Bayesian Networks for the Diagnosis and Prognosis of Diseases: A Scoping Review
Abstract
1. Introduction
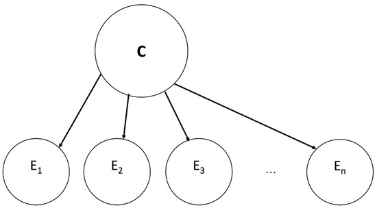
1.1. Definition of Bayesian Networks
- A set of variables (continuous or discrete) that form the vertices or nodes of the network;
- A set of directed links connecting a pair of vertices—if there is a relationship with the direction , then X is said to be the parent of Y.
- There is an association between each vertex and a conditional probability function , which takes as input a specific set of values for the parent variables of the vertex and gives the probability of the variable representing ;
- The graph does not have directed cycles, i.e., it does not have directed trajectories or paths that start or end at the same node.
1.1.1. Types of Bayesian Networks
1.1.2. Bayesian Classifiers
- The Tree-Augmented Naive Bayes (TAN), with a tree structure added between the characteristics, so that, in principle, there are few links and the complexity of the structure does not increase substantially;
- The Augmented Naive Bayes (BAN) adds a general dependency structure between features, without restrictions.
1.1.3. Learning Bayesian Networks
1.1.4. Computation of a BN
- GeNIe v.4.1.R2 (BayesFusion, LLC, Pittsburgh, PA, USA) is a development environment for reasoning in graphical probabilistic models, and SMILE is its inference engine. GeNIe is freely available for any use and has several useful features, such as a module for the exploration and analysis of a data set and the learning of BNs and their numerical parameters from data. It has a special module that addresses problems related to diagnosis [30].
- Bayesia has also developed a proprietary technology for the analysis of BNs. In collaboration with laboratories and large research projects, the company develops innovative technological solutions. Its products include (1) BayesianLab, a learning program; (2) Bayesian Market Simulator, a simulation software package that can be used to compare the influences of a set of competing offerings relative to a defined population; (3) Bayesian Engines, a library of software components through which the modelling and use of Bayesian networks can be integrated; and (4) Bayesian Graph Layout Engine, a library of software components used to integrate the automatic positioning of graphs into specific applications.
1.1.5. Model Validation
- Sensitivity, also known as recall or the true positive rate, is a measure used to evaluate the performance of a classification model. It is defined as the proportion of actual positives (e.g., diseases, positive cases) that are correctly identified by the model.
- Specificity, also referred to as the true negative rate, serves as a metric to assess the precision of a classification model, especially in its ability to precisely identify negative instances. It represents the ratio of actual negatives (for example, cases where a condition is not present) that the model correctly recognises as such.
- Accuracy is a measure used in a confusion matrix to evaluate the overall performance of a classification model. It is defined as the proportion of correct predictions (both positive and negative) made by the model out of all predictions. In essence, the accuracy assesses how often the model makes the correct decision for both positive and negative instances.
- The F1 score is a metric used within a confusion matrix to gauge the balance between precision and sensitivity (recall) in a classification model. It harmonises both measures into a single metric by calculating their harmonic mean. Essentially, the F1 score provides insights into the model’s accuracy in predicting positive instances while considering both false positives and false negatives.
- The positive predictive value (PPV), or precision, is a statistical measure that quantifies the proportion of patients or test subjects who are correctly identified as having a condition (true positives) out of all of those who test positive for the condition, whether correctly or not (true positives and false positives). It reflects the likelihood that a positive test result accurately indicates the presence of the disease or condition in question. The PPV is crucial in evaluating the effectiveness of diagnostic tests, particularly in determining their reliability in correctly diagnosing patients within specific populations or under certain conditions.
- The negative predictive value (NPV) represents the proportion of individuals who test negative for a condition and are correctly identified as not having the condition (true negatives), out of all of those who receive a negative test result (both true negatives and false negatives). It is an essential measure in assessing the accuracy of diagnostic tests, indicating the probability that a negative test result genuinely reflects the absence of the disease or condition. The NPV is particularly important in confirming the efficacy of diagnostic procedures in ruling out diseases in patients.
1.2. Bayesian Networks in the Health Sciences
1.3. Bayesian Networks in the Diagnosis and Prognosis of Diseases
2. Materials and Methods
2.1. Registration Statement
2.2. PRISMA Statement
2.3. Data Sources
2.4. Data Extraction
2.5. Synthesis
3. Results
Comprehensive Review of Bayesian Networks on Some Diseases
4. Discussion
5. Conclusions
Supplementary Materials
Author Contributions
Funding
Conflicts of Interest
Abbreviations
| BN | Bayesian network |
| TP | True positive |
| TN | True negative |
| FP | False positive |
| FN | False negative |
| NPV | Negative predictive value |
| PPV | Positive predictive value |
| ROC | Receiver operating characteristic curve |
References
- Vila-Francés, J.; Sanchis, J.; Soria-Olivas, E.; Serrano, A.J.; Martinez-Sober, M.; Bonanad, C.; Ventura, S. Expert system for predicting unstable angina based on Bayesian networks. Expert Syst. Appl. 2013, 40, 5004–5010. [Google Scholar] [CrossRef]
- Pearl, J. Probabilistic Reasoning in Intelligent Systems: Networks of Plausible Inference; Morgan Kaufmann: Burlington, MA, USA, 1988. [Google Scholar]
- McCann, R.K.; Marcot, B.G.; Ellis, R. Bayesian belief networks: Applications in ecology and natural resource management. Can. J. Forest Res. 2006, 36, 3053–3062. [Google Scholar] [CrossRef]
- Nannapaneni, S.; Mahadevan, S.; Rachuri, S. Performance evaluation of a manufacturing process under uncertainty using Bayesian networks. J. Clean. Prod. 2016, 113, 947–959. [Google Scholar] [CrossRef]
- Demirer, R.; Mau, R.R.; Shenoy, C. Bayesian networks: A decision tool to improve portfolio risk analysis. J. Appl. Financ. 2006, 16, 106. [Google Scholar]
- Ramírez, A.; Romero, J.R. Synergies Between Artificial Intelligence and Software Engineering: Evolution and Trends. In Handbook on Artificial Intelligence-Empowered Applied Software Engineering: Vol. 1: Novel Methodologies to Engineering Smart Software Systems; Springer: Cham, Switzerland, 2022; pp. 11–36. [Google Scholar]
- Sachs, K.; Perez, O.; Pe’er, D.; Lauffenburger, D.A.; Nolan, G.P. Causal protein-signaling networks derived from multiparameter single-cell data. Science 2005, 308, 523–529. [Google Scholar] [CrossRef]
- Langarizadeh, M.; Moghbeli, F. Applying naive bayesian networks to disease prediction: A systematic review. Acta Inf. Med. 2016, 24, 364. [Google Scholar] [CrossRef]
- Kyrimi, E.; McLachlan, S.; Dube, K.; Neves, M.R.; Fahmi, A.; Fenton, N. A comprehensive scoping review of Bayesian networks in healthcare: Past, present and future. Artif. Intell. Med. 2021, 117, 102108. [Google Scholar] [CrossRef]
- Whittaker, J. Graphical Models in Applied Multivariate Statistics; Wiley Publishing: New York, NY, USA, 2009. [Google Scholar]
- Analytics, I.C.R. About Bayesian Belief Networks; Charles River Laboratories International Inc.: Cambridge, UK, 2004. [Google Scholar]
- Heckerman, D.; Breese, J.S. Causal independence for probability assessment and inference using Bayesian networks. IEEE Trans. Syst. Man Cybern. Part A Syst. Hum. 1996, 26, 826–831. [Google Scholar] [CrossRef]
- Spirtes, P.; Glymour, C.; Scheines, R. Causation, Prediction and Search; Lecture Notes in Statistics; MIT Press: New York, NY, USA, 1993; Volume 81. [Google Scholar]
- Pearl, J. Graphical Models, Causality, and Intervention. 2011. Available online: https://escholarship.org/content/qt8d93w51g/qt8d93w51g_noSplash_8eeb138fc6366dfd488ce635e12e8c13.pdf (accessed on 26 May 2024).
- Flores, M.J.; Nicholson, A.E.; Brunskill, A.; Korb, K.B.; Mascaro, S. Incorporating expert knowledge when learning Bayesian network structure: A medical case study. Artif. Intell. Med. 2011, 53, 181–204. [Google Scholar] [CrossRef]
- Stuart, J.R.; Norvig, P. Artificial Intelligence: A Modern Approach; Prentice Hall: Upper Saddle River, NJ, USA, 2009. [Google Scholar]
- Huang, C.; Darwiche, A. Inference in belief networks: A procedural guide. Int. J. Approx. Reason. 1996, 15, 225–263. [Google Scholar] [CrossRef]
- Bielza, C.; Larrañaga, P. Bayesian networks in neuroscience: A survey. Front. Comput. Neurosci. 2014, 8, 131. [Google Scholar] [CrossRef]
- Shachter, R.D.; Kenley, C.R. Gaussian influence diagrams. Manag. Sci. 1989, 35, 527–550. [Google Scholar] [CrossRef]
- Geiger, D.; Heckerman, D. Learning Gaussian Networks in Uncertainty in Artificial Intelligence; Elsevier: San Francisco, CA, USA, 1994; pp. 235–243. [Google Scholar]
- Dean, T.; Kanazawa, K. A model for reasoning about persistence and causation. Comput. Intell. 1989, 5, 142–150. [Google Scholar] [CrossRef]
- Dagum, P.; Galper, A.; Horvitz, E. Dynamic network models for forecasting. In Proceedings of the Uncertainty in Artificial Intelligence, Stanford, CA, USA, 17–19 July 1992; Elsevier: Stanford, CA, USA, 1992; pp. 41–48. [Google Scholar]
- Friedman, N.; Geiger, D.; Goldszmidt, M. Bayesian network classifiers. Mach. Learn. 1997, 29, 131–163. [Google Scholar] [CrossRef]
- Neapolitan, R.E. Learning Bayesian Networks; Pearson Prentice Hall: Upper Saddle River, NJ, USA, 2004; Volume 38. [Google Scholar]
- Frank, E.; Hall, M.; Pfahringer, B. Locally Weighted Naive Bayes; Morgan Kaufmann Publishers Inc.: Burlington, MA, USA, 2002; pp. 249–256. [Google Scholar]
- Madsen, A.L.; Jensen, F.; Kjaerulff, U.B.; Lang, M. The Hugin tool for probabilistic graphical models. Int. J. Artif. Intell. Tools 2005, 14, 507–543. [Google Scholar] [CrossRef]
- Lacave, C.; Luque, M.; Diez, F.J. Explanation of Bayesian networks and influence diagrams in Elvira. IEEE Trans. Syst. Man Cybern. Part B (Cybern.) 2007, 37, 952–965. [Google Scholar] [CrossRef]
- Murphy, K. Software Packages for Graphical Models/Bayesian Networks. Int. Soc. Bayesian Anal. Bull. 2007, 14, 13–15. [Google Scholar]
- Kenett, R.S. Applications of Bayesian Networks. 2012. Available online: https://ssrn.com/abstract=2172713 (accessed on 26 May 2024).
- Pourret, O.; Na, P.; Marcot, B. Bayesian Networks: A Practical Guide to Applications; John Wiley & Sons: Chichester, UK, 2008. [Google Scholar]
- Scutari, M.; Denis, J.B. Bayesian Networks with Examples in R, 2nd ed.; Chapman and Hall: Boca Raton, FL, USA, 2021; ISBN 978-0367366513. [Google Scholar]
- Fawcett, T. ROC graphs: Notes and practical considerations for researchers. Mach. Learn. 2004, 31, 1–38. [Google Scholar]
- Warner, H.R.; Toronto, A.F.; Veasey, L.G.; Stephenson, R. A mathematical approach to medical diagnosis: Application to congenital heart disease. JAMA 1961, 177, 177–183. [Google Scholar] [CrossRef]
- Gorry, G.A.; Barnett, G.O. Experience with a model of sequential diagnosis. Comput. Biomed. Res. 1968, 1, 490–507. [Google Scholar] [CrossRef]
- Schwartz, S.M.; Baron, J.; Clarke, J.R. A Causal Bayesian Model for the Diagnosis of Appendicitis; Elsevier: Amsterdam, The Netherlands, 1988; Volume 5, pp. 423–434. [Google Scholar]
- Spiegelhalter, D.J.; Knill-Jones, R.P. Statistical and knowledge-based approaches to clinical decision-support systems, with an application in gastroenterology. J. R. Stat. Soc. Ser. A (Gen.) 1984, 147, 35–58. [Google Scholar] [CrossRef]
- Diez, F.J.; Mira, J.; Iturralde, E.; Zubillaga, S. DIAVAL, a Bayesian expert system for echocardiography. Artif. Intell. Med. 1997, 10, 59–73. [Google Scholar] [CrossRef]
- Arora, P.; Boyne, D.; Slater, J.J.; Gupta, A.; Brenner, D.R.; Druzdzel, M.J. Bayesian networks for risk prediction using real-world data: A tool for precision medicine. Value Health 2019, 22, 439–445. [Google Scholar] [CrossRef]
- Correa, E.; Goodacre, R. A genetic algorithm-Bayesian network approach for the analysis of metabolomics and spectroscopic data: Application to the rapid identification of Bacillus spores and classification of Bacillus species. BMC Bioinform. 2011, 12, 33. [Google Scholar] [CrossRef]
- Zhou, J.; Wang, D.; Schlegel, V.; Zempleni, J. Development of an internet based system for modeling biotin metabolism using Bayesian networks. Comput. Methods Programs Biomed. 2011, 104, 254–259. [Google Scholar] [CrossRef]
- Moreira, L.B.; Namen, A.A. A hybrid data mining model for diagnosis of patients with clinical suspicion of dementia. Comput. Methods Programs Biomed. 2018, 165, 139–149. [Google Scholar] [CrossRef]
- Seixas, F.L.; Zadrozny, B.; Laks, J.; Conci, A.; Saade, D.C.M. A Bayesian network decision model for supporting the diagnosis of dementia, Alzheimer’s disease and mild cognitive impairment. Comput. Biol. Med. 2014, 51, 140–158. [Google Scholar] [CrossRef]
- Yin, Z.; Zhao, Y.; Lu, X.; Duan, H. A hybrid intelligent diagnosis approach for quick screening of Alzheimer’s disease based on multiple neuropsychological rating scales. Comput. Math. Methods Med. 2015, 2015, 258761. [Google Scholar] [CrossRef]
- Sa-Ngamuang, C.; Haddawy, P.; Luvira, V.; Piyaphanee, W.; Iamsirithaworn, S.; Lawpoolsri, S. Accuracy of dengue clinical diagnosis with and without NS1 antigen rapid test: Comparison between human and Bayesian network model decision. PLoS Negl. Trop. Dis. 2018, 12, e0006573. [Google Scholar] [CrossRef]
- Farmer, N. An update and further testing of a knowledge-based diagnostic clinical decision support system for musculoskeletal disorders of the shoulder for use in a primary care setting. J. Eval. Clin. Pract. 2014, 20, 589–595. [Google Scholar] [CrossRef]
- Refai, A.; Merouani, H.F.; Aouras, H. Maintenance of a Bayesian network: Application using medical diagnosis. Evol. Syst. 2016, 7, 187–196. [Google Scholar] [CrossRef]
- Bucci, G.; Sandrucci, V.; Vicario, E. Ontologies and Bayesian networks in medical diagnosis. In Proceedings of the 2011 44th Hawaii International Conference on System Sciences, Kauai, HI, USA, 4–7 January 2011; pp. 1–8. [Google Scholar]
- Zhang, X.; Hu, B.; Ma, X.; Moore, P.; Chen, J. Ontology driven decision support for the diagnosis of mild cognitive impairment. Comput. Methods Programs Biomed. 2014, 113, 781–791. [Google Scholar] [CrossRef]
- Shen, Y.; Zhang, L.; Zhang, J.; Yang, M.; Tang, B.; Li, Y.; Lei, K. CBN: Constructing a clinical Bayesian network based on data from the electronic medical record. J. Biomed. Inform. 2018, 88, 1–10. [Google Scholar] [CrossRef]
- Verduijn, M.; Peek, N.; Rosseel, P.M.J.; de Jonge, E.; de Mol, B.A.J.M. Prognostic bayesian networks: I: Rationale, learning procedure, and clinical use. J. Biomed. Inform. 2007, 40, 609–618. [Google Scholar] [CrossRef]
- Somnay, Y.R.; Craven, M.; McCoy, K.L.; Carty, S.E.; Wang, T.S.; Greenberg, C.C.; Schneider, D.F. Improving diagnostic recognition of primary hyperparathyroidism with machine learning. Surgery 2017, 161, 1113–1121. [Google Scholar] [CrossRef]
- Velikova, M.; de Carvalho Ferreira, N.; Lucas, P. Bayesian network decomposition for modeling breast cancer detection. In Proceedings of the Artificial Intelligence in Medicine: 11th Conference on Artificial Intelligence in Medicine, AIME 2007, Amsterdam, The Netherlands, 7–11 July 2007; Proceedings 11; Springer: Berlin/Heidelberg, Germany, 2007; pp. 346–350. [Google Scholar]
- Cruz-Ramirez, N.; Acosta-Mesa, H.G.; Carrillo-Calvet, H.; Nava-Fernández, L.A.; Barrientos-Martinez, R.E. Diagnosis of breast cancer using Bayesian networks: A case study. Comput. Biol. Med. 2007, 37, 1553–1564. [Google Scholar] [CrossRef]
- Elazmeh, W.; Matwin, W.; O’Sullivan, D.; Michalowski, W.; Farion, W. Insights from predicting pediatric asthma exacerbations from retrospective clinical data. In Evaluation Methods for Machine Learning II–Papers from 2007 AAAI Workshop; Morgan Kaufmann: Los Altos, CA, USA, 2007; pp. 10–15. [Google Scholar]
- Yaneli, A.A.M.; Nicandro, C.R.; Efrén, M.M.; Enrique, M.D.C.M.; Nancy, P.C.; Gabriel, A.M.H. Assessment of bayesian network classifiers as tools for discriminating breast cancer pre-diagnosis based on three diagnostic methods. In Proceedings of the Advances in Artificial Intelligence: 11th Mexican International Conference on Artificial Intelligence, MICAI 2012, San Luis Potosí, Mexico, 27 October–4 November 2012; Revised Selected Papers, Part I 11; Springer: Berlin/Heidelberg, Germany, 2013; pp. 419–431. [Google Scholar]
- Djebbar, A.; Merouani, H.F. Optimising retrieval phase in CBR through Pearl and JLO algorithms for medical diagnosis. Int. J. Adv. Intell. Paradig. 2013, 5, 161–181. [Google Scholar] [CrossRef]
- Park, H.S.; Cho, S.B. Evolutionary attribute ordering in Bayesian networks for predicting the metabolic syndrome. Expert Syst. Appl. 2012, 39, 4240–4249. [Google Scholar] [CrossRef]
- Sesen, M.B.; Nicholson, A.E.; Banares-Alcantara, R.; Kadir, T.; Brady, M. Bayesian networks for clinical decision support in lung cancer care. PLoS ONE 2013, 8, e82349. [Google Scholar] [CrossRef]
- Wang, K.J.; Makond, B.; Wang, K.M. Modeling and predicting the occurrence of brain metastasis from lung cancer by Bayesian network: A case study of Taiwan. Comput. Biol. Med. 2014, 47, 147–160. [Google Scholar] [CrossRef]
- Cai, Z.-Q.; Si, S.-B.; Chen, C.; Zhao, Y.; Ma, Y.-Y.; Wang, L.; Geng, Z.-M. Analysis of prognostic factors for survival after hepatectomy for hepatocellular carcinoma based on a bayesian network. PLoS ONE 2015, 10, e0120805. [Google Scholar]
- Kaewprag, P.; Newton, C.; Vermillion, B.; Hyun, S.; Huang, K.; Machiraju, R. Predictive models for pressure ulcers from intensive care unit electronic health records using Bayesian networks. BMC Med. Inform. Decis. Mak. 2017, 17, 81–91. [Google Scholar] [CrossRef]
- Takenaka, S.; Aono, H. Prediction of postoperative clinical recovery of drop foot attributable to lumbar degenerative diseases, via a Bayesian network. Clin. Orthop. Relat. Res. 2017, 475, 872–880. [Google Scholar] [CrossRef]
- Spyroglou, I.I.; Spöck, G.; Rigas, A.G.; Paraskakis, E.N. Evaluation of Bayesian classifiers in asthma exacerbation prediction after medication discontinuation. BMC Res. Notes 2018, 11, 522. [Google Scholar] [CrossRef]
- Agrahari, R.; Foroushani, A.; Docking, T.R.; Chang, L.; Duns, G.; Hudoba, M.; Karsan, A.; Zare, H. Applications of Bayesian network models in predicting types of hematological malignancies. Sci. Rep. 2018, 8, 6951. [Google Scholar] [CrossRef]
- Cao, Y.; Raoof, M.; Szabo, E.; Ottosson, J.; Näslund, I. Using Bayesian Networks to Predict Long-Term Health-Related Quality of Life and Comorbidity after Bariatric Surgery: A Study Based on the Scandinavian Obesity Surgery Registry. J. Clin. Med. 2020, 9, 1895. [Google Scholar] [CrossRef]
- Siga, M.M.; Ducher, M.; Florens, N.; Roth, H.; Mahloul, N.; Fouque, D.; Fauvel, J.P. Prediction of all-cause mortality in haemodialysis patients using a Bayesian network. Nephrol. Dial. Transplant. 2020, 35, 1420–1425. [Google Scholar] [CrossRef]
- Wu, Y.; McLeod, C.; Blyth, C.; Bowen, A.; Martin, A.; Nicholson, A.; Mascaro, S.; Snelling, T. Predicting the causative pathogen among children with osteomyelitis using Bayesian networks–improving antibiotic selection in clinical practice. Artif. Intell. Med. 2020, 107, 101895. [Google Scholar] [CrossRef]
- Procházka, V.K.; Matuštíková, Š.; Fürst, T.; Belada, D.; Janíková, A.; Benešová, K.; Mociková, H.; Ďuraš, J.; Pirnos, J.; Kopečková, K.; et al. Bayesian Network Modelling As a New Tool in Predicting of the Early Progression of Disease in Follicular Lymphoma Patients. Blood 2020, 136, 20–21. [Google Scholar] [CrossRef]
- Derevitskii, I.V.; Mramorov, N.D.; Usoltsev, S.D.; Kovalchuk, S.V. Hybrid Bayesian network-based modeling: COVID-19-pneumonia case. J. Pers. Med. 2022, 12, 1325. [Google Scholar] [CrossRef]
- Tian, S.; Bi, M.; Bi, Y.; Che, X.; Liu, Y. A bayesian network analysis of the probabilistic relationships between various obesity phenotypes and cardiovascular disease risk in Chinese adults: Chinese population-based observational study. JMIR Med. Inform. 2022, 10, e33026. [Google Scholar] [CrossRef] [PubMed]
- Lee, I.; Luo, Y.; Carretta, H.; LeBlanc, G.; Sinha, D.; Rust, G. Latent pathway-based Bayesian models to identify intervenable factors of racial disparities in breast cancer stage at diagnosis. Cancer Causes Control 2023, 35, 253–263. [Google Scholar] [CrossRef] [PubMed]
- Wu, Y.; Chao, J.; Bao, M.; Zhang, N.; Wang, L. Construction of predictive model for osteoporosis related factors among postmenopausal women on the basis of logistic regression and Bayesian network. Prev. Med. Rep. 2023, 35, 102378. [Google Scholar] [CrossRef] [PubMed]
- Suzuki, T.; Shimoda, T.; Takahashi, N.; Tsutsumi, K.; Samukawa, M.; Yoshimura, S.; Ogasawara, K. Factors affecting bone mineral density among snowy region residents in Japan: Analysis using multiple linear regression and Bayesian network model. Interact. J. Med. Res. 2018, 7, e8555. [Google Scholar] [CrossRef] [PubMed]
- Tricco, A.C.; Lillie, E.; Zarin, W.; O’Brien, K.K.; Colquhoun, H.; Levac, D.; Moher, D.; Peters, M.D.J.; Horsley, T.; Weeks, L.; et al. PRISMA Extension for Scoping Reviews (PRISMAScR): Checklist and Explanation. Ann. Intern. Med. 2018, 169, 467–473. [Google Scholar] [CrossRef]




| Gold Standard | ||||
|---|---|---|---|---|
| Positive | Negative | Total | ||
| Screening test | Positive | True Positive (TP) | False Positive (FP) | TP+FN |
| Negative | False Negative (FN) | True Negative (TN) | FP+TN | |
| Total | N | |||
| Authors | Disease | BN Type | Performance | Main Conclusions |
|---|---|---|---|---|
| [65] | Comorbidity after surgery | Hybrid BN | 0.7 (AUC) | Bayesian networks serve as effective instruments in forecasting long-term health-related quality of life (HRQoL) and comorbid conditions in patients following bariatric surgery, utilising data from their pre-surgical health and disease conditions. |
| [40] | Biotin metabolism | BN | This approach enables researchers to plan future experiments as new data can be seamlessly integrated. | |
| [1] | Heart disease | BN | 0.69 (Accuracy) | The final model has been developed into a web application that is currently undergoing validation by clinical specialists. |
| [56] | Liver disease | JLO-BN | 0.87 (Accuracy) | The proposed model clearly holds significant promise. |
| [58] | Lung cancer | Tree-Augmented Naive Bayes | 0.81 (Accuracy) | Causal intervention findings indicate that BN treatment recommendations aim to prescribe plans that maximise survival. |
| [59] | Lung cancer | BN | 0.82 (Accuracy) | Sensitivity is crucial in identifying cancer patients, and the sensitivity of the proposed Bayesian network surpasses that of all benchmarked methods. |
| [55] | Breast cancer | MP-Bayes+Greedy | 0.85 (Accuracy) | It appears that there is an overspecialisation in diagnosing patients with the disease, yet a notable lack of specialisation when the disease is absent. |
| [71] | Breast cancer | Latent pathway-based BN | 0.64 (Accuracy) | The BN model, which utilises two latent pathways and four patient-specific mediators, clearly outperforms the CART model in predicting the stage at diagnosis. |
| [53] | Breast cancer | MP-Bayes+Greedy | 0.93 (Accuracy) | Observers perceive various elements when examining samples under the microscope, a situation that considerably undermines the effectiveness of these classifiers in diagnosing such a disease. |
| [73] | Osteoporosis | BN | 0.5 (Accuracy) | These methods are considered valuable indicators in developing healthcare policies in the region. |
| [72] | Osteoporosis | BN | 0.67 (Accuracy) | BNs allow a more intuitive understanding of the complex network of risk factors and diseases. |
| [51] | Hyperparathyroidism | Hybrid BN | 0.98 (AUC) | BNs are capable of accurately diagnosing primary hyperparathyroidism autonomously, even in cases of mild disease. |
| [44] | Dementia | Hybrid BN | 0.83 (AUC) | BN models can aid physicians in diagnosing dengue, especially in regions where experienced medical professionals and laboratory diagnostic tests are scarce. |
| [43] | Dementia | Hybrid BN | 0.85 (Accuracy) | Perform better in identifying different stages of AD compared to others. |
| [42] | Dementia | BN | 0.83 (AUC) | Enhanced diagnostic outcomes for dementia, Alzheimer’s disease (AD), and mild cognitive impairment (MCI) when compared to many other established classifiers. |
| [41] | Dementia | Hybrid BN | 0.79 (Accuracy) | The hybrid model demonstrates superior effectiveness in diagnostic prediction. |
| [69] | COVID-19 pneumonia | Hybrid BN-based modelling | 0.87 (Accuracy) | Support systems for decision-making to improve treatment of COVID-19 pneumonia. |
Disclaimer/Publisher’s Note: The statements, opinions and data contained in all publications are solely those of the individual author(s) and contributor(s) and not of MDPI and/or the editor(s). MDPI and/or the editor(s) disclaim responsibility for any injury to people or property resulting from any ideas, methods, instructions or products referred to in the content. |
© 2024 by the authors. Licensee MDPI, Basel, Switzerland. This article is an open access article distributed under the terms and conditions of the Creative Commons Attribution (CC BY) license (https://creativecommons.org/licenses/by/4.0/).
Share and Cite
Polotskaya, K.; Muñoz-Valencia, C.S.; Rabasa, A.; Quesada-Rico, J.A.; Orozco-Beltrán, D.; Barber, X. Bayesian Networks for the Diagnosis and Prognosis of Diseases: A Scoping Review. Mach. Learn. Knowl. Extr. 2024, 6, 1243-1262. https://doi.org/10.3390/make6020058
Polotskaya K, Muñoz-Valencia CS, Rabasa A, Quesada-Rico JA, Orozco-Beltrán D, Barber X. Bayesian Networks for the Diagnosis and Prognosis of Diseases: A Scoping Review. Machine Learning and Knowledge Extraction. 2024; 6(2):1243-1262. https://doi.org/10.3390/make6020058
Chicago/Turabian StylePolotskaya, Kristina, Carlos S. Muñoz-Valencia, Alejandro Rabasa, Jose A. Quesada-Rico, Domingo Orozco-Beltrán, and Xavier Barber. 2024. "Bayesian Networks for the Diagnosis and Prognosis of Diseases: A Scoping Review" Machine Learning and Knowledge Extraction 6, no. 2: 1243-1262. https://doi.org/10.3390/make6020058
APA StylePolotskaya, K., Muñoz-Valencia, C. S., Rabasa, A., Quesada-Rico, J. A., Orozco-Beltrán, D., & Barber, X. (2024). Bayesian Networks for the Diagnosis and Prognosis of Diseases: A Scoping Review. Machine Learning and Knowledge Extraction, 6(2), 1243-1262. https://doi.org/10.3390/make6020058

