Next Article in Journal
Synthesis and Evaluation of a Photocatalytic TiO2-Ag Coating on Polymer Composite Materials
Next Article in Special Issue
Low-Velocity Impact Damage Behavior and Failure Mechanism of 2.5D SiC/SiC Composites
Previous Article in Journal
Synergistic Promotion of Selective Oxidation of Glycerol to C3 Products by Mo-Doped BiVO4-Coupled FeOOH Co-Catalysts Through Photoelectrocatalysis Process
Previous Article in Special Issue
Polymer–Filler Interactions in Graphite-Infused Polypropylene: Experimental Design, a Fundamental and Applied Study
 
 
Font Type:
Arial Georgia Verdana
Font Size:
Aa Aa Aa
Line Spacing:
Column Width:
Background:
Review

Investigation of Phosphorus Dendrons and Their Properties for the Functionalization of Materials

by
Cédric-Olivier Turrin
1,2,
Valérie Maraval
1,2 and
Anne-Marie Caminade
1,2,*
1
Laboratoire de Chimie de Coordination (LCC-CNRS), 205 Route de Narbonne, CEDEX 4, 31077 Toulouse, France
2
LCC-CNRS, Université de Toulouse, CNRS, 31013 Toulouse, France
*
Author to whom correspondence should be addressed.
J. Compos. Sci. 2025, 9(8), 382; https://doi.org/10.3390/jcs9080382
Submission received: 13 June 2025 / Revised: 3 July 2025 / Accepted: 18 July 2025 / Published: 22 July 2025
(This article belongs to the Special Issue Functional Composites: Fabrication, Properties and Applications)

Abstract

Dendrons, also named dendritic wedges, are a kind of molecular tree, having a branched structure linked to a functional core. The functional core can be used in particular for the functionalization of materials. Different types of dendrons are known, synthesized either by a convergent process, from the external part to the core, or by a divergent process from the core to the external part. Polyphosphorhydrazone (PPH) dendrons are always synthesized by a divergent process, which enables a fine-tuning of both the core function and the external functions. They have been used for the functionalization of diverse materials such as silica, titanium dioxide, gold, graphene oxide, or different types of nanoparticles. Nanocomposites based on materials functionalized with PPH dendrons have been used in diverse fields such as catalysts, chemical sensors, for trapping pollutants, to support cell cultures, and against cancers, as will be emphasized in this review.

1. Introduction

Dendrons, also named dendritic wedges, are a special type of hyperbranched macromolecule, having one function at the core, different from the functions on the periphery. The very first dendrons were proposed by J. Fréchet et al. [1], using a convergent method of synthesis, from the periphery to the core [2] (Scheme 1A). The main advantage of this method is that only a limited number of reactions, generally two [3], are engaged at each step, thus limiting the number of side products or unwanted reactions, leading to highly monodisperse dendritic macromolecules [4]. Despite this interesting property, the convergent method has two main drawbacks: (i) the difficulty of associating two very large molecules through their core when the generation number of the dendrons becomes high, larger than 5 or 6 [5], and (ii) the difficulty of modifying the functions at the periphery, which should be stable enough to remain intact all along the synthetic process.
The second type of method applied to the synthesis of dendrons is the divergent method, from the core to the periphery (Scheme 1B). In that case, the functions on the periphery of the dendrons are reacted at each step of the synthetic process, whereas the function at the core should not react during this process. Such a method is identical to the method most widely used for the synthesis of dendrimers [6,7], which was also the first one proposed in particular for the synthesis of poly (amidoamine) PAMAM dendrimers [8], Poly (L-Lysine) P-Lys dendrimers [9], poly (propyleneimine) PPI dendrimers [10,11], and poly (phosphorhydrazone) PPH dendrimers [12].
The main drawback of the divergent process for the synthesis of dendrons, as well as for the synthesis of dendrimers, is the difficulty of ensuring that all the numerous terminal functions react as expected. From this perspective, 1H and 13C NMR are generally not efficient enough to ensure that all peripheral functions have indeed reacted. However, 31P NMR has been proven to ensure the perfect characterization of PPH dendrimers [13], even of highly sophisticated dendritic structures based on phosphorus [14], making these dendrimers unique among all types of dendrimers, including among “inorganic” dendrimers [15]. Thus, 31P NMR is a highly efficient tool for monitoring the synthesis of dendrons based on PPH structures. The syntheses of the very first examples of PPH dendrons have been reviewed in 2006 [16]. The nature of the core is of course of outmost importance for dendrons. Most of the recent work with phosphorus dendrons is based on the specific reactivity of hexachlorocyclotriphosphazene, in which either one or five Cl can be reacted to afford AB5 derivatives [17], which are particularly suitable for the synthesis of dendrons [18].
Among the possible uses of dendrons is the functionalization of materials [19,20,21]. A few early reviews gathered information regarding the use of dendrons for the functionalization of insoluble supports in 2007 [20] and of multi-functional materials [22], but there is no recent review about the use of dendrons for the functionalization of materials, which will be the focus of this paper. Three topics will be presented, those being PPH dendrons inside materials, PPH dendrons on the surface of flat materials, and PPH dendrons on the surface of nano- or micro-particles. In all cases, the properties of the resulting materials will be highlighted, in particular in applications as catalysts, sensors, for trapping pollutants, as supports of cell cultures, and against cancers.

2. Phosphorus Dendrons Inside Materials and Their Properties

The very first example of the use of phosphorus dendrons for the functionalization of materials concerned the elaboration of hybrid materials obtained by reaction of tetraethoxy silane Si(OEt)4 and water with dendrons equipped with a triethoxysilyl group at the core [23] and not on the surface, as in previous experiments [24,25]. It should be emphasized that at each step of the synthesis of this family of dendrons, one must take great precautions to avoid hydrolysis of the triethoxysilyl group at the core. In this regard, different methods of synthesis of such dendrons have been elaborated. In particular, the formation of the CH=N-N(Me)-P linkage of PPH structures, which is accompanied by the release of water molecules, was found to be incompatible with the triethoxysilyl group, even in the presence of drying agents. To circumvent this issue, the first accelerated method to generate PPH dendrimer was conceived using an AB4 building block. In a first attempt, the diphenyl phosphine bearing an alkyl triethoxysilyl group 1 was reacted in a Staudinger [26] reaction with the AB4 phosphorus azide 2, to afford the first-generation dendron 1-Si-G1(Cl)4 (Scheme 2). In the next step, to expand the size of the dendron, the chlorides were substituted by the derivative of triphenyl phosphine 3. The resulting dendron, 1-Si-G1(PPh2)4, is shown in Scheme 2, both as the full structure and as a linear structure, with parentheses after each divergence point. The linear drawing will be used in almost all Schemes of this review. The four phosphines of dendron 1-Si-G1(PPh2)4 are suitable to react with the azide 2 in Staudinger reactions to afford dendron 1-Si-G3(Cl)16. The last synthetic step in this series was the substitution of the sixteen Cl by the sodium salt of hydroxybenzaldehyde 4, to afford dendron 1-Si-G3(CHO)16 (Scheme 2).
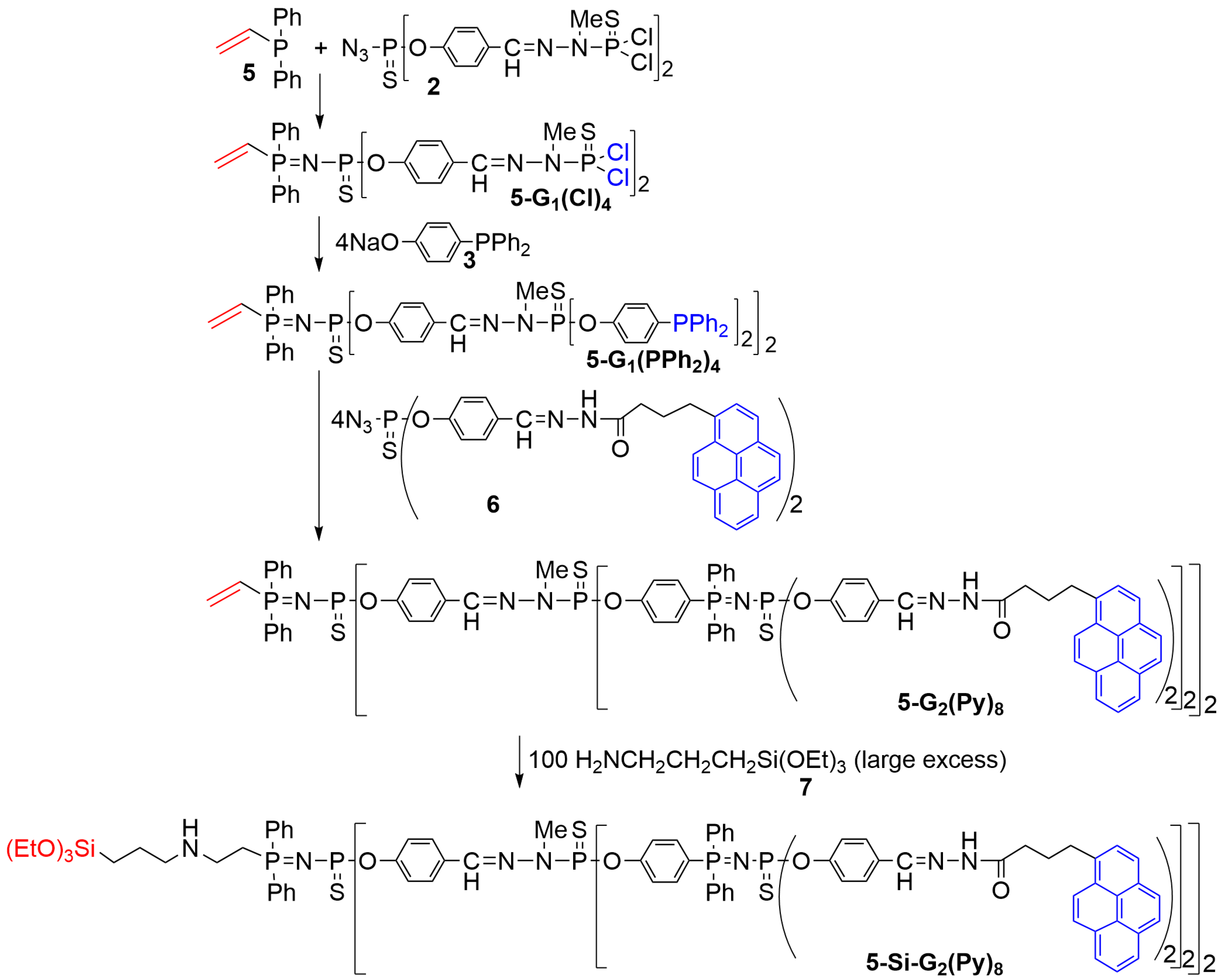
In order to make the synthesis easier, it appeared desirable to graft the triethoxysilyl group sensitive to moisture only in the last step of the synthesis of the dendron. For this purpose, a related process was elaborated from diphenyl vinyl phosphine 5, which can be used in a Staudinger reaction with the phosphorus azide 2, to afford dendron 5-G1(Cl)4 (Scheme 3). The next step was the substitution of the chlorides with the diphenylphosphine derivative 3, followed by the Staudinger reaction with the phosphorus azide 6, functionalized with two pyrene derivatives. Dendron 5-G2(Py)8 was finally reacted with a very large excess [27] (100 equivalents) of H2NCH2CH2CH2Si(OEt)3 7, leading to the amination of the vinyl group at the core, activated by the presence of the P=N-P=S moiety, to finally afford dendron 5-Si-G2(Py)8 [23].
Besides using the Staudinger reaction at each step of the synthesis of the dendrons, the well-known method of synthesis of PPH dendrimers, consisting in the successive use of hydroxybenzaldehyde 4 in basic conditions and the phosphorhydrazide H2NNMeP(S)Cl2 8 [12], was also applied to the synthesis of dendrons, starting from 5-G1(Cl)4. This family of dendrons was synthesized up to the third generation 8-G3(Cl)16. They were functionalized on their periphery with 4-cyanophenol 9 or 3-dimethylaminophenol 10, grafted on either generation 2 or generation 3 dendrons, to afford dendrons 8-G2(CN)8 and 8-G3(CN)16 or 8-G2(NMe2)8 and 8-G3(NMe2)16, respectively [28]. In the last step, a large excess of aminopropyl triethoxysilane APTS (7) was reacted on the vinyl core of the dendrons, affording dendrons 8-Si-G2(CN)8 or 8-Si-G2(NMe2)8 for the second generation and 8-Si-G3(CN)16 or 8-Si-G3(NMe2)16 for the third generation, respectively (Scheme 4) [23]. It should be noted that the type of terminal groups in this case is limited, as they should not react with the large excess of APTS (7), and thus P(S)Cl2 or aldehyde functions are not compatible with this process.
Having in hand three families of dendrons functionalized with a single triethoxysilyl group at the core, they were used in co-hydrolysis and polycondensation reactions with a varying number of equivalents of tetraethoxysilane (TEOS) and water, with 1% of tetrabutyl ammonium fluoride (TBAF) as catalyst, to afford, after drying, dendron-silica xerogels (Scheme 5). The quantity of TEOS necessary to observe the gelation increased as the dendron generation increased. For instance, 20 equiv. of TEOS were necessary to observe gelation with one equiv. of the first generation dendron 1-Si-G1(CHO)4, whereas 140 equiv. of TEOS were necessary to observe gelation with one equiv. of the third generation dendron 1-Si-G3(CHO)16. The presence of the dendrons inside silica was demonstrated by 31P and 29Si MAS NMR spectroscopy. Nitrogen BET specific surface area were between 135 and 590 m2/g for the 1-Si-Gn series, with an increase in the BET surface areas [29] of materials with the amount of TEOS used to obtain a gel. In case of a longer linker between the triethoxysilyl group and the dendron (cases 5-Si-Gn and 8-Si-Gn), the BET surface area was very low (5 m2/g) with the smallest amount of TEOS, and only 405 m2/g with the largest amount of TEOS. As an illustration of the detrimental influence of a longer linker, one can compare the BET values of the xerogels obtained with two similar phosphine-functionalized dendrons and using 30 equiv. of TEOS per dendron 1-Si-G1(PPh2)4 (shorter linker: 160 m2/g) and 5-Si-G1(PPh2)4 (longer linker: <5 m2/g) [23].
A related series of dendrons was synthesized as shown in Scheme 4 but were functionalized with Boc-protected tyramine (12) as terminal functions, namely dendrons 8-Si-G1(NHBoc)4 and 8-Si-G2(NHBoc)8 (Scheme 6). Another type of dendron was synthesized by a multi-step process, also outlined in Scheme 6. The first step was the grafting of a single ester-functionalized phenol in basic conditions to hexachlorocyclotriphosphazene (N3P3Cl6) 11, to afford compound 11-G0(Cl)5. The possibility to graft specifically either one or five functions to compound 11, in particular for the synthesis of dendrons, has been reviewed recently [18]. The next steps were the reaction with 5 equiv. of hydroxybenzaldehyde 4 in basic conditions, followed by the condensation with the phosphorhydrazide 8 to afford dendron 11-G1(Cl)10. The surface of the dendron was then functionalized with Boc-protected tyramine 12. The methylester at the core was reduced to a benzyl alcohol using LiAlH4, and the alcohol was added to the isocyanate O=C=N-(CH2)3-Si(OEt)3 in the presence of a stannyl catalyst. This multistep process afforded a first generation dendron 11-Si-G1(NHBoc)10 functionalized with ten Boc-protected tyramines on the surface, and one triethoxysilyl group at the core [30]. It should be noted that the first generation dendron 11-Si-G1(NHBoc)10 has more Boc-protected tyramines as peripheral functions (10) than the second-generation dendron 8-Si-G2(NHBoc)8 (8).
The dendrons shown in Scheme 6 were synthesized with the aim of trapping CO2 [31], a major player of the global warming problem [32,33]. For this purpose, these dendrons were grafted to five types of commercial silica, namely mesoporous silica (Grace, with BET = 552 m2/g, pore diameter 6.4 nm, and Aldrich with BET = 562 m2/g, pore diameter 4 nm); SBA15 mesostructured silica (BET = 685 m2/g, pore diameter 6.0 nm) [34], which was rehydroxylated (BET = 556 m2/g); and two non-porous silica (Aerosil 200 with BET = 209 m2/g, and Aerosil 50 with BET = 47 m2/g). Before testing the efficiency of these dendrons for trapping CO2, two reactions were needed. The first one was the grafting of the dendrons to silica, by reaction of the triethoxysilyl group at the core of the dendrons with the hydroxyl groups of silica. The second reaction was the deprotection of the NHBoc on the surface of the dendrons, using trifluoroacetic acid, to generate NH2/NH3+ terminal functions, suitable for the trapping of CO2, by generating carbamates [35]. Grafting dendrons to silica largely decreased the specific surface of the porous silica but had a lower influence on the non-porous silica. The three types of dendrons grafted to rehydroxylated silica SBA15 were tested for their capacity to trap CO2. At the pressure of 0.8 bar of CO2 in mixtures of CO2/He, dendron 8-Si-G2(NH2)8 was largely more efficient than the other dendrons (Scheme 7) and also than a dendrimer [36].

3. Phosphorus Dendrons on the Surface of Materials and Their Properties

In the previous examples, the function used for interacting with the material was at the core of the dendrons. However, it is also possible to use the functions located on the periphery of the dendron to interact with the material. For instance, a dendron equipped with a long polyethylene glycol tail (PEG2000) at the core and four azabisphosphonate groups on the periphery, compound 13-G2(PO3)8 was synthesized by grafting in the last step the azabisphosphonate derivative of tyramine, compound 14. The adhesive properties of this dendron (R = Me or R = H) were tested onto piranha activated silica (Scheme 8). The presence of the dendrons onto silica was assessed by FT-IR and MAS NMR (31P and 29Si) spectroscopies [37].
Besides silica, different other types of materials have been functionalized with PPH dendrons for different purposes. In a first example, a nanocrystalline mesoporous titania (TiO2) thin film [38] was functionalized with the fluorescent dendron 15-G1(fluo)5(PO3)4, having five maleimide-based phenolic chromophores on one side, and two azabisphosphonate groups at the core for anchoring to titania. Such a specifically designed compound was obtained by selective functionalization of the cyclotriphosphazene 11 (Scheme 9). It can also be considered as a Janus dendrimer [39,40], having two different faces [41,42]. Compound 15-G1(fluo)5(PO3)4 was grafted onto TiO2 to be used as sensor for phenols by soaking the device into solutions of phenols. Indeed, interaction of OH groups of phenols with the C=O groups of maleimide induced the quenching of fluorescence. Water and pentanol induced 50% decrease in fluorescence [43], but all phenols tested induced a larger decrease. Fluorescence was almost totally quenched by resorcinol, and compounds having two OH groups as resorcinol were among the most efficient quenchers, probably due to the possibility of a single molecule to quench the fluorescence of two maleimide groups (see graph in Scheme 9). The reversibility of the quenching was also tested by washing with basic water (pH 10) and resulted in the recovery of about 50% of the fluorescence, corresponding to the effect of water alone [44].
Two other types of dendrons, prepared thanks to the selective reactivity of the hexachlorocyclotriphosphazene 11, were functionalized by a single thioctic acid derivative 16, at the core and by either 10 ammoniums (16-G1(S-S)1(N+)10) or 10 carboxylates (16-G1(S-S)1(CO2)10) on the periphery (Scheme 10). The generation 2 analogs of both families were synthesized, but when attempting to graft these dendrons to glass slides covered by thin layers of chromium (5 nm) and gold (48 nm), only generations 1 could be grafted. The thioctic acid at the core of generations 2 was presumably not accessible enough to react with the gold layer. The surfaces coated with the first generation dendrons were exposed to cell cultures of human osteoblast (HOB) cells [45]. The HOB cells were seeded to the dendron-coated substrates and no difference was observed between both dendrons during the first 24 h. However, a different behavior was observed after a few days. Microscopy images displayed cell shrinkage and many cells which died through apoptosis on the surfaces coated with positively charged dendrons. On the contrary, microscopy images of surfaces coated with negatively charged dendrons indicated that the cells stretched and proliferated normally and attained confluence (full coverage of the surface by the cells), as illustrated in Scheme 10 [46]. This result is in contrast with previous experiments concerning osteoblasts, which proliferated more on positively charged titanium films than on negatively charged ones [47]. It should also be noted that in a previous experiment using multilayers of charged dendrimers, having the same type of surface functions as these dendrons for culture of fetal cortical rat neurons, it was shown that neurons attached preferentially and matured slightly faster on film surfaces positively charged than on negatively charged surfaces [48].
Other examples of attempted uses of materials functionalized with PPH dendrons in biology concerned their grafting to graphene oxide (GO) [49,50], followed by testing the resulting hybrid materials on cancer cells. Indeed, the interest in GO as delivery material for genes [51] or for cancer drugs [52] has been previously emphasized. To render the functions of GO compatible with the functional group at the core of PPH dendrons, it was necessary to activate graphene oxide, which was synthesized from graphite by the Hummers method [53]. Three different types of reactions were carried out to functionalize GO. The COOH groups were activated with SOCl2 to afford highly reactive carbonyl chloride functions (material GO-COCl) [54]. This material was the starting point of another functionalization, that was the grafting of propargyl amine, to afford material GO-CC. A third method of functionalizing GO was carried out with sodium azide, which was used to open the epoxides of GO and grafting of azide groups [55], affording material GO-N3 (Scheme 11) [56].
Ethacrynic acid (EA) is a well-known diuretic product [57,58], but it was also shown to have anticancer properties [59,60]. EA derivatives linked to the surface of PPH dendrimers were shown to have moderate to strong anticancer properties against KB and HL-60 solid tumor cancer cells, while being not or slightly toxic toward the non-cancer cells EPC (quiescent endothelial progenitor cells) [61]. Thus, EA was grafted to the surface of dendron 18-G1(NHBoc)1(Cl)10, having one Boc-protected tyramine at the core. Deprotection of the core of 18-G1(NHBoc)1(EA)10 using trifluoroacetic acid to obtain 18-G1(NH3)1(EA)10 permitted its grafting to GO-COCl (Scheme 12). The resulting material 18-G1(EA)10@GO was in particular characterized by Scanning Electron Microscopy (SEM) images and by Energy Dispersive X-ray Spectroscopy (EDX) analyses, which revealed the presence of phosphorus, sulfur, and chlorine, which warrants the presence of dendron 18-G1(EA)10 on GO. Both the free dendron 18-G1(NHBoc)1(EA)10 and the material 18-G1(EA)10@GO were tested in triplicate against the cancerous cell line HCT116 (human colon cancer). The percentage of viability at 10−5 M was 75.9 ± 4.0 with 18-G1(NHBoc)1(EA)10 and 89.9 ± 1.7 with 18-G1(EA)10@GO at the same concentration in dendron; thus, no significant improvement in anticancer properties was obtained by grafting the dendron 18-G1(NH3)1(EA)10 to GO [54].
PPH dendrons differently functionalized both on the surface and at the core were also synthesized to be grafted to GO via “click” chemistry [62,63], i.e., the copper catalyzed azide–alkyne cycloaddition (CuAAC) [64]. The terminal functions were of type pyridine imine (series a), dipyridyl imine (series b), and hydrazinopyridine (series c). These types of terminal functions on the surface of PPH dendrimers were previously shown to induce anticancer properties, both free or complexing copper [65] or gold [66], and were also used in the case of dendrons having one [67] or two [68] alkyl chains at the core, all of them displaying anticancer properties. Two families of dendrons were synthesized for performing the CuAAC reactions for grafting to GO. The first one was functionalized with an alkyne at the core (family 19a-c-G1) and then reacted with GO-N3 to afford the material 19a-c-G1@GO-N3. The second family was functionalized with an azide at the core (family 20a-c-G1) and then reacted with GO-CC to afford the material 20a-c-G1@GO-CC (Scheme 13). The presence of the dendrons on GO was in particular confirmed by Raman spectroscopy. Both the free dendrons and dendrons linked to GO were tested against the cancerous HCT116 cell line. Results in Table 1 show that several free dendrons have anticancer properties (series a and b), which almost vanished when grafted to GO [56].

4. Phosphorus Dendrons on the Surface of Particles and Their Properties

The second generation of PPH dendrons having an activated vinyl group at the core and eight aldehyde terminal functions 8-G2(CHO)8 was reacted with the Girard T reagent [69] 21 to afford dendron 21-G2(N+)8 (Scheme 14). Dendrons 21-G0(N+)2 and 21-G1(N+)4 were also synthesized from dendrons 8-G0(CHO)2 and 8-G1(CHO)4, respectively. The vinyl group at the core of dendron 21-Gn(N+)2(n+1) (n = 0, 1, 2) was reacted with cyclam macrocycles linked to the surface of polystyrene nanoparticles, so-called nanolatexes, having an average diameter of 15 nm [70]. Approximately 300 molecules of 21-G0(N+)2, 150 of 21-G1(N+)4, or 90 of 21-G2(N+)8 were grafted per particle, affording 600 to 800 ammonium groups per particle. A remarkable improvement of the colloidal stability of the dendrons-grafted nanoparticles was observed, with no aggregation of the nanoparticles, even in the absence of surfactant. The dendronized nanolatexes formed rigid stable translucent hydrogels upon standing at room temperature for 1 week, with approximately 105,000, 185,000, and 345,000 water molecules gelled by grafted dendrons of generations 0, 1, and 2, respectively [71]. It was previously shown that this reagent 21 grafted to the surface of PPH dendrimers induced their solubility in water, but spontaneously formed rigid hydrogels [72], suitable as media for cell cultures [73], and can also form elastic fibers [74].
Besides the covalent grafting shown in the previous Scheme, several PPH dendrons functionalized with a pyrene at the core were used for interacting by Π-staking on magnetic cobalt nanoparticles covered by a few graphene layers [75], as shown in reviews [76,77]. Such materials have different properties, depending on the type of terminal functions on the surface of the dendrons. The synthesis of a dendron built from cyclotriphosphazene and having polyvinylidene fluoride(s) (PVDF) at the surface [78] necessitated several steps, in particular for the preparation of the core made of pyrene substituted by a long chain ended by a phenol (compound 22) to be grafted to dendron 16-G0(Cl)1(CHO)5. The growing of the dendron was continued by reaction with the phosphorhydrazide 8 and the phenol 23 bearing an alkyne. The last step was the click CuAAC reaction of PVDF functionalized by an azide (PVDF-N3) with the alkyne terminal functions of the dendron, to afford dendron 22-G1Pyr(PVDF)10 (Scheme 15). The pyrene of this dendron was then used for coating by Π-staking [79] magnetic cobalt nanoparticles covered by graphene. It was shown that the dendron was released by heating, as 22-G1Pyr(PVDF)10 could be recovered in hot solutions of THF/water. Interestingly, this release was partly reversible when decreasing the temperature [80].
An analogous synthesis was carried out with a pyrene linked to a phenol through a shorter chain (compound 24-OH) and using the phosphine phenol 3 for the functionalization of the dendron surface. A monomeric compound (24-PPh2), a generation 0 dendron (24-G0Pyr(PPh2)5), and a generation 1 dendron (24-G1Pyr(PPh2)10) were synthesized and deposited by Π-staking on magnetic cobalt nanoparticles pre-coated with graphene (Scheme 16). The corresponding materials, 24-PPh2@CoNP, 24-G0Pyr(PPh2)5@CoNP, and 24-G1Pyr(PPh2)10@CoNP, were reacted with Pd(OAc)2 to afford catalysts [19,81] suitable for Suzuki [82] reactions of aryl bromides with boronic acids. The Co nanoparticles covered only by graphene have no catalytic properties by themselves. The reactions carried out at 60 °C enabled the dendritic catalysts to be released from the Co nanoparticles, and to perform catalysis in solution. Cooling the media after the reaction induced again the coating of the Co NPs by the dendrons. As Co NPs are magnetic, they can be easily recovered using a magnet and reused in another experiment. Experiments for recycling and reusing the catalysts were attempted for the catalyzed reaction of bromobenzene with phenyl boronic acid (Table in Scheme 16). It appeared that the dendritic catalyst of generation zero (24-G0Pyr(PPh2Pd)5@CoNP) was the most easily recycled, as it gave the same yield at run 1 and at run 4 (95%). On the contrary, the yield decreased from 95% at run 1 to 75% at run 4 with the monomer (24-PPh2Pd@CoNP), and from 91% at run 1 to 79% at run 4 with the generation 1 dendron (24-G1Pyr(PPh2Pd)10@CoNP). The catalytic material issued from the generation zero dendron (24-G0Pyr(PPh2Pd)5@CoNP) was also used in another Suzuki cross-coupling reaction for the synthesis of Felbinac, an anti-inflammatory drug [83]. A 100% yield was obtained at the first run and remained constant at least up to run 12, showing the excellent efficiency of catalyst recycling using a magnet [84].
A related experiment was carried out with a monomer (25-terPy) and a generation zero dendron (25-G0(terPy)5) functionalized with terpyridine ligands, which were used for the complexation of RuCl2 and were deposited on magnetic Co NPs. These catalysts were applied in nitroarene transfer hydrogenation [85] from 2-propanol (Scheme 17). Recycling experiments were also attempted using a magnet. As in the previous case, the generation 0 dendron (25-G0(terPyRu)5) was very efficiently recovered and reused, affording 100% yield from run 1 to run 8, whereas the monomer (25-terPyRu) was less efficiently recycled, as only 10% yield was obtained at run 8 (Table in Scheme 17) [86].
Other catalytic experiments were carried out with a monomer (26a,b-PPh2) and generations 0 and 1 dendrons (26a,b-G0(PPh2)2 and 26a,b-G1(PPh2)4, respectively) bearing a dodecyl (C12, compounds a) or hexadecyl (C16, compounds b) alkyl chain at the core and phosphines as surface functions. The terminal phosphines of these compounds were used for complexing and stabilizing [87] ruthenium nanoparticles synthesized by milling under air these phosphine-functionalized dendrons with RuCl3, and NaBH4 as reducing agent (Scheme 18). These Ru NPs were unstable in the absence of dendrons [88]. The formed Ru NPs have an average diameter of 2–3 nm. These dendron-stabilized Ru NPs were used as catalysts in hydrogenation reactions of styrene with H2 to afford ethylbenzene. The best yields were obtained with the Ru NPs covered by the largest dendrons (26a-G1(PPh2)4@Ru, 96% yield and 26b-G1(PPh2)4@Ru, 94% yield). The worse results were obtained with the monomers (26a-PPh2@Ru, 85% yield and 26b-PPh2@Ru, 83% yield). The main reason for this difference is probably the easier access of the reagents to Ru in the NPs when they were coated with the first-generation dendron, compared to the monomer. On the contrary, the length of the alkyl chain had practically no influence on the catalytic results (Table in Scheme 18) [89].

5. Conclusions

Three different methods for the synthesis of PPH dendrons have been shown in this review. The first one is based on the Staudinger reaction of phosphines with azides to create R-P=N-P=S linkages, suitable for activating R when it is a vinyl group (R=CH2=CH), for further functionalization. The second method is the specific grafting of one or five functions on hexachlorocyclotriphosphazene, followed by the grafting of either five or one other type of functions. Both methods have been largely used for the synthesis of PPH dendrons. The third method has been used only two times (see Scheme 8 and Scheme 18). It consists of starting the synthesis of the dendron from a single phosphorhydrazone. Most of these dendrons were synthesized on a gram scale, and no attempt was made to increase this quantity. However, a first-generation PPH dendrimer was synthesized on a 100 g scale (unpublished results).
The obtained dendrons were used for interacting in different ways with various materials, and to display multiple properties. PPH dendrons have been tested for trapping CO2 when grafted inside porous materials. PPH dendrons were used as sensors, as supports for human cell cultures, or as a support for anticancer drugs when grafted to materials surfaces. PPH dendrons were used in different types of catalysis experiments, and were particularly easily recovered with a magnet and reused when grafted to magnetic nanoparticles.
In view of all these properties, PPH dendrons can be considered as versatile nanotools for the elaboration of smart materials. However, as shown in the different Schemes of this review, the synthesis of dendrons is in most cases a long, complex, and multi-step process, in which all compounds at each step have to be purified, isolated, and characterized. The absence of industrial development of these dendrons, and of most dendrimers in general [90], probably points to the necessity of finding lower-cost synthetic methods [91], with improved trade-off between efficiency and time and effort for the synthesis, as emphasized in a recent review [92].

Author Contributions

Conceptualization, A.-M.C.; writing—original draft preparation, A.-M.C.; writing—review and editing, C.-O.T., V.M. and A.-M.C. All authors have read and agreed to the published version of the manuscript.

Funding

This research received no external funding.

Data Availability Statement

No new data were created or analyzed in this study.

Acknowledgments

Thanks are due to the CNRS for financial support.

Conflicts of Interest

The authors declare no conflicts of interest.

References

  1. Hawker, C.J.; Frechet, J.M.J. Control of Surface Functionality in the Synthesis of Dendritic Macromolecules using the Convergent- Growth Approach. Macromolecules 1990, 23, 4726–4729. [Google Scholar] [CrossRef]
  2. Grayson, S.M.; Frechet, J.M.J. Convergent dendrons and dendrimers: From synthesis to applications. Chem. Rev. 2001, 101, 3819–3867. [Google Scholar] [CrossRef] [PubMed]
  3. Newkome, G.R.; Shreiner, C.D. Poly(amidoamine), polypropylenimine, and related dendrimers and dendrons possessing different 1→2 branching motifs: An overview of the divergent procedures. Polymer 2008, 49, 1–173. [Google Scholar] [CrossRef]
  4. Hawker, C.J.; Frechet, J.M.J. A new convergent approach to monodisperse dendritic macromolecules. J. Chem. Soc.-Chem. Commun. 1990, 1990, 1010–1013. [Google Scholar] [CrossRef]
  5. Hawker, C.J.; Frechet, J.M.J. Preparation of polymers with controlled molecular architecture. A new convergent approach to dendritic macromolecules. J. Am. Chem. Soc. 1990, 112, 7638–7647. [Google Scholar] [CrossRef]
  6. Sowinska, M.; Urbanczyk-Lipkowska, Z. Advances in the chemistry of dendrimers. New J. Chem. 2014, 38, 2168–2203. [Google Scholar] [CrossRef]
  7. Abbasi, E.; Aval, S.F.; Akbarzadeh, A.; Milani, M.; Nasrabadi, H.T.; Joo, S.W.; Hanifehpour, Y.; Nejati-Koshki, K.; Pashaei-Asl, R. Dendrimers: Synthesis, applications, and properties. Nanoscale Res. Lett. 2014, 9, 247. [Google Scholar] [CrossRef] [PubMed]
  8. Tomalia, D.A.; Baker, H.; Dewald, J.; Hall, M.; Kallos, G.; Martin, S.; Roeck, J.; Ryder, J.; Smith, P. A new class of polymers: Starburst-dendritic macromolecules. Polym. J. 1985, 17, 117–132. [Google Scholar] [CrossRef]
  9. Denkewalter, R.G.; Kolc, J.F.; Lukasavage, W.J. Macromolecular Highly Branched Homogeneous Compound Based on Lysine Units. U.S. Patent US4289872A, 15 September 1981. [Google Scholar]
  10. Worner, C.; Mulhaupt, R. Polynitrile-Functional and Polyamine-Functional Poly(Trimethylene Imine) Dendrimers. Angew. Chem.-Int. Edit. Engl. 1993, 32, 1306–1308. [Google Scholar] [CrossRef]
  11. de Brabander van den Berg, E.M.M.; Meijer, E.W. Poly(Propylene Imine) Dendrimers: Large-Scale Synthesis by Hetereogeneously Catalyzed Hydrogenations. Angew. Chem.-Int. Edit. Engl. 1993, 32, 1308–1311. [Google Scholar] [CrossRef]
  12. Launay, N.; Caminade, A.M.; Lahana, R.; Majoral, J.P. A general synthetic strategy for neutral phosphorus-containing dendrimers. Angew. Chem.-Int. Edit. Engl. 1994, 33, 1589–1592. [Google Scholar] [CrossRef]
  13. Caminade, A.M.; Laurent, R.; Turrin, C.O.; Rebout, C.; Delavaux-Nicot, B.; Ouali, A.; Zablocka, M.; Majoral, J.P. Phosphorus dendrimers as viewed by P-31 NMR spectroscopy; synthesis and characterization. C. R. Chim. 2010, 13, 1006–1027. [Google Scholar] [CrossRef]
  14. Galliot, C.; Larre, C.; Caminade, A.M.; Majoral, J.P. Regioselective stepwise growth of dendrimer units in the internal voids of a main dendrimer. Science 1997, 277, 1981–1984. [Google Scholar] [CrossRef]
  15. Caminade, A.M. Inorganic dendrimers: Recent advances for catalysis, nanomaterials, and nanomedicine. Chem. Soc. Rev. 2016, 45, 5174–5186. [Google Scholar] [CrossRef] [PubMed]
  16. Caminade, A.M.; Maraval, A.; Majoral, J.P. Phosphorus-containing dendrons: Synthesis, reactivity, properties, and use as building blocks for various dendritic architectures. Eur. J. Inorg. Chem. 2006, 2006, 887–901. [Google Scholar] [CrossRef]
  17. Caminade, A.-M.; Hameau, A.; Majoral, J.-P. The specific functionalization of cyclotriphosphazene for the synthesis of smart dendrimers. Dalton Trans. 2016, 45, 1810–1822. [Google Scholar] [CrossRef] [PubMed]
  18. Zibarov, A.; Oukhrib, A.; Aujard Catot, J.; Turrin, C.-O.; Caminade, A.-M. AB5 Derivatives of Cyclotriphosphazene for the Synthesis of Dendrons and Their Applications. Molecules 2021, 26, 4017. [Google Scholar] [CrossRef] [PubMed]
  19. Dahan, A.; Portnoy, M. Dendrons and dendritic catalysts immobilized on solid support: Synthesis and dendritic effects in catalysis. J. Polym. Sci. Part. A-Polym. Chem. 2005, 43, 235–262. [Google Scholar] [CrossRef]
  20. Kehat, T.; Goren, K.; Portnoy, M. Dendrons on insoluble supports: Synthesis and applications. New J. Chem. 2007, 31, 1218–1242. [Google Scholar] [CrossRef]
  21. Walter, A.; Garofalo, A.; Parat, A.; Martinez, H.; Felder-Flesch, D.; Begin-Colin, S. Functionalization strategies and dendronization of iron oxide nanoparticles. Nanotechnol. Rev. 2015, 4, 581–593. [Google Scholar] [CrossRef]
  22. Paez, J.I.; Martinelli, M.; Brunetti, V.; Strumia, M.C. Dendronization: A Useful Synthetic Strategy to Prepare Multifunctional Materials. Polymers 2012, 4, 355–395. [Google Scholar] [CrossRef]
  23. Turrin, C.O.; Maraval, V.; Caminade, A.M.; Majoral, J.P.; Mehdi, A.; Reye, C. Organic-inorganic hybrid materials incorporating phosphorus-containing dendrimers. Chem. Mater. 2000, 12, 3848–3856. [Google Scholar] [CrossRef]
  24. Boury, B.; Corriu, R.J.P.; Nunez, R. Hybrid xerogels from dendrimers and arborols. Chem. Mater. 1998, 10, 1795–1804. [Google Scholar] [CrossRef]
  25. Kriesel, J.W.; Tilley, T.D. Synthesis and chemical functionalization of high surface area dendrimer-based xerogels and their use as new catalyst supports. Chem. Mater. 2000, 12, 1171–1179. [Google Scholar] [CrossRef]
  26. Staudinger, H.; Meyer, J. Über neue organische Phosphorverbindungen III. Phosphinmethylenderivate und Phosphinimine. J. Helv. Chim. Acta 1919, 2, 635–646. [Google Scholar] [CrossRef]
  27. Pietrusiewicz, K.M.; Zablocka, M. Optically-active Phosphine Oxides.5. P-Chiral 2-Aminoethyl Phosphine Oxides. Tetrahedron Lett. 1988, 29, 1991–1992. [Google Scholar] [CrossRef]
  28. Maraval, V.; Laurent, R.; Donnadieu, B.; Mauzac, M.; Caminade, A.M.; Majoral, J.P. Rapid synthesis of phosphorus-containing dendrimers with controlled molecular architectures: First example of surface-block, layer-block, and segment-block dendrimers issued from the same dendron. J. Am. Chem. Soc. 2000, 122, 2499–2511. [Google Scholar] [CrossRef]
  29. Bardestani, R.; Patience, G.S.; Kaliaguine, S. Experimental methods in chemical engineering: Specific surface area and pore size distribution measurements-BET, BJH, and DFT. Can. J. Chem. Eng. 2019, 97, 2781–2791. [Google Scholar] [CrossRef]
  30. Riegert, D.; Pla-Quintana, A.; Fuchs, S.; Laurent, R.; Turrin, C.O.; Duhayon, C.; Majoral, J.P.; Chaumonnot, A.; Caminade, A.M. Diversified Strategies for the Synthesis of Bifunctional Dendrimeric Structures. Eur. J. Org. Chem. 2013, 2013, 5414–5422. [Google Scholar] [CrossRef]
  31. White, C.M.; Strazisar, B.R.; Granite, E.J.; Hoffman, J.S.; Pennline, H.W. Separation and capture of CO2 from large stationary sources and sequestration in geological formations—Coalbeds and deep saline aquifers. J. Air Waste Manag. Assoc. 2003, 53, 645–715. [Google Scholar] [CrossRef] [PubMed]
  32. Zhang, K.Q.; Wang, R. A critical review on new and efficient adsorbents for CO2 capture. Chem. Eng. J. 2024, 485, 141506. [Google Scholar] [CrossRef]
  33. Bilgili, F.; Kocak, E.; Bulut, U. The dynamic impact of renewable energy consumption on CO2 emissions: A revisited Environmental Kuznets Curve approach. Renew. Sustain. Energy Rev. 2016, 54, 838–845. [Google Scholar] [CrossRef]
  34. Zhao, D.Y.; Feng, J.L.; Huo, Q.S.; Melosh, N.; Fredrickson, G.H.; Chmelka, B.F.; Stucky, G.D. Triblock copolymer syntheses of mesoporous silica with periodic 50 to 300 angstrom pores. Science 1998, 279, 548–552. [Google Scholar] [CrossRef] [PubMed]
  35. Stowe, H.M.; Hwang, G.S. Fundamental Understanding of CO2 Capture and Regeneration in Aqueous Amines from First-Principles Studies: Recent Progress and Remaining Challenges. Ind. Eng. Chem. Res. 2017, 56, 6887–6899. [Google Scholar] [CrossRef]
  36. Riegert, D.; Bareille, L.; Laurent, R.; Majoral, J.P.; Caminade, A.M.; Chaumonnot, A. Silica Functionalized by Bifunctional Dendrimers: Hybrid Nanomaterials for Trapping CO2. Eur. J. Inorg. Chem. 2016, 2016, 3103–3110. [Google Scholar] [CrossRef]
  37. Barriere, C.; Latour, V.; Fau, P.; Caminade, A.M.; Turrin, C.O. Low generation PEGylated phosphorus-containing dendrons with phosphonate anchors. Tetrahedron Lett. 2012, 53, 1908–1911. [Google Scholar] [CrossRef]
  38. Etienne, M.; Grosso, D.; Boissière, C.; Sanchez, C.; Walcarius, A. Electrochemical evidences of morphological transformation in ordered mesoporous titanium oxide thin films. Chem. Commun. 2005, 36, 4566–4568. [Google Scholar] [CrossRef] [PubMed]
  39. Sikwal, D.R.; Kalhapure, R.S.; Govender, T. An emerging class of amphiphilic dendrimers for pharmaceutical and biomedical applications: Janus amphiphilic dendrimers. Eur. J. Pharm. Sci. 2017, 97, 113–134. [Google Scholar] [CrossRef] [PubMed]
  40. Cata, A.; Ienascu, I.M.C.; Stefanut, M.N.; Rosu, D.; Pop, O.-R. Properties and Bioapplications of Amphiphilic Janus Dendrimers: A Review. Pharmaceutics 2023, 15, 589. [Google Scholar] [CrossRef] [PubMed]
  41. Caminade, A.M.; Laurent, R.; Delavaux-Nicot, B.; Majoral, J.P. “Janus” dendrimers: Syntheses and properties. New J. Chem. 2012, 36, 217–226. [Google Scholar] [CrossRef]
  42. Cejas-Sanchez, J.; Kajetanowicz, A.; Grela, K.; Caminade, A.-M.; Sebastian, R.M. Strategies for the Preparation of Phosphorus Janus Dendrimers and Their Properties. Molecules 2023, 28, 5570. [Google Scholar] [CrossRef] [PubMed]
  43. Morimoto, A.; Shimizu, K.; Suzuki, N.; Yagi, S.; Sueyoshi, K.; Endo, T.; Hisamoto, H. Water detection in organic solvents using a copolymer membrane immobilised with a fluorescent intramolecular charge transfer-type dye: Effects of intramolecular hydrogen bonds. Analyst 2024, 149, 1939–1946. [Google Scholar] [CrossRef] [PubMed]
  44. Martinez-Ferrero, E.; Franc, G.; Mazeres, S.; Turrin, C.O.; Boissiere, U.; Caminade, A.M.; Majoral, J.P.; Sanchez, C. Optical properties of hybrid dendritic-mesoporous titania nanocomposite films. Chem.-Eur. J. 2008, 14, 7658–7669. [Google Scholar] [CrossRef] [PubMed]
  45. Lancaster, S.; Mansell, J.P. The role of lysophosphatidic acid on human osteoblast formation, maturation and the implications for bone health and disease. Clin. Lipidol. 2013, 8, 123–135. [Google Scholar] [CrossRef]
  46. de Jong, E.R.; Deloch, N.; Knoll, W.; Turrin, C.O.; Majoral, J.P.; Caminade, A.M.; Koper, I. Synthesis and characterization of bifunctional dendrimers: Preliminary use for the coating of gold surfaces and the proliferation of human osteoblasts (HOB). New J. Chem. 2015, 39, 7194–7205. [Google Scholar] [CrossRef]
  47. Finke, B.; Luethen, F.; Schroeder, K.; Mueller, P.D.; Bergemann, C.; Frant, M.; Ohl, A.; Nebe, B.J. The effect of positively charged plasma polymerization on initial osteoblastic focal adhesion on titanium surfaces. Biomaterials 2007, 28, 4521–4534. [Google Scholar] [CrossRef] [PubMed]
  48. Hernandez-Lopez, J.L.; Khor, H.L.; Caminade, A.M.; Majoral, J.P.; Mittler, S.; Knoll, W.; Kim, D.H. Bioactive multilayer thin films of charged N,N-disubstituted hydrazine phosphorus dendrimers fabricated by layer-by-layer self-assembly. Thin Solid Film. 2008, 516, 1256–1264. [Google Scholar] [CrossRef]
  49. Dreyer, D.R.; Park, S.; Bielawski, C.W.; Ruoff, R.S. The chemistry of graphene oxide. Chem. Soc. Rev. 2010, 39, 228–240. [Google Scholar] [CrossRef] [PubMed]
  50. Compton, O.C.; Nguyen, S.T. Graphene Oxide, Highly Reduced Graphene Oxide, and Graphene: Versatile Building Blocks for Carbon-Based Materials. Small 2010, 6, 711–723. [Google Scholar] [CrossRef] [PubMed]
  51. Kim, H.; Namgung, R.; Singha, K.; Oh, I.K.; Kim, W.J. Graphene oxide-polyethylenimine nanoconstruct as a gene delivery vector and bioimaging tool. Bioconjug. Chem. 2011, 22, 2558–2567. [Google Scholar] [CrossRef] [PubMed]
  52. Liu, Z.; Robinson, J.T.; Sun, X.; Dai, H. PEGylated nanographene oxide for delivery of water-insoluble cancer drugs. J. Am. Chem. Soc. 2008, 130, 10876–10877. [Google Scholar] [CrossRef] [PubMed]
  53. Hummers, W.S.; Offeman, R.E. Preparation of graphitic oxide. J. Am. Chem. Soc. 1958, 80, 1339. [Google Scholar] [CrossRef]
  54. Alami, O.; Laurent, R.; Tasse, M.; Coppel, Y.; Colliere, V.; Bignon, J.; Majoral, J.-P.; El Kazzouli, S.; El Brahmi, N.; Caminade, A.-M. Functionalization of graphene oxide surfaces with phosphorus dendrimer and dendron. Flatchem 2023, 42, 100564. [Google Scholar] [CrossRef]
  55. Eigler, S.; Hu, Y.; Ishii, Y.; Hirsch, A. Controlled functionalization of graphene oxide with sodium azide. Nanoscale 2013, 5, 12136–12139. [Google Scholar] [CrossRef] [PubMed]
  56. Alami, O.; Laurent, R.; Tasse, M.; Coppel, Y.; Bignon, J.; El Kazzouli, S.; Majoral, J.-P.; El Brahmi, N.; Caminade, A.-M. “Click” Chemistry for the Functionalization of Graphene Oxide with Phosphorus Dendrons: Synthesis, Characterization and Preliminary Biological Properties. Chem.-Eur. J. 2023, 29, e202302198. [Google Scholar] [CrossRef] [PubMed]
  57. Zhao, G.; Yu, T.; Wang, R.; Wang, X.; Jing, Y. Synthesis and structure–activity relationship of ethacrynic acid analogues on glutathione-s-transferase P1-1 activity inhibition. Bioorg. Med. Chem. 2005, 13, 4056–4062. [Google Scholar] [CrossRef]
  58. Koechel, D.A. Ethacrynic-acid and related diuretics: Relationship of structure to beneficial and detrimental actions. Annu. Rev. Pharmacol. Toxicol. 1981, 21, 265–293. [Google Scholar] [CrossRef] [PubMed]
  59. Wang, R.; Li, C.; Song, D.; Zhao, G.; Jing, Y. Ethacrynic Acid Butyl-Ester Induces Apoptosis in Leukemia Cells through a Hydrogen Peroxide–Mediated Pathway Independent of Glutathione S-Transferase P1-1 Inhibition. Cancer Res. 2007, 67, 7856–7864. [Google Scholar] [CrossRef] [PubMed]
  60. Yu, L.; Lee, H.; Rho, S.B.; Park, M.K.; Lee, C.H. Ethacrynic Acid: A Promising Candidate for Drug Repurposing as an Anticancer Agent. Int. J. Mol. Sci. 2023, 24, 6712. [Google Scholar] [CrossRef] [PubMed]
  61. El Brahmi, N.; Mignani, S.M.; Caron, J.; El Kazzouli, S.; Bousmina, M.M.; Caminade, A.M.; Cresteil, T.; Majoral, J.P. Investigations on dendrimer space reveal solid and liquid tumor growth-inhibition by original phosphorus-based dendrimers and the corresponding monomers and dendrons with ethacrynic acid motifs. Nanoscale 2015, 7, 3915–3922. [Google Scholar] [CrossRef] [PubMed]
  62. Franc, G.; Kakkar, A.K. “Click” methodologies: Efficient, simple and greener routes to design dendrimers. Chem. Soc. Rev. 2010, 39, 1536–1544. [Google Scholar] [CrossRef] [PubMed]
  63. Arseneault, M.; Wafer, C.; Morin, J.F. Recent Advances in Click Chemistry Applied to Dendrimer Synthesis. Molecules 2015, 20, 9263–9294. [Google Scholar] [CrossRef] [PubMed]
  64. Kolb, H.C.; Finn, M.G.; Sharpless, K.B. Click chemistry: Diverse chemical function from a few good reactions. Angew. Chem. Int. Ed. 2001, 40, 2004–2021. [Google Scholar] [CrossRef]
  65. El Brahmi, N.; El Kazzouli, S.; Mignani, S.M.; Essassi, E.; Aubert, G.; Laurent, R.; Caminade, A.M.; Bousmina, M.M.; Cresteil, T.; Majoral, J.P. Original Multivalent Copper(II)-Conjugated Phosphorus Dendrimers and Corresponding Mononuclear Copper(II) Complexes with Antitumoral Activities. Mol. Pharm. 2013, 10, 1459–1464. [Google Scholar] [CrossRef] [PubMed]
  66. Mignani, S.M.; El Brahmi, N.; El Kazzouli, S.; Laurent, R.; Ladeira, S.; Caminade, A.-M.; Pedziwiatr-Werbicka, E.; Szewczyk, E.M.; Bryszewska, M.; Bousmina, M.M.; et al. Original Multivalent Gold(III) and Dual Gold(III)-Copper(II) Conjugated Phosphorus Dendrimers as Potent Antitumoral and Antimicrobial Agents. Mol. Pharm. 2017, 14, 4087–4097. [Google Scholar] [CrossRef] [PubMed]
  67. Chen, L.; Fan, Y.; Qiu, J.; Laurent, R.; Li, J.; Bignon, J.; Mignani, S.; Caminade, A.-M.; Shi, X.; Majoral, J.-P. Potent Anticancer Efficacy of First-In-Class Cu-II and Au-III Metaled Phosphorus Dendrons with Distinct Cell Death Pathways. Chem.-Eur. J. 2020, 26, 5903–5910. [Google Scholar] [CrossRef]
  68. Apartsin, E.K.; Knauer, N.; Kahlert, U.D.; Caminade, A.-M. Amphiphilic Triazine-Phosphorus Metallodendrons Possessing Anti-Cancer Stem Cell Activity. Pharmaceutics 2022, 14, 393. [Google Scholar] [CrossRef] [PubMed]
  69. Girard, A.; Sandulesco, G. On a new series of reactants of the carbonyl group, their use for the extraction of ketonic substances and for the microchemical characterisation of aldehydes and ketones. Helv. Chim. Acta 1936, 19, 1096–1107. [Google Scholar]
  70. Larpent, C.; Amigoni-Gerbier, S.; De Sousa Delgado, A. Synthesis of metal-complexing nanoparticles by post-functionalisation of reactive nanolatexes produced by microemulsion polymerisation. C. R. Chim. 2003, 6, 1275–1283. [Google Scholar] [CrossRef]
  71. Larpent, C.; Genies, C.; Delgado, A.P.D.; Caminade, A.M.; Majoral, J.P.; Sassi, J.F.; Leising, F. Giant dendrimer-like particles from nanolatexes. Chem. Commun. 2004, 2004, 1816–1817. [Google Scholar] [CrossRef] [PubMed]
  72. Marmillon, C.; Gauffre, F.; Gulik-Krzywicki, T.; Loup, C.; Caminade, A.M.; Majoral, J.P.; Vors, J.P.; Rump, E. Organophosphorus dendrimers as new gelators for hydrogels. Angew. Chem. Int. Ed. 2001, 40, 2626–2629. [Google Scholar] [CrossRef]
  73. Apartsin, E.K.; Grigoryeva, A.E.; Malrin-Fournol, A.; Ryabchikova, E.I.; Venyaminova, A.G.; Mignani, S.; Caminade, A.M.; Majoral, J.P. Hydrogels of Polycationic Acetohydrazone-Modified Phosphorus Dendrimers for Biomedical Applications: Gelation Studies and Nucleic Acid Loading. Pharmaceutics 2018, 10, 120. [Google Scholar] [CrossRef] [PubMed]
  74. El Ghzaoui, A.; Gauffre, F.; Caminade, A.M.; Majoral, J.P.; Lannibois-Drean, H. Self-assembly of water-soluble dendrimers into thermoreversible hydrogels and macroscopic fibers. Langmuir 2004, 20, 9348–9353. [Google Scholar] [CrossRef] [PubMed]
  75. Grass, R.N.; Athanassiou, E.K.; Stark, W.J. Covalently functionalized cobalt nanoparticles as a platform for magnetic separations in organic synthesis. Angew. Chem. Int. Ed. 2007, 46, 4909–4912. [Google Scholar] [CrossRef] [PubMed]
  76. Guo, K.; Bao, L.; Yu, Z.; Lu, X. Carbon encapsulated nanoparticles: Materials science and energy applications. Chem. Soc. Rev. 2024, 53, 11100–11164. [Google Scholar] [CrossRef] [PubMed]
  77. Kainz, Q.M.; Reiser, O. Polymer- and Dendrimer-Coated Magnetic Nanoparticles as Versatile Supports for Catalysts, Scavengers, and Reagents. Acc. Chem. Res. 2014, 47, 667–677. [Google Scholar] [CrossRef] [PubMed]
  78. Ameduri, B. From Vinylidene Fluoride (VDF) to the Applications of VDF-Containing Polymers and Copolymers: Recent Developments and Future Trends. Chem. Rev. 2009, 109, 6632–6686. [Google Scholar] [CrossRef] [PubMed]
  79. Figueira-Duarte, T.M.; Muellen, K. Pyrene-Based Materials for Organic Electronics. Chem. Rev. 2011, 111, 7260–7314. [Google Scholar] [CrossRef] [PubMed]
  80. Folgado, E.; Guerre, M.; Mimouni, N.; Colliere, V.; Bijani, C.; Ching, K.M.C.; Caminade, A.M.; Ladmiral, V.; Ameduri, B.; Ouali, A. pi-Stacking Interactions of Graphene-Coated Cobalt Magnetic Nanoparticles with Pyrene-Tagged Dendritic Poly(Vinylidene Fluoride). Chempluschem 2019, 84, 78–84. [Google Scholar] [CrossRef] [PubMed]
  81. Mery, D.; Astruc, D. Dendritic catalysis: Major concepts and recent progress. Coord. Chem. Rev. 2006, 250, 1965–1979. [Google Scholar] [CrossRef]
  82. Ming, C.; Kwong, F.Y. Palladium-catalyzed cross-coupling reactions of aryl mesylates. Chem. Soc. Rev. 2011, 40, 4963–4972. [Google Scholar] [CrossRef]
  83. Pandit, A.P.; Bhanushali, V.P.; Patel, S.A.; Kandekar, U.Y.; Kakad, V.D.; Deshpande, T.C. Topical felbinac loaded cubosomal hydrogel for promising treatment of inflammatory pain. J. Dispers. Sci. Technol. 2024, 1–11. [Google Scholar] [CrossRef]
  84. Keller, M.; Colliere, V.; Reiser, O.; Caminade, A.M.; Majoral, J.P.; Ouali, A. Pyrene-Tagged Dendritic Catalysts Noncovalently Grafted onto Magnetic Co/C Nanoparticles: An Efficient and Recyclable System for Drug Synthesis. Angew. Chem. Int. Ed. 2013, 52, 3626–3629. [Google Scholar] [CrossRef] [PubMed]
  85. Barath, E. Hydrogen Transfer Reactions of Carbonyls, Alkynes, and Alkenes with Noble Metals in the Presence of Alcohols/Ethers and Amines as Hydrogen Donors. Catalysts 2018, 8, 671. [Google Scholar] [CrossRef]
  86. Asri, H.; Dautel, O.; Ouali, A. Terpyridine-Ru Complexes Noncovalently Supported on Cobalt Magnetic Nanoparticles for Nitroarene Transfer Hydrogenation. ACS Appl. Nano Mater. 2020, 3, 11811–11818. [Google Scholar] [CrossRef]
  87. Rossi, L.M.; Fiorio, J.L.; Garcia, M.A.S.; Ferraz, C.P. The role and fate of capping ligands in colloidally prepared metal nanoparticle catalysts. Dalton Trans. 2018, 47, 5889–5915. [Google Scholar] [CrossRef] [PubMed]
  88. Garcia-Pena, N.G.; Redon, R.; Herrera-Gomez, A.; Leticia Fernandez-Osorio, A.; Bravo-Sanchez, M.; Gomez-Sosa, G. Solventless synthesis of ruthenium nanoparticles. Appl. Surf. Sci. 2015, 340, 25–34. [Google Scholar] [CrossRef]
  89. Garcia-Pena, N.G.; Caminade, A.M.; Ouali, A.; Redon, R.; Turrin, C.O. Solventless synthesis of Ru(0) composites stabilized with polyphosphorhydrazone (PPH) dendrons and their use in catalysis. RSC Adv. 2016, 6, 64557–64567. [Google Scholar] [CrossRef]
  90. Svenson, S. The dendrimer paradox—High medical expectations but poor clinical translation. Chem. Soc. Rev. 2015, 44, 4131–4144. [Google Scholar] [CrossRef] [PubMed]
  91. Daniel Pedro-Hernandez, L.; Martinez-Garcia, M. Dendrimer Applications: A Brief Review. Curr. Org. Chem. 2021, 25, 1247–1269. [Google Scholar] [CrossRef]
  92. Tomalia, D.A. Dendrimers, Dendrons, and the Dendritic State: Reflection on the Last Decade with Expected New Roles in Pharma, Medicine, and the Life Sciences. Pharmaceutics 2024, 16, 1530. [Google Scholar] [CrossRef] [PubMed]
Scheme 1. Schematized convergent (A) and divergent (B) synthesis of dendrons. Unreactive groups are in red, reactive groups are in light green, and groups to be activated before reacting are in blue.
Scheme 1. Schematized convergent (A) and divergent (B) synthesis of dendrons. Unreactive groups are in red, reactive groups are in light green, and groups to be activated before reacting are in blue.
Jcs 09 00382 sch001
Scheme 2. Synthesis of dendrons having a triethoxysilyl group at the core, from the start [23].
Scheme 2. Synthesis of dendrons having a triethoxysilyl group at the core, from the start [23].
Jcs 09 00382 sch002
Scheme 3. Synthesis of dendrons having a triethoxysilyl group at the core, added in the last step [23].
Scheme 3. Synthesis of dendrons having a triethoxysilyl group at the core, added in the last step [23].
Jcs 09 00382 sch003
Scheme 4. Other method of dendrons synthesis, with a triethoxysilyl group added in the last step [23].
Scheme 4. Other method of dendrons synthesis, with a triethoxysilyl group added in the last step [23].
Jcs 09 00382 sch004
Scheme 5. Use of dendrons of families 1-Si-Gn, 5-Si-Gn, and 8-Si-Gn with TEOS and water to obtain functionalized silica xerogels after drying [23].
Scheme 5. Use of dendrons of families 1-Si-Gn, 5-Si-Gn, and 8-Si-Gn with TEOS and water to obtain functionalized silica xerogels after drying [23].
Jcs 09 00382 sch005
Scheme 6. Structure of dendrons 8-Si-G1(NHBoc)4 and 8-Si-G2(NHBoc)8, and synthesis of dendron 11-Si-G1(NHBoc)10 [30].
Scheme 6. Structure of dendrons 8-Si-G1(NHBoc)4 and 8-Si-G2(NHBoc)8, and synthesis of dendron 11-Si-G1(NHBoc)10 [30].
Jcs 09 00382 sch006
Scheme 7. Grafting of dendrons to silica, deprotection of their terminal functions, and their use for CO2 capture [36].
Scheme 7. Grafting of dendrons to silica, deprotection of their terminal functions, and their use for CO2 capture [36].
Jcs 09 00382 sch007
Scheme 8. Grafting a dendron to silica through its terminal azabisphosphonate functions [37].
Scheme 8. Grafting a dendron to silica through its terminal azabisphosphonate functions [37].
Jcs 09 00382 sch008
Scheme 9. Synthesis of a fluorescent dendron, its grafting to TiO2, to produce a device for sensing phenols. Efficiency of fluorescence quenching by different phenols [44].
Scheme 9. Synthesis of a fluorescent dendron, its grafting to TiO2, to produce a device for sensing phenols. Efficiency of fluorescence quenching by different phenols [44].
Jcs 09 00382 sch009
Scheme 10. Synthesis of positively and negatively charged dendrons, their grafting onto a gold layer, and their use as support for culture of human osteoblasts (schematized) [46].
Scheme 10. Synthesis of positively and negatively charged dendrons, their grafting onto a gold layer, and their use as support for culture of human osteoblasts (schematized) [46].
Jcs 09 00382 sch010
Scheme 11. Different examples of graphene oxide (GO) functionalization to render it compatible with the grafting of PPH dendrons. Acyl chloride (GO-COCl) for reacting with amines [54], propargyl (CO-CC), and azide (CO-N3) moieties for reacting by “click” chemistry [56].
Scheme 11. Different examples of graphene oxide (GO) functionalization to render it compatible with the grafting of PPH dendrons. Acyl chloride (GO-COCl) for reacting with amines [54], propargyl (CO-CC), and azide (CO-N3) moieties for reacting by “click” chemistry [56].
Jcs 09 00382 sch011
Scheme 12. Synthesis of dendron 18-G1(NH3)1(EA)10 and its grafting to GO-COCl to afford material 18-G1(EA)10@GO [54].
Scheme 12. Synthesis of dendron 18-G1(NH3)1(EA)10 and its grafting to GO-COCl to afford material 18-G1(EA)10@GO [54].
Jcs 09 00382 sch012
Scheme 13. Two families of PPH dendrons grafted to GO by “click” chemistry [56].
Scheme 13. Two families of PPH dendrons grafted to GO by “click” chemistry [56].
Jcs 09 00382 sch013
Scheme 14. PPH dendrons grafted to nanolatex to prevent its aggregation in water [71].
Scheme 14. PPH dendrons grafted to nanolatex to prevent its aggregation in water [71].
Jcs 09 00382 sch014
Scheme 15. Synthesis of a dendron functionalized with a pyrene at the core and 10 PVDF polymer chains on the surface, and its use for reversibly coating cobalt nanoparticles covered by a few graphene layers [80].
Scheme 15. Synthesis of a dendron functionalized with a pyrene at the core and 10 PVDF polymer chains on the surface, and its use for reversibly coating cobalt nanoparticles covered by a few graphene layers [80].
Jcs 09 00382 sch015
Scheme 16. Synthesis of monomer and generations 0 and 1 of dendritic catalysts coated on CoNPs covered by graphene, and their use in Suzuki experiments. Recycling of the catalysts was carried out with a magnet [84].
Scheme 16. Synthesis of monomer and generations 0 and 1 of dendritic catalysts coated on CoNPs covered by graphene, and their use in Suzuki experiments. Recycling of the catalysts was carried out with a magnet [84].
Jcs 09 00382 sch016
Scheme 17. Pyrene–terpyridine complexes of Ru on Co NPs used for transfer hydrogenation of nitrobenzene and recycling experiments [86].
Scheme 17. Pyrene–terpyridine complexes of Ru on Co NPs used for transfer hydrogenation of nitrobenzene and recycling experiments [86].
Jcs 09 00382 sch017
Scheme 18. Synthesis of dendrons having phosphine terminal functions and their use for the stabilization of Ru nanoparticles obtained by milling under air. Use of the resulting Ru nanoparticles for catalyzing the hydrogenation of styrene [89].
Scheme 18. Synthesis of dendrons having phosphine terminal functions and their use for the stabilization of Ru nanoparticles obtained by milling under air. Use of the resulting Ru nanoparticles for catalyzing the hydrogenation of styrene [89].
Jcs 09 00382 sch018
Table 1. Anticancer properties of PPH dendrons and of PPH dendrons attached to GO at 10−5 M, in both cases, against HCT116 cells. Percentage of viability 1 [56].
Table 1. Anticancer properties of PPH dendrons and of PPH dendrons attached to GO at 10−5 M, in both cases, against HCT116 cells. Percentage of viability 1 [56].
Dendron
10−5 M
HCT116
% Viability
Dendron@GO
10−5 M
HCT116
% Viability
GO (alone)80.0 ± 3.5
19a-G10.6 ± 0.219a-G1@GO-N382.1 ± 2.9
19b-G11.8 ± 0.719b-G1@GO-N374.2 ± 1.5
19c-G199.8 ± 3.819c-G1@GO-N394.7 ± 2.4
20a-G14.2 ± 0.420a-G1@GO-CC60.5 ± 1.2
20b-G19.8 ± 0.220b-G1@GO-CC92.5 ± 1.4
20c-G195.5 ± 2.120c-G1@GO-CC98.8 ± 4.1
1 Measures made in triplicate.
Disclaimer/Publisher’s Note: The statements, opinions and data contained in all publications are solely those of the individual author(s) and contributor(s) and not of MDPI and/or the editor(s). MDPI and/or the editor(s) disclaim responsibility for any injury to people or property resulting from any ideas, methods, instructions or products referred to in the content.

Share and Cite

MDPI and ACS Style

Turrin, C.-O.; Maraval, V.; Caminade, A.-M. Investigation of Phosphorus Dendrons and Their Properties for the Functionalization of Materials. J. Compos. Sci. 2025, 9, 382. https://doi.org/10.3390/jcs9080382

AMA Style

Turrin C-O, Maraval V, Caminade A-M. Investigation of Phosphorus Dendrons and Their Properties for the Functionalization of Materials. Journal of Composites Science. 2025; 9(8):382. https://doi.org/10.3390/jcs9080382

Chicago/Turabian Style

Turrin, Cédric-Olivier, Valérie Maraval, and Anne-Marie Caminade. 2025. "Investigation of Phosphorus Dendrons and Their Properties for the Functionalization of Materials" Journal of Composites Science 9, no. 8: 382. https://doi.org/10.3390/jcs9080382

APA Style

Turrin, C.-O., Maraval, V., & Caminade, A.-M. (2025). Investigation of Phosphorus Dendrons and Their Properties for the Functionalization of Materials. Journal of Composites Science, 9(8), 382. https://doi.org/10.3390/jcs9080382

Article Metrics

Back to TopTop