Electrical and Mechanical Properties of Sugarcane Bagasse Pyrolyzed Biochar Reinforced Polyvinyl Alcohol Biocomposite Films
Abstract
:1. Introduction
2. Materials and Methods
2.1. Preparation and Characterization of SB Pyrolyzed Biochar
2.2. Preparation and Characterization of Biocomposite Films
3. Results and Discussions
3.1. Biochar Analysis
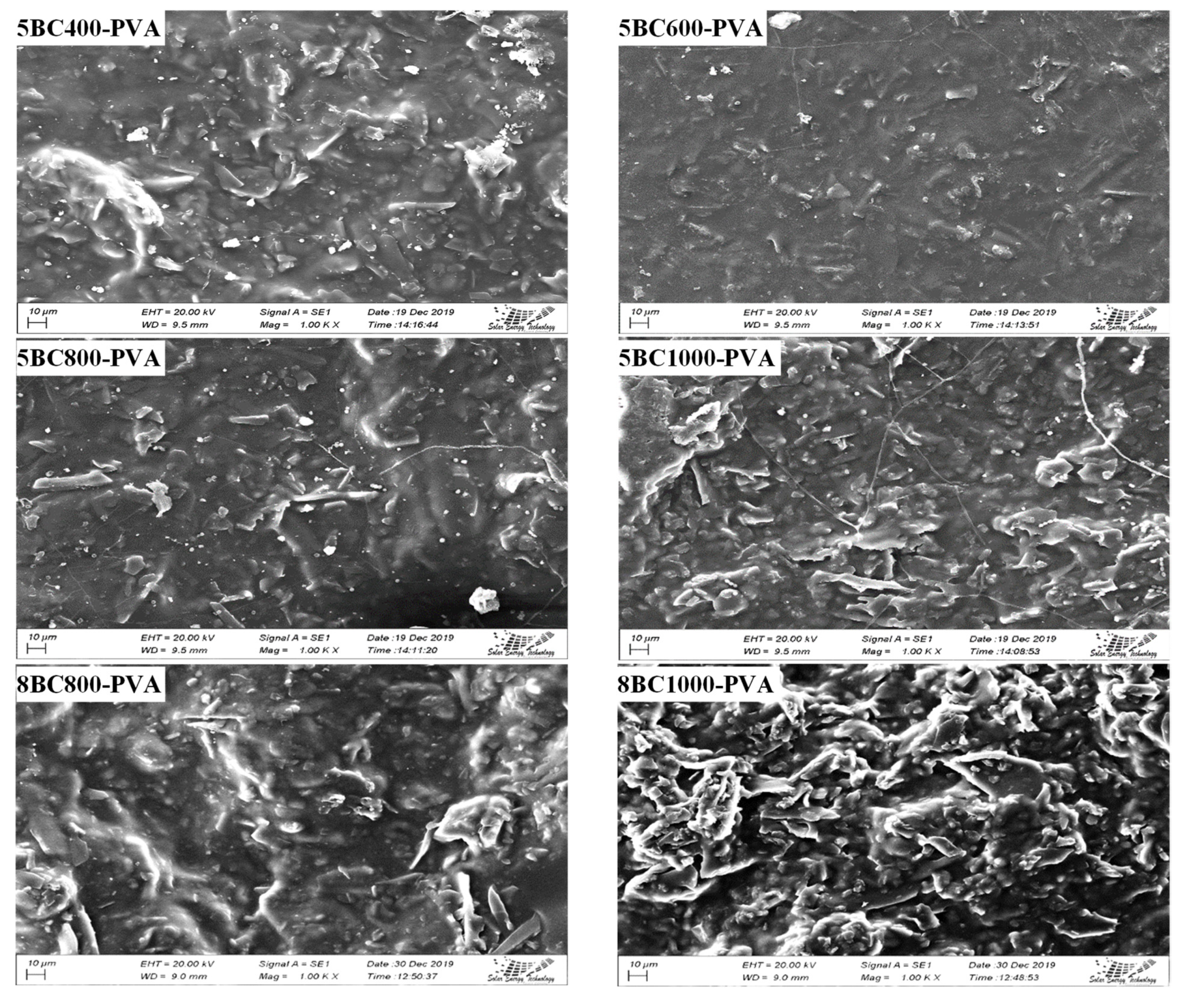
3.1.1. SEM Analysis of Biochar
3.1.2. Proximate Analysis of Biochar
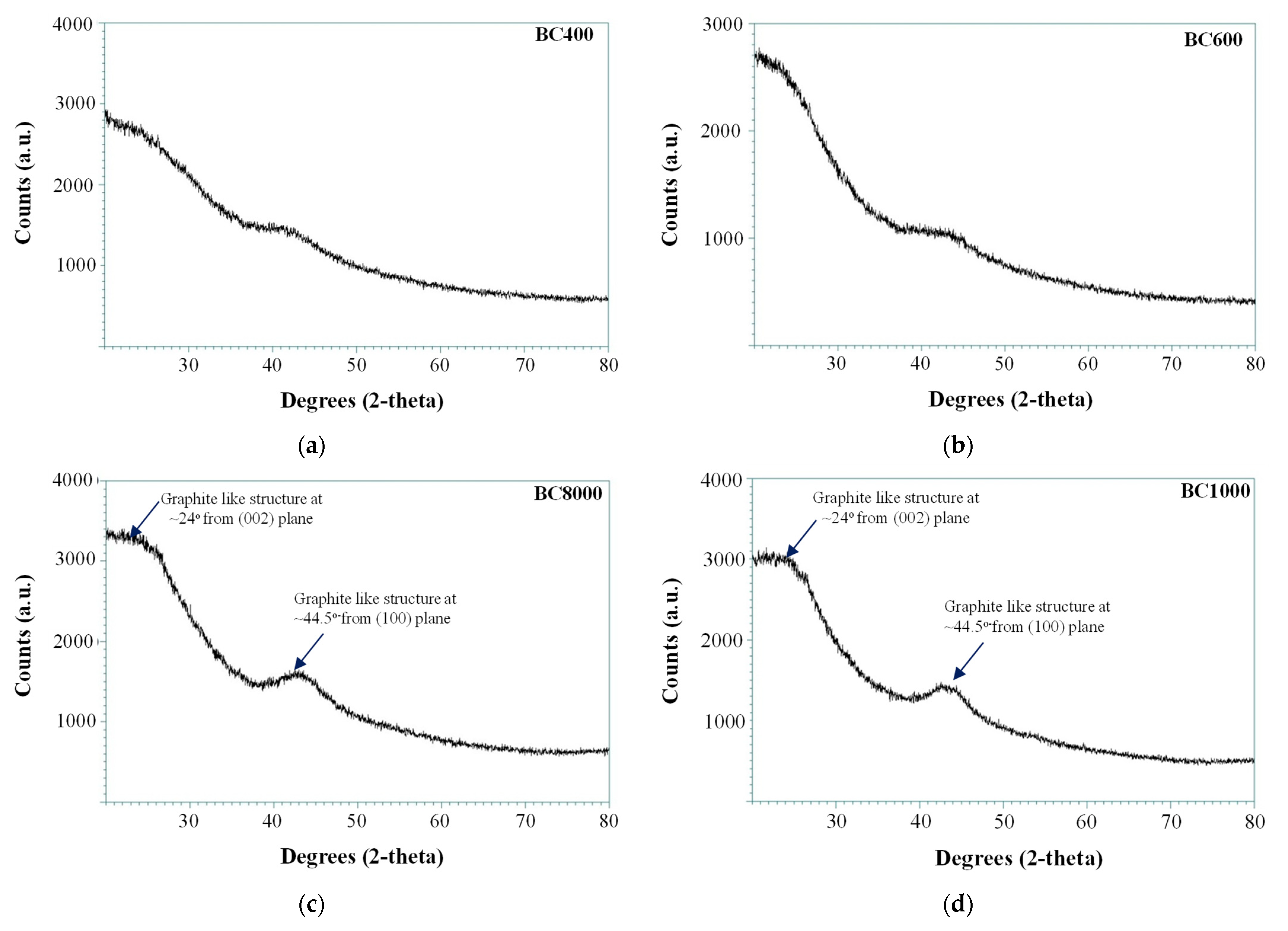
3.1.3. XRD Analysis of Biochar
3.2. Analysis of Biocomposite Films
3.2.1. Surface Characteristics of the Biocomposite Films
3.2.2. FTIR Analysis of the Biocomposite Films
3.2.3. Electrical Conductance of the Biocomposite Films
3.2.4. Tensile Strength of Biocomposite Films
4. Conclusions and Future Work
Author Contributions
Funding
Institutional Review Board Statement
Informed Consent Statement
Data Availability Statement
Acknowledgments
Conflicts of Interest
References
- Pawar, P.R.; Rao, P.; Prakash, G.; Lali, A.M. Organic waste streams as feedstock for the production of high volume-low value products. Environ. Sci. Pollut. Res. 2020, 28, 11904–11914. [Google Scholar] [CrossRef]
- Guo, X.X.; Liu, H.T.; Zhang, J. The role of biochar in organic waste composting and soil improvement: A review. Waste Manag. 2020, 102, 884–899. [Google Scholar] [CrossRef] [PubMed]
- Rushton, L. Health hazards and waste management. Br. Med. Bull. 2003, 68, 183–197. [Google Scholar] [CrossRef] [PubMed]
- Xiu, S.; Shahbazi, A.; Li, R. Characterization, modification and application of biochar for energy storage and catalysis: A review. Trends Renew. Energy 2017, 3, 86–101. [Google Scholar] [CrossRef] [Green Version]
- Xie, X.; Goodell, B.; Qian, Y.; Peterson, M.; Jellison, J. Significance of the heating rate on the physical properties of carbonized maple wood. Holzforschung 2008, 62, 591–596. [Google Scholar] [CrossRef]
- Nan, N.; DeVallance, D.B.; Xie, X.; Wang, J. The effect of bio-carbon addition on the electrical, mechanical, and thermal properties of polyvinyl alcohol/biochar composites. J. Compos. Mater. 2015, 50, 1161–1168. [Google Scholar] [CrossRef]
- Poulose, A.M.; Elnour, A.Y.; Anis, A.; Shaikh, H.; Al-Zahrani, S.; George, J.; Tsang, D.C. Date palm biochar-polymer composites: An investigation of electrical, mechanical, thermal and rheological characteristics. Sci. Total Environ. 2018, 619, 311–318. [Google Scholar] [CrossRef]
- Wang, M.; Duan, X.; Xu, Y.; Duan, X. Functional three-dimensional graphene/polymer composites. ACS Nano 2016, 10, 7231–7247. [Google Scholar] [CrossRef]
- Richard, S.; Rajadurai, J.S.; Manikandan, V. Influence of particle size and particle loading on mechanical and dielectric properties of biochar particulate-reinforced polymer nanocomposites. Int. J. Polym. Anal. Charact. 2016, 21, 462–477. [Google Scholar] [CrossRef]
- Das, O.; Bhattacharyya, D.; Hui, D.; Lau, K.T. Mechanical and flammability characterizations of biochar/polypropylene biocomposites. Compos. Part B Eng. 2016, 106, 120–128. [Google Scholar] [CrossRef]
- Das, O.; Sarmah, A.K.; Bhattacharyya, D. Biocomposites from waste-derived biochars: Mechanical, thermal, chemical, and morphological properties. Waste Manag. 2016, 49, 560–570. [Google Scholar] [CrossRef] [PubMed]
- Das, O.; Sarmah, A.K.; Bhattacharyya, D. Nanoindentation assisted analysis of biochar added biocomposites. Compos. Part B Eng. 2016, 91, 219–227. [Google Scholar] [CrossRef]
- Giorcelli, M.; Bartoli, M.; Sanginario, A.; Padovano, E.; Rosso, C.; Rovere, M.; Tagliaferro, A. High-Temperature Annealed Biochar as a Conductive Filler for the Production of Piezoresistive Materials for Energy Conversion Application. ACS Appl. Electron. Mater. 2021, 3, 838–844. [Google Scholar] [CrossRef]
- Poulose, A.M.; Anis, A.; Shaikh, H.; George, J.; Al-Zahrani, S.M. Effect of plasticizer on the electrical, thermal, and morphological properties of carbon black filled poly (propylene). Polym. Comp. 2017, 38, 2472–2479. [Google Scholar] [CrossRef]
- Das, O.; Sarmah, A.K.; Bhattacharyya, D. A sustainable and resilient approach through biochar addition in wood polymer composites. Sci. Total Environ. 2015, 512, 326–336. [Google Scholar] [CrossRef] [PubMed]
- Khui, P.L.N.; Rahman, R.; Ahmed, A.S.; Kuok, K.K.; Bin Bakri, M.K.; Tazeddinova, D.; Kazhmukanbetkyzy, Z.A.; Torebek, B. Morphological and Thermal Properties of Composites Prepared with Poly (lactic acid), Poly (ethylene-alt-maleic anhydride), and Biochar from Microwave-pyrolyzed Jatropha Seeds. BioResources 2021, 16, 3171–3185. [Google Scholar] [CrossRef]
- Sobhan, A.; Muthukumarappan, K.; Wei, L. Development of bio-nanocomposite films by combination of PLA and biochar for smart food packaging. In ASABE Annual International Virtual Meeting; American Society of Agricultural and Biological Engineers: St. Joseph, MI, USA, 2020; p. 1. [Google Scholar]
- Sobhan, A.; Muthukumarappan, K.; Wei, L.; Qiao, Q.; Rahman, M.T.; Ghimire, N. Development and characterization of a novel activated biochar-based polymer composite for biosensors. Int. J. Polym. Anal. Charact. 2021, 26, 544–560. [Google Scholar] [CrossRef]
- Minugu, O.P.; Gujjala, R.; Shakuntala, O.; Manoj, P.; Chowdary, M.S. Effect of biomass derived biochar materials on mechanical properties of biochar epoxy composites. Proc. Inst. Mech. Eng. Part C J. Mech. Eng. Sci. 2021. [Google Scholar] [CrossRef]
- Zhao, H.; Li, X.; Zhang, L.; Hu, Z.; Zhong, L.; Xue, J. Preparation and bacteriostatic research of porous polyvinyl alcohol/biochar/nanosilver polymer gel for drinking water treatment. Sci. Rep. 2021, 11, 12205. [Google Scholar] [CrossRef]
- Huber, T.; Misra, M.; Mohanty, A.K. The effect of particle size on the rheological properties of polyamide 6/biochar composites. AIP Conf. Proc. 2015, 1664, 150004. [Google Scholar]
- Peterson, S.C.; Kim, S. Reducing biochar particle size with nanosilica and its effect on rubber composite reinforcement. J. Polym. Environ. 2020, 28, 317–322. [Google Scholar] [CrossRef]
- Ahmetli, G.; Kocaman, S.; Ozaytekin, I.; Bozkurt, P. Epoxy composites based on inexpensive char filler obtained from plastic waste and natural resources. Polym. Compos. 2013, 34, 500–509. [Google Scholar] [CrossRef]
- Myllytie, P.; Misra, M.; Mohanty, A.K. Carbonized lignin as sustainable filler in biobased poly(trimethylene terephthalate) polymer for injection molding applications. ACS Sustain. Chem. Eng. 2016, 4, 102–110. [Google Scholar] [CrossRef] [Green Version]
- Nagarajan, V.; Mohanty, A.K.; Misra, M. Biocomposites with size-fractionated biocarbon: Influence of the microstructure on macroscopic properties. ACS Omega 2016, 1, 636–647. [Google Scholar] [CrossRef] [PubMed]
- Gaidukovs, S.; Kampars, V.; Bitenieks, J.; Bochkov, I.; Gaidukova, G.; Cabulis, U. Thermo-mechanical properties of polyurethane modified with graphite oxide and carbon nanotube particles. Integr. Ferroelectr. 2016, 173, 1–11. [Google Scholar] [CrossRef]
- Gaidukovs, S.; Zukulis, E.; Bochkov, I.; Vaivodiss, R.; Gaidukova, G. Enhanced mechanical, conductivity, and dielectric characteristics of ethylene vinyl acetate copolymer composite filled with carbon nanotubes. J. Thermoplast. Compos. Mater. 2018, 31, 1161–1180. [Google Scholar] [CrossRef]
- Bertasius, P.; Macutkevic, J.; Banys, J.; Gaidukovs, S.; Barkane, A.; Vaivodiss, R. Synergy effects in dielectric and thermal properties of layered ethylene vinyl acetate composites with carbon and Fe3O4 nanoparticles. J. Appl. Polym. Sci. 2020, 137, 48814. [Google Scholar] [CrossRef]
- Nie, Y.; Zhao, J.; Zhang, Y.; Zhou, J. Risk Evaluation of “Not-In-My-Back-Yard” Conflict Potential in Facilities Group: A Case Study of Chemical Park in Xuwei New District, China. Sustainability 2020, 12, 2723. [Google Scholar] [CrossRef] [Green Version]
- Tan, B.K.; Ching, Y.C.; Poh, S.C.; Abdullah, L.C.; Gan, S.N. A review of natural fiber reinforced poly (vinyl alcohol) based composites: Application and opportunity. Polymers 2015, 7, 2205–2222. [Google Scholar] [CrossRef] [Green Version]
- Reza, S.M.S.; Islam, S. Utilization Potential of Waste from Sugarcane Factory of Bangladesh as Partial Replacement of Cement in Concrete. J. Environ. Treat. Tech. 2019, 7, 109–112. [Google Scholar]
- Zhang, Z.; Zhu, Z.; Shen, B.; Liu, L. Insights into biochar and hydrochar production and applications: A review. Energy 2019, 171, 581–598. [Google Scholar] [CrossRef]
- Zhang, X.; Zhang, P.; Yuan, X.; Li, Y.; Han, L. Effect of pyrolysis temperature and correlation analysis on the yield and physicochemical properties of crop residue biochar. Bioresour. Technol. 2020, 296, 122318. [Google Scholar] [CrossRef] [PubMed]
- Vieira, F.R.; Romero Luna, C.M.; Arce, G.L.A.F.; Ávila, I. Optimization of slow pyrolysis process parameters using a fixed bed reactor for biochar yield from rice husk. Biomass Bioenergy 2020, 132, 105412. [Google Scholar] [CrossRef]
- Gabhi, R.S.; Kirk, D.W.; Jia, C.Q. Preliminary investigation of electrical conductivity of monolithic biochar. Carbon 2017, 116, 435–442. [Google Scholar] [CrossRef]
- Sun, Y.; Gao, B.; Yao, Y.; Fang, J.; Zhang, M.; Zhou, Y.; Yang, L. Effects of feedstock type, production method, and pyrolysis temperature on biochar and hydrochar properties. Chem. Eng. J. 2014, 240, 574–578. [Google Scholar] [CrossRef]
- Das, O.; Kim, N.K.; Hedenqvist, M.S.; Lin, R.J.; Sarmah, A.K.; Bhattacharyya, D. An attempt to find a suitable biomass for biochar-based polypropylene biocomposites. Environ. Manag. 2018, 62, 403–413. [Google Scholar] [CrossRef] [PubMed] [Green Version]
- Terzioğlu, P.; Parın, F.N. Biochar Reinforced Polyvinyl Alcohol/Corn Starch Biocomposites. Süleyman Demirel Üniv. Fen Bilim. Enst. Derg. 2020, 24, 35–42. [Google Scholar] [CrossRef]
- Ganguly, S.; Mondal, S.; Das, P.; Bhawal, P.; Das, T.K.; Ghosh, S.; Remanan, S.; Das, N.C. An insight into the physico-mechanical signatures of silylated graphene oxide in poly (ethylene methyl acrylate) copolymeric thermoplastic matrix. Macromol. Res. 2019, 27, 268–281. [Google Scholar] [CrossRef]
- Mercader, C.; Denis-Lutard, V.; Jestin, S.; Maugey, M.; Derré, A.; Zakri, C.; Poulin, P. Scalable process for the spinning of PVA–carbon nanotube composite fibers. J. Appl. Polym. Sci. 2012, 125, E191–E196. [Google Scholar] [CrossRef]
- Ganguly, S.; Ghosh, S.; Das, P.; Das, T.K.; Ghosh, S.K.; Das, N.C. Poly (N-vinylpyrrolidone)-stabilized colloidal graphene-reinforced poly (ethylene-co-methyl acrylate) to mitigate electromagnetic radiation pollution. Polym. Bull. 2020, 77, 2923–2943. [Google Scholar] [CrossRef]
- Ogunsona, E.O.; Misra, M.; Mohanty, A.K. Sustainable biocomposites from biobased polyamide 6, 10, and biocarbon from pyrolyzed miscanthus fibers. J. Appl. Polym. Sci. 2017, 134, 44221. [Google Scholar] [CrossRef]











| Biocomposite Film ID | Biochar Content (wt.%) | |
|---|---|---|
| Pure PVA | No biochar | |
| 5BC400-PVA | 5 | BC400 |
| 5BC600-PVA | 5 | BC600 |
| 5BC800-PVA | 5 | BC800 |
| 8BC800-PVA | 8 | |
| 12BC800-PVA | 12 | |
| 5BC1000-PVA | 5 | BC1000 |
| 8BC1000-PVA | 8 | |
| 12BC1000-PVA | 12 | |
| Measured Parameters (wt.%) | Pyrolyzing Temperature (°C) | |||
|---|---|---|---|---|
| 400 | 600 | 800 | 1000 | |
| Moisture | 3.69 | 5.38 | 12.33 | 16.96 |
| Volatile materials | 40.03 | 22.44 | 16.19 | 13.65 |
| Ash content | 4.05 | 5.15 | 6.33 | 6.57 |
| Fixed carbon a | 52.23 | 67.03 | 65.15 | 62.82 |
| Biochar yield | 30.10 | 20.15 | 17.51 | 14.67 |
Publisher’s Note: MDPI stays neutral with regard to jurisdictional claims in published maps and institutional affiliations. |
© 2021 by the authors. Licensee MDPI, Basel, Switzerland. This article is an open access article distributed under the terms and conditions of the Creative Commons Attribution (CC BY) license (https://creativecommons.org/licenses/by/4.0/).
Share and Cite
Ahmed, K.; Hasan, M.; Haider, J. Electrical and Mechanical Properties of Sugarcane Bagasse Pyrolyzed Biochar Reinforced Polyvinyl Alcohol Biocomposite Films. J. Compos. Sci. 2021, 5, 249. https://doi.org/10.3390/jcs5090249
Ahmed K, Hasan M, Haider J. Electrical and Mechanical Properties of Sugarcane Bagasse Pyrolyzed Biochar Reinforced Polyvinyl Alcohol Biocomposite Films. Journal of Composites Science. 2021; 5(9):249. https://doi.org/10.3390/jcs5090249
Chicago/Turabian StyleAhmed, Kawsar, Mahbub Hasan, and Julfikar Haider. 2021. "Electrical and Mechanical Properties of Sugarcane Bagasse Pyrolyzed Biochar Reinforced Polyvinyl Alcohol Biocomposite Films" Journal of Composites Science 5, no. 9: 249. https://doi.org/10.3390/jcs5090249
APA StyleAhmed, K., Hasan, M., & Haider, J. (2021). Electrical and Mechanical Properties of Sugarcane Bagasse Pyrolyzed Biochar Reinforced Polyvinyl Alcohol Biocomposite Films. Journal of Composites Science, 5(9), 249. https://doi.org/10.3390/jcs5090249

