Stress-Strain Behaviour and Mechanical Strengths of Concrete Incorporating Mixed Recycled Plastics
Abstract
1. Introduction
2. Experimental Methodology
2.1. Materials
2.2. Mix Proportion and Specimens Preparation
2.3. Laboratory Tests
3. Test Results and Discussion
3.1. Fresh Properties
3.2. Mechanical Properties
3.2.1. Compressive Strength
3.2.2. Indirect Tensile and Flexural Strengths and Modulus of Elasticity
3.2.3. Comparison between Testing Results and AS 3600 Code Predictions
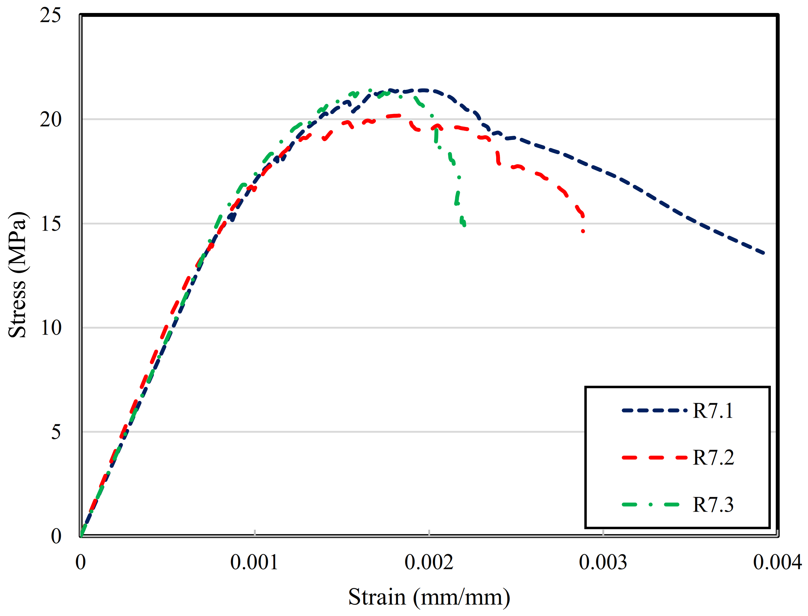
3.2.4. Stress-Strain Curve
3.2.5. Toughness and Ductility
3.2.6. Stress-Strain Curves Comparison with Existing Constitutive Model
3.2.7. Ultrasonic Pulse Velocity (UPV)
4. Concluding Remarks
- Mixed recycled plastic waste tends to reduce the workability of the concrete regardless of the replacement ratios. At a low replacement ratio, the use of different combinations of the three plastic types does not alter the result of workability. In addition, the fresh density decreased in all MRPC mixes as a result of the lower density of plastics. The air content increased with the increase of the plastic replacement ratios in most mixes and appeared to be related to the quality of the plastics.
- The analysis of mechanical testing results clearly indicated that increasing the plastic replacement ratio, as a variable, is more influential than the types of plastics used in the mixes.
- Improvement in failure behaviour is one of the encouraging characters of MRPC. MRPC had less brittle behaviour compared to the control mix. The results also showed that a 15% replacement ratio resulted in higher values of ductility compared to a 30% replacement ratio.
- Carreira and Chu’s model is more accurate than Popovic’s model in predicting the stress-strain behaviour for concrete with mixed recycled plastic.
- For further study, combinations of other types of recycled plastic should be investigated as the ultimate aim of the study is not to separate plastic wastes when mixing them into concrete, thus decreasing the cost and time of processing.
Author Contributions
Funding
Institutional Review Board Statement
Informed Consent Statement
Data Availability Statement
Acknowledgments
Conflicts of Interest
Abbreviations
| ρ | The density of concrete |
| fcmi | In situ compressive strength |
| β | A material parameter that depends on the shape of the curve |
| Eit | The initial tangential modulus |
| ε | Strain of concrete caused by the axial stress |
| ε0 | Concrete strain at the ultimate stress is calculated according to Equations (3) and (7) to correspond with the current experimental results |
References
- O’Farrell, K. 2018–19 Australian Plastics Recycling Survey. March 2020. Available online: https://www.environment.gov.au/protection/waste/publications/australian-plastics-recycling-survey-report-2018-19 (accessed on 2 December 2020).
- Meza, A.; Pujadas, P.; Meza, L.M.; Pardo-Bosch, F.; López-Carreño, R.D. Mechanical Optimization of Concrete with Recycled PET Fibres Based on a Statistical-Experimental Study. Materials 2021, 14, 240. [Google Scholar] [CrossRef] [PubMed]
- Nematzadeh, M.; Shahmansouri, A.A.; Fakoor, M. Post-fire compressive strength of recycled PET aggregate concrete reinforced with steel fibers: Optimization and prediction via RSM and GEP. Constr. Build. Mater. 2020, 252, 119057. [Google Scholar] [CrossRef]
- Jacob-Vaillancourt, C.; Sorelli, L. Characterization of concrete composites with recycled plastic aggregates from post-consumer material streams. Constr. Build. Mater. 2018, 182, 561–572. [Google Scholar] [CrossRef]
- Colangelo, F.; Farina, I. Lightweight concrete with polyolefins as aggregates. In Use of Recycled Plastics in Eco-Efficient Concrete, 1st ed.; Pacheco-Torgal, F., Khatib, J., Colangelo, F., Tuladhar, R., Eds.; Elsevier: Amsterdam, The Netherlands, 2019; pp. 167–187. [Google Scholar]
- Elzafraney, M.; Soroushian, P.; Deru, M. Development of energy-efficient concrete buildings using recycled plastic aggregates. J. Archit. Eng. 2005, 11, 122–130. [Google Scholar] [CrossRef]
- Mohammadinia, A.; Wong, Y.C.; Arulrajah, A.; Horpibulsuk, S. Strength evaluation of utilizing recycled plastic waste and recycled crushed glass in concrete footpaths. Constr. Build. Mater. 2019, 197, 489–496. [Google Scholar] [CrossRef]
- Li, D.; Kaewunruen, S. Mechanical properties of concrete with recycled composite and plastic aggregates. Int. J. GEOMATE 2019, 17, 231–238. [Google Scholar] [CrossRef]
- Standards Australia. General Purpose and Blended Cements, AS 3972; Standards Australia Limited: Sydney, Australia, 2010. [Google Scholar]
- Standards Australia. Methods for Sampling and Testing Aggregates–Particle Density and Water Absorption of Coarse Aggregate–Weighing-in-Water Method, AS1141.6.1; Standards Australia Limited: Sydney, Australia, 2000. [Google Scholar]
- Standards Australia. Particle Density and Water Absorption of Fine Aggregate, AS 1141.5; Standards Australia Limited: Sydney, Australia, 2000. [Google Scholar]
- ASTM D792. Standard Test Methods for Density and Specific Gravity (Relative Density) of Plastics by Displacement; ASTM International: West Conshohocken, PA, USA, 2013. [Google Scholar]
- Standards Australia. Methods for Sampling and Testing Aggregates, Method 11.1: Particle Size Distribution–Sieving Method, AS 1141.11.1; Standards Australia Limited: Sydney, Australia, 2009. [Google Scholar]
- Standards Australia. Methods of Testing Concrete, Preparation of Concrete Mixes in the Laboratory AS 1012.2; Standards Australia Limited: Sydney, Australia, 2014. [Google Scholar]
- Standards Australia. Methods of Testing Concrete, Method for Making and Curing Concrete—Compression and Indirect Tensile Test Specimens, AS 1012.8.1; Standards Australia Limited: Sydney, Australia, 2014. [Google Scholar]
- Standards Australia. Methods of Testing Concrete, Determination of Properties Related to the Consistency of Concrete—Slump Test, AS 1012.3.1; Standards Australia Limited: Sydney, Australia, 2014. [Google Scholar]
- Standards Australia. Methods of Testing Concrete, Method 4.2: Determination of Air Content of Freshly Mixed Concrete—Measuring Reduction in Air Pressure in Chamber Above Concrete, AS 1012.4.2; Standards Australia Limited: Sydney, Australia, 2014. [Google Scholar]
- Australian Standard. Methods of Testing Concrete, Determination of Mass per Unit Volume of Hardned Concrete, As 1012.12.1; Standards Australia Limited: Sydney, Australia, 1998. [Google Scholar]
- Standards Australia. Methods of Testing Concrete, Method 9: Compressive Strength Tests—Concrete, Mortar and Grout Specimens, AS 1012.9; Standards Australia Limited: Sydney, Australia, 2014. [Google Scholar]
- Standards Australia. Methods of Testing Concrete—Determination of Indirect Tensile Strength of Concrete Cylinders (Brasil or Splitting Test), AS 1012.10; Standards Australia Limited: Sydney, Australia, 2000. [Google Scholar]
- Standards Australia. Methods of Testing Concrete, Method 11: Determination of the Modulus of Rupture, AS 1012.11; Standards Australia Limited: Sydney, Australia, 2000. [Google Scholar]
- Standards Australia. Methods of Testing Concrete—Determination of the Static Chord Modulus of Elasticity and Poisson’s Ratio of Concrete Specimens, AS 1012.17; Standards Australia Limited: Sydney, Australia, 1997. [Google Scholar]
- ASTM C597. Standard Test Method for Pulse Velocity through Concrete; ASTM International: West Conshohocken, PA, USA, 2016. [Google Scholar]
- Haghighatnejad, N.; Mousavi, S.Y.; Khaleghi, S.J.; Tabarsa, A.; Yousefi, S. Properties of recycled PVC aggregate concrete under different curing conditions. Constr. Build. Mater. 2016, 126, 943–950. [Google Scholar] [CrossRef]
- Omnexus. Flexural Modulus (Stiffness) of Plastic. Available online: https://omnexus.specialchem.com/polymer-properties/properties/stiffness (accessed on 2 December 2020).
- Mohammed, A.A.; Mohammed, I.I.; Mohammed, S.A. Some properties of concrete with plastic aggregate derived from shredded PVC sheets. Constr. Build. Mater. 2019, 201, 232–245. [Google Scholar] [CrossRef]
- Standards Australia. Concrete Structures, AS 3600; Standards Australia Limited: Sydney, Australia, 2018. [Google Scholar]
- Petrie, E.M. Adhesive Bonding of Polyolefin. Polyurethane 2013, 38, 85. [Google Scholar]
- Polifka, W. Conventional and LSE Bonding Solutions for TPO Materials; ASI-Adhesives and Sealants Industry: Troy, MI, USA, 2012; Available online: https://www.adhesivesmag.com/articles/91151-conventional-and-lse-bonding-solutions-for-tpo-materials (accessed on 2 December 2020).
- Saikia, N.; Brito, J.D. Waste polyethylene terephthalate as an aggregate in concrete. Mater. Res. 2013, 16, 341–350. [Google Scholar] [CrossRef]
- Abu-Saleem, M.; Zhuge, Y.; Hassanli, R.; Ellis, M.; Rahman, M.; Levett, P. Evaluation of concrete performance with different types of recycled plastic waste for kerb application. Constr. Build. Mater. 2021, 293, 123477. [Google Scholar] [CrossRef]
- Kumar, K.S.; Baskar, K. Recycling of E-plastic waste as a construction material in developing countries. J. Mater. Cycles Waste Manag. 2015, 17, 718–724. [Google Scholar] [CrossRef]
- Youssf, O.; Hassanli, R.; Mills, J. Mechanical performance of FRP-confined and unconfined crumb rubber concrete containing high rubber content. J. Build. Eng. 2017, 11, 115–126. [Google Scholar] [CrossRef]
- Popovics, S. A numerical approach to the complete stress-strain curve of concrete. Cem. Concr. Res. 1973, 3, 583–599. [Google Scholar] [CrossRef]
- Carreira, D.J.; Chu, K.-H. Stress-strain relationship for plain concrete in compression. ACI J. Proc. 1985, 82, 797–804. [Google Scholar]
- Marzouk, O.Y.; Dheilly, R.; Queneudec, M. Valorization of post-consumer waste plastic in cementitious concrete composites. Waste Manag. 2007, 27, 310–318. [Google Scholar] [CrossRef] [PubMed]
- Akçaözoğlu, S.; Akçaözoğlu, K.; Atis, C. Thermal conductivity, compressive strength and ultrasonic wave velocity of cementitious composite containing waste PET lightweight aggregate (WPLA). Compos. Part B Eng. 2013, 45, 721–726. [Google Scholar] [CrossRef]
- Rahmani, E.; Dehestani, M.; Beygi, M.H.A.; Allahyari, H.; Nikbin, I.M. On the mechanical properties of concrete containing waste PET particles. Constr. Build. Mater. 2013, 47, 1302–1308. [Google Scholar] [CrossRef]


























| Mix | Mix ID | Rc (%) 1 | Mix Quantities (kg/m3) | |||||||
|---|---|---|---|---|---|---|---|---|---|---|
| Cement | Water | Fine | Coarse | Plastic | SP 2 | |||||
| PET | HDPE | PP | ||||||||
| Control | Control | - | 320.2 | 241.5 | 886.3 | 858.5 | - | - | - | 1.8 |
| PET5% + HDPE5% | R1 | 10 | 320.2 | 241.5 | 886.3 | 772.65 | 19.34 | 15.1 | - | 1.8 |
| PET10% + HDPE10% | R2 | 20 | 320.2 | 241.5 | 886.3 | 686.8 | 38.68 | 30.19 | - | 1.8 |
| PET5% + PP5% | R3 | 10 | 320.2 | 241.5 | 886.3 | 772.65 | 19.34 | - | 14.31 | 1.8 |
| PET10% + PP10% | R4 | 20 | 320.2 | 241.5 | 886.3 | 686.8 | 38.68 | - | 28.61 | 1.8 |
| HDPE5% + PP5% | R5 | 10 | 320.2 | 241.5 | 886.3 | 772.65 | - | 15.1 | 14.31 | 1.8 |
| HDPE10% + PP10% | R6 | 20 | 320.2 | 241.5 | 886.3 | 686.8 | - | 30.19 | 28.61 | 1.8 |
| PET5% + HDPE5% + PP5% | R7 | 15 | 320.2 | 241.5 | 886.3 | 729.73 | 19.34 | 15.1 | 14.31 | 1.8 |
| PET10% + HDPE10% + PP10% | R8 | 30 | 320.2 | 241.5 | 886.3 | 600.95 | 38.68 | 30.19 | 28.61 | 1.8 |
| Mix ID | Slump (mm) | Fresh Density (kg/m3) | Hardened Density (kg/m3) | Air Content (%) |
|---|---|---|---|---|
| Control | 117 | 2306.5 | 2292.2 | 2.2% |
| R1 | 131 | 2237.3 | 2240.2 | 3.7% |
| R2 | 100 | 2161.8 | 2117.0 | 4.8% |
| R3 | 135 | 2229.5 | 2228.3 | 4.2% |
| R4 | 107 | 2195.7 | 2185.9 | 3.7% |
| R5 | 128 | 2199.7 | 2237.6 | 4.9% |
| R6 | 121 | 2105.3 | 2144.8 | 7.2% |
| R7 | 119 | 2175.3 | 2257.0 | 5.8% |
| R8 | 86 | 2101.7 | 2108.0 | 5.4% |
| Mix ID | Compressive Strength | |||||||
|---|---|---|---|---|---|---|---|---|
| 3 Days | 7 Days | 14 Days | 28 Days | |||||
| MPa | SD | MPa | SD | MPa | SD | MPa | SD | |
| Control | 16.6 | 0.75 | 21.9 | 0.79 | 26.1 | 0.49 | 27.3 | 1.07 |
| R1 | 13.5 | 1.32 | 19.0 | 0.46 | 21.2 | 0.65 | 22.1 | 1.37 |
| R2 | 12.5 | 0.45 | 16.1 | 0.52 | 17.4 | 0.92 | 18.0 | 0.81 |
| R3 | 14.6 | 0.69 | 18.2 | 1.17 | 20.7 | 0.49 | 22.6 | 0.55 |
| R4 | 11.2 | 0.30 | 14.5 | 0.28 | 16.4 | 0.68 | 17.1 | 0.33 |
| R5 | 14.5 | 0.56 | 17.6 | 1.50 | 21.3 | 0.46 | 22.5 | 0.68 |
| R6 | 11.6 | 1.00 | 14.7 | 0.19 | 16.6 | 0.62 | 16.6 | 0.18 |
| R7 | 13.9 | 0.42 | 17.2 | 1.70 | 20.1 | 1.20 | 22.4 | 0.37 |
| R8 | 11.5 | 0.49 | 14.7 | 0.14 | 15.3 | 1.31 | 16.3 | 0.18 |
| Mix ID | Indirect Tensile Strength (MPa) | Flexural Strength (MPa) | Modulus of Elasticity (GPa) | ||||||
|---|---|---|---|---|---|---|---|---|---|
| Experimental | AS 3600 | Experimental | AS 3600 | Experimental | AS 3600 | ||||
| MPa | SD | MPa | SD | GPa | SD | ||||
| Control | 2.74 | 0.12 | 1.88 | 3.71 | 0.21 | 3.13 | 27.20 | 0.83 | 24.7 |
| R1 | 2.39 | 0.04 | 1.69 | 3.08 | 0.21 | 2.82 | 24.10 | 0.65 | 21.4 |
| R2 | 1.99 | 0.11 | 1.53 | 2.90 | 0.20 | 2.54 | 19.91 | 0.68 | 17.8 |
| R3 | 2.63 | 0.14 | 1.71 | 3.00 | 0.27 | 2.85 | 24.65 | 0.60 | 21.5 |
| R4 | 2.26 | 0.08 | 1.49 | 2.55 | 0.23 | 2.48 | 19.55 | 1.26 | 18.2 |
| R5 | 2.31 | 0.06 | 1.71 | 3.26 | 0.22 | 2.85 | 23.16 | 0.50 | 21.6 |
| R6 | 1.97 | 0.05 | 1.47 | 2.81 | 0.11 | 2.45 | 19.18 | 0.59 | 17.4 |
| R7 | 2.28 | 0.09 | 1.70 | 3.17 | 0.22 | 2.84 | 22.55 | 0.95 | 21.8 |
| R8 | 1.70 | 0.17 | 1.45 | 2.57 | 0.22 | 2.42 | 16.96 | 1.67 | 16.8 |
Publisher’s Note: MDPI stays neutral with regard to jurisdictional claims in published maps and institutional affiliations. |
© 2021 by the authors. Licensee MDPI, Basel, Switzerland. This article is an open access article distributed under the terms and conditions of the Creative Commons Attribution (CC BY) license (https://creativecommons.org/licenses/by/4.0/).
Share and Cite
Abu-Saleem, M.; Zhuge, Y.; Hassanli, R.; Ellis, M.; Rahman, M.M.; Levett, P. Stress-Strain Behaviour and Mechanical Strengths of Concrete Incorporating Mixed Recycled Plastics. J. Compos. Sci. 2021, 5, 146. https://doi.org/10.3390/jcs5060146
Abu-Saleem M, Zhuge Y, Hassanli R, Ellis M, Rahman MM, Levett P. Stress-Strain Behaviour and Mechanical Strengths of Concrete Incorporating Mixed Recycled Plastics. Journal of Composites Science. 2021; 5(6):146. https://doi.org/10.3390/jcs5060146
Chicago/Turabian StyleAbu-Saleem, Mahmoud, Yan Zhuge, Reza Hassanli, Mark Ellis, Md Mizanur Rahman, and Peter Levett. 2021. "Stress-Strain Behaviour and Mechanical Strengths of Concrete Incorporating Mixed Recycled Plastics" Journal of Composites Science 5, no. 6: 146. https://doi.org/10.3390/jcs5060146
APA StyleAbu-Saleem, M., Zhuge, Y., Hassanli, R., Ellis, M., Rahman, M. M., & Levett, P. (2021). Stress-Strain Behaviour and Mechanical Strengths of Concrete Incorporating Mixed Recycled Plastics. Journal of Composites Science, 5(6), 146. https://doi.org/10.3390/jcs5060146

