019, 19, 7–13. [Google Scholar]
- Wang, R.; Lu, P. The coupling relationship between technological innovation, green finance, and industrial policies. Soft Sci. 2019, 21, 26–37. [Google Scholar]
- Goodwin, R.M. Dynamical coupling with especial reference to markets having production lags. Econom. J. Econom. Soc. 1947, 15, 181–204. [Google Scholar] [CrossRef]
- Weick, K.E. Educational organizations as loosely coupled systems. Adm. Sci. Q. 2012, 21, 1–19. [Google Scholar] [CrossRef]
- Ma, L.; Jin, F.; Liu, Y. Spatial Pattern and Industrial Sector Structure Analysis on the Coupling and Coordinating Degree of Regional EconomicDevelopment and Environmental Pollution in China. Acta Geograhica Sin. 2012, 67, 1299–1307. [Google Scholar]
- Lu, J.; Zhou, H. Empirical analysis of coupling relationship between human capital and economic growth in Chinese provinces. J. Quant. Technol. Econ. 2013, 1–33. [Google Scholar]
- Ma, Y.; Shang, M.; Yang, F.; Li, C. Exploration of the role of human capital in China’s high-quality economic development and analysis of its spatial characteristics. Sustainability 2023, 15, 3900. [Google Scholar] [CrossRef]
- Hu, F.; Zheng, Y.; Zhou, Z. Interaction study between tourism industry andregional economic of Guangxi based on the coupling coordinative degree. J. Cent. China Norm. Univ. 2015, 49, 640–646. [Google Scholar]
- Jiang, L.; Bai, L.; Wu, Y. Coupling and Coordinating Degrees of Provincial Economy, Resources and Environment in China. J. Nat. Resour. 2017, 32, 788–799. [Google Scholar]
- Liu, Z.; Zhang, X.; Wang, J.; Shen, L.; Tang, E. Evaluation of coupling coordination development between digital economy and green finance: Evidence from 30 provinces in China. PLoS ONE 2023, 18, e0291936. [Google Scholar] [CrossRef]
- Yu, L.; Liang, Y.; Chen, W. The Coupling and Coordinated Development of Intellectual Property and High-Quality Economy: Using China’s 30 Provinces as an Example. Math. Probl. Eng. 2022, 2022, 3796799. [Google Scholar] [CrossRef]
- Chen, S.; Mu, H.; Zhao, K.; Cao, J. Analysis of the Spatio-Temporal Evolution Characteristics and Driving Factors of the Coupled and Coordinated Development of China’s New Urbanization and Ecological Environment. Pol. J. Environ. Stud. 2024, 33, 1595–1610. [Google Scholar] [CrossRef]
- Zhou, J.; Hu, T.F.; Wei, Z.; Ji, D. Evaluation of High-Quality Development Level of Regional Economy and Exploration of Index Obstacle Degree: A Case Study of Henan Province. J. Knowl. Econ. 2024, 1–33. [Google Scholar] [CrossRef]
- Yuan, Y.; Chen, J. The coupling mechanisms of technological innnovation and financial development and policy suggestions. Times Financ. 2014, 34, 14–17. [Google Scholar]
- Hu, G.; Zheng, M. On the mechanism and mode of the coupling between scientific and technological innovation and financial innovation. Wuhan Financ. 2014, 10, 20–23. [Google Scholar]
- Wang, R.; Fu, T. On coupling mechanisms between technology innovation and financial innovation in China: A regulatory sandbox approach. Financ. Theory Pract. 2018, 8, 28–32. [Google Scholar]
- Xu, Y.; Wang, Y. Research on the operation mechanism of coordinated development of regional scientific and technological innovation and scientific and technological financial system. Sci. Technol. Prog. Policy 2013, 30, 25–29. [Google Scholar]
- Liu, C.; Zhou, J.; Jiang, J.; Wang, Z. Pattern and driving force of regional innovation and regional financial coupling coordiantion in the Yangtze river conomic belt. J. Tech. Econ. Manag. 2019, 39, 94–103. [Google Scholar]
- Wang, Y.; Wang, R. Coupling mechanism and empirical analysis of sci-tech innovation and financial innovation. Sci. Technol. Manag. Res. 2017, 12, 66–71. [Google Scholar]
- Jiao, Y.; Guo, B.; You, R. Research on the coupling relationship between scientific and technological innovation, financial innovation and industrial structure optimization: Based on the perspective of “Internet +”. Mordern Manag. 2019, 5, 32–36. [Google Scholar]
- Wu, C.; Yuan, S. Research on the linkage effect between regional science and technology financial systems. Times Financ. 2019, 25, 51–55. [Google Scholar]
- Lin, P.; Meng, N.; Li, Y. Research on the coupling coordination of science and technology financial policy and technology-based SMEs innovation performance: Taking Hebei province as an example. Sci. Technol. Manag. Res. 2018, 3, 54–58. [Google Scholar]
- Liao, C. quantitative judgement and classification system for coordinated development of enviornment and economy: A case study of the city group in the Pearl River Delta. Trop. Geogr. 1999, 19, 171–177. [Google Scholar]
- Wang, X.; Guan, S.; Chen, X. Evaluation of China’s High-quality Economic Development Level—Empirical study based on 30 provinces and municipalities. In Proceedings of the 4th International Conference on Management Science and Industrial Engineering, Chiang Mai, Thailand, 28–30 April 2022; pp. 63–70. [Google Scholar]
- Yang, T.; Gu, G. Spatial–Temporal Evolution and Driving Factors of China’s High-Quality Economic Development. Sustainability 2023, 15, 16308. [Google Scholar] [CrossRef]
- Diakoulaki, D.; Mavrotas, G.; Papayannakis, L. Determining objective weights in multiple criteria problems: The critic method. Comput. Oper. Res. 1995, 22, 763–770. [Google Scholar] [CrossRef]
- Lv, X. Research on the Logical Turn and Practical Path of China’s High-Quality Economic Development in the Context of Digitalization. Appl. Math. Nonlinear Sci. 2024, 9, 12. [Google Scholar] [CrossRef]
- Bing, B. The impact of higher education on high quality economic development in China: A digital perspective. PLoS ONE 2023, 18, e0289817. [Google Scholar] [CrossRef]
- Cao, X. Research on the Measurement of China’s High-quality Economic Development Level. In Proceedings of the 2020 2nd International Conference on Economic Management and Model Engineering (ICEMME), Chongqing, China, 20–22 November 2020; IEEE: Piscataway, NJ, USA, 2020; pp. 779–782. [Google Scholar]
- Cheng, H. Evaluation and Analysis of High-Quality Development of New Urbanization Based on Intelligent Computing. Math. Probl. Eng. 2022, 2022, 6428970. [Google Scholar] [CrossRef]
- Wang, S.; Li, M. Does industrial intelligence improve resource misallocation? An empirical test based on China. Environ. Sci. Pollut. Res. 2022, 29, 77973–77991. [Google Scholar] [CrossRef]
- Yang, W.; Huang, R.; Li, D. China’s high-quality economic development: A study of regional variations and spatial evolution. Econ. Change Restruct. 2024, 57, 86. [Google Scholar] [CrossRef]
- Reichert, F.M.; Beltrame, R.S.; Corso, K.B.; Trevisan, M.; Zawislak, P.A. Technological capability’s predictor variables. J. Technol. Manag. Innov. 2011, 6, 14–25. [Google Scholar] [CrossRef]
- Wang, Y.; Pan, J.F.; Pei, R.M.; Yi, B.W.; Yang, G.L. Assessing the technological innovation efficiency of China’s high-tech industries with a two-stage network DEA approach. Socio-Econ. Plan. Sci. 2020, 71, 100810. [Google Scholar] [CrossRef]
- Demirgüç-Kunt, A.; Levine, R. Financial Structure and Economic Growth: Financial Structure and Economic Growth: Perspectives and Lessons; MIT Press: Cambridge, MA, USA, 2001. [Google Scholar]
- Radu, L. Qualitative, semi-quantitative and, quantitative methods for risk assessment: Case of the financial audit. In Analele Ştiinţifice ale Universităţii» Alexandru Ioan Cuza «din Iaşi. Ştiinţe Economice; Alexandru Ioan Cuza University, Faculty of Economics and Business Administration: Iaşi, Romania, 2009; Volume 56, pp. 643–657. [Google Scholar]
- Zhu, Y.; Tian, D.; Yan, F. Effectiveness of entropy weight method in decision-making. Math. Probl. Eng. 2020, 2020, 3564835. [Google Scholar] [CrossRef]
- China Statistical Yearbook; China Statistic Press: Beijing, China, 2022.
- Fred Simon, D.; Cao, C. Examining China’s science and technology statistics: A systematic perspective. J. Sci. Technol. Policy China 2012, 3, 26–48. [Google Scholar] [CrossRef]
- Chen, J. The China Economy Yearbook, Volume 2: Analysis and Forecast of China’s Economy; Brill Academic Pub: Leiden, Holland, 2009; Volume 2. [Google Scholar]
- China Regional Financial Operation Report; The People’s Bank of China: Beijing, China, 2024; Volume 1.
- Nordholt, E.S. Imputation: Methods, simulation experiments and practical examples. Int. Stat. Rev. 1998, 66, 157–180. [Google Scholar] [CrossRef]
- Massey, F.J., Jr. The Kolmogorov-Smirnov test for goodness of fit. J. Am. Stat. Assoc. 1951, 46, 68–78. [Google Scholar] [CrossRef]
- Diks, C.; Panchenko, V. A new statistic and practical guidelines for nonparametric Granger causality testing. J. Econ. Dyn. Control 2006, 30, 1647–1669. [Google Scholar] [CrossRef]
- Steinschneider, S.; Yang, Y.C.E.; Brown, C. Panel regression techniques for identifying impacts of anthropogenic landscape change on hydrologic response. Water Resour. Res. 2013, 49, 7874–7886. [Google Scholar] [CrossRef]











































| Reference | Technological Innovation Subsystem | Financial Development Subsystem | Data |
|---|---|---|---|
| [3] | 2 categories of 7 predictors | 3 categories of 7 predictors | China 2002–2012 |
| [4] | 3 categories of 7 predictors | 2 categories of 6 predictors | 35 Countries 2004–2010 |
| [5] | 2 categories of 4 predictors | 3 categories of 3 predictors | China 2008–2013 |
| [26] | 4 predictors (no category) | 3 predictors (no category) | China 2002–2012 |
| [6] | 3 categories of 8 predictors | 3 categories of 8 predictors | China 2005–2016 |
| [27] | 3 categories of 8 predictors | 2 categories of 9 predictors | China 2013–2017 |
| [8] | 3 categories of 5 predictors | 3 categories of 5 predictors | China 2005–2016 |
| [9] | 2 categories of 7 predictors | not applicable | China 2008–2015 |
| [25] | 3 categories of 10 predictors | 3 categories of 10 predictors | China 2006–2016 |
| Our study | 3 categories of 12 predictors | 3 categories of 12 predictors | China 2002–2023 |
| Subsystem | Category | Predictors | Unit |
|---|---|---|---|
| Technological Innovation | Environment () | Gross Domestic Product (GDP) per capita () | Yuan/person |
| Average number of students enrolled in higher education institutions per 100,000 people () | Person | ||
| Number of Internet broadband access () | |||
| Number of high-tech enterprises in each region () | |||
| Number of research and development (R&D) institutions by region () | Item | ||
| Investment () | Local fiscal expenditure on science and technology () | Yuan | |
| R&D funding intensity () | % | ||
| Internal expenditure on R&D () | Yuan | ||
| Full-time equivalent of R&D personnel by region () | Person | ||
| Output () | Technology market transaction amount () | Yuan | |
| Number of patents granted () | Item | ||
| Number of scientific papers indexed by major international publication repositories by region () | Item | ||
| Financial Development | Scale () | Proportion of financial practitioners () | % |
| Bank balance () | Yuan | ||
| Bank loan balance () | Yuan | ||
| Total market value of stocks () | Yuan | ||
| Premium income () | Yuan | ||
| Structure () | Savings per capita () | Yuan/person | |
| Number of securities industry institutions () | Item | ||
| Insurance depth () | % | ||
| Insurance density () | Yuan/person | ||
| Efficiency () | Loan-to-deposit ratio () | % | |
| Securitization rate () | % | ||
| Insurance claims ratio () | % |
| X Predictor | Missing Data Status | Y Predictor | Missing Data Status |
|---|---|---|---|
| No missing data | No missing data | ||
| 2002, 2003 data missing | 2023 data missing | ||
| 2002, 2003, 2004 data missing; 2006 partial data missing | 2023 data missing | ||
| 2002, 2003, 2004 data missing | 2002, 2003, 2004, 2005, 2006 partial data missing; 2023 data missing | ||
| 2002, 2003, 2004, 2020, 2021, 2022, 2023 data missing | 2023 data missing | ||
| No missing data | 2023 data missing | ||
| No missing data | 2022, 2023 data missing; 2004, 2005 partial data missing | ||
| No missing data | 2002, 2003, 2022 partial data missing; 2023 data missing | ||
| No missing data | 2002, 2003, 2022 partial data missing; 2023 data missing | ||
| No missing data | 2023 data missing | ||
| No missing data | 2002, 2003, 2004, 2005, 2006 partial data missing; 2023 data missing | ||
| 2023 data missing | 2023 data missing |
| X Predictor | Missing Data Status | Y Predictor | Missing Data Status |
|---|---|---|---|
| No missing data | No missing data | ||
| No missing data | 2023 data missing | ||
| No missing data | 2023 data missing | ||
| No missing data | 2023 data missing | ||
| No missing data | 2002, 2003, 2004, 2005, 2006 missing partial data; 2023 data missing | ||
| No missing data | 2023 data missing | ||
| 2002, 2003, 2004, 2008 missing partial data | 2023 data missing |
Disclaimer/Publisher’s Note: The statements, opinions and data contained in all publications are solely those of the individual author(s) and contributor(s) and not of MDPI and/or the editor(s). MDPI and/or the editor(s) disclaim responsibility for any injury to people or property resulting from any ideas, methods, instructions or products referred to in the content. |
© 2025 by the authors. Published by MDPI on behalf of the International Institute of Knowledge Innovation and Invention. Licensee MDPI, Basel, Switzerland. This article is an open access article distributed under the terms and conditions of the Creative Commons Attribution (CC BY) license (https://creativecommons.org/licenses/by/4.0/).
Share and Cite
Zhou, J.; Jia, Y.; Yang, Y.; Zhao, W. Coordinated Evaluation of Technological Innovation and Financial Development in China: An Engineering Perspective. Appl. Syst. Innov. 2025, 8, 77. https://doi.org/10.3390/asi8030077
Zhou J, Jia Y, Yang Y, Zhao W. Coordinated Evaluation of Technological Innovation and Financial Development in China: An Engineering Perspective. Applied System Innovation. 2025; 8(3):77. https://doi.org/10.3390/asi8030077
Chicago/Turabian StyleZhou, Jiong, Yuanxin Jia, Yixin Yang, and Wenbing Zhao. 2025. "Coordinated Evaluation of Technological Innovation and Financial Development in China: An Engineering Perspective" Applied System Innovation 8, no. 3: 77. https://doi.org/10.3390/asi8030077
APA StyleZhou, J., Jia, Y., Yang, Y., & Zhao, W. (2025). Coordinated Evaluation of Technological Innovation and Financial Development in China: An Engineering Perspective. Applied System Innovation, 8(3), 77. https://doi.org/10.3390/asi8030077

