Effect of Carbonate Mineral Fillers on the Dielectric Properties and Fire Resistance of Polar and Non-Polar Halogen-Free Flame-Retardant Polymer Compounds
Abstract
1. Introduction
2. Materials and Methods
3. Results
3.1. Fillers’ Morphology
3.2. Rheological Properties
3.3. Mechanical Properties
4. Discussion
5. Conclusions
- Calcium and magnesium carbonates delivered the best rheological properties in terms of low torque during compounding and high MFI values.
- Magnesium carbonate resulted in the highest elongation at break in both polar and non-polar HFFR matrices.
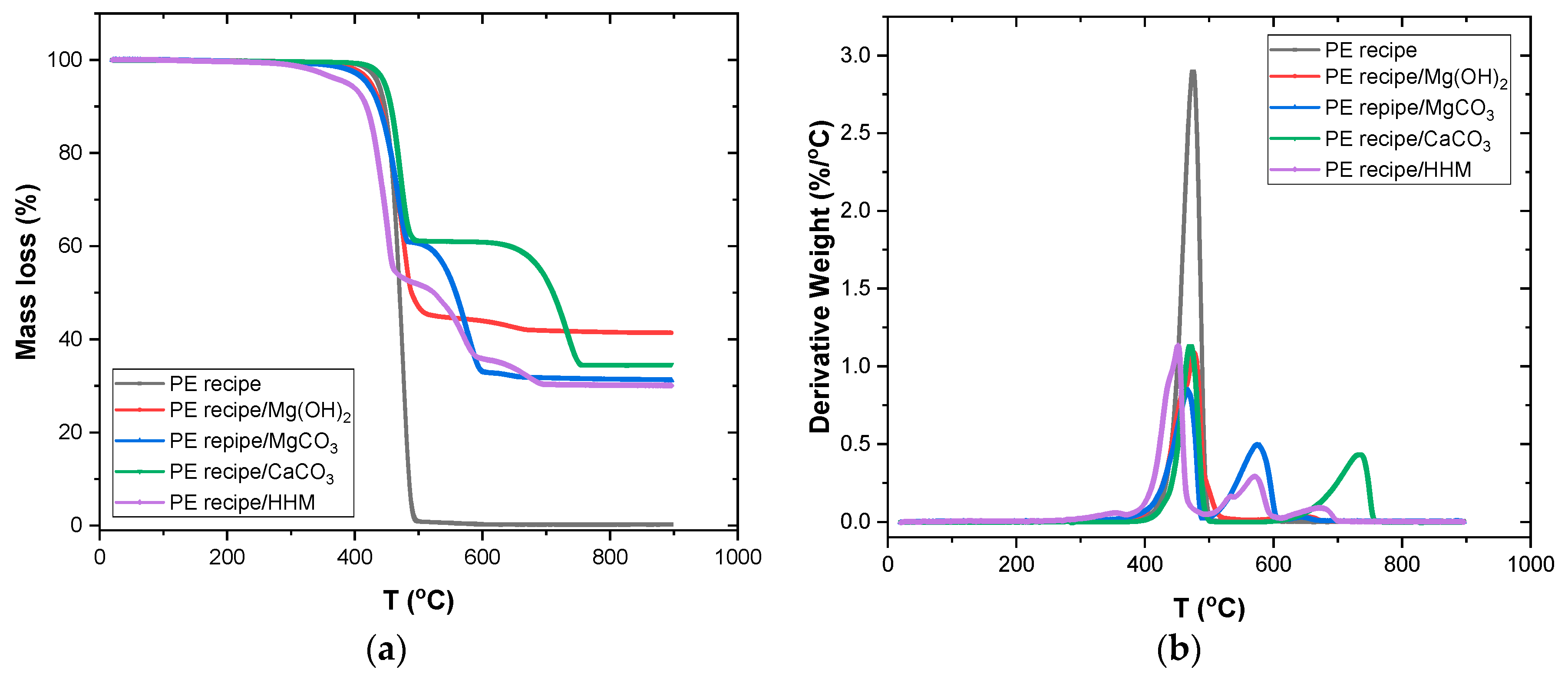
- A remarkable thermal stability improvement was detected when EVA was combined with the carbonate minerals in the HFFR compounds.
- The real part of the dielectric permittivity has been increased through the addition of EVA, while the maximum values for ε’ are recorded at the lowest measured frequency, especially for the HHM mineral, due to its morphology and induced electrical heterogeneity.
- The addition of EVA in the polymer recipe improved the flame resistance in all examined fillers, wherein mineral magnesium hydroxide presented the best fire resistance and magnesium carbonate showed a notable synergistic action with the EVA matrix. The developed composites could meet the requirements of applications like, for example, the construction or the electrical/electronic sectors, wherein there are various classifications in the European regulations according to the respective fire growth rate of the composites [64].
Author Contributions
Funding
Data Availability Statement
Conflicts of Interest
References
- Arao, Y. Flame Retardancy of Polymer Nanocomposite. In Flame Retardants Polymer Blends, Composites and Nanocomposites; Visakh, P.M., Arao, Y., Eds.; Springer: Berlin/Heidelberg, Germany, 2015; pp. 15–44. [Google Scholar]
- Bar, M.; Alagirusamy, R.; Das, A. Flame Retardant Polymer Composites. Fibers Polym. 2015, 16, 705–717. [Google Scholar] [CrossRef]
- Ilyas, R.A.; Sapuan, S.M.; Asyraf, M.R.M.; Norrrahim, M.N.F.; Dayana, D.A.Z.N.; Amelia, J.J.N.; Rani, M.S.A.; Nurazzi, N.M.; Aisyah, H.A.; Sharma, S.; et al. Polymer Composites Filled with Metal Derivatives: A Review of Flame Retardants. Polymers 2021, 13, 1701. [Google Scholar] [CrossRef] [PubMed]
- Shen, J.; Liang, J.; Lin, X.; Lin, H.; Yu, J.; Wang, S. The Flame-Retardant Mechanisms and Preparation of Polymer Composites and Their Potential Application in Construction Engineering. Polymers 2022, 14, 82. [Google Scholar] [CrossRef] [PubMed]
- Innes, J.; Innes, A. Plastic Flame Retardants: Technology and Current Developments; Rapra: Shropshire, UK, 2003; pp. 14–16. [Google Scholar]
- Sauerwein, R. Mineral filler flame retardants. In Non-Halogenated Flame Retardant Handbook; Morgan, A.B., Wilkie, C.A., Eds.; Wiley: Hoboken, NJ, USA, 2014; pp. 75–141. [Google Scholar]
- Samoylenko, D.E.; Rodygin, K.S.; Ananikov, V.P. Sustainable application of calcium carbide residue as a filler for 3D printing materials. Sci. Rep. 2023, 13, 4465. [Google Scholar] [CrossRef]
- Banks, J.D.; Emami, A. Carbon-based piezoresistive polymer nanocomposites by extrusion additive manufacturing: Process, material design, and current progress. 3d Print. Addit. Manuf. 2024, 11, e548–e571. [Google Scholar] [CrossRef]
- Sener, A.A.; Demirhan, E. The investigation of using magnesium hydroxide as a flame retardant in the cable insulation material by cross-linked polyethylene. Mater. Des. 2008, 29, 1376–1379. [Google Scholar] [CrossRef]
- Hollingbery, L.A.; Hull, T.R. The fire retardant effects of huntite in natural mixtures with hydromagnesite. Polym. Degrad. Stab. 2012, 97, 504–512. [Google Scholar] [CrossRef]
- Haveriku, S.; Meucci, M.; Badalassi, M.; Cardelli, C.; Ruggeri, G.; Pucci, A. Optimization of the mechanical properties of polyolefin composites loaded with mineral fillers for flame retardant cables. Micro 2021, 1, 102–119. [Google Scholar] [CrossRef]
- Hollingbery, L.A.; Hull, T.R. The thermal decomposition of huntite and hydromagnesite—A review. Thermochim. Acta 2010, 509, 1–11. [Google Scholar] [CrossRef]
- McGary, K.; Zilberman, J.; Hull, T.R.; Woolley, W.D. Decomposition and combustion of EVA and LDPE alone and when fire retardant with ATH. Polym. Int. 2000, 49, 1193–1198. [Google Scholar] [CrossRef]
- Rothon, R.N.; Hornsby, P.R. Flame retardant effects of magnesium hydroxide. Polym. Degrad. Stab. 1996, 54, 383–385. [Google Scholar] [CrossRef]
- Laoutid, F.; Bonnaud, L.; Alexandre, M.; Lopez-Cuesta, J.-M.; Dubois, P. New prospects in flame retardant polymer materials: From fundamentals to nanocomposites. Mater. Sci. Eng. R Rep. 2009, 63, 100–125. [Google Scholar] [CrossRef]
- Levchik, S.V. Introduction to Flame Retardancy and Polymer Flammability. In Flame Retardant Polymer Nanocomposites; Morgan, A.B., Wilkie, C.A., Eds.; Wiley: Hoboken, NJ, USA, 2007; pp. 1–29. [Google Scholar]
- Weil, E.D.; Levchik, S.V. Flame Retardants for Plastics and Textiles; Hanser: Munich, Germany, 2009; pp. 241–251. [Google Scholar]
- Laoutid, F.; Lorgouilloux, M.; Lesueur, D.; Bonnaud, L.; Dubois, P. Calcium-based hydrated minerals: Promising halogen-free flame retardant and fire resistance additives for polyethylene and ethylene vinyl acetate copolymers. Polym. Degrad. Stab. 2013, 98, 1617–1625. [Google Scholar] [CrossRef]
- Wang, Y.; Yang, X.; Peng, Y.; Wang, F.; Liu, X.; Yang, Y.; Hao, J. Layer-by-layer assembly of multifunctional flame retardant based on brucite, 3-aminopropyltriethoxysilane, and alginate and its applications in ethylene-vinyl acetate resin. ACS Appl. Mater. Interfaces 2016, 8, 9925–9935. [Google Scholar] [CrossRef] [PubMed]
- Liu, Z.; Zhang, Y.; Li, N.; Wen, X.; Nogales, L.A.; Li, L.; Guo, F. Study of nanocarbon black as synergist on improving flame retardancy of ethylene-vinyl acetate/brucite composites. J. Therm. Anal. Calorim. 2019, 136, 601–608. [Google Scholar] [CrossRef]
- Haurie, L.; Fernández, A.I.; Velasco, J.I.; Chimenos, J.M.; Lopez Cuesta, J.-M.; Espiell, F. Thermal stability and flame retardancy of LDPE/EVA blends filled with synthetic hydromagnesite/aluminium hydroxide/montmorillonite and magnesium hydroxide/aluminium hydroxide/montmorillonite mixtures. Polym. Degrad. Stab. 2007, 92, 1082–1087. [Google Scholar] [CrossRef]
- Rigolo, M.; Woodhams, R.T. Basic magnesium carbonate flame retardants for polypropylene. Polym. Eng. Sci. 1992, 32, 327–334. [Google Scholar] [CrossRef]
- Laoutid, F.; Vahabi, H.; Movahedifar, E.; Laheurte, P.; Vagner, C.; Cochez, M.; Brison, L.; Saeb, M.R. Calcium carbonate and ammonium polyphosphate flame retardant additives formulated to protect ethylene vinyl acetate copolymer against fire: Hydrated or carbonated calcium? J. Vinyl Addit. Technol. 2021, 27, 264–274. [Google Scholar] [CrossRef]
- Zhu, J.; Uhl, F.M.; Morgan, A.B.; Wilkie, C.A. Studies on the mechanism by which the for mation of nanocomposites enhances thermal stability. Chem. Mater. 2001, 13, 4649–4654. [Google Scholar] [CrossRef]
- Goodarzi, V.; Monemian, S.A.; Angaji, M.T.; Motahari, S. Improvement of thermal and fire properties of polypropylene. J. Appl. Polym. Sci. 2009, 110, 2971–2979. [Google Scholar] [CrossRef]
- ASTM D1238-10; Standard Test Method for Melt Flow Rates of Thermoplastics by Extrusion Plastometer, American Society for Testing Materials. ASTM International: West Conshohocken, PA, USA, 2013.
- ISO-37:2024; Rubber, vulcanized or thermoplastic — Determination of tensile stress-strain properties, Standards catalogue, ICS, 83, 83.060. ISO: Geneve, Switzerland, 2024.
- ASTM D150-18; Standard Test Methods for AC Loss Characteristics and Permittivity (Dielectric Constant) of Solid Electrical Insulation, American Society for Testing Materials. ASTM International: West Conshohocken, PA, USA, 2022.
- ASTM D2863-19; Standard Test Method for Measuring the Minimum Oxygen Concentration to Support Candle-Like Combustion of Plastics (Oxygen Index), American Society for Testing Materials. ASTM International: West Conshohocken, PA, USA, 2023.
- ASTM D635-22; Standard Test Method for Rate of Burning and/or Extent and Time of Burning of Plastics in a Horizontal Position. ASTM International: West Conshohocken, PA, USA, 2022.
- Gao, Y.; Wang, Q.; Qiu, L.; Wu, J.; Yan, X.; Umar, A.; Guo, J.; Zhang, X.; Wang, J.; Guo, Z. Ethylene-vinyl acetate/LDH nanocomposites with enhanced thermal stability, flame retardancy, and rheological property. Polym. Compos. 2016, 37, 3449–3459. [Google Scholar] [CrossRef]
- Farias, G.M.G.; Agrawal, P.; Hanken, R.B.L.; de Araújo, J.P.; de Oliveira, A.D.B.; de Mélo, T.J.A. Effect of EVA copolymer containing different VA content on the thermal and rheological properties of bio-based high-density polyethylene/ethylene vinyl acetate blends. J. Therm. Anal. Calorim. 2021, 146, 2127–2139. [Google Scholar] [CrossRef]
- Rueda, M.M.; Auscher, M.-C.; Fulchiron, R.; Périé, T.; Martin, G.; Sonntag, P.; Cassagnau, P. Rheology and applications of highly filled polymers: A review of current understanding. Prog. Polym. Sci. 2017, 66, 22–53. [Google Scholar] [CrossRef]
- Barnes, H.A. A review of the rheology of filled viscoelastic systems. Rheol. Rev. 2003, 1–36. [Google Scholar]
- Focke, W.W.; Molefe, D.; Labuschagne, F.J.W.; Ramjee, S. The influence of stearic acid coating on the properties of magnesium hydroxide, hydromagnesite, and hydrotalcite powders. J. Mater. Sci. 2009, 44, 6100–6109. [Google Scholar] [CrossRef][Green Version]
- Gatos, K.G. Natural rubber based polar synthetic rubber blends. In Natural Rubber Materials; Thomas, S., Chan, C.H., Pothen, L.A., Rajisha, K.R., Maria, H.J., Eds.; The Royal Society of Chemistry: Cambridge, UK, 2014; pp. 213–241. [Google Scholar]
- Entezam, M.; Nozari, D.; Mirjalili, M.; Khonakdar, H.A. On the melt rheological behavior and microstructure of nanoclay-filled polyethylene/ethylene vinyl acetate (PE/EVA) blend. Polym.-Plast. Technol. Eng. 2015, 54, 1571–1584. [Google Scholar] [CrossRef]
- Yücesoy, A.; Balçik Tamer, Y.; Berber, H. Improvement of flame retardancy and thermal stability of highly loaded low density polyethylene/magnesium hydroxide composites. J. Appl. Polym. Sci. 2023, 140, e54107. [Google Scholar] [CrossRef]
- Andrikopoulos, K.S.; Bounos, G.; Lainioti, G.C.; Ioannides, T.; Kallitsis, J.K.; Voyiatzis, G.A. Flame retardant nano-structured fillers from huntite/hydromagnesite minerals. Nanomaterials 2022, 12, 2433. [Google Scholar] [CrossRef]
- El-Taweel, S.H. Synergistic effect of ¬TiO2 nanoparticles and poly (ethylene co vinyl acetate) on the morphology and crystallization behavior of polylactic acid. Sci. Rep. 2024, 14, 18142. [Google Scholar] [CrossRef]
- Psarras, G.C. Conductivity and dielectric characterization of polymer nanocomposites. In Physical Properties and Applications of Polymer Nanocomposites; Tjong, S.C., Mai, Y.-M., Eds.; Woodhead Publishing: Cambridge, UK, 2010; pp. 31–69. [Google Scholar]
- Sanida, A.; Stavropoulos, S.G.; Speliotis, T.; Psarras, G.C. Development, characterization, energy storage and interface dielectric properties in SrFe12O19/epoxy nanocomposites. Polymer 2017, 120, 73–81. [Google Scholar] [CrossRef]
- Koufakis, E.; Mathioudakis, G.N.; Patsidis, A.C.; Psarras, G.C. ZnTiO3/epoxy resin nanocomposites: Development, dielectric behaviour and functionality. Polym. Test. 2019, 77, 105870. [Google Scholar] [CrossRef]
- Blatsi, C.; Patsidis, A.C.; Psarras, G.C. Dielectric Properties and Energy Storage of Hybrid/Boron Nitride/Titanium Carbide/Epoxy Nanocomposites. J. Compos. Sci. 2022, 6, 259. [Google Scholar] [CrossRef]
- Patsidis, A.C.; Koufakis, E.; Mathioudakis, G.N.; Vryonis, O.; Psarras, G.C. Development, Dielectric Response, and Functionality of ZnTiO3/BaTiO3/Epoxy Resin Hybrid Nanocomposites. J. Compos. Sci. 2024, 8, 225. [Google Scholar] [CrossRef]
- Gioti, S.; Sanida, A.; Mathioudakis, G.N.; Patsidis, A.C.; Speliotis, T.; Psarras, G.C. Multitasking Performance of Fe3O4/BaTiO3/Epoxy Resin Hybrid Nanocomposites. Materials 2022, 15, 1784. [Google Scholar] [CrossRef]
- Manika, G.C.; Gioti, S.; Sanida, A.; Mathioudakis, G.N.; Abazi, A.; Speliotis, T.; Patsidis, A.C.; Psarras, G.C. Multifunctional Performance of Hybrid SrFe12O19/BaTiO3/Epoxy Resin Nanocomposites. Polymers 2022, 14, 4817. [Google Scholar] [CrossRef]
- Mathioudakis, G.N.; Patsidis, A.C.; Psarras, G.C. Dynamic electrical thermal analysis on zinc oxide/epoxy resin nanodielectrics. J. Therm. Anal. Calorim. 2014, 116, 27–33. [Google Scholar] [CrossRef]
- Lei, Y.; Zhao, X.; Xu, L.; Li, H.; Liang, J.; Yeoh, G.H.; Wang, W. Natural flame retardant minerals for advanced epoxy composites. Fire 2024, 7, 308. [Google Scholar] [CrossRef]
- Hu, X.-P.; Li, Y.-L.; Wang, Y.-Z. Synergistic effect of the charring agent on the thermal and flame retardant properties of polyethylene. Macromol. Mater. Eng. 2004, 289, 208–212. [Google Scholar] [CrossRef]
- Gul, R.; Islam, A.; Yasin, T.; Mir, S. Flame-retardant synergism of sepiolite and magnesium hydroxide in a linear low-density polyethylene composite. J. Appl. Polym. Sci. 2011, 121, 2772–2777. [Google Scholar] [CrossRef]
- Hapuarachchi, T.D.; Peijs, T. Aluminium trihydroxide in combination with ammonium polyphosphate as flame retardants for unsaturated polyester resin. Express Polym. Lett. 2009, 3, 743–751. [Google Scholar] [CrossRef]
- Miyata, S.; Imahashi, T.; Anabuki, H. Fire-retarding polypropylene with magnesium hydroxide. J. Appl. Polym. Sci. 1980, 25, 415–425. [Google Scholar] [CrossRef]
- Savas, L.A.; Arslan, C.; Hacioglu, F.; Dogan, M. Effect of reactive and nonreactive surface modifications and compatibilizer use on mechanical and flame-retardant properties of linear low-density polyethylene filled with huntite and hydromagnesite mineral. J. Therm. Anal. Calorim. 2018, 134, 1657–1666. [Google Scholar] [CrossRef]
- Hull, T.R.; Witkowski, A.; Hollingbery, L. Fire retardant action of mineral fillers. Polym. Degrad. Stab. 2011, 96, 1462–1469. [Google Scholar] [CrossRef]
- Yu, L.; Chen, L.; Dong, L.-P.; Li, L.-J.; Wang, Y.-Z. Organic-inorganic hybrid flame retardant: Preparation, characterization and application in EVA. RSC Adv. 2014, 4, 17812–17821. [Google Scholar] [CrossRef]
- Yen, Y.-Y.; Wang, H.-T.; Guo, W.-J. Synergistic flame retardant effect of metal hydroxide and nanoclay in EVA composites. Polym. Degrad. Stab. 2012, 97, 863–869. [Google Scholar] [CrossRef]
- Gatos, K.G. Flame retardant properties of biocomposites for aircraft applications. In Biocomposites for Industrial Applications; Muthukumar, C., Thiagamani, S.M.K., Krishnasamy, S., Parameswaranpillai, J., Siengchin, S., Eds.; Woodhead Publishing: Cambridge, UK, 2024; pp. 255–273. [Google Scholar]
- Beyer, G. Flame retardancy of nanocomposites—From research to technical products. J. Fire Sci. 2005, 23, 75–87. [Google Scholar] [CrossRef]
- Ma, Z.-L.; Fan, C.-R.; Lu, G.-Y.; Liu, X.-Y.; Zhang, H. Synergy of magnesium and calcium oxides in intumescent flame-retardant polypropylene. J. Appl. Polym. Sci. 2012, 125, 3567–3574. [Google Scholar] [CrossRef]
- Lin, M.; Li, B.; Li, Q.; Li, S.; Zhang, S. Synergistic effect of metal oxides on the flame retardancy and thermal degradation of novel intumescent flame-retardant thermoplastic polyurethanes. J. Appl. Polym. Sci. 2011, 121, 1951–1960. [Google Scholar] [CrossRef]
- Hewitt, F.; Rhebat, D.E.; Witkowski, A.; Hull, T.H. An experimental and numerical model for the release of acetone from decomposition EVA containing aluminium, magnesium or calcium hydroxide flame retardants. Polym. Degrad. Stab. 2016, 127, 65–78. [Google Scholar] [CrossRef]
- Morgan, A.B.; Cogen, J.M.; Opperman, R.S.; Harris, J.D. The effectiveness of magnesium carbonate-based flame retardants for poly(ethylene-co-vinyl acetate) and poly(ethylene-co-ethyl acrylate). Fire Mater. 2007, 31, 387–410. [Google Scholar] [CrossRef]
- Schartel, B.; Kebelmann, K. Fire testing for the development of flame retardant polymeric materials. In Flame Retardant Polymeric Materials, a Handbook; Hu, Y., Wang, X., Eds.; CRC Press: London, UK, 2020; pp. 35–55. [Google Scholar]





| PE Recipe Ingredients | Dosage (phr) | EVA/PE Recipe Ingredients | Dosage (phr) |
|---|---|---|---|
| Lucene LC180 | 40 | Greenflex FL65 | 60 |
| Vistamaxx 6202 | 30 | Lucene LC180 | 20 |
| Exceed 3518 | 20 | Exceed 3518 | 10 |
| Fusabond E226 | 10 | Fusabond E226 | 10 |
| SilmaProcess AL1142A | 3 | SilmaProcess AL1142A | 3 |
| Irganox 1010 | 0.5 | Irganox 1010 | 0.5 |
| Filler (various) | 165 | Filler (various) | 165 |
| Filler Type | PE Recipe | EVA/PE Recipe | ||
|---|---|---|---|---|
| Torque at Plateau (N.m) | MFI 21.6 kg @ 190 °C (gr/10 min) | Torque at Plateau (N.m) | MFI 21.6 kg @ 190 °C (gr/10 min) | |
| MgCO3 | 25.5 | 18.5 | 26.5 | 14.6 |
| CaCO3 | 23.5 | 22.5 | 24.0 | 17.5 |
| Mg(OH)2 | 30.0 | 13.2 | 35.5 | 9.2 |
| HHM | 27.5 | 14.0 | 29.0 | 8.3 |
| Filler Type | PE Recipe | EVA/PE Recipe | ||
|---|---|---|---|---|
| Stress at Break (MPa) | Elongation at Break (%) | Stress at Break (MPa) | Elongation at Break (%) | |
| MgCO3 | 10.9 | 137 | 12.3 | 161 |
| CaCO3 | 10.0 | 116 | 10.1 | 112 |
| Mg(OH)2 | 10.1 | 55 | 11.7 | 53 |
| HHM | 11.0 | 93 | 12.7 | 147 |
| Filler Type | PE Recipe | EVA/PE Recipe | ||
|---|---|---|---|---|
| LOI (%) | UL 94 and ASTM D 635 | LOI (%) | UL 94 and ASTM D 635 | |
| MgCO3 | 23.2 | HB | 31.0 | HB |
| CaCO3 | 23.0 | HB | 26.2 | HB |
| Mg(OH)2 | 31.0 | HB | 38.0 | V-0 |
| HHM | 26.6 | HB | 30.0 | HB |
Disclaimer/Publisher’s Note: The statements, opinions and data contained in all publications are solely those of the individual author(s) and contributor(s) and not of MDPI and/or the editor(s). MDPI and/or the editor(s) disclaim responsibility for any injury to people or property resulting from any ideas, methods, instructions or products referred to in the content. |
© 2024 by the authors. Licensee MDPI, Basel, Switzerland. This article is an open access article distributed under the terms and conditions of the Creative Commons Attribution (CC BY) license (https://creativecommons.org/licenses/by/4.0/).
Share and Cite
Gatos, K.G.; Apostolopoulos, N.; Patsidis, A.C.; Psarras, G.C. Effect of Carbonate Mineral Fillers on the Dielectric Properties and Fire Resistance of Polar and Non-Polar Halogen-Free Flame-Retardant Polymer Compounds. J. Compos. Sci. 2024, 8, 529. https://doi.org/10.3390/jcs8120529
Gatos KG, Apostolopoulos N, Patsidis AC, Psarras GC. Effect of Carbonate Mineral Fillers on the Dielectric Properties and Fire Resistance of Polar and Non-Polar Halogen-Free Flame-Retardant Polymer Compounds. Journal of Composites Science. 2024; 8(12):529. https://doi.org/10.3390/jcs8120529
Chicago/Turabian StyleGatos, Konstantinos G., Nikolaos Apostolopoulos, Anastasios C. Patsidis, and Georgios C. Psarras. 2024. "Effect of Carbonate Mineral Fillers on the Dielectric Properties and Fire Resistance of Polar and Non-Polar Halogen-Free Flame-Retardant Polymer Compounds" Journal of Composites Science 8, no. 12: 529. https://doi.org/10.3390/jcs8120529
APA StyleGatos, K. G., Apostolopoulos, N., Patsidis, A. C., & Psarras, G. C. (2024). Effect of Carbonate Mineral Fillers on the Dielectric Properties and Fire Resistance of Polar and Non-Polar Halogen-Free Flame-Retardant Polymer Compounds. Journal of Composites Science, 8(12), 529. https://doi.org/10.3390/jcs8120529

