Next Article in Journal
Optimized Thyme Oil Single and Double Emulsion for Sustainable Animal Health Applications
Previous Article in Journal
Chitosan-Based Molecularly Imprinted Polymers as Functional Adsorbents: Selective m-Cresol Removal from Red Wine
Previous Article in Special Issue
A Point-of-Care Diagnostic Method Using Desiccation Patterns of Blood Sessile Droplets
 
 
Font Type:
Arial Georgia Verdana
Font Size:
Aa Aa Aa
Line Spacing:
Column Width:
Background:
Article

Correlation Between Interfacial Parameters in Bead Packs: Contact Angle and Zeta Potential

1
Department of Geosciences, Norwegian University of Science and Technology, 7031 Trondheim, Norway
2
Anton Paar GmbH, 8054 Graz, Austria
3
Department of Applied Geoscience, SINTEF Industry, 7031 Trondheim, Norway
*
Author to whom correspondence should be addressed.
Colloids Interfaces 2026, 10(1), 19; https://doi.org/10.3390/colloids10010019
Submission received: 12 December 2025 / Revised: 23 January 2026 / Accepted: 28 January 2026 / Published: 6 February 2026
(This article belongs to the Special Issue Bubble and Drop 2025 (B&D 2025))

Abstract

Wettability determination is of crucial importance for multiphase flow in porous media. Currently available methods are either applied to simplified geometries (sessile drop) or are time-consuming (Amott, USBM) and cost-intensive (micro-CT scanning). The purpose of this study is to systematically test the streaming potential method as a fast, cheap, and in situ applicable method for surface probing and determination of the wetting state of soda lime glass beads through zeta potential. Different wetting states are achieved by means of silanization and are characterized by an average contact angle. Comparison of contact angles measured by sessile drop on plate geometries and contact angles derived from bead pack micro-CT images confirmed that the treatment is transferable to the bead packs. The correlation between the zeta potential of the single bead size packing with a single wetting state and the contact angle is non-unique over the entire range of tested treatment volume ratios. The contact angle plateaus at higher degrees of silanization, while the zeta potential values still change. Before the plateau, a correlation between contact angle and zeta potential is present. Zeta potential measurements on the mixtures of the same-sized beads with two different wetting states confirm the existing theory that the apparent zeta potential is a surface area-weighted average of constituents. For a mixture where the zeta potential is size dependent, a new correlation for a dual bead system was derived. The non-unique correlation between zeta potential and contact angle, combined with a bead size-dependent zeta potential, will limit the use of zeta potential for contact angle derivation for the system of soda lime glass beads with various silanization coatings used here. Monitoring relative changes of wetting conditions might still be possible.

1. Introduction

Wettability, defined as the preference of a fluid to spread over the solid when in contact with another immiscible fluid, plays a crucial role in understanding many processes in the energy industry, such as underground gas storage [1,2], water remediation [3], and hydrocarbon recovery [4,5,6,7]. Many methods have been used to measure wettability. They can be divided into quantitative (contact angle, Amott method, USBM method) and qualitative (imbibition rates, relative permeability curves, displacement capillary pressure, etc.) [8]. Quantitative methods are preferred, and generally, contact angle measurements (CA) are considered to be the best method for wettability assessment [9]. However, contact angle measurements are typically performed on simplified geometries and not in situ, and therefore, there is a question as to whether they are fully representative [8]. If more advanced methods, such as micro-CT scanning, are utilized to determine in-situ contact angles, the process is time-consuming and cost-intensive. On the other hand, Amott and USBM measurements are longer in duration and provide an average sample value, including differences in minerals, local wetting stages, and surface roughness, and can therefore be considered a less precise measurement of wettability.
Surface wettability is determined by the physicochemical properties of surface functional groups that interact with the liquid phase and are, at the same time, responsible for the formation of surface charge [10,11]. Surface charge is generated upon contact of a material surface with an aqueous solution. Simultaneously, a counterbalancing concentration of opposite-charge ions is developed within the solution. The structure that forms at the surface is referred to as an electric double layer (EDL). According to the Stern EDL model, we can distinguish between the Stern layer, representing compensating ions arranged in a thin immobile layer next to the surface, and a diffuse layer representing a more extended mobile layer [10,12]. The interface between the immobile and diffuse layers is called the shear plane. The zeta potential ( ζ ), as the electro-kinetic potential measured at the shear plane, can therefore be used for surface probing and characterization.
Several authors attempted to correlate wettability to zeta potential measurements, using different materials and methodologies. Jackson and Vinogradov [13] measured zeta potential of pre- and post-aged carbonate samples in crude oil, which led to measurable changes in zeta potential well comparable to pH-dependent literature data. Consequently, they suggested measurements of streaming potential could be used to probe the surface electrical charge properties and to quantify the wetting state. Varying wetting stages were not studied, nor was a direct comparison to quantitative wettability measurements presented to support this idea. Sadeqi-Moqadam et al. [14] suggested that streaming potential can be used to probe wetting transition in a porous medium, studying the effect of pH and salinity on clean and oil-wet sand. Zeta potential measurements were performed on the beadpacks using an in-house-built apparatus, while contact angles were measured on plate geometries. Zeta potentials became more negative with increased oil wetness. In this study, no concrete steps were taken toward correlating the measured contact angle and the zeta potential at given pH and/or salinity conditions. Rahbar et al. [15] compared oil adhesion test results based on image analysis and measured zeta potentials of quartz and calcite sand packs using streaming potential measurements. The results showed a well-defined correlation, where the streaming coupling coefficient became less negative for quartz and became more positive for calcite with increased oil adhesion. The study demonstrated that streaming potential measurements can provide a rapid quantitative response to evaluate surface wettability during a dynamic injection process. Oil adhesion, however, is not a mainstream method for analyzing wettability. Gomari et al. [16] prepared solid discs made from calcium carbonate powder. The discs were treated with stearic acid to achieve different wetting states. Contact angles and zeta potential were measured on the same samples, and the experiments resulted in an empirical correlation between the parameters based on the absorption level of stearic acid, where the zeta potential decreased with increasing contact angle. Beyond the maximum absorption level, the correlation was concluded to be not applicable. The question remains whether these methods are appropriate and whether a relationship can be observed in more complex geometries, such as porous bead packs.
Overall, existing studies describe wettability qualitatively, test narrow ranges of wettability, and are not conducted on porous media or use alternative geometries for zeta potential and contact angle measurements without confirming their validity beforehand.
The goal of this paper is to address the aforementioned challenges in a structured manner and systematically test the capabilities of zeta potential measurements to quantify the wetting state of the porous medium for silicate-based material.
For zeta potential measurements on porous samples, streaming potential was selected as an appropriate method [12]. Compared to conventional wettability measuring techniques, obtaining wettability information from streaming potential measurements has the following advantages: it is non-destructive, fast, can be incorporated into classical single-phase permeability measurements, and can be performed in situ on samples. The obtained data represent, however, a single wettability value over the whole sample used, comparable to Amott or USBM.
Glass was selected as an analogue material, providing flexibility in the creation of a porous medium. Several wetting states were achieved by means of silanization. Initially, the correlation of contact angle to treatment parameters was determined using glass plates as a simplified geometry. Contact angles measured on glass beads treated with the same procedure and derived from the micro-CT imaging confirmed that the treatment is applicable regardless of geometry. The treatment procedure and geometry comparison are extensively discussed in the publication of Vukovic et al. [17].
Further focus lies on correlating the measured contact angles with the zeta potentials to find a unique correlation, allowing the zeta potential to be a quantitative measure for wettability. Therefore, zeta potential was derived from streaming potential measurements for several states of treated beadpacks, and a correlation with contact angles was derived. Additionally, the impact of having binary mixtures of different wetting states and different bead sizes on zeta potential was tested, resulting in a new form of equation for the case where zeta potential is found to be a function of bead pack bead size.

2. Materials and Methods

2.1. Materials

SiLibeads SOLID Micro Glass Beads with diameter ranges of 100–200, 200–300, 300–400, and 400–600 microns were supplied by Sigmund Lindner GmbH—SL (Warmensteinach, Germany) while 2000 micron beads were provided by Karl Hecht Assistent—KHA (Sondheim vor der Rhön, Germany). The reference glass plates used in contact angle measurements were Superfrost glass plates (76 × 26 mm) provided by Menzel-Glaser (Braunschweig, Germany), from which only the polished, non-frosted area was utilized. Glass composition data for all samples were obtained by electron probe microanalysis. The resulting normalized mass percentage of the identified components is presented in Table 1. The compositions of the samples are comparable and can be characterized as soda lime glass.
The wettability of glass samples was adjusted by the silanization process. Surfasil, a commercial polymeric siliconizing fluid consisting primarily of dichlorooctamethyltetrasiloxane, was purchased from Thermo Scientific (Waltham, MA, USA), and applied for silanization. N-heptane (>99%) purchased from VWR Chemicals (Radnor, PA, USA) was used as a solvent for Surfasil dilution before application to glass surfaces.
Distilled water and air were used as two fluid phases for contact angle measurements, both on a plate with the sessile drop method and in the bead pack, using a microCT scan. Therefore, the reported contact angles throughout this paper are of the water-air system. Distilled water (2.5 μ S/cm at 20 °C) was produced by a Nuve ND12 (Ankara, Turkey) apparatus. The measured pH of water before the experiments was 6.8 at 23.3 °C. A contrast-enhancing agent, as a 1.4 M cesium chloride (CsCl) salt solution, was used to increase the liquid X-ray attenuation factor during the CT scanning and was supplied by Aldrich Chemistry (St. Louis, MO, USA) (>99.5%). The addition of CsCl did not have a significant influence on the contact angle of a distilled water droplet, increasing it to 22.4 ± 1.4° from the initial 21.1 ± 1.2°. Sodium chloride (NaCl) salt used in streaming potential measurements (>99%) was supplied by Sigma Aldrich (St. Louis, MO, USA).

2.2. Methods

2.2.1. Cleaning

As preparation for the silanization, glass samples were cleaned by a miscible rinsing sequence of toluene → methanol → acetone. This sequence covers a wide range of polarities and enables the dissolution of surface contaminants. The average rinsing time with each solvent was approximately 30 s. After the rinsing, the samples were dried with a nitrogen gun and placed in the oven (2 h at 80 °C) to eliminate remaining fluid.

2.2.2. Silanization

Glass coating was conducted at room temperature (T = 23 °C) by instantaneously submerging the cleaned glass samples in the Surfasil solution, using n-heptane as a solvent. The Surfasil-to-heptane volume ratio (VR) was varied between 0.0001 and 0.1 to achieve different wetting states. After a 180 s treatment time, the glass samples were removed from the solution using tweezers for the glass plates or a sieve for the beads. The samples were then first rinsed with a pure solvent for approximately 30 s to remove excess Surfasil solution and halt the coating supply, and then for 30 s with methanol to prevent interaction of the Surfasil coating with water. Afterwards, samples were placed in an oven for 2 h at 80 °C to evaporate the solvents and finalize the cross-linking of the coating. For more details on the applied silanization process, see Vukovic et al. [17]. From this study, it was concluded that the correlation between treatment and the obtained contact angle was independent of geometry, allowing the creation of a more complete data set of CA versus the silanization treatment conditions.

2.2.3. Contact Angle Measurements

Contact angle measurements for glass plates and the water-air system were obtained at room temperature (T = 23 °C) using the sessile drop method, performed with a Krüss DSA100S (Hamburg, Germany) drop shape analyzer and ADVANCE software (v1.7.1.0) for droplet recognition and evaluation of contact angles. The volume of a single droplet was 2 μ L, forming droplets with a height below the capillary length to minimize deformation by gravitational forces. The contact angle values reported are the average of 3 droplets generated at different locations, with 60 measurements per droplet, over a period of 1 min. Contact angle dynamics were monitored over several hours, but no significant change was observed in the derived contact angles, concluding equilibrium was reached.
Contact angle measurements for bead packs were obtained from processed and segmented micro-CT scans of the bead packs. The packing was created using 2000 micron beads packed within a 3.5 cm long cylindrical container with an outer diameter of 1.4 cm. A Nikon XT H 225 CT (Tokyo, Japan) scanner was used to scan the sample with the following settings: imaging resolution of 12 μ m, 160 kV source voltage, 75 μ A source current, and 117 ms exposure time. Firstly, a dry beadpack scan was made with only an air phase present. Afterwards, distilled water spiked with 1.4 M CsCl as a contrast enhancement was manually injected from the top of the container with a syringe, and a scan was repeated to obtain a wet image with 2 phases present: water and air. Finally, ORS Dragonfly software (v2022.2.1409) was used to utilize dry and wet images by pixel threshold-based segmentation and generate a segmented image consisting of three regions of interest (ROI): solid-phase ROI, air-phase ROI, and water-phase ROI. The open-source code presented by AlRatrout et al. [18] was applied to the segmented image to derive contact angles.

2.2.4. Zeta Potential Measurements

Zeta potential measurements were done with two different apparatuses, Anton Paar SurPASS 3 (Graz, Austria), and an in-house built custom streaming potential apparatus, with the latter one being referred to as the in-house setup in further text.
The SurPASS 3 is a commercial electrokinetic analyzer for solid surface analysis. The apparatus enables fully automated measurements of pressure drop and streaming potential. At the same time, associated software provides the calculated apparent zeta potential of the sample by using the classic Helmholtz-Smoluchowski equation (Equation (2)). In addition to streaming potential measurements in time, the apparatus also records the conductivity and pH of bulk fluid, measured in a beaker from which the apparatus takes and returns the experimental fluid. SurPASS 3 measurements were done without prior equilibration of brine and samples.
Measurements were done in a pressure decay mode, releasing liquid under pressure from a concealed volume, enabling fast measurements for a sequence of pressures during unsteady-state flow.
A custom poly-methyl methacrylate (PMMA) holder (Figure 1) was designed to enable SurPASS 3 measurements while preserving the bead pack structure for micro-CT scanning. The length of the holders was between 3.3 and 3.5 cm, and the external diameter was 1.4 cm. The distribution of holes on the face of the end pieces matches the distribution of outlets and inlets in the SurPASS 3 apparatus. Nylon filters were inserted between the beads and the end pieces to prevent the beads from exiting the bead pack, and a confining pressure was applied to the bead pack by mounting the end pieces.
The in-house setup used to measure the streaming potential coupling coefficient and derive zeta potential from was based on the Vinogradov et al. [19] design and consists of sample holder, flow system, pressure measuring system, voltage measuring system, and data acquisition and logging system. A complete apparatus scheme can be seen in Figure 2.
Figure 1. Images (left) and micro-CT scan slice (right) of custom PMMA holder filled with glass beads used in SurPASS 3 streaming potential and Nikon XT H 225 micro-CT measurements. Image obtained from Vukovic et al. [20].
Figure 1. Images (left) and micro-CT scan slice (right) of custom PMMA holder filled with glass beads used in SurPASS 3 streaming potential and Nikon XT H 225 micro-CT measurements. Image obtained from Vukovic et al. [20].
Colloids 10 00019 g001
Figure 2. Flow chart of in-house built streaming potential apparatus. Image from Vukovic et al. [20].
Figure 2. Flow chart of in-house built streaming potential apparatus. Image from Vukovic et al. [20].
Colloids 10 00019 g002
The sample holder is made of non-conducting PMMA with an internal diameter of 3.2 cm, where the sample is held in place by two piston-like end pieces. The holder incorporates an O-ring to isolate the sample, fluid distribution channels to ensure equal fluid distribution across the cross-section, and sintered glass frit screens to prevent the transport of beads through the flowlines. The length of the bead pack can be adjusted between 10 and 30 cm by adding or removing fillers behind the piston head being held in place by screwing the end pieces.
A Teledyne Isco 260D (Lincoln, NE, USA) pump, filled with non-conductive Exxsol D60 mineral oil, is connected to fluid reservoirs, where the pumped mineral oil displaces the reservoir fluid (brine) through direct contact. The Exxsol D60 prevents parallel current flow, does not react to or influence brine properties (pH, conductivity), and protects the pump from corrosion due to exposure to brine. The setup further consists of perfluoralkoxy alkane (PFA) flow lines, valves, and connections purchased from Swagelok (Solon, OH, USA). The pressure is measured using a 1 bar Keller Pressure Druck PD-33X (Winterthur, Switzerland) differential pressure transmitter (with an accuracy of 0.5 mbar) incorporated into the flowlines. In-house-made Ag-AgCl electrodes are placed in in-house manufactured polyether ether ketone (PEEK) fluid tanks (0.8 cm in diameter and 4 cm in length) outside the main flow path to avoid electromotive effects and connected to main flow lines. The electrodes are further connected to a high internal impedance (>1 G Ω ) NI-9219 DAQ (Austin, TX, USA) with 0.045 mV accuracy. Pressure and voltage data logging is performed using the National Instruments LabVIEW software (v2021) code.
Measurements were conducted in a constant flow rate mode by utilizing the paired stabilization method [19].
Due to observed fluctuations of pH and conductivity during the test measurements using sodalime glass, the in-house measurements were performed with prior equilibration of brine and samples to ensure constant measurement conditions, in contrast to the SurPASS3 measurements. It was observed that the zeta potentials obtained using untreated beads at different sizes showed a size dependence likely to occur due to pH variations, due to glass component dissolution effects, see Vukovic et al. [20] for further discussions.

2.2.5. Bead Pack Creation

Bead packs used in this study can be divided into three categories: (A) single bead size with a single wetting state, (B) single bead size and two wetting states, and (C) two bead sizes with distinct wetting states. Note that a single bead size is not monodisperse, but it is a sieve fraction with a narrow range of sizes. Table 2 displays the ranges and their measured average bead size.
(A) Single bead-size beadpacks with a single wetting state were used for the investigation of zeta potential correlation to the wetting state. A single bead fraction size of 300–400 microns was used to mitigate a size dependence on comparison of streaming potential measurements and to isolate wetting state influence. Five different wetting states were utilized, corresponding to the following Surfasil-to-n-heptane volume ratios: 0, 0.0002, 0.001, 0.01, and 0.1. In each experiment, one wetting state was applied, resulting in a homogeneous medium.
(B) Single bead-sized packings with two mixed wetting states were utilized to investigate streaming potential measurements on a medium that does not have homogeneous wettability. As in the previous case, the single bead size of 300–400 microns was selected as a mitigation for the bead size variations. The beadpacks were mixed based on the percentage of the respective bead surface area, which was calculated assuming perfectly spherical beads of the same density and radius. In the beadpacks, one wetting state was always untreated, while the other wetting state was composed of beads treated with 0.0002 VR or 0.01 VR. The following beadpacks were created for both wetting combinations: (1) randomly packed beadpacks consisting of 75 percent untreated beads and 25 percent treated beads, (2) randomly packed beadpacks consisting of 50 percent untreated beads and 50 percent treated beads, and (3) beadpacks consisting of 50 percent untreated beads and 50 percent treated beads packed in series.
(C) Beadpacks containing two bead sizes, each having its own wetting state, were designed to investigate streaming potential measurements on media that do not have homogeneous wettability, and additionally include the size effect on streaming potential measurements as observed by Vukovic et al. [20]. For this purpose, we used two bead sizes that significantly differ to enable identification in the micro CT scans, where one size was treated with Surfasil and the other was not. Experiments were conducted with a beadpack consisting of 0.01 VR-treated 100–200 micron and untreated 300–400 micron beads, and the inverse case where 100–200 micron beads were untreated and 300–400 micron beads were treated with 0.01 Surfasil to heptane VR.

2.2.6. Micro-CT Scanning

All samples used for streaming potential measurements with SurPASS 3 were scanned with a Nikon XT H 225 CT scanner, and geometrical properties were extracted using ORS Dragonfly software. Scans were performed with the following settings: imaging resolution of 11 μ m, 160 kV source voltage, 69 μ A source current, and 354 ms exposure time.

3. Results and Discussion

Serving the objective to test the capabilities of zeta potential measurements to quantify the wetting state of porous medium, both streaming potential and contact angle measurements were performed independently and correlated based on the surface treatment conditions.
Firstly, the wettability alteration study of glass surfaces for two geometries, plates and bead packs, was presented as confirmation of treatment applicability on bead packs. Afterwards, the results of streaming potential measurements on the treated bead pack samples of category A were given for different silanization treatments. Combining the two data sets resulted in an empirical expression correlating the contact angle and zeta potential measurements for the same treatment conditions.
Zeta potential was then measured for beadpacks of category B, which were created as a mixture of beads at two different wetting states. Initial experiments were conducted using beads of the same size with brine that had been equilibrated before the measurements. The results were compared with the currently existing theory.
Finally, zeta potential measurements were performed without prior equilibration for beadpacks of category C, which were created as a mixture of beads at two different wetting states and two different bead sizes. A new zeta potential mixing equation was derived for cases where the zeta potential is a function of bead size.

3.1. Contact Angle Measurements

Figure 3 displays contact angles derived from micro-CT segmented images for different wettability alteration steps. As can be seen, an increase in the Surfasil to n-heptane volume ratio used in the wettability alteration process will make the surface more hydrophobic, and the contact angle in the water-air system will increase. The values displayed on the histograms are based on three measurements, where each measurement represents a separate volume within the bead pack containing multiple droplets. The average contact angles and standard deviations are 29.9 ± 9.6° for untreated beads (0 VR), 77.4 ± 21.0° for 0.001 VR-treated beads, and 96.1 ± 13.0° for 0.01 VR-treated beads. A large spread of values can be attributed to the combined effects of droplet pinning due to bead roughness, coating patchiness [16], and image segmentation artifacts [17]. Haghani and Berg [21] provide a detailed overview of wettability characterization from 3D pore-scale images, demonstrating that a wide range of contact angles is commonly observed.
Vukovic et al. [17] demonstrated that Surfasil treatment on different geometries results in similar contact angles within the error of the measuring methods applied to the respective geometry, as seen in Figure 4. Therefore, a plate geometry was used as an analogue for the bead pack, which enabled faster and experimentally easier measurements of the wetting state.
It can be seen that contact angle and Surfasil-to-heptane volume ratio have a monotonically increasing trend before reaching a plateau value of contact angle at 0.004 VR, and therefore one can derive an empirical equation:
C A = 13.258 × l n ( V R ) + 168.01 for VR [ 0.0001 , 0.004 ]
The plateau value is presumably reached as the coating density reached its maximum level, corresponding to Gaillard et al. [22] observations on chlorotrimethylsilane coating on a photosensitive glass.

3.2. Zeta Potential Measurements with the In-House Setup on Category A Beadpacks, Single Bead Size with Single Wetting State

Streaming potential measurements were performed using the in-house setup for five different Surfasil-to-n-heptane volume ratios: 0, 0.0002, 0.001, 0.01, and 0.1. Measurements were done on 300–400 micron beads to ensure pressure and voltage signals are of a sufficiently high level to be measured. As previously mentioned, 1 mM NaCl brine was pre-equilibrated with non-treated samples, and the resulting experimental conditions can be seen in Table 3.
Zeta potential ( ζ , V) was calculated from the classic Helmholtz-Smoluchowski equation:
ζ = Δ V × μ × σ f * Δ P × ϵ r × ϵ 0
where Δ V / Δ P is streaming potential coupling coefficient (V/Pa), μ is fluid viscosity (Pa.s), σ f * is total conductivity (S/m), ϵ 0 is fluid vacuum permittivity (F/m), and ϵ r is fluid relative permittivity (-).
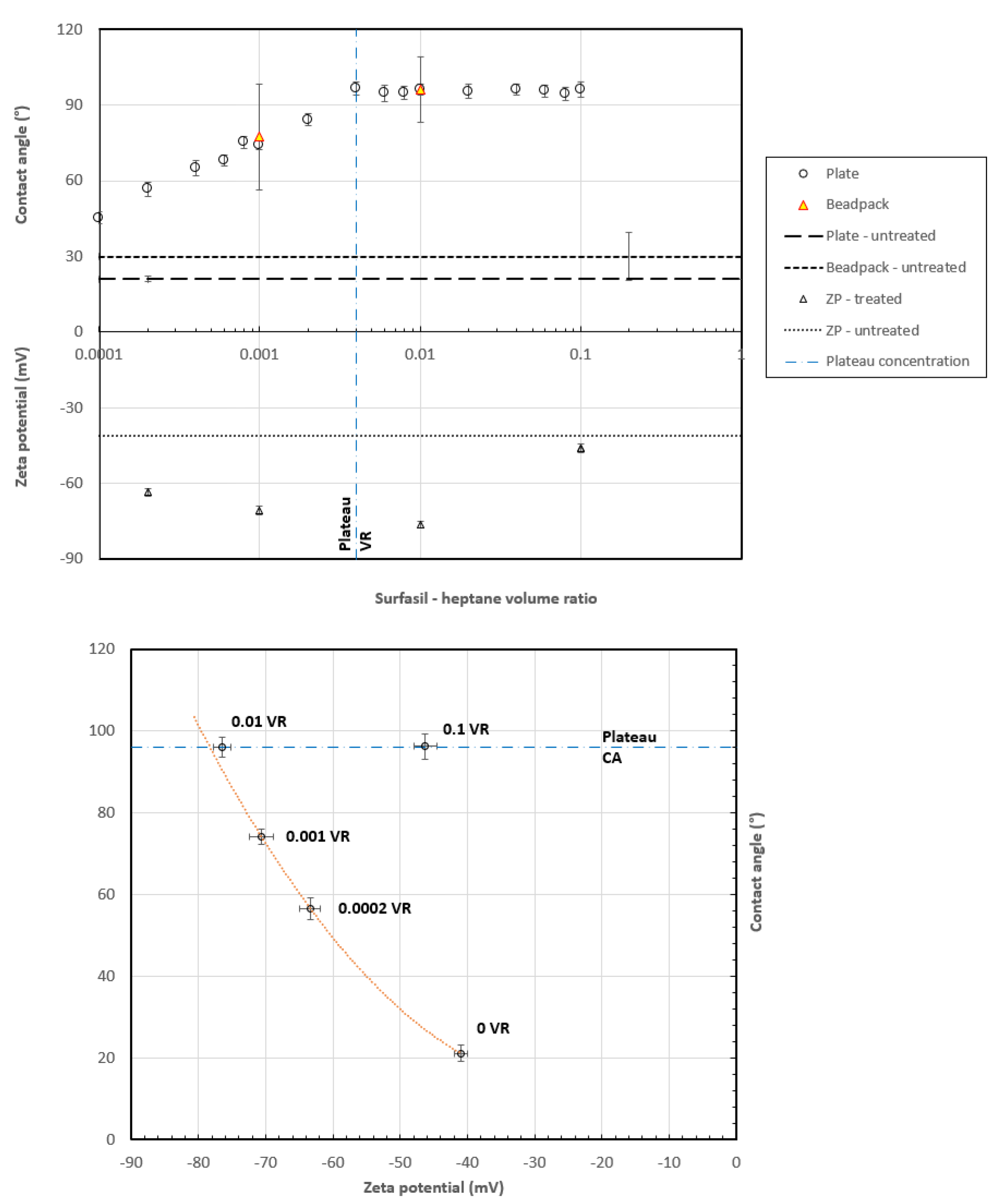
The zeta potential results are shown in Figure 5.
The first four points (VR 0 → VR 0.01) display a monotonic increase in the negative magnitude of the zeta potential with the Surfasil-to-n-heptane volume ratio, while the last treatment step of 0.1 VR breaks this trend. More insights into the observed behavior can be gained by plotting the zeta potential and contact angle measurements against each other for the same Surfasil-to-n-heptane volume ratios, as shown in Figure 6. Despite a limited number of data points, it appears clear that the change in trend correlates with reaching the critical Surfasil-to-volume ratio that will result in a plateau contact angle.
For Surfasil to heptane volume ratios below the plateau value, the contact angles can be expressed as a function of measured zeta potential according to the following equation:
C A = 0.0283 × ζ 2 + 1.374 × ζ + 29.851
The equation is based on fitting the three volume ratio points (0, 0.0002, 0.001), which give CA values between 20 and 74.24 degrees. However, the equation provides a value that reasonably matches the measurement at 0.01 VR, with a zeta potential of −76.42 kV and a CA of 96.1 degrees. 0.01 VR was excluded from fitting since it is above the critical VR that results in the plateau CA displayed in Figure 4.
It is important to note that an additional number of experimental points is required to further refine the equation, especially around and above the critical value of Surfasil-to-heptane VR. The zeta potential above the critical VR becomes less negative. This data point is repeatable and indicates changes at the surface. If we assume that increasing the Surfasil-to-heptane VR above the critical value will lead to a less negative zeta potential as seen for 0.1 VR, the measurement point at 0.01 VR would also have a lower zeta potential than the expected zeta potential at critical VR (0.004). This is in line with the value obtained from the empirical equation, which is −78 mV, while experimentally, we obtained −76.42 mV.
Based on the attainment of a constant contact angle, it was expected that the zeta potential would also reach a constant value. That it does not in this data set implies either surface coating changes, e.g., an increasing coating density or roughness alteration, still appear at the surface to which the contact angle measurements are not sensitive.
Gomari et al. [16] observed similar behavior when treating calcite samples with stearic acid. At a specific treatment concentration, contact angles remained constant, but the zeta potential showed a continuous negative slope/further changes.
A complete understanding of the mechanisms and zeta potential behavior above the critical Surfasil-to-heptane volume ratio requires the application of advanced surface characterization methods, which is not within the scope of this study. It, however, shows that zeta potential and contact angle are not uniquely correlated for the used system and conditions, something that is not preferred for the quantitative use of zeta potential as a wettability indicator.

3.3. Zeta Potential Measurements with In-House Setup on the Category B Beadpacks, Single Bead Size with 2 Wetting States

As displayed in Figure 6, before the plateau contact angle is reached, each contact angle has a unique zeta potential correlated with it, considering a homogeneous system where all beads have a similar wetting state and similar size. In addition to the homogeneous case, wettability can be fractional, e.g., based on different minerals present, which can obtain different wetting conditions or distributions of surface-altering components. Walker et al. [23] and Laumann et al. [24] demonstrated that the zeta potential measured on a mixture of different particles is equal to the surface area-weighted average of the constituent zeta potentials. Ghane et al. [25] reached the same conclusion while studying binary mixtures of two types of quartz grains, clean and coated, with both having identical particle sizes. This is a direct analogue of fractional wettability. The described relationship can be expressed as:
ζ m i x = λ 1 × ζ 1 + λ 2 × ζ 2 ,
where λ 1 and λ 2 represent particle surface area percentage, such that λ 1 + λ 2 = 1, while ζ 1 and ζ 2 represent zeta potential of the constituent particles. It is assumed that particles do not interact and that roughness influences are negligible.
Equation (4) should be applicable for mixtures of different wetting states and was tested for three mixed bead packs: a randomly packed beadpack consisting of a surface area ratio of 75:25 and 50:50% treated and untreated beads, with the latter being packed in series as well. Experiments were performed for two treated states, 0.0002 VR and 0.01 VR, representing contact angles of 56.67 and 96.09 degrees, respectively. The percentage of the respective bead surface area is an approximation based on the packed bead mass, assuming perfectly spherical beads of the same density and radius. Streaming potential measurements were performed with the in-house setup on 300–400 micron with pre-equilibrated 1 mM NaCl brine. The experimental conditions for the combination of untreated and 0.0002 VR-treated beads, and the combination of untreated and 0.01 VR-treated beads can be seen in Table 4. A comparison of the zeta potentials of binary mixtures, calculated from Equation (4), and those obtained experimentally, can be seen in Figure 7 for the combination of untreated and 0.0002 VR-treated beads, and for the combination of untreated and 0.01 VR-treated beads.
As can be seen in Figure 7, Equation (4) gives a decent estimation of the zeta potential for the binary mixtures consisting of two wetting states compared to the experimental data, confirming its validity. Additionally, one can see that for the combinations of 50 percent untreated beads and 50 percent treated beads, within the error range, the experiments result in a similar value of zeta potential, regardless of using a random or serial packing order. This is in line with the assumption that the mixing function is purely dependent on the percentage of the surface area.

3.4. Zeta Potential Measurements with SurPASS3 on the Category C Beadpacks, Two Size-Mixed Beadpacks with Different Wetting States

According to Vukovic et al. [20], there is a dependency of the zeta potential on the bead size for the sodalime glass bead system used. A size dependence makes the prediction of the zeta potential of a mixture complicated. More so if the mixture consists of both different sizes and different wetting states.
If the functional groups are resulting in the negative zeta potential and the size dependency is reducing the absolute value of zeta potential towards zero with a decrease in the bead size, zeta potential values can be corrected, mainly at small radii, by adding a surface conduction term in the Helmholtz-Smoluchowski equation, as demonstrated by Glover et al. [26]. This will result in a zeta potential value that is independent of the size. However, when the trend is opposite, as in the data presented in Ghane et al. [25] and Vukovic et al. [20], the equation needs to be expanded, since the surface conduction correction will not be able to remove size dependency. Furthermore, using the same surface area percentages of different bead sizes will not result in the same value of zeta potential.
Here, data is gathered to prove that, in case the size-dependent zeta potential for a wetting state is known, the zeta potential of a mixture is still predictable, with the correlation confirmed in Section 3.3.
The geometrical properties of these beadpacks are obtained from micro-CT images. Micro-CT imaging gives many insights into the geometry of the beadpacks; however, a direct determination of the wettability state is not possible. Therefore, in our scans, two bead sizes were used, which significantly differ; one of the sizes is treated by Surfasil, and the other is not. So in this way, the size of the bead that can be determined from micro-CT images is indicative of the wetting state. Experiments were done with the beadpack consisting of 0.01 VR-treated 100–200 micron and untreated 300–400 micron beads, and an inverse case where 100–200 micron beads were untreated and 300–400 micron beads were treated with 0.01 VR.
Before the investigation of mixing of different wetting states with size dependency present, information on the size dependency of the zeta potential for each wetting state is needed. Here, zeta potential measurements were conducted on several bead sizes for untreated and 0.1 VR-treated beads. To obtain accurate information on the size distribution, the homogeneously wet samples were scanned with a micro CT scanner before performing streaming potential measurements. Since the in-house holder dimensions were too big for microCT scanning, the commercial apparatus SurPASS 3 was utilized to perform the zeta potential measurements.
The geometrical properties of the beadpacks are presented in Table 2, where the permeability was estimated using the network flow simulation code pnflow [27], while the other reported properties were obtained with the ORS Dragonfly software. The experimental conditions for untreated beads are presented in Table 5 and Table 6 for the 0.1 VR-treated beads. Figure 8 shows the results, where zeta potentials of single-sized bead packs are plotted versus average bead size for the two different wetting states.
As mentioned previously, in the case of a size dependency of the zeta potential, similar surface area percentages of different bead sizes will not result in the same value of the zeta potential. For example, if there is a 50:50 mixture of 100–200 micron and 400–600 micron beads. Applying Equation (4) on the 50:50 mixture, based on the results only previously measured on 100–200 micron beads seen in Figure 8 would result in a zeta potential of −77.8 mV, while doing it for results measured only on 400–600 micron beads would give −49.05 mV. This results in a variation of −28.75 mV while having the same surface area percentage in a beadpack.
A comparison of the bead size distribution of the mixture beadpacks with that of the single-size beadpacks is shown in Figure 9 and Figure 10. It is evident that a size distribution variation exists within the same bead size range, further emphasizing the importance of having a detailed description of the medium obtained by micro-CT. Additionally, although the used bead ranges are labeled as 100–200 and 300–400 microns, it can be observed that overlap exists in the in-between range of 200–300 microns; therefore, the average value of 250 microns was taken as the threshold value.
The geometrical properties derived from micro-CT scans can be seen in the Table 7. The experimental conditions of streaming potential measurements and resulting zeta potential values can be seen in Table 8.
Ghane et al. [25] proposed that the apparent zeta potential of a mixture can be obtained based on the linear equations of each component at the specific permeability of the mixture. Sadeqi-Moqadam [28] further formulated it as the following equation:
ζ m = m × k 0.5 × ( ζ 1 ¨ × S 1 × α 1 + ζ 2 ¨ × S 2 × α 2 ) 0.5 + n
where m and n are constant coefficients, subscripts 1 and 2 represent different types of particles, S is the surface fraction, k is permeability, α is the excess charge density of particles when the network solely comprises identical particles, and ζ is the zeta potential where the effect of particle size and apparent viscosity is minimum.
Sadeqi-Moqadam [28] additionally stated that if the magnitude of the streaming potential coupling coefficient is inversely proportional to permeability and therefore also to the bead size, the exponent of permeability in Equation (5) becomes negative; however, the origin of the effect was not discussed. Although the equation can be used to describe experimental results, it lacks predictive power, as experimental results for the mixtures are needed to match the m and n values properly.
Vukovic et al. [20] proposed that the zeta potential size dependency, the increase in the magnitude of zeta potential with the bead size reduction, originates in the reactivity of beads and the underlying dependency of conductivity and pH of the solution on the ratio of bead surface area to the volume of the brine present in the system.
Following the same reasoning, a new zeta potential equation for bead mixtures of different sizes and zeta potentials was derived. The total surface area of the beads is obtained as the sum of the surface areas of each bead in the micro-CT scan, and the brine volume was calculated from the sample porosity and the sum of the bead volumes. Plotting the average zeta potentials of untreated and 0.01 VR treated beads from Figure 8 versus the newly obtained bead surface area to the brine volume ratio results in Figure 11.
One can further use simple regression models to capture the observed trends. The zeta potential of untreated beads as a function of the beads’ surface area to brine volume ratio (as given in Figure 11) is given by:
ζ 1 = 0.0029 × ( S A 1 V 1 ) 2 0.9094 × ( S A 1 V 1 ) 17.361 = f 1 ( S A 1 V 1 )
And the zeta potential of treated beads as a function of the beads’ surface area to brine volume ratio is given by:
ζ 2 = 0.2082 × ( S A 2 V 2 ) 37.529 = f 2 ( S A 2 V 2 )
The resulting equations were guided by the statistical relevance of the fitted parameters. Given the limited number of data points, the models are intended as descriptions of the observed trends rather than definitive representations. Inserting Equations (6) and (7) into Equation (4) results in the following form:
ζ m i x = λ 1 × f 1 ( S A 1 V 1 ) + λ 2 × f 2 ( S A 2 V 2 )
Equation (8) implies that the apparent zeta potential of the mixture is still a surface area weighted average of constituents, but the constituent zeta potential value is a function of the bead reactivity on a macroscopic level. By setting the surface area percentage of one of the constituents to 0, Equation (8) reduces to the interpolation of the dataset, maintaining its validity. If both functions are constant, the equation reduces to the original form seen in Equation (4).
The application of Equation (8) was compared with the experimental results presented in Table 8. After separation of the bead based on the threshold, the surface area of constituents was obtained as a summation of the values below or above the threshold values. While obtaining surface area is relatively straightforward from micro-CT scans, obtaining the volume of the brine assigned to treated or untreated beads is not. For this paper, it is assumed that the system scales based on one bead and associated brine volume, where the brine volume associated with a bead can be calculated as:
V A s o c c i a t e d B r i n e = V Bead × ϕ 1 ϕ
where ϕ is porosity, maintaining the material balance of the bead pack.
For the beadpack consisting of 100–200 micron treated beads and 300–400 µm untreated beads, the surface area percentage of untreated beads and the surface area to volume ratio were 58.53% and 80.4, and the surface area of treated beads and the surface area to volume ratio were 41.47% and 172.22. Equation (8) results in a zeta potential of −72.40 mV compared to the experimentally obtained value of −73.12 mV, giving an error of 1.0%.
For the beadpack consisting of 100–200 micron untreated beads and 300–400 micron treated beads, the surface area percentage of untreated beads and surface area to volume ratio were 42% and 157.27, and the surface area of treated beads and surface area to volume ratio were 58% and 98.33. Equation (8) results in a zeta potential of −70.81 mV compared to the experimentally obtained value of −62.73 mV, resulting in an error of 12.9%.
The origin of the error may be rooted in the assumption of associated volume per bead used in calculations, the resolution of the micro-CT scan resulting in an inaccurate description of geometrical properties, a lower number of experimental data points resulting in imperfect correlation, or the complexity of the phenomena causing the size dependency. Taking all uncertainties into consideration, Equation (8) still provides a reasonable estimate of the zeta potential of mixture bead packs while offering a physical explanation as background for the derivation.

4. Conclusions

The objective of this paper was to systematically test the capabilities of zeta potential measurements to quantify the wetting state of a porous medium, with a focus on silicates. The zeta potential calculated from streaming potential measurements in a single-size silanized sodalime glass beadpack with a homogeneous wetting state displayed a unique correlation to measured contact angles upon a critical surface treatment concentration (VR). Once the critical concentration (resulting in plateau contact angle) is reached, the unique correlation ceases to exist, with zeta potential levels reversing. Blind measurements on a single bead range can result in erroneous interpretations, and therefore, knowledge of the surface state and wettability alteration mechanism needs to be obtained before the measurements. This makes zeta potential measurements a supplementary method capable of providing additional insights into the surface, more than a standalone method for wettability estimation.
Since the results are system-specific, calibration curves need to be obtained beforehand to convert the zeta potential to contact angle. However, once the calibration curve is obtained, the method can be used as a time-efficient and low-cost probing tool capable of determining whether the wetting alteration method was successfully applied to the complex geometries.
Experiments conducted on the binary mixtures of different wetting states confirmed the existing theory that the resulting apparent zeta potential will be a surface area weighted average. Additionally, for the cases where the zeta potential of a constituent is a function of the bead size, a new equation was derived based on the proposed origin of the phenomena—bead reactivity. The new form, in contrast to the currently existing ones, has predictive power using knowledge of the single-phase beads only and their surface area contribution, without tuning or previous knowledge of the mixture results. However, a more extensive data set is required to validate the equation with a higher degree of reliability.
Extending this work to blind zeta potential measurements of beadpacks with mixed bead sizes and variations of the degree of silanization to estimate contact angles appears unrealistic. The insides of the non-unique correlation require further exploration, particularly regarding how coating density, surface structure, and chemical coating properties influence the zeta potential-contact angle correlation. Furthermore, additional data points, especially in the volume ratio range of 0.01–0.1, are needed.
Expanding the study to include alternative solid materials, such as sandstone, would strengthen the findings. Additionally, correlating zeta potential values with core-averaged wettability measurements, such as the Amott test, could provide further insights.

Author Contributions

Conceptualization, T.V. and A.v.d.N.; methodology, T.V.; validation, T.L., formal analysis, T.V. and T.L.; investigation, T.V., T.L. and J.R.; resources, T.L. and A.v.d.N.; writing—original draft preparation, T.V.; writing—review and editing, T.L., A.v.d.N., O.T., U.F. and J.R.; visualization, T.V.; supervision, A.v.d.N., O.T. and U.F. All authors have read and agreed to the published version of the manuscript.

Funding

This work was supported by IGP internal funding and the Research Council of Norway (Centers of Excellence funding scheme, project number 262644, PoreLab).

Data Availability Statement

The original contributions presented in this study are included in the article. Further inquiries can be directed to the corresponding author.

Acknowledgments

The authors thank the technical staff of the reservoir laboratory at Institutt for geovitenskap (IGV), Norges teknisk-naturvitenskapelige universitet (NTNU), for their support in the laboratory activities. Special thanks to Torkjell Breivik. Also, thanks go to the participants of Porelab Work Package 6 meetings for the discussions. This work was supported by IGV internal funding and the Research Council of Norway (Centers of Excellence funding scheme, project number 262644, PoreLab). Thanks to the staff of Anton Paar in Graz for giving support in performing the SurPASS 3 measurements and to the University of Aberdeen for the laboratory visit and knowledge sharing. Special thanks to Jan Vinogradov. The Research Council of Norway is also acknowledged for the support to the CT scan facilities of the Center of Excellence, PoreLab, project number 262644 as well as for the support to the Norwegian Laboratory for Mineral and Materials Characterisation, MiMaC, project number 269842/F50. Thanks also go to Mohammad Hossein Khoeini, Gijs Wensink, and Maja Rücker for the discussions.

Conflicts of Interest

Author Thomas Luxbacher was employed by the company Anton Paar GmbH. The remaining authors declare that the research was conducted in the absence of any commercial or financial relationships that could be construed as a potential conflict of interest.

Abbreviations

The following abbreviations are used in this manuscript:
CAContact angle
EDLElectric double layer
SLSigmund Lindner GmbH
KHAKarl Hecht Assistent
VRVolume ratio
ROIRegion of interest
PEEK  Polyether ether ketone
PFAPerfluoralkoxy alkane
PMMAPoly-methyl methacrylate

References

  1. Iglauer, S. CO2–water–rock wettability: Variability, influencing factors, and implications for CO2 geostorage. Acc. Chem. Res. 2017, 50, 1134–1142. [Google Scholar] [CrossRef]
  2. Iglauer, S.; Ali, M.; Keshavarz, A. Hydrogen wettability of sandstone reservoirs: Implications for hydrogen geo-storage. Geophys. Res. Lett. 2021, 48, e2020GL090814. [Google Scholar] [CrossRef]
  3. Amro, M.M. Factors affecting chemical remediation of oil contaminated water-wetted soil. Chem. Eng. Technol. Ind. Chem. Equip.-Process Eng. 2004, 27, 890–894. [Google Scholar] [CrossRef]
  4. Donaldson, E.C.; Thomas, R.D.; Lorenz, P.B. Wettability determination and its effect on recovery efficiency. Soc. Pet. Eng. J. 1969, 9, 13–20. [Google Scholar] [CrossRef]
  5. Morrow, N.R. Wettability and its effect on oil recovery. J. Pet. Technol. 1990, 42, 1476–1484. [Google Scholar] [CrossRef]
  6. Zhao, X.; Blunt, M.J.; Yao, J. Pore-scale modeling: Effects of wettability on waterflood oil recovery. J. Pet. Sci. Eng. 2010, 71, 169–178. [Google Scholar] [CrossRef]
  7. Tian, W.; Wu, K.; Gao, Y.; Chen, Z.; Gao, Y.; Li, J. A critical review of enhanced oil recovery by imbibition: Theory and practice. Energy Fuels 2021, 35, 5643–5670. [Google Scholar] [CrossRef]
  8. Anderson, W. Wettability literature survey-part 2: Wettability measurement. J. Pet. Technol. 1986, 38, 1246–1262. [Google Scholar] [CrossRef]
  9. Mirzaei-Paiaman, A. New methods for qualitative and quantitative determination of wettability from relative permeability curves: Revisiting Craig’s rules of thumb and introducing Lak wettability index. Fuel 2021, 288, 119623. [Google Scholar] [CrossRef]
  10. De Matteis, G.; Luxbacher, T. Beyond Surface Charge to Wettability: The Extra Gear of the Zeta Potential; Anton Paar: Graz, Austria, 2020. [Google Scholar]
  11. Chen, C.; Zhang, N.; Li, W.; Song, Y. Water contact angle dependence with hydroxyl functional groups on silica surfaces under CO2 sequestration conditions. Environ. Sci. Technol. 2015, 49, 14680–14687. [Google Scholar] [CrossRef]
  12. Luxbacher, T. The ZETA Guide: Principles of the Streaming Potential Technique; Anton Paar GmbH: Graz, Austria, 2014. [Google Scholar]
  13. Jackson, M.D.; Vinogradov, J. Impact of wettability on laboratory measurements of streaming potential in carbonates. Colloids Surf. A Physicochem. Eng. Asp. 2012, 393, 86–95. [Google Scholar]
  14. Sadeqi-Moqadam, M.; Riahi, S.; Bahramian, A. Monitoring wettability alteration of porous media by streaming potential measurements: Experimental and modeling investigation. Colloids Surf. A Physicochem. Eng. Asp. 2016, 497, 182–193. [Google Scholar] [CrossRef]
  15. Rahbar, M.; Pahlavanzadeh, H.; Ayatollahi, S.; Manteghian, M. Predicting the rock wettability changes using solutions with different pH, through streaming potential measurement. J. Pet. Sci. Eng. 2018, 167, 20–27. [Google Scholar] [CrossRef]
  16. Rezaei Gomari, S.; Amrouche, F.; Santos, R.G.; Greenwell, H.C.; Cubillas, P. A new framework to quantify the wetting behaviour of carbonate rock surfaces based on the relationship between zeta potential and contact angle. Energies 2020, 13, 993. [Google Scholar] [CrossRef]
  17. Vukovic, T.; Røstad, J.; Farooq, U.; Torsæter, O.; van der Net, A. Systematic study of wettability alteration of glass surfaces by dichlorooctamethyltetrasiloxane Silanization–A guide for contact angle modification. ACS Omega 2023, 8, 36662–36676. [Google Scholar] [CrossRef]
  18. AlRatrout, A.; Raeini, A.Q.; Bijeljic, B.; Blunt, M.J. Automatic measurement of contact angle in pore-space images. Adv. Water Resour. 2017, 109, 158–169. [Google Scholar] [CrossRef]
  19. Vinogradov, J.; Jaafar, M.Z.; Jackson, M.D. Measurement of streaming potential coupling coefficient in sandstones saturated with natural and artificial brines at high salinity. J. Geophys. Res. Solid Earth 2010, 115, B12204. [Google Scholar] [CrossRef]
  20. Vukovic, T.; Røstad, J.; Luxbacher, T.; Vinogradov, J.; Farooq, U.; Torsæter, O.; van der Net, A. Zeta potential of glass bead packs-Streaming potential apparatus bench-marking and search for a reference value. Colloids Surf. A Physicochem. Eng. Asp. 2025, 732, 139150. [Google Scholar] [CrossRef]
  21. Haghani, R.; Berg, C.F. A Review on Wettability Characterization from 3D Pore-Scale Images. Transp. Porous Media 2025, 152, 93. [Google Scholar] [CrossRef]
  22. Gaillard, W.R.; Maharanwar, A.; Weimer, J.J.; Williams, J.D. Isotherm analysis of the solution-phase uptake of chlorotrimethyl silane on a photosensitive glass. Surf. Interfaces 2018, 10, 188–196. [Google Scholar] [CrossRef]
  23. Walker, S.L.; Bhattacharjee, S.; Hoek, E.M.; Elimelech, M. A novel asymmetric clamping cell for measuring streaming potential of flat surfaces. Langmuir 2002, 18, 2193–2198. [Google Scholar] [CrossRef]
  24. Laumann, S.; Micić, V.; Lowry, G.V.; Hofmann, T. Carbonate minerals in porous media decrease mobility of polyacrylic acid modified zero-valent iron nanoparticles used for groundwater remediation. Environ. Pollut. 2013, 179, 53–60. [Google Scholar] [CrossRef] [PubMed]
  25. Ghane, R.; Sadeqi-Moqadam, M.; Riahi, S. Experimental and theoretical studies on the porous media zeta potential in mineral particle mixtures. SPE Reserv. Eval. Eng. 2021, 24, 440–449. [Google Scholar] [CrossRef]
  26. Glover, W.P.; Déry, N. Streaming potential coupling coefficient of quartz glass bead packs: Dependence on grain diameter, pore size, and pore throat radius. Geophysics 2010, 75, F225–F241. [Google Scholar] [CrossRef]
  27. Raeini, A.Q.; Bijeljic, B.; Blunt, M.J. Generalized network modeling: Network extraction as a coarse-scale discretization of the void space of porous media. Phys. Rev. E 2017, 96, 013312. [Google Scholar] [CrossRef] [PubMed]
  28. Sadeqi-Moqadam, M. Electrokinetic modeling of mixtures: Impact of size and surface electrical property of particles. Powder Technol. 2024, 432, 119169. [Google Scholar] [CrossRef]
Figure 3. Histograms of water-air contact angles obtained from the beadpacks for different Surfasil-to-n-heptane VR. Darker shades represent an overlap of the values.
Figure 3. Histograms of water-air contact angles obtained from the beadpacks for different Surfasil-to-n-heptane VR. Darker shades represent an overlap of the values.
Colloids 10 00019 g003
Figure 4. Comparison of water-air contact angles obtained from the beadpacks by micro-CT and from the plates by the sessile drop method. Results show good agreement within the limits of the measuring methods. Figure adapted after Vukovic et al. [17].
Figure 4. Comparison of water-air contact angles obtained from the beadpacks by micro-CT and from the plates by the sessile drop method. Results show good agreement within the limits of the measuring methods. Figure adapted after Vukovic et al. [17].
Colloids 10 00019 g004
Figure 5. Zeta potential measured on 300–400 micron beads that were treated with different Surfasil to n-heptane volume ratios.
Figure 5. Zeta potential measured on 300–400 micron beads that were treated with different Surfasil to n-heptane volume ratios.
Colloids 10 00019 g005
Figure 6. Pairing of the contact angles and zeta potentials measured at equal Surfasil-to-heptane volume ratios.
Figure 6. Pairing of the contact angles and zeta potentials measured at equal Surfasil-to-heptane volume ratios.
Colloids 10 00019 g006
Figure 7. Comparison of the zeta potentials of binary mixtures calculated from Equation (4) and the ones obtained experimentally for combination of untreated and 0.0002 VR treated beads, and combination of untreated and 0.01 VR treated beads.
Figure 7. Comparison of the zeta potentials of binary mixtures calculated from Equation (4) and the ones obtained experimentally for combination of untreated and 0.0002 VR treated beads, and combination of untreated and 0.01 VR treated beads.
Colloids 10 00019 g007
Figure 8. Zeta potential versus bead size for two different wetting states, untreated and 0.01 VR treated bead packs.
Figure 8. Zeta potential versus bead size for two different wetting states, untreated and 0.01 VR treated bead packs.
Colloids 10 00019 g008
Figure 9. Comparison of mixture beadpack size distribution with bead size distributions consisting of single-size beads. Mixture beadpack consists of 0.01 VR treated 100–200 micron beads and 300–400 micron untreated beads.
Figure 9. Comparison of mixture beadpack size distribution with bead size distributions consisting of single-size beads. Mixture beadpack consists of 0.01 VR treated 100–200 micron beads and 300–400 micron untreated beads.
Colloids 10 00019 g009
Figure 10. Comparison of mixture beadpack size distribution with bead size distributions consisting of single-size beads. Mixture beadpack consists of untreated 100–200 micron beads and 300–400 micron 0.01 VR treated beads.
Figure 10. Comparison of mixture beadpack size distribution with bead size distributions consisting of single-size beads. Mixture beadpack consists of untreated 100–200 micron beads and 300–400 micron 0.01 VR treated beads.
Colloids 10 00019 g010
Figure 11. Zeta potentials of untreated and 0.01 VR treated beads versus sample bead surface area to the brine volume ratio.
Figure 11. Zeta potentials of untreated and 0.01 VR treated beads versus sample bead surface area to the brine volume ratio.
Colloids 10 00019 g011
Table 1. Glass composition obtained by electron probe microanalysis and expressed as normalized mass percentage.
Table 1. Glass composition obtained by electron probe microanalysis and expressed as normalized mass percentage.
GeometryB2O3Na2OSiO2Al2O3MgOFeOCaOK2O
Plate0.0813.2773.571.224.580.026.241.01
KHA beads0.113.8071.491.243.990.188.770.42
SL beads0.1713.2571.820.724.100.159.370.41
Table 2. Geometrical properties of bead packs used in SurPASS 3 obtained by micro CT scanning.
Table 2. Geometrical properties of bead packs used in SurPASS 3 obtained by micro CT scanning.
TreatmentBeads Packed ( μ m)Average Bead Size ( μ m)Number of BeadsPermeability (mD)Porosity (%)Surface Area (mm2)Bead Volume (mm3)
Untreated100–200157663,74010,113.325.971,627.81186.1
Untreated200–300305104,14734,547.728.041,179.81224.6
Untreated300–40037060,25846,99326.337,361.91377.9
Untreated400–60047122,967179,70230.424,883.51348.0
Untreated100–200 + 300–400207204,74234,220.328.042,629.81172.1
Treated 0.01 VR100–200185511,65813,932.528.271,691.11228.9
Treated 0.01 VR200–300295107,47740,254.228.540,431.51182.3
Treated 0.01 VR300–40036652,57552,316.426.831,983.91256.2
Treated 0.01 VR400–60042425,944156,28030.623,214.31169.8
Treated 0.01 VR100–200 + 300–400290103,92240,13826.341,932.81479.3
Table 3. Experimental conditions of in-house streaming potential measurements and zeta potential results for single wetting state and single bead size beadpacks.
Table 3. Experimental conditions of in-house streaming potential measurements and zeta potential results for single wetting state and single bead size beadpacks.
Beads Packed ( μ m)Wetting StatepHTemperature (°C)Conductivity (S/m)Zeta Potential (mV)
300–4000 VR9.921.70.0203−40.9
300–4000.0002 VR10.0122.60.0207−63.4
300–4000.001 VR9.6121.30.0213−70.6
300–4000.01 VR9.8220.70.0223−76.4
300–4000.1 VR9.7920.90.0207−46.1
Table 4. Experimental conditions of in-house streaming potential measurements and zeta potential results for binary mixture of the wetting states (0 + 0.0002 VR, and 0 + 0.01 VR) and single bead size beadpacks.
Table 4. Experimental conditions of in-house streaming potential measurements and zeta potential results for binary mixture of the wetting states (0 + 0.0002 VR, and 0 + 0.01 VR) and single bead size beadpacks.
Beads Packed ( μ m)Wetting StatepHTemperature (°C)Conductivity (S/m)Zeta Potential (mV)
300–400100% 0 VR9.9021.70.0203−40.9
300–40075% 0 VR + 25% 0.0002 VR-random9.9221.00.0198−42.8
300–40050% 0 VR + 50% 0.0002 VR-random9.8920.20.0210−47.5
300–40050% 0 VR + 50% 0.0002 VR-serial9.7721.60.0206−45.7
300–400100% 0.0002 VR10.0122.60.0207−63.4
300–400100% 0 VR9.9021.70.0203−40.9
300–40075% 0 VR + 25% 0.01 VR-random9.8820.70.0207−49.9
300–40050% 0 VR + 50% 0.01 VR-random9.9221.20.0216−55.5
300–40050% 0 VR + 50% 0.01 VR-serial9.7820.50.0205−55.5
300–400100% 0.01 VR9.8220.70.0223−76.4
Table 5. Experimental conditions of SurPASS 3 streaming potential measurements and zeta potential results for untreated beadpacks.
Table 5. Experimental conditions of SurPASS 3 streaming potential measurements and zeta potential results for untreated beadpacks.
Beads Packed (mm)pHTemperature (°C)Conductivity (S/m)Zeta Potential (mV)
100–2005.9923.10.0120−87.6
200–3005.9124.10.0125−69.8
300–4006.0526.60.0150−69.5
400–6005.8222.10.0134−51.0
100–200 + 300–4006.0325.20.0126−81.3
Table 6. Experimental conditions of SurPASS three streaming potential measurements and zeta potential results for 0.01 VR treated beadpacks.
Table 6. Experimental conditions of SurPASS three streaming potential measurements and zeta potential results for 0.01 VR treated beadpacks.
Beads Packed (mm)pHTemperature (°C)Conductivity (S/m)Zeta Potential (mV)
100–2005.4625.90.0130−68.0
200–3005.5124.60.0126−53.6
300–4005.8923.70.0143−46.8
400–6005.5223.20.0122−47.1
100–200 + 300–4005.8425.40.0128−61.3
Table 7. Geometrical properties of bead packs used in SurPASS 3 obtained by micro CT scanning.
Table 7. Geometrical properties of bead packs used in SurPASS 3 obtained by micro CT scanning.
Beads Packed ( μ m)Average Bead Size ( μ m)Number of BeadsPermeability (D)Porosity (%)Surface Area (mm2)Bead Volume (mm3)
U 100–200 + T 300–400 *234177,59022,563.524.146,496.21333.2
T 100–200 + U 300–400 *226186,24227,273.226.046,043.81357.3
* T = Treated 0.01 VR, U = Untreated.
Table 8. Experimental conditions of SurPASS three streaming potential measurements and zeta potential results for cases of mixture beadpacks.
Table 8. Experimental conditions of SurPASS three streaming potential measurements and zeta potential results for cases of mixture beadpacks.
Beads Packed (mm)pHTemperature (°C)Conductivity (S/m) ζ (mV) ζ (mV) from Equation (8)
U 100–200 + T 300–400 *5.7224.60.0124−62.7−71.8
T 100–200 + U 300–400 *5.9323.70.0141−73.1−71.3
* T = Treated 0.01 VR, U = Untreated.
Disclaimer/Publisher’s Note: The statements, opinions and data contained in all publications are solely those of the individual author(s) and contributor(s) and not of MDPI and/or the editor(s). MDPI and/or the editor(s) disclaim responsibility for any injury to people or property resulting from any ideas, methods, instructions or products referred to in the content.

Share and Cite

MDPI and ACS Style

Vukovic, T.; Luxbacher, T.; Røstad, J.; Farooq, U.; Torsæter, O.; van der Net, A. Correlation Between Interfacial Parameters in Bead Packs: Contact Angle and Zeta Potential. Colloids Interfaces 2026, 10, 19. https://doi.org/10.3390/colloids10010019

AMA Style

Vukovic T, Luxbacher T, Røstad J, Farooq U, Torsæter O, van der Net A. Correlation Between Interfacial Parameters in Bead Packs: Contact Angle and Zeta Potential. Colloids and Interfaces. 2026; 10(1):19. https://doi.org/10.3390/colloids10010019

Chicago/Turabian Style

Vukovic, Tomislav, Thomas Luxbacher, Jostein Røstad, Umer Farooq, Ole Torsæter, and Antje van der Net. 2026. "Correlation Between Interfacial Parameters in Bead Packs: Contact Angle and Zeta Potential" Colloids and Interfaces 10, no. 1: 19. https://doi.org/10.3390/colloids10010019

APA Style

Vukovic, T., Luxbacher, T., Røstad, J., Farooq, U., Torsæter, O., & van der Net, A. (2026). Correlation Between Interfacial Parameters in Bead Packs: Contact Angle and Zeta Potential. Colloids and Interfaces, 10(1), 19. https://doi.org/10.3390/colloids10010019

Article Metrics

Back to TopTop