Diffusiophoresis of a Colloidal Cylinder at Small Finite Péclet Numbers
Abstract
:1. Introduction
2. Analysis
2.1. Equations of Conservation and Boundary Conditions
2.2. Solution for the Velocity Field
2.3. Solution for the Solute Concentration Field
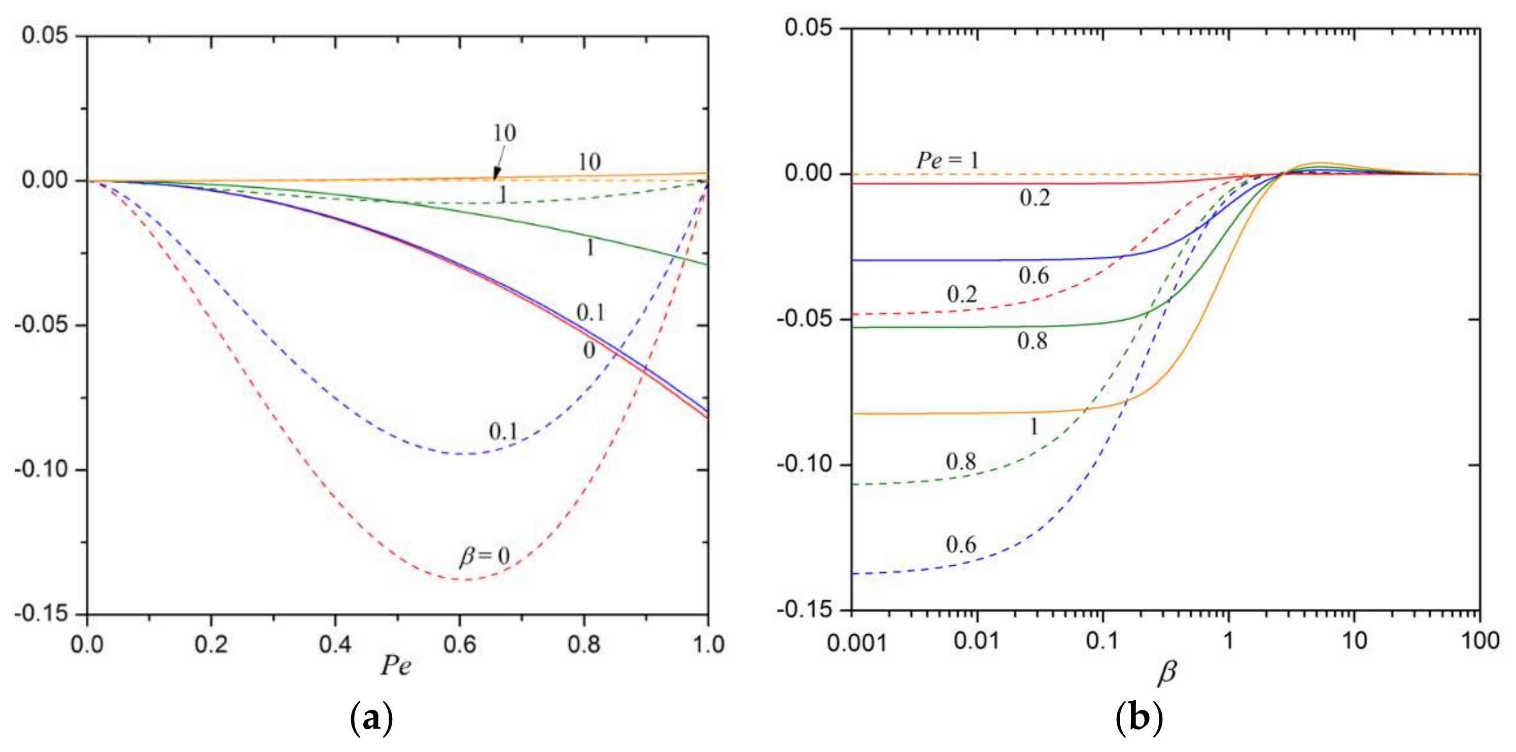
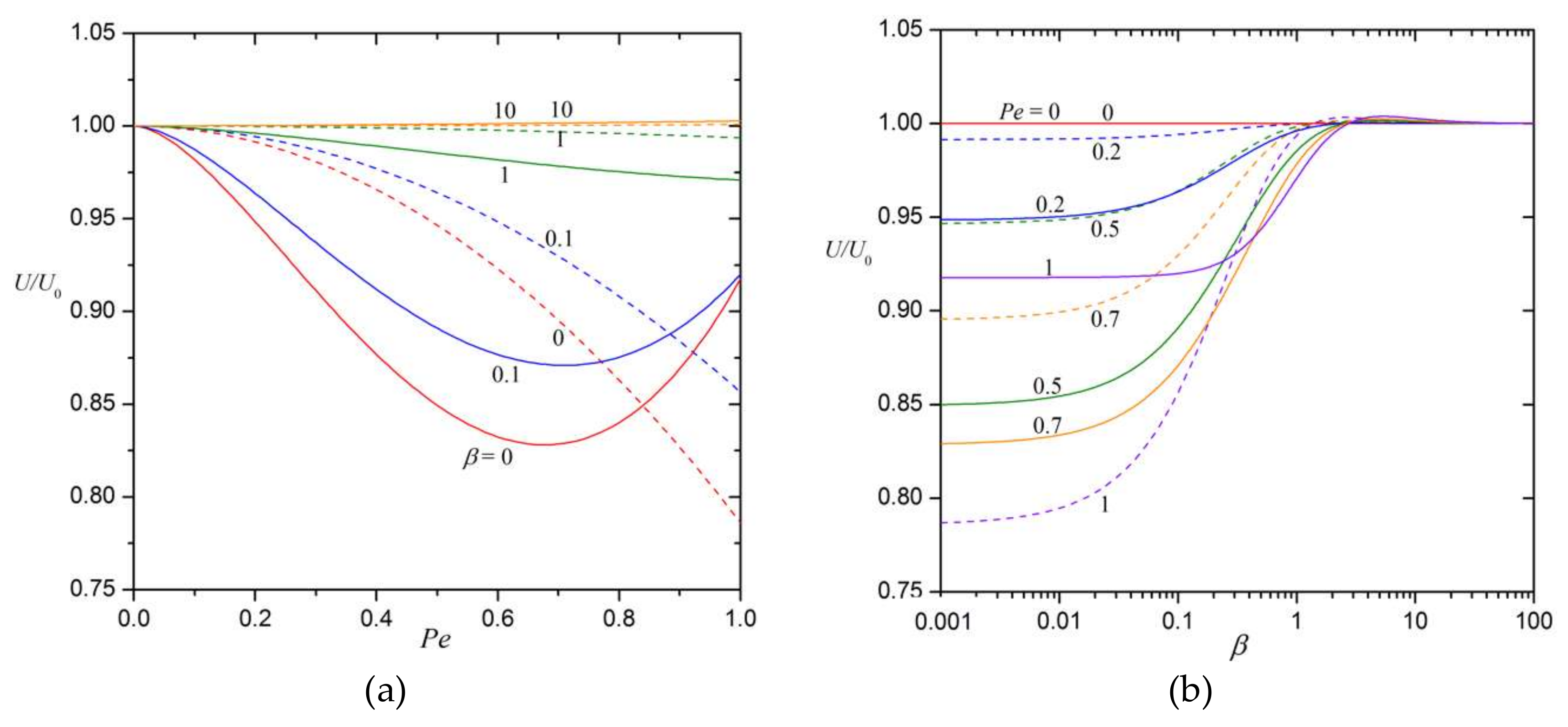
3. Results and Discussion
4. Conclusions
Author Contributions
Funding
Conflicts of Interest
References
- Smith, R.E.; Prieve, D.C. Accelerated deposition of latex particles onto a rapidly dissolving steel surface. Chem. Eng. Sci. 1982, 37, 1213–1223. [Google Scholar] [CrossRef]
- Palacci, J.; Abecassis, B.; Cottin-Bizonne, C.; Ybert, C.; Bocquet, L. Colloidal motility and pattern formation under rectified diffusiophoresis. Phys. Rev. Lett. 2010, 104, 138302. [Google Scholar] [CrossRef] [PubMed]
- Liu, W.; He, R.; Zhu, H.; Hu, H.; Li, M.; Zhao, X. Ultrafast nanotube based diffusiophoresis nanomotors. Appl. Phys. Lett. 2010, 96, 053114. [Google Scholar] [CrossRef]
- Velegol, D.; Garg, A.; Guha, R.; Kar, A.; Kumar, M. Origins of concentration gradients for diffusiophoresis. Soft Matter 2016, 12, 4686–4703. [Google Scholar] [CrossRef] [PubMed]
- Oshanin, G.; Popescu, M.N.; Dietrich, S. Active colloids in the context of chemical kinetics. J. Phys. A: Math. Theor. 2017, 50, 134001. [Google Scholar] [CrossRef]
- Anderson, J.L.; Prieve, D.C. Diffusiophoresis caused by gradients of strongly adsorbing solutes. Langmuir 1991, 7, 403–406. [Google Scholar] [CrossRef]
- Keh, H.J.; Chen, S.B. Diffusiophoresis and electrophoresis of colloidal cylinders. Langmuir 1993, 9, 1142–1149. [Google Scholar] [CrossRef]
- Keh, H.J.; Huang, T.Y. Diffusiophoresis and electrophoresis of colloidal spheroids. J. Colloid Interf. Sci. 1993, 160, 354–371. [Google Scholar] [CrossRef]
- Keh, H.J.; Huang, T.Y. Diffusiophoresis and electrophoresis of elliptic cylindrical particles. Colloid Polym. Sci. 1994, 272, 855–871. [Google Scholar] [CrossRef]
- Michelin, S.; Lauga, E. Phoretic self-propulsion at finite Péclet numbers. J. Fluid Mech. 2014, 747, 572–604. [Google Scholar] [CrossRef]
- Keh, H.J.; Weng, J.C. Diffusiophoresis of colloidal spheres in nonelectrolyte gradients at small but finite Péclet numbers. Colloid Polym. Sci. 2001, 279, 305–311. [Google Scholar] [CrossRef]
- Van Dyke, M. Perturbation Methods in Fluid Mechanics; Parabolic: Stanford, CA, USA, 1975. [Google Scholar]
- Leal, L.G. Laminar Flow and Convective Transport Processes: Scaling Principles and Asymptotic Analysis; Butterworth-Heinemann: Stoneham, MA, USA, 1992. [Google Scholar]
- Khair, A.S. Diffusiophoresis of colloidal particles in neutral solute gradients at finite Péclet number. J. Fluid Mech. 2013, 731, 64–94. [Google Scholar] [CrossRef]
- Subramanian, R.S. Slow migration of a gas bubble in a thermal gradient. AIChE J. 1981, 27, 646–654. [Google Scholar] [CrossRef]
- Subramanian, R.S. Thermocapillary migration of bubbles and droplets. In Advances in Space Research; Malnejac, Y., Ed.; Pergamon Press: Oxford, UK, 1983; Volume 3, pp. 145–153. [Google Scholar]
- Anderson, J.L. Movement of a semipermeable vesicle through an osmotic gradient. Phys. Fluids 1983, 26, 2871–2879. [Google Scholar] [CrossRef]
- Chang, Y.C.; Keh, H.J. Thermophoresis at small but finite numbers. Aerosol Sci. Technol. 2018, 52, 1028–1036. [Google Scholar] [CrossRef]
- Proudman, I.; Pearson, J.R.A. Expansions at small Reynolds numbers for the flow past a sphere and a circular cylinder. J. Fluid Mech. 1957, 2, 237–262. [Google Scholar] [CrossRef]
- Acrivos, A.; Taylor, T.D. Heat and mass transfer from single spheres in Stokes flow. Phys. Fluids 1962, 5, 387–394. [Google Scholar] [CrossRef]
- Chang, Y.C.; Keh, H.J. Diffusiophoresis of colloidal spheres at small Péclet numbers. Trends Chem. Eng. 2019, in press. [Google Scholar]



| 0 | 0.75000 | −0.08236 |
| 0.01 | 0.72076 | −0.08219 |
| 0.1 | 0.51340 | −0.08001 |
| 1 | 0.04167 | −0.02912 |
| 10 | −0.00149 | 0.00271 |
| ∞ | 0 | 0 |
© 2019 by the authors. Licensee MDPI, Basel, Switzerland. This article is an open access article distributed under the terms and conditions of the Creative Commons Attribution (CC BY) license (http://creativecommons.org/licenses/by/4.0/).
Share and Cite
Chang, Y.C.; Keh, H.J. Diffusiophoresis of a Colloidal Cylinder at Small Finite Péclet Numbers. Colloids Interfaces 2019, 3, 44. https://doi.org/10.3390/colloids3020044
Chang YC, Keh HJ. Diffusiophoresis of a Colloidal Cylinder at Small Finite Péclet Numbers. Colloids and Interfaces. 2019; 3(2):44. https://doi.org/10.3390/colloids3020044
Chicago/Turabian StyleChang, Yu C., and Huan J. Keh. 2019. "Diffusiophoresis of a Colloidal Cylinder at Small Finite Péclet Numbers" Colloids and Interfaces 3, no. 2: 44. https://doi.org/10.3390/colloids3020044
APA StyleChang, Y. C., & Keh, H. J. (2019). Diffusiophoresis of a Colloidal Cylinder at Small Finite Péclet Numbers. Colloids and Interfaces, 3(2), 44. https://doi.org/10.3390/colloids3020044

