Cryogenic Performance and Modelling of Fibre- and Nano-Reinforced Composites: Failure Mechanisms, Toughening Strategies, and Constituent-Level Behaviour
Abstract
1. Introduction
2. Effects of Cryogenic Temperatures on Composite Constituents
2.1. Effects of Cryogenic Temperatures on Polymer Matrix
2.1.1. Thermosets (Epoxy/Cyanate Ester/Bismaleimide)

2.1.2. Thermoplastics (PEEK/PEI/PI/PTFE/UHMWPE)

2.2. Effects of Cryogenic Temperatures on Reinforcement (Fibre and Nano) Properties
2.2.1. Continuous Fibres (Carbon, Glass, Aramid/Kevlar®)
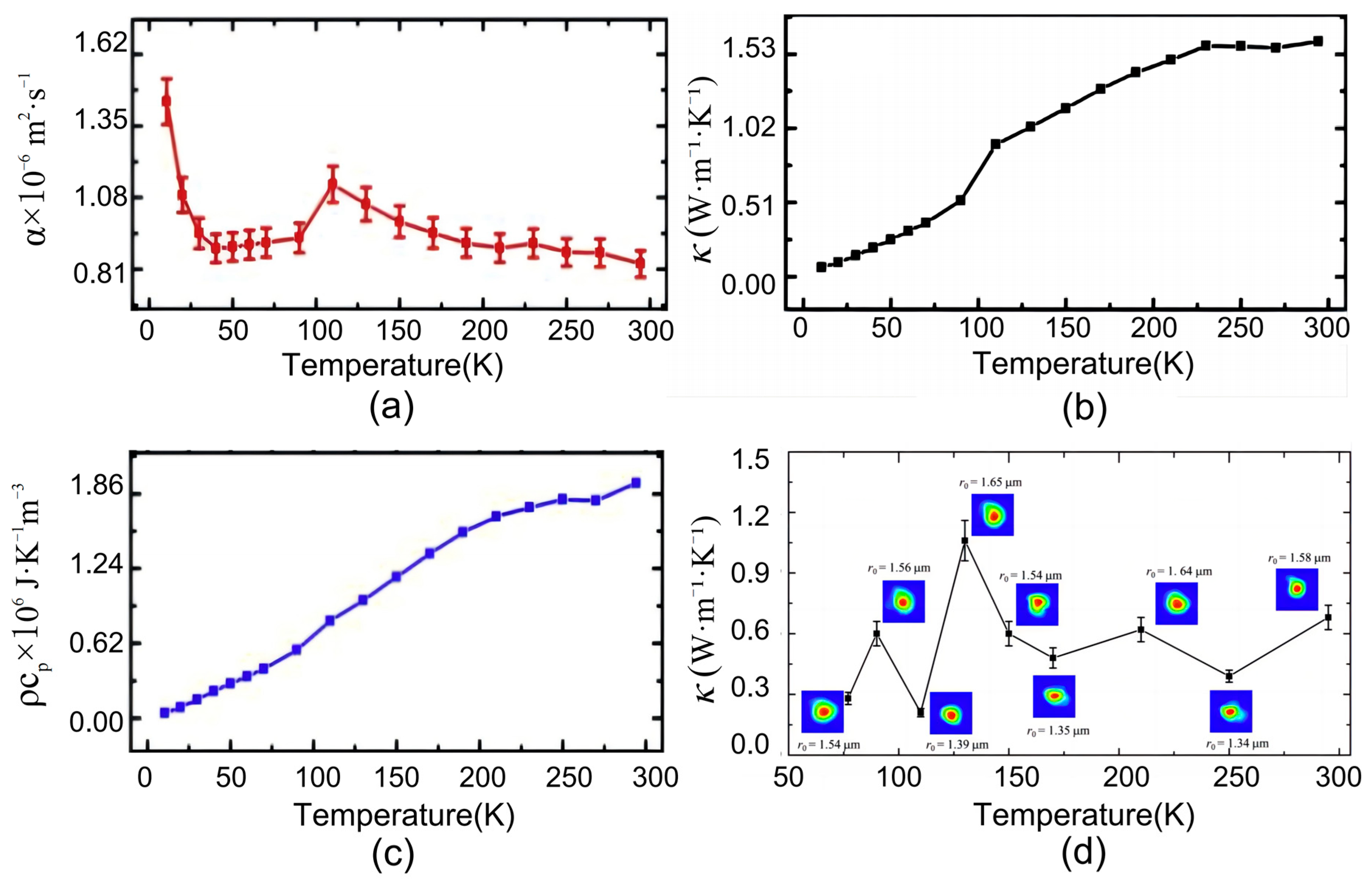
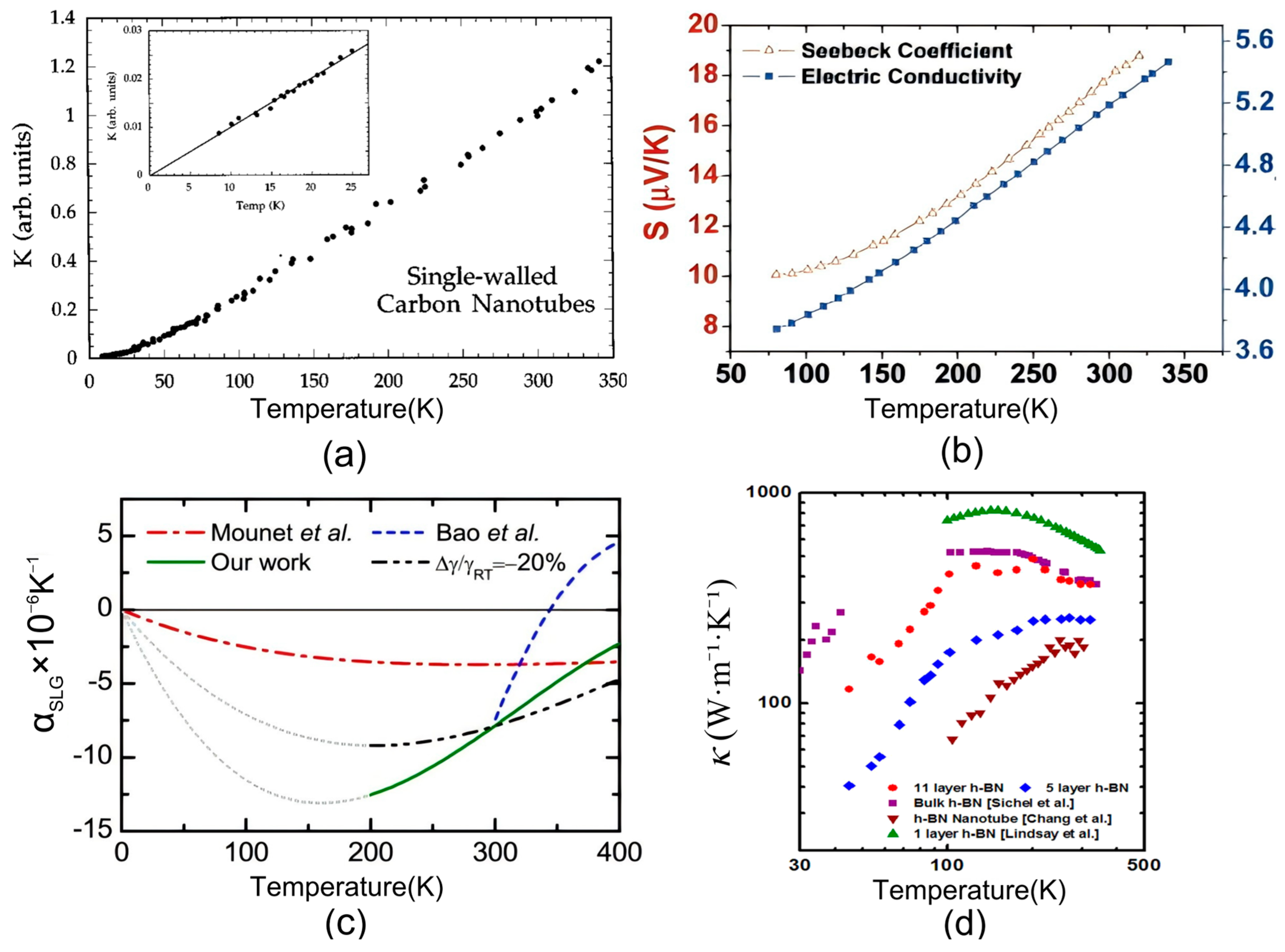
2.2.2. Nano-Reinforcements (CNT/Graphene/h-BN)
3. Mechanical Performance at Low Temperatures
3.1. Thermal Contraction
3.2. Matrix Embrittlement
3.3. Interfacial Strength

4. Nano-Additives and Hybrid Architectures
4.1. Nano-Reinforcements
4.2. Hybrid Composites and Synergetic Effects
5. Modelling Strategies for Low Temperature
5.1. Molecular Dynamics
5.2. Micromechanics Models
5.3. Finite Element Analysis
6. Challenges and Future Directions
7. Conclusions
Author Contributions
Funding
Data Availability Statement
Conflicts of Interest
Abbreviations
| Abbreviation | Full Name |
| AlN | Aluminium Nitride |
| BMI | Bismaleimide |
| BN | Boron Nitride |
| BNNS | Boron Nitride Nanosheets |
| CCA | Composite Cylindrical Assemblage |
| CE | Cyanate Ester |
| CNFs | Carbon Nanofibres |
| CNTs | Carbon Nanotubes |
| COPV | Composite Overwrapped Pressure Vessel |
| CTE | Coefficient of Thermal Expansion |
| CT | Computed Tomography |
| CZM | Cohesive Zone Model |
| DGEBA | Diglycidyl Ether of Bisphenol A |
| DIC | Digital Image Correlation |
| DMA | Dynamic Mechanical Analysis |
| ENF | End-Notched Flexure |
| FCNTs | Functionalised Carbon Nanotubes |
| FEA | Finite Element Analysis |
| FRPs | Fibre-Reinforced Polymer Composites |
| FVDAM | Finite Volume Direct Averaging Micromechanics |
| G-COOH | Carboxylated Graphene |
| GNPs | Graphene Nanoplatelets |
| GO | Graphene Oxide |
| h-BN | Hexagonal Boron Nitride |
| ILSS | Interfacial Shear Strength |
| LJCZM3D | Three-dimensional Lennard-Jones Cohesive Zone Model |
| LOX | Liquid Oxygen |
| MD | Molecular Dynamics |
| MOM | Mechanics of Materials |
| MWCNTs | Multi-Walled Carbon Nanotubes |
| NA | Nano-Al(OH)3 (Nano-alumina hydroxide) |
| NEMD | Non-Equilibrium Molecular Dynamics |
| NP | Nanoparticle |
| PAN | Polyacrylonitrile |
| PDA | Polydopamine |
| PE | Polyethylene |
| PEEK | Polyether Ether Ketone |
| PEI | Polyetherimide |
| PI | Polyimide |
| PMMA | Polymethyl Methacrylate |
| POSS | Polyhedral Oligomeric Silsesquioxane |
| PTFE | Polytetrafluoroethylene |
| PU | Polyurethane |
| RVE | Representative Volume Element |
| SBFEM | Scaled Boundary Finite Element Method |
| SCA | Self-Consistent Clustering Analysis |
| SEM | Scanning Electron Microscopy |
| SiO2 | Silicon Dioxide (Nano-silica) |
| SWCNTs | Single-Walled Carbon Nanotubes |
| TDTR | Time-Domain Thermoreflectance |
| TEM | Transmission Electron Microscopy |
| TET | Transient Electro-Thermal |
| TMA | Thermo-Mechanical Analysis/Dilatometry |
| UHMWPE | Ultra-High-Molecular-Weight Polyethylene |
| VCCT | Virtual Crack Closure Technique |
| XFEM | Extended Finite Element Method |
| ZrW2O8 | Zirconium Tungstate |
References
- Sápi, Z.; Butler, R. Properties of cryogenic and low temperature composite materials–A review. Cryogenics 2020, 111, 103190. [Google Scholar] [CrossRef]
- Lin, Z.; Li, J.; Sun, Z.; Fang, A.D.; Han, K.; Jia, S.; Liu, Y.-H.; Adams, M.J.; Moon, K.-S.; Wong, C.-P. Facile chemical surface modification of boron nitride platelets and improved thermal and mechanical properties of their polymer compounds for 2.5 D/3D packaging applications. Compos. Sci. Technol. 2024, 256, 110778. [Google Scholar] [CrossRef]
- Chen, Y.; Ye, L.; Escobedo-Diaz, J.P.; Zhang, Y.-X.; Fu, K. Quasi-static and dynamic progressive crushing of CF/EP composite sandwich panels under in-plane localised compressive loads. Compos. Struct. 2019, 222, 110839. [Google Scholar] [CrossRef]
- Chen, Y.; Ye, L.; Escobedo-Diaz, J.P.; Zhang, Y.X. Effect of initiator geometry on energy absorption of CFRP tubes under dynamic crushing. Int. J. Crashworthiness 2021, 26, 526–536. [Google Scholar] [CrossRef]
- Chen, D.; Li, J.; Yuan, Y.; Gao, C.; Cui, Y.; Li, S.; Liu, X.; Wang, H.; Peng, C.; Wu, Z. A review of the polymer for cryogenic application: Methods, mechanisms and perspectives. Polymers 2021, 13, 320. [Google Scholar] [CrossRef]
- Reed, R.; Golda, M. Cryogenic properties of unidirectional composites. Cryogenics 1994, 34, 909–928. [Google Scholar] [CrossRef]
- Baschek, G.; Hartwig, G. Parameters influencing the thermal expansion of polymers and fibre composites. Cryogenics 1998, 38, 99–103. [Google Scholar] [CrossRef]
- Chen, Y.; Fu, K.; Jiang, B. Modelling localised progressive failure of composite sandwich panels under in-plane compression. Thin-Walled Struct. 2023, 184, 110552. [Google Scholar] [CrossRef]
- Bao, R.; Sun, W.; Wu, Z.; Huang, C.; Li, L.; Zhou, Y. Nano aluminum nitride fillers for enhanced mechanical and thermal properties of GFRP in cryogenic temperature settings. Cryogenics 2024, 143, 103953. [Google Scholar] [CrossRef]
- Jin, R.; Xu, B.; Qu, L. Cryogenics performance enhancement of epoxy resin composites through negative expansion nanomaterials: Mechanism and predictive modeling. Polym. Compos. 2024, 45, 11892–11907. [Google Scholar] [CrossRef]
- Uniyal, P.; Gaur, P.; Yadav, J.; Bhalla, N.A.; Khan, T.; Junaedi, H.; Sebaey, T.A. A Comprehensive Review on the Role of Nanosilica as a Toughening Agent for Enhanced Epoxy Composites for Aerospace Applications. ACS Omega 2025, 10, 15810–15839. [Google Scholar] [CrossRef]
- Qu, D.-Y.; Guo, F.-L.; Hou, W.-D.; Long, J.-F.; Li, Y.-Q.; Fu, S.-Y. Cryogenic mechanical properties and liquid oxygen compatibility of MXene/epoxy nanocomposites. Adv. Compos. Hybrid Mater. 2024, 7, 153. [Google Scholar] [CrossRef]
- Slifka, A.J.; Smith, D.R. Thermal expansion of an E-glass/vinyl ester composite from 4 to 293 K. Int. J. Thermophys. 1997, 18, 1249–1256. [Google Scholar] [CrossRef]
- Chu, X.; Wu, Z.; Huang, R.; Zhou, Y.; Li, L. Mechanical and thermal expansion properties of glass fibers reinforced PEEK composites at cryogenic temperatures. Cryogenics 2010, 50, 84–88. [Google Scholar] [CrossRef]
- Nikonovich, M.; Costa, J.F.S.; Fonseca, A.C.; Ramalho, A.; Emami, N. Structural, thermal, and mechanical characterisation of PEEK-based composites in cryogenic temperature. Polym. Test. 2023, 125, 108139. [Google Scholar] [CrossRef]
- Kalia, S.; Fu, S.-Y. Polymers at Cryogenic Temperatures; Springer: Berlin/Heidelberg, Germany, 2013. [Google Scholar]
- Biddulph, M. Cryogenic embrittlement of some polymers. Conserv. Recycl. 1977, 1, 281–288. [Google Scholar] [CrossRef]
- Colin, X.; Verdu, J. Polymer degradation during processing. Comptes Rendus Chim. 2006, 9, 1380–1395. [Google Scholar] [CrossRef]
- Lee, S.W.; Li, J.-W.; Chiu, H.-T.; Cheng, C.-C.; Chiou, K.-C.; Lee, T.-M.; Chiu, C.-W. Highly Thermally Conductive Epoxy Composites with AlN/BN Hybrid Filler as Underfill Encapsulation Material for Electronic Packaging. Polymers 2022, 14, 2950. [Google Scholar]
- Chu, X.; Huang, R.; Yang, H.; Wu, Z.; Lu, J.; Zhou, Y.; Li, L. The cryogenic thermal expansion and mechanical properties of plasma modified ZrW2O8 reinforced epoxy. Mater. Sci. Eng. A 2011, 528, 3367–3374. [Google Scholar] [CrossRef]
- Qu, D.-Y.; Guo, F.-L.; Hou, W.-D.; Guan, T.; Fu, Y.-T.; Hao, J.; Peng, C.-Y.; Zhang, Y.-C.; Li, Y.-Q.; Liu, S.-T.; et al. Effects of introducing MXene nanosheets on the mechanical properties of carbon fiber reinforced epoxy composite at cryogenic temperature. Compos. Sci. Technol. 2025, 263, 111102. [Google Scholar] [CrossRef]
- Kara, M.; Kırıcı, M.; Tatar, A.C.; Avcı, A. Impact behavior of carbon fiber/epoxy composite tubes reinforced with multi-walled carbon nanotubes at cryogenic environment. Compos. Part B Eng. 2018, 145, 145–154. [Google Scholar] [CrossRef]
- Prusty, R.K.; Rathore, D.K.; Ray, B.C. Evaluation of the role of functionalized CNT in glass fiber/epoxy composite at above-and sub-zero temperatures: Emphasizing interfacial microstructures. Compos. Part A Appl. Sci. Manuf. 2017, 101, 215–226. [Google Scholar] [CrossRef]
- Shchegolkov, A.V.; Shchegolkov, A.V.; Kaminskii, V.V.; Chumak, M.A. Smart Polymer Composites for Electrical Heating: A Review. J. Compos. Sci. 2024, 8, 522. [Google Scholar] [CrossRef]
- Yang, L.; Li, Z.; Xu, H.; Wu, Z. Prediction on residual stresses of carbon/epoxy composite at cryogenic temperature. Polym. Compos. 2019, 40, 3412–3420. [Google Scholar] [CrossRef]
- Usami, S.; EJIMA, H.; SUZUKI, T.; Asano, K. Cryogenic small-flaw strength and creep deformation of epoxy resins. TEION KOGAKU (J. Cryog. Supercond. Soc. Jpn.) 1999, 34, 105–116. [Google Scholar] [CrossRef][Green Version]
- Li, Y.; Meng, J.; Luo, J.; Wang, P.; Ma, J.; Zhao, Z.; Lei, H. Cryogenic mechanics and damage behaviors of carbon fiber reinforced polymer composites. Compos. Part A Appl. Sci. Manuf. 2023, 169, 107484. [Google Scholar] [CrossRef]
- Tang, S.; Zhang, Z.; Xu, L.; Qin, H.; Dong, J.; Lv, Q.; Han, J.; Song, F. Ultrafine nickel-rhodium nanoparticles anchored on two-dimensional vanadium carbide for high performance hydrous hydrazine decomposition at mild conditions. J. Colloid Interface Sci. 2024, 669, 228–235. [Google Scholar] [CrossRef] [PubMed]
- Meng, J.; Wang, Y.; Yang, H.; Wang, P.; Lei, Q.; Shi, H.; Lei, H.; Fang, D. Mechanical properties and internal microdefects evolution of carbon fiber reinforced polymer composites: Cryogenic temperature and thermocycling effects. Compos. Sci. Technol. 2020, 191, 108083. [Google Scholar] [CrossRef]
- Cui, M.; Mao, J.; Chen, Y.; Jin, J. Preparation, material modification and cryogenic mechanical properties of fiber-reinforced polymer (FRP) composites. J. Mater. Sci. 2025, 60, 12222–12247. [Google Scholar] [CrossRef]
- Shen, X.-J.; Meng, L.-X.; Yan, Z.-Y.; Sun, C.-J.; Ji, Y.-H.; Xiao, H.-M.; Fu, S.-Y. Improved cryogenic interlaminar shear strength of glass fabric/epoxy composites by graphene oxide. Compos. Part B Eng. 2015, 73, 126–131. [Google Scholar] [CrossRef]
- Yan, M.; Jiao, W.; Yang, F.; Ding, G.; Zou, H.; Xu, Z.; Wang, R. Simulation and measurement of cryogenic-interfacial-properties of T700/modified epoxy for composite cryotanks. Mater. Des. 2019, 182, 108050. [Google Scholar] [CrossRef]
- Rizov, V.; Shindo, Y.; Horiguchi, K.; Narita, F. Mode III interlaminar fracture behavior of glass fiber reinforced polymer woven laminates at 293 to 4 K. Appl. Compos. Mater. 2006, 13, 287–304. [Google Scholar] [CrossRef]
- Shindo, Y.; Takahashi, S.; Takeda, T.; Narita, F.; Watanabe, S. Mixed-mode interlaminar fracture and damage characterization in woven fabric-reinforced glass/epoxy composite laminates at cryogenic temperatures using the finite element and improved test methods. Eng. Fract. Mech. 2008, 75, 5101–5112. [Google Scholar] [CrossRef]
- Shindo, Y.; Sato, T.; Narita, F.; Sanada, K. Mode II interlaminar fracture and damage evaluation of GFRP woven laminates at cryogenic temperatures using the 4ENF specimen. J. Compos. Mater. 2008, 42, 1089–1101. [Google Scholar] [CrossRef]
- Miura, M.; Shindo, Y.; Takeda, T.; Narita, F. Interlaminar fracture characterization of woven glass/epoxy composites under mixed-mode II/III loading conditions at cryogenic temperatures. Eng. Fract. Mech. 2012, 96, 615–625. [Google Scholar] [CrossRef]
- Patnaik, S.; Gangineni, P.K.; Ray, B.C.; Prusty, R.K. Effect of graphene-based nanofillers addition on the interlaminar performance of CFRP composites: An assessment of cryo-conditioning. Mater. Today Proc. 2020, 33, 5070–5075. [Google Scholar] [CrossRef]
- Qu, C.-B.; Xiao, H.-M.; Huang, G.-W.; Li, N.; Li, M.; Li, F.; Li, Y.-Q.; Liu, Y.; Fu, S.-Y. Effects of cryo-thermal cycling on interlaminar shear strength and thermal expansion coefficient of carbon fiber/graphene oxide-modified epoxy composites. Compos. Commun. 2022, 32, 101180. [Google Scholar] [CrossRef]
- Qu, C.-B.; Huang, Y.; Li, F.; Xiao, H.-M.; Liu, Y.; Feng, Q.-P.; Huang, G.-W.; Li, N.; Fu, S.-Y. Enhanced cryogenic mechanical properties of carbon fiber reinforced epoxy composites by introducing graphene oxide. Compos. Commun. 2020, 22, 100480. [Google Scholar] [CrossRef]
- Hou, W.-D.; Guo, F.-L.; Qu, D.-Y.; Fu, Y.-T.; Long, J.-F.; Guan, T.; Peng, C.-Y.; Li, Y.-Q.; Zhang, Y.-C.; Liu, S.-T.; et al. Synergistically improved cryogenic mechanical properties and liquid oxygen compatibility of epoxy nanocomposites by GO and nano-Al(OH)3. Compos. Part A Appl. Sci. Manuf. 2025, 192, 108771. [Google Scholar] [CrossRef]
- Ubaid, J.; Andrew, J.J.; Cantwell, W.J.; Khan, K.A.; Potluri, P.; Umer, R. Performance evaluation of GNP-modified epoxy/carbon fiber composites after cryogenic thermal cycling for hydrogen storage applications. Int. J. Hydrog. Energy 2025, 159, 150574. [Google Scholar] [CrossRef]
- Ribeiro, F.; Sena-Cruz, J.; Vassilopoulos, A.P. Tension-tension fatigue behavior of hybrid glass/carbon and carbon/carbon composites. Int. J. Fatigue 2021, 146, 106143. [Google Scholar] [CrossRef]
- Szpoganicz, E.; Hübner, F.; Beier, U.; Geistbeck, M.; Korff, M.; Chen, L.; Tang, Y.; Dickhut, T.; Ruckdäschel, H. Effect of prepreg ply thickness and orientation on tensile properties and damage onset in carbon-fiber composites for cryogenic environments. Compos. Struct. 2025, 359, 118996. [Google Scholar] [CrossRef]
- Zhao, Y.; Wu, Z.; Huang, R.; Li, L.; Ma, G. Enhancing the cryogenic performance of superconducting magnet encapsulation resins with hyperbranched polymers: A molecular dynamics simulation and experimental study. Cryogenics 2024, 142, 103919. [Google Scholar] [CrossRef]
- Ren, M.; Chang, X.; Xu, H.Y.; Li, T. Trans-scale analysis of composite overwrapped pressure vessel at cryogenic temperature. Compos. Struct. 2017, 160, 1339–1347. [Google Scholar] [CrossRef]
- Ma, L.; Du, X.; Zhou, W.; Huang, C.; Sun, W.; Wang, B. Acoustic emission and multiscale computation-guided tensile damage identification in woven composite laminates at cryogenic temperatures as low as 20 K. Thin-Walled Struct. 2024, 205, 112464. [Google Scholar] [CrossRef]
- Li, Y.; Meng, J.; Niu, G.; Yang, H.; Wang, P.; Lei, H.; Fang, D. Cryogenic damage mechanisms of CFRP laminates based on in-situ X-ray computed tomography characterization. Compos. Sci. Technol. 2024, 247, 110413. [Google Scholar] [CrossRef]
- Goncalves, P.T.; Arteiro, A.; Rocha, N. Experimental characterization and numerical analysis of CFRPs at cryogenic temperatures. Int. J. Mech. Sci. 2024, 265, 108899. [Google Scholar] [CrossRef]
- Shah, D.B.; Patel, K.M.; Joshi, S.J.; Modi, B.A.; Patel, A.I.; Pariyal, V. Thermo-mechanical characterization of carbon fiber composites with different epoxy resin systems. Thermochim. Acta 2019, 676, 39–46. [Google Scholar] [CrossRef]
- Krzak, A.; Nowak, A.J.; Frolec, J.; Králík, T.; Kotyk, M.; Boroński, D.; Matula, G. Analysis of mechanical properties and thermal conductivity of thin-ply laminates in ambient and cryogenic conditions. Materials 2024, 17, 5419. [Google Scholar] [CrossRef]
- Zhang, Z.; Evans, D. Investigation of fracture properties of epoxy at low temperatures. Polym. Eng. Sci. 2003, 43, 1071–1080. [Google Scholar] [CrossRef]
- Newcomb, B.A. Processing, structure, and properties of carbon fibers. Compos. Part A Appl. Sci. Manuf. 2016, 91, 262–282. [Google Scholar] [CrossRef]
- Geng, G.; Ma, X.; Geng, H.; Wu, Y. Effect of Load on the Thermal Expansion Behavior of T700 Carbon Fiber Bundles. Polymers 2018, 10, 152. [Google Scholar] [CrossRef]
- Rodrigo, O.; Bertrand, G. Radial thermal conductivity of a PAN type carbon fiber using the 3 omega method. Int. J. Therm. Sci. 2022, 172, 107321. [Google Scholar] [CrossRef]
- Wang, R.; Zobeiri, H.; Lin, H.; Qu, W.; Bai, X.; Deng, C.; Wang, X. Anisotropic thermal conductivities and structure in lignin-based microscale carbon fibers. Carbon 2019, 147, 58–69. [Google Scholar] [CrossRef]
- Zhao, Y.; Chen, Z.-K.; Liu, Y.; Xiao, H.-M.; Feng, Q.-P.; Fu, S.-Y. Simultaneously enhanced cryogenic tensile strength and fracture toughness of epoxy resins by carboxylic nitrile-butadiene nano-rubber. Compos. Part A Appl. Sci. Manuf. 2013, 55, 178–187. [Google Scholar] [CrossRef]
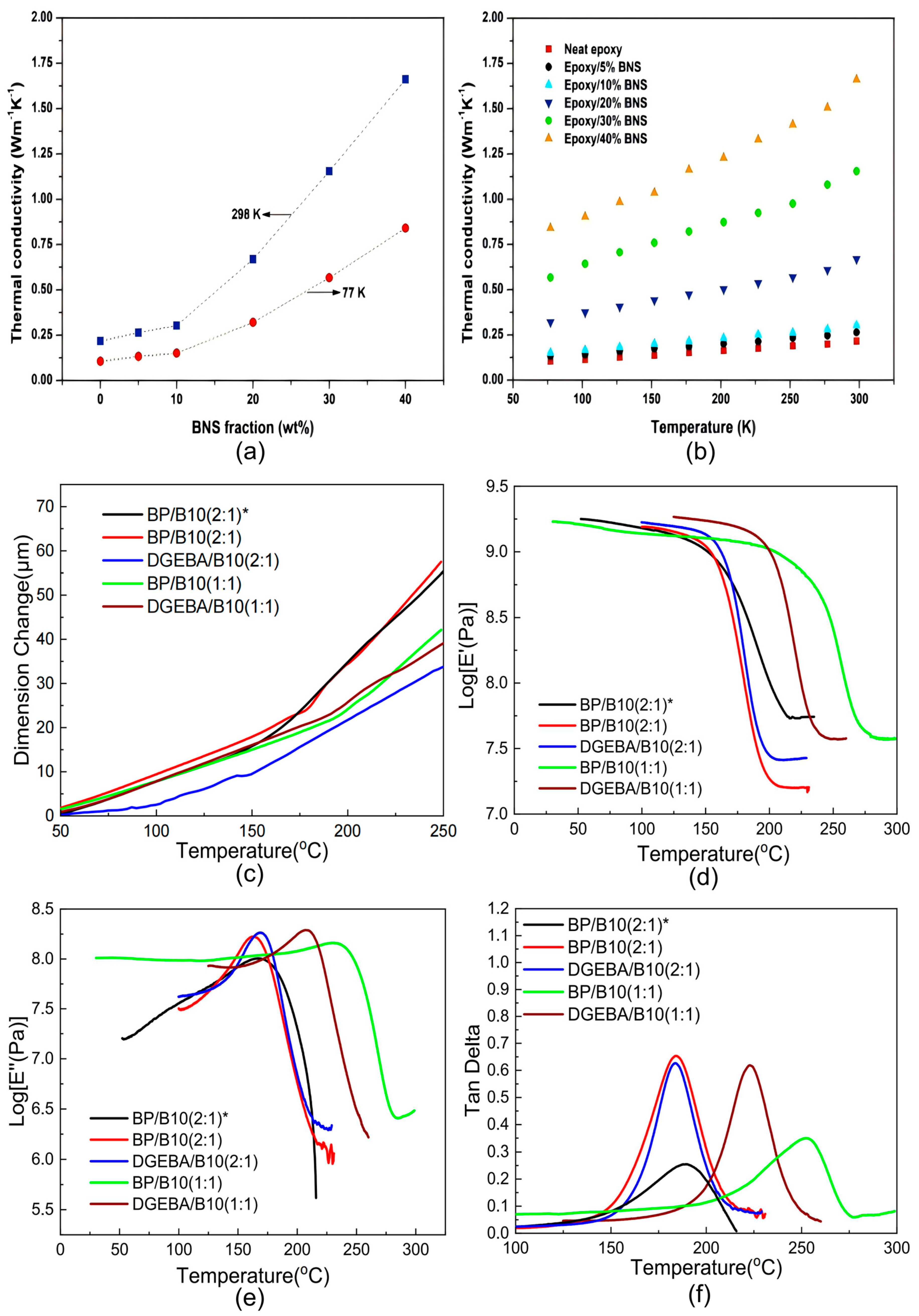
- Zhang, H.; Huang, R.; Li, Y.; Li, H.; Wu, Z.; Huang, J.; Yu, B.; Gao, X.; Li, J.; Li, L. Optimization of boron nitride sphere loading in epoxy: Enhanced thermal conductivity and excellent electrical insulation. Polymers 2019, 11, 1335. [Google Scholar] [CrossRef] [PubMed]
- Zhu, B.; Ma, J.; Wu, J.; Yung, K.C.; Xie, C.S. Study on the properties of the epoxy-matrix composites filled with thermally conductive AlN and BN ceramic particles. J. Appl. Polym. Sci. 2010, 118, 2754–2764. [Google Scholar] [CrossRef]
- Gaarud, A.; Scheuerlein, C.; Parragh, D.M.; Clement, S.; Bertsch, J.; Urscheler, C.; Piccin, R.; Ravotti, F.; Pezzullo, G.; Lach, R. Fracture toughness, radiation hardness, and processibility of polymers for superconducting magnets. Polymers 2024, 16, 1287. [Google Scholar] [CrossRef]
- Li, J.; Wu, Z.; Huang, C.; Liu, H.; Huang, R.; Li, L. Mechanical properties of cyanate ester/epoxy nanocomposites modified with plasma functionalized MWCNTs. Compos. Sci. Technol. 2014, 90, 166–173. [Google Scholar] [CrossRef]
- Li, C.-P.; Chuang, C.-M. Thermal and dielectric properties of cyanate ester cured main chain rigid-rod epoxy resin. Polymers 2021, 13, 2917. [Google Scholar] [CrossRef]
- Theiler, G.; Hübner, W.; Gradt, T.; Klein, P.; Friedrich, K. Friction and wear of PTFE composites at cryogenic temperatures. Tribol. Int. 2002, 35, 449–458. [Google Scholar] [CrossRef]
- Cui, Y.; Yan, J.; Li, J.; Chen, D.; Wang, Z.; Yin, W.; Wu, Z. Cryogenic mechanical properties and stability of polymer films for liquid oxygen hoses. Polymers 2023, 15, 3423. [Google Scholar] [CrossRef]
- Gong, M.; Wang, X.; Zhao, J. Experimental study on mechanical behavior of laminates at low temperature. Cryogenics 2007, 47, 1–7. [Google Scholar] [CrossRef]
- Dagdag, O.; Kim, H. Cryogenic Impact on Carbon Fiber-Reinforced Epoxy Composites for Hydrogen Storage Vessels. J. Compos. Sci. 2024, 8, 459. [Google Scholar] [CrossRef]
- Hengst, A.; Rose, C.; van Weers, H.; Hartog, R.D.; Ravensberg, K.; Dercksen, J. The thermal expansion of a Kevlar® 49 cord down to cryogenic temperatures. Cryogenics 2023, 135, 103742. [Google Scholar] [CrossRef]
- Wang, Z.; Bailey, W.; Song, J.; Huang, L.; Yang, Y. Evaluating the potential of thermoplastic polymers for cryogenic sealing applications: Strain rate and temperature effects. Int. J. Hydrog. Energy 2025, 114, 279–294. [Google Scholar] [CrossRef]
- Shindo, Y.; Watanabe, S.; Takeda, T.; Narita, F.; Matsuda, T.; Yamaki, S. Numerical and experimental evaluation of cryogenic tensile strength of woven fabric-reinforced glass/epoxy composites using open hole specimens. J. Mech. Mater. Struct. 2011, 6, 545–556. [Google Scholar] [CrossRef]
- Takeda, T.; Narita, F.; Shindo, Y.; Sanada, K. Cryogenic through-thickness tensile characterization of plain woven glass/epoxy composite laminates using cross specimens: Experimental test and finite element analysis. Compos. Part B Eng. 2015, 78, 42–49. [Google Scholar] [CrossRef]
- Hohe, J.; Schober, M.; Weiss, K.-P.; Appel, S. Validation of Puck’s failure criterion for CFRP composites in the cryogenic regime. CEAS Space J. 2020, 13, 145–153. [Google Scholar] [CrossRef]
- Szpoganicz, E.; Hübner, F.; Beier, U.; Geistbeck, M.; Ruckdäschel, H. The effect of prepreg ply thickness in carbon fiber reinforced composites on intralaminar toughness and shear strength in cryogenic environments for liquid hydrogen storage tanks. Compos. Part B Eng. 2024, 292, 112077. [Google Scholar] [CrossRef]
- Srisuriyachot, J.; Singhapong, W.; Santana, P.R.; Sangan, C.M.; Bowen, C.; Dolbnya, I.P.; Butler, R.; Lunt, A.J. Quantification of the thermal expansion of carbon fibres in CFRP at low temperatures using X-ray diffraction. Compos. Part B Eng. 2025, 305, 112697. [Google Scholar] [CrossRef]
- Yoon, D.; Son, Y.-W.; Cheong, H. Negative thermal expansion coefficient of graphene measured by Raman spectroscopy. Nano Lett. 2011, 11, 3227–3231. [Google Scholar] [CrossRef]
- McQuade, G.A.; Plaut, A.S.; Usher, A.; Martin, J. The thermal expansion coefficient of monolayer, bilayer, and trilayer graphene derived from the strain induced by cooling to cryogenic temperatures. Appl. Phys. Lett. 2021, 118, 203101. [Google Scholar] [CrossRef]
- Qu, C.-B.; Wu, T.; Huang, G.-W.; Li, N.; Li, M.; Ma, J.-L.; Liu, Y.; Xiao, H.-M. Improving cryogenic mechanical properties of carbon fiber reinforced composites based on epoxy resin toughened by hydroxyl-terminated polyurethane. Compos. Part B Eng. 2021, 210, 108569. [Google Scholar] [CrossRef]
- Bondarev, V.N.; Adamyan, V.M.; Zavalniuk, V.V. Bending mode and thermal expansion of graphene. Phys. Rev. B 2018, 97, 035426. [Google Scholar] [CrossRef]
- Li, C.; Chou, T.-W. Axial and radial thermal expansions of single-walled carbon nanotubes. Phys. Rev. B 2005, 71, 235414. [Google Scholar] [CrossRef]
- Shirasu, K.; Yamamoto, G.; Tamaki, I.; Ogasawara, T.; Shimamura, Y.; Inoue, Y.; Hashida, T. Negative axial thermal expansion coefficient of carbon nanotubes: Experimental determination based on measurements of coefficient of thermal expansion for aligned carbon nanotube reinforced epoxy composites. Carbon 2015, 95, 904–909. [Google Scholar] [CrossRef]
- Cai, Q.; Scullion, D.; Gan, W.; Falin, A.; Zhang, S.; Watanabe, K.; Taniguchi, T.; Chen, Y.; Santos, E.J.G.; Li, L.H. High thermal conductivity of high-quality monolayer boron nitride and its thermal expansion. Sci. Adv. 2019, 5, eaav0129. [Google Scholar] [CrossRef]
- Jo, I.; Pettes, M.T.; Kim, J.; Watanabe, K.; Taniguchi, T.; Yao, Z.; Shi, L. Thermal conductivity and phonon transport in suspended few-layer hexagonal boron nitride. Nano Lett. 2013, 13, 550–554. [Google Scholar] [CrossRef]
- Zhou, H.; Zhu, J.; Liu, Z.; Yan, Z.; Fan, X.; Lin, J.; Wang, G.; Yan, Q.; Yu, T.; Ajayan, P.M.; et al. High thermal conductivity of suspended few-layer hexagonal boron nitride sheets. Nano Res. 2014, 7, 1232–1240. [Google Scholar] [CrossRef]
- Yuan, C.; Li, J.; Lindsay, L.; Cherns, D.; Pomeroy, J.W.; Liu, S.; Edgar, J.H.; Kuball, M. Modulating the thermal conductivity in hexagonal boron nitride via controlled boron isotope concentration. Commun. Phys. 2019, 2, 43. [Google Scholar] [CrossRef]
- Hone, J.; Whitney, M.; Piskoti, C.; Zettl, A. Thermal conductivity of single-walled carbon nanotubes. Phys. Rev. B Condens. Matter 1999, 59, R2514–R2516. [Google Scholar] [CrossRef]
- Wang, Z.; Xie, R.; Bui, C.T.; Liu, D.; Ni, X.; Li, B.; Thong, J.T.L. Thermal transport in suspended and supported few-layer graphene. Nano Lett. 2010, 11, 113–118. [Google Scholar] [CrossRef]
- Cai, W.; Moore, A.L.; Zhu, Y.; Li, X.; Chen, S.; Shi, L.; Ruoff, R.S. Thermal transport in suspended and supported monolayer graphene grown by chemical vapor deposition. Nano Lett. 2010, 10, 1645–1651. [Google Scholar] [CrossRef]
- Huang, Y.K.; Frings, P.H.; Hennes, E. Mechanical properties of Zylon/epoxy composite. Composites Part B Eng. 2002, 33, 109–115. [Google Scholar] [CrossRef]
- Hartwig, G.; Hübner, R. Thermal and fatigue cycling of fibre composites. Cryogenics 1995, 35, 727–730. [Google Scholar] [CrossRef]
- Griffith, J.C.; Wang, S.; Palubiski, D.R.; Ramakrishnan, K.R.; Rochat, S.; Giuliani, F.; Walls-Bruck, M.; Hamerton, I. Investigating the microcracking behaviour of a commercial epoxy matrix under cryogenic conditions. Compos. Part A Appl. Sci. Manuf. 2025, 199, 109190. [Google Scholar] [CrossRef]
- Kim, M.-G.; Kang, S.-G.; Kim, C.-G.; Kong, C.-W. Tensile response of graphite/epoxy composites at low temperatures. Compos. Struct. 2007, 79, 84–89. [Google Scholar] [CrossRef]
- Su, X.; Abdi, F. Progressive Failure Analysis of RLV Laminates of IM7/PETI-5 at High, Room, and Cryogenic Temperatures. In Proceedings of the 44th AIAA/ASME/ASCE/AHS/ASC Structures, Structural Dynamics, and Materials Conference, Norfolk, VA, USA, 7–10 April 2003. [Google Scholar]
- Praveen, R.S.; Jacob, S.; Murthy, C.R.L.; Balachandran, P.; Rao, Y.V.K.S. Hybridization of carbon–glass epoxy composites: An approach to achieve low coefficient of thermal expansion at cryogenic temperatures. Cryogenics 2011, 51, 95–104. [Google Scholar] [CrossRef]
- Rashkovan, I.A.; Korabel’nikov, Y.G. The effect of fiber surface treatment on its strength and adhesion to the matrix. Compos. Sci. Technol. 1997, 57, 1017–1022. [Google Scholar] [CrossRef]
- Chang, W.; Rose, L.R.F.; Islam, M.S.; Wu, S.; Peng, S.; Huang, F.; Kinloch, A.J.; Wang, C.H. Strengthening and toughening epoxy polymer at cryogenic temperature using cupric oxide nanorods. Compos. Sci. Technol. 2021, 208, 108762. [Google Scholar] [CrossRef]
- He, Y.; Chen, Q.; Yang, S.; Lu, C.; Feng, M.; Jiang, Y.; Cao, G.; Zhang, J.; Liu, C. Micro-crack behavior of carbon fiber reinforced Fe3O4/graphene oxide modified epoxy composites for cryogenic application. Compos. Part A Appl. Sci. Manuf. 2018, 108, 12–22. [Google Scholar] [CrossRef]
- Audouin, L.; Langlois, V.; Verdu, J.; de Bruijn, J.C.M. Role of oxygen diffusion in polymer ageing: Kinetic and mechanical aspects. J. Mater. Sci. 1994, 29, 569–583. [Google Scholar] [CrossRef]
- Parton, H.; Baets, J.; Lipnik, P.; Goderis, B.; Devaux, J.; Verpoest, I. Properties of poly(butylene terephthatlate) polymerized from cyclic oligomers and its composites. Polymer 2005, 46, 9871–9880. [Google Scholar] [CrossRef]
- Brostow, W.; Hagg Lobland, H.E.; Narkis, M. Sliding wear, viscoelasticity, and brittleness of polymers. J. Mater. Res. 2006, 21, 2422–2428. [Google Scholar] [CrossRef]
- Fayolle, B.; Richaud, E.; Verdu, J.; Farcas, F. Embrittlement of polypropylene fibre during thermal oxidation. J. Mater. Sci. 2008, 43, 1026–1032. [Google Scholar] [CrossRef]
- Fayolle, B.; Richaud, E.; Colin, X.; Verdu, J. Review: Degradation-induced embrittlement in semi-crystalline polymers having their amorphous phase in rubbery state. J. Mater. Sci. 2008, 43, 6999–7012. [Google Scholar] [CrossRef]
- El-Mazry, C.; Correc, O.; Colin, X. A new kinetic model for predicting polyamide 6-6 hydrolysis and its mechanical embrittlement. Polym. Degrad. Stab. 2012, 97, 1049–1059. [Google Scholar] [CrossRef]
- Ramsteiner, F.; Jaworek, T.; Weber, M.; Forster, S. Scratch resistance and embrittlement of coated polymers. Polym. Test. 2003, 22, 439–451. [Google Scholar] [CrossRef]
- Jiang, B.; Chang, W.; Wang, X.; Sha, Z.; Pearce, G.; Rose, L.R.F.; Kinloch, A.J.; Wang, C.H. Increasing the flame retardancy and cryogenic toughness of an epoxy polymer using polydopamine nanoparticles. Compos. Part B Eng. 2025, 304, 112675. [Google Scholar] [CrossRef]
- Wang, J.; Chang, W.; Islam, M.S.; Huang, F.; Wu, S.; Rose, L.R.F.; Zhang, J.; Wang, C.H. Toughening epoxy by nano-structured block copolymer to mitigate matrix microcracking of carbon fibre composites at cryogenic temperatures. Compos. Sci. Technol. 2024, 251, 110548. [Google Scholar] [CrossRef]
- Islam, M.S.; Chang, W.; Sha, Z.; Wang, J.; Wu, S.; Rose, L.R.F.; Kinloch, A.J.; Wang, C.H. Mitigating cryogenic microcracking in carbon-fibre reinforced polymer composites using negative thermal-expansion nanoparticles functionalized by a polydopamine coating. Compos. Part B Eng. 2023, 257, 110676. [Google Scholar] [CrossRef]
- De, S.; Shivangi, P.N.; Choudhury, S.; Fulmali, A.O.; Ray, B.C.; Prusty, R.K. Effects of fiber surface grafting by functionalized carbon nanotubes on the interfacial durability during cryogenic testing and conditioning of CFRP composites. J. Appl. Polym. Sci. 2021, 138, 51231. [Google Scholar] [CrossRef]
- Wang, R.; Zhang, C.; Hao, L.; Jiao, W.; Yang, F.; Liu, W. Interfacial Properties of Nano-Silica Modified Cfrps under Cryogenic Condition. Polym. Polym. Compos. 2014, 22, 269–274. [Google Scholar] [CrossRef]
- Xu, F.; Fan, W.; Zhang, Y.; Gao, Y.; Jia, Z.; Qiu, Y.; Hui, D. Modification of tensile, wear and interfacial properties of Kevlar fibers under cryogenic treatment. Compos. Part B Eng. 2017, 116, 398–405. [Google Scholar] [CrossRef]
- Zhang, X.-w.; Li, T.; Huang, C.; Huang, Q.-z.; Ren, M.-f.; Wang, B. Determining the fiber/matrix interfacial shear strength under cryogenic conditions by statistical inversion. Polym. Compos. 2021, 42, 439–449. [Google Scholar] [CrossRef]
- Fulmali, A.O.; Patnaik, S.; Rathore, D.K.; Bhattacharjee, D.; Gwalani, B.; Ray, B.C.; Prusty, R.K. Enhanced extreme temperature bending and delamination resistance of GFRP composites through z-directional aligned nano-reinforcement: Emphasizing the effects of CNT functionalization. Compos. Sci. Technol. 2023, 244, 110272. [Google Scholar] [CrossRef]
- Qiu, Z.; Wu, D.; Zhang, Y.; Liu, C.; Qian, Y.; Cai, D.a. On the mechanical behavior of carbon fiber/epoxy laminates exposed in thermal cycling environments. Thin-Walled Struct. 2024, 196, 111481. [Google Scholar] [CrossRef]
- Islam, M.S.; Melendez-Soto, E.; Castellanos, A.G.; Prabhakar, P. Investigation of woven composites as potential cryogenic tank materials. Cryogenics 2015, 72, 82–89. [Google Scholar] [CrossRef]
- Patnaik, S.; Gangineni, P.K.; Prusty, R.K. Influence of cryogenic temperature on mechanical behavior of graphene carboxyl grafted carbon fiber reinforced polymer composites: An emphasis on concentration of nanofillers. Compos. Commun. 2020, 20, 100369. [Google Scholar] [CrossRef]
- Patnaik, S.; Gangineni, P.K.; Panda, A.; Prusty, R.K.; Ray, B.C. Interlaminar performance of graphene carboxyl modified CFRP composites: Effect of cryogenic conditioning. Mater. Today Proc. 2020, 27, 1516–1521. [Google Scholar] [CrossRef]
- Zotti, A.; Zuppolini, S.; Borriello, A.; Vinti, V.; Trinchillo, L.; Zarrelli, M. The Effect of Carbon-Based Nanofillers on Cryogenic Temperature Mechanical Properties of CFRPs. Polymers 2024, 16, 638. [Google Scholar] [CrossRef]
- Huang, W.J.; Li, Y.T.; Zhang, Y.M.; Xiao, Z.M.; Li, W.G. Experimental and numerical investigations of interlaminar shear behaviors of CFRP composites at cryogenic and high temperatures. Compos. Struct. 2025, 352, 118681. [Google Scholar] [CrossRef]
- Rosenkranz, P.; Humer, K.; Weber, H.W.; Pahr, D.H.; Rammerstorfer, F.G. Static and dynamic scaling experiments on double lap shear specimens at room temperature and at 77 K. Cryogenics 2001, 41, 21–25. [Google Scholar] [CrossRef]
- Shukla, M.J.; Kumar, D.S.; Mahato, K.K.; Rathore, D.K.; Prusty, R.K.; Ray, B.C. A comparative study of the mechanical performance of Glass and Glass/Carbon hybrid polymer composites at different temperature environments. IOP Conf. Ser. Mater. Sci. Eng. 2015, 75, 012002. [Google Scholar] [CrossRef]
- Shan, L.; Tan, C.Y.; Shen, X.; Ramesh, S.; Zarei, M.S.; Kolahchi, R.; Hajmohammad, M.H. The effects of nano-additives on the mechanical, impact, vibration, and buckling/post-buckling properties of composites: A review. J. Mater. Res. Technol. 2023, 24, 7570–7598. [Google Scholar] [CrossRef]
- Kim, G.-Y.; Lee, G.; Yu, W.-R. Carbon-nanotube-grafted glass-fiber-reinforced composites: Synthesis and mechanical properties. Heliyon 2024, 10, e30262. [Google Scholar] [CrossRef]
- Harito, C.; Bavykin, D.V.; Yuliarto, B.; Dipojono, H.K.; Walsh, F.C. Polymer nanocomposites having a high filler content: Synthesis, structures, properties, and applications. Nanoscale 2019, 11, 4653–4682. [Google Scholar] [CrossRef] [PubMed]
- Sprenger, S. Fiber-reinforced composites based on epoxy resins modified with elastomers and surface-modified silica nanoparticles. J. Mater. Sci. 2014, 49, 2391–2402. [Google Scholar] [CrossRef]
- Cotae, S.; Popescu, C.; Iancau, H. Considerations in low-temperature mechanical behavior of polymer composite materials. Appl. Mech. Mater. 2015, 760, 323–328. [Google Scholar] [CrossRef]
- Li, S.; Chen, D.; Gao, C.; Yuan, Y.; Wang, H.; Liu, X.; Hu, B.; Ma, J.; Liu, M.; Wu, Z. Epoxy-functionalized polysiloxane/Nano-SiO2 synergistic reinforcement in cryogenic mechanical properties of epoxy and carbon fiber reinforced epoxy laminate. Compos. Sci. Technol. 2020, 198, 108292. [Google Scholar] [CrossRef]
- Dasari, S.; Lohani, S.; Gangineni, P.K.; Prusty, R.K. Effects of cryogenic aging on flexural behavior of advanced inter-ply hybrid fiber-reinforced polymer composites. Trans. Indian Inst. Met. 2021, 74, 2171–2183. [Google Scholar] [CrossRef]
- Avila, R.O.; Islam, M.S.; Prabhakar, P. Thermal gradient on hybrid composite propellant tank materials at cryogenic temperatures. In Proceedings of the ASME 2016 International Mechanical Engineering Congress and Exposition, Phoenix, AZ, USA, 11–17 November 2016. [Google Scholar]
- Velmurugan, G.; Shaafi, T.; Bhagavathi, M.S.; Siva Shankar, V. Evaluate the tensile, flexural and impact strength of hemp and flax based hybrid composites under cryogenic environment. Mater. Today Proc. 2022, 50, 1326–1332. [Google Scholar]
- Fankhänel, J.; Arash, B.; Rolfes, R. Elastic interphase properties of nanoparticle/epoxy nanocomposites: A molecular dynamics study. Compos. Part B Eng. 2019, 176, 107211. [Google Scholar] [CrossRef]
- Li, Y.; Wang, S.; Wang, Q.; Xing, M. Enhancement of fracture properties of polymer composites reinforced by carbon nanotubes: A molecular dynamics study. Carbon 2018, 129, 504–509. [Google Scholar] [CrossRef]
- Xiao, M.; Fan, K.; Feng, X. Properties of Epoxy-POSS Composites at Low Temperature Based on Molecular Dynamics Simulation. IEEE Trans. Appl. Supercond. 2021, 31, 7800504. [Google Scholar] [CrossRef]
- Bian, P.; Verestek, W.; Yan, S.; Xu, X.; Qing, H.; Schmauder, S. A multiscale modeling on fracture and strength of graphene platelets reinforced epoxy. Eng. Fract. Mech. 2020, 235, 107197. [Google Scholar] [CrossRef]
- Yazdani, H.; Ghasemi, H.; Wallace, C.; Hatami, K. Mechanical properties of carbon nanotube-filled polyethylene composites: A molecular dynamics simulation study. Polym. Compos. 2019, 40, E1850–E1861. [Google Scholar] [CrossRef]
- Lin, F.; Xiang, Y.; Shen, H.-S. Temperature dependent mechanical properties of graphene reinforced polymer nanocomposites—A molecular dynamics simulation. Compos. Part B Eng. 2017, 111, 261–269. [Google Scholar] [CrossRef]
- Giannopoulos, G.I. Introducing bone-shaped carbon nanotubes to reinforce polymer nanocomposites: A molecular dynamics investigation. Mater. Today Commun. 2019, 20, 100570. [Google Scholar] [CrossRef]
- Alian, A.R.; Dewapriya, M.A.N.; Meguid, S.A. Molecular dynamics study of the reinforcement effect of graphene in multilayered polymer nanocomposites. Mater. Des. 2017, 124, 47–57. [Google Scholar] [CrossRef]
- Wang, Y.; Pang, M.; Zhang, Y. Three-dimensional sequential multiscale damage modeling of graphene nanocomposites based on an innovative mixed-mode interface model. Polym. Compos. 2025, 46, S710–S728. [Google Scholar] [CrossRef]
- Lin, K.; Yu, T. Debonding simulation of fibre-matrix interfaces of FRP composites with reactive force field. Constr. Build. Mater. 2021, 312, 125304. [Google Scholar] [CrossRef]
- Zhang, M.; Yu, Y.; Luan, Y.; Zhou, H.; Peng, X.; Gong, L.; Zhou, H. Effects of CNT microstructural characteristics on the interfacial enhancement mechanism of carbon fiber reinforced epoxy composites via molecular dynamics simulations. Thin-Walled Struct. 2024, 195, 111413. [Google Scholar] [CrossRef]
- Pang, M.; Wang, Y.; Shi, T.; Jing, Y.; Zhang, X.; Zhang, Y. A new sequential multiscale model for interface failure of graphene reinforced epoxy nanocomposites based on MD and SBFEM. Compos. Struct. 2023, 325, 117588. [Google Scholar] [CrossRef]
- Zhang, M.; Jiang, B.; Chen, C.; Drummer, D.; Zhai, Z. The Effect of Temperature and Strain Rate on the Interfacial Behavior of Glass Fiber Reinforced Polypropylene Composites: A Molecular Dynamics Study. Polymers 2019, 11, 1766. [Google Scholar] [CrossRef]
- Lin, K.; Yu, T. On the properties and deterioration mechanism of fibre-matrix interfaces of FRP composites under coupled thermal-mechanical actions. Compos. Part A Appl. Sci. Manuf. 2022, 163, 107211. [Google Scholar] [CrossRef]
- Lee, J.; Lee, G.H.; Wang, H.; Shin, H. Understanding the enhancement mechanisms of thermal ablation resistance of CNT/epoxy nanocomposites: A molecular dynamics simulation. Compos. Part A Appl. Sci. Manuf. 2025, 197, 109034. [Google Scholar] [CrossRef]
- Lin, K.; Wang, Z. Multiscale mechanics and molecular dynamics simulations of the durability of fiber-reinforced polymer composites. Commun. Mater. 2023, 4, 66. [Google Scholar] [CrossRef]
- Yang, D.; Sun, Y.; Zhou, J.; Wei, G.; Guan, Z.; Chen, X. A multiscale interfacial cyclic debonding model for fibre-reinforced composites using micromechanics and molecular dynamics. Compos. Struct. 2024, 330, 117831. [Google Scholar] [CrossRef]
- Zhao, Y.; Zhang, S.; Xu, Q.; Wang, K.; Xu, Z.; Long, T.; Jin, T.; Jiang, M.; Liu, P. Synergistic enhancement of mechanical and thermal properties in basalt fiber reinforced composites through nanotube and graphene bridging structure: A multi-scale simulation. Compos. Part B Eng. 2025, 297, 112289. [Google Scholar] [CrossRef]
- Gao, C.; Chen, H.; Xu, H.; Wu, Z.; Dong, X. Molecular Dynamics Simulation of Hydrogen Permeation Behavior in Epoxy Resin Systems. Polymers 2025, 17, 1755. [Google Scholar] [CrossRef]
- He, J.; Arab, A.; Zhang, C. Molecular dynamics study of temperature and defects on mechanical properties of Gr(GO)/C-S-H composites. J. Non-Cryst. Solids 2024, 639, 123094. [Google Scholar] [CrossRef]
- Huang, M.; Fan, S.; Peng, M.; Li, J.; Bu, H.; Li, M. Molecular dynamics study of the effect of temperature and strain rate on the mechanical properties of graphene/copper matrix composites. Mater. Today Commun. 2025, 43, 111716. [Google Scholar] [CrossRef]
- Wang, J.F.; Li, P.H.; Tian, X.B.; Shi, S.Q.; Tam, L.-h. Molecular investigation on temperature-dependent mechanical properties of PMMA/CNT nanocomposite. Eng. Fract. Mech. 2023, 293, 109705. [Google Scholar] [CrossRef]
- Raj, A.; Alvi, S.M.; Islam, K.; Motalab, M.; Xu, S. An Atomistic Study of the Tensile Deformation of Carbon Nanotube–Polymethylmethacrylate Composites. Polymers 2023, 15, 2956. [Google Scholar] [CrossRef]
- Miura, M.; Shindo, Y.; Takeda, T.; Narita, F. Effect of damage on the interlaminar shear properties of hybrid composite laminates at cryogenic temperatures. Compos. Struct. 2010, 93, 124–131. [Google Scholar] [CrossRef]
- Huang, C.; Ren, M.; Li, T.; Chang, X.; Cong, J.; Lei, Y. Trans-scale modeling framework for failure analysis of cryogenic composite tanks. Compos. Part B Eng. 2016, 85, 41–49. [Google Scholar] [CrossRef]
- Kundalwal, S.I. Review on micromechanics of nano-and micro-fiber reinforced composites. Polym. Compos. 2018, 39, 4243–4274. [Google Scholar] [CrossRef]
- Zheng, C.; Chang, X.; Huang, C.; Ren, M. A low-cost multiscale model with fiber/matrix interface for cryogenic composite storage tanks considering temperature effects based on self-consistent clustering analysis. Adv. Compos. Mater. 2024, 33, 927–947. [Google Scholar] [CrossRef]
- Leong, M.; Sankar, B.V. Effect of thermal stresses on the failure criteria of fiber composites. Mech. Adv. Mater. Struct. 2010, 17, 553–560. [Google Scholar] [CrossRef]
- Kundalwal, S.I.; Ray, M.C. Micromechanical analysis of fuzzy fiber reinforced composites. Int. J. Mech. Mater. Des. 2011, 7, 149–166. [Google Scholar] [CrossRef]
- Kundalwal, S.I.; Ray, M.C. Effect of carbon nanotube waviness on the elastic properties of the fuzzy fiber reinforced composites. J. Appl. Mech. 2013, 80, 021010. [Google Scholar] [CrossRef]
- Hashin, Z.; Rosen, B.W. The elastic moduli of fiber-reinforced materials. J. Appl. Mech. 1964, 31, 223–232. [Google Scholar] [CrossRef]
- Yuan, X.W.; Li, W.G.; Xiao, Z.M.; Zhang, Y.M. Prediction of temperature-dependent transverse strength of carbon fiber reinforced polymer composites by a modified cohesive zone model. Compos. Struct. 2023, 304, 116310. [Google Scholar] [CrossRef]
- Mishnaevsky, L., Jr. Composite materials for wind energy applications: Micromechanical modeling and future directions. Comput. Mech. 2012, 50, 195–207. [Google Scholar] [CrossRef]
- Shindo, Y.; Takeda, T.; Narita, F.; Saito, N.; Watanabe, S.; Sanada, K. Delamination growth mechanisms in woven glass fiber reinforced polymer composites under mode II fatigue loading at cryogenic temperatures. Compos. Sci. Technol. 2009, 69, 1904–1911. [Google Scholar] [CrossRef]
- Hosseini, S.M.; Gholami, M.; Afrasiab, H. Micromechanical damage and degradation of polymer composites under cryo-thermal fatigue. Polym. Compos. 2025, 46, S222–S241. [Google Scholar] [CrossRef]
- Guo, F.-L.; Wu, T.; Qu, D.-Y.; Hou, W.-D.; Guan, T.; Fu, Y.-T.; Li, Y.-Q.; Fu, S.-Y. Novel modification strategy via GO and polyurethane for epoxy nanocomposites: Simultaneous enhancements of fracture toughness and liquid oxygen compatibility for cryotank applications. Compos. Part A Appl. Sci. Manuf. 2024, 184, 108259. [Google Scholar] [CrossRef]
- Chang, W.; Rose, L.R.F.; Sha, Z.; Huang, F.; Kinloch, A.J.; Wang, C.H. Multiscale modelling of nanoparticle toughening in epoxy: Effects of particle-matrix interface, particle size, and volume fraction. Compos. Sci. Technol. 2024, 256, 110788. [Google Scholar] [CrossRef]
- Gao, C.; Cheng, S.; Yang, C.; Ye, Y.; Lv, K. Multi-factor analysis of the effects of graphene oxide nanoplatelets on self-healing polymer composites based on micromechanical FE simulation. Comput. Mater. Sci. 2023, 218, 111980. [Google Scholar] [CrossRef]
- Zhang, Y.; Cai, J.; Cai, Q.; Wang, L.; Gou, X. Strength and energy absorption characteristic of nanoparticle-reinforced composites considering interface curvature dependence. Compos. Struct. 2025, 360, 119036. [Google Scholar] [CrossRef]


















| Manufacturing Method | Key Process Characteristics | Typical Cryogenic Applications | Relevance to Cryogenic Performance (Pros/Cons) |
|---|---|---|---|
| Filament winding. | Continuous fibres wound under tension over a mandrel; high automation | Cryogenic storage tanks (Type III/IV COPVs for Liquid H2/O2) [46] | Pros: High fibre volume fraction; excellent hoop strength for pressure vessels. Cons: High residual stresses due to winding tension and thermal contraction; requires careful cure cycle control to prevent microcracking. |
| Autoclave moulding | Prepregs cured under high heat and pressure in a vacuum bag. | Aerospace Structures (Launch vehicle fairings, satellite components) [44] | Pros: Lowest void content and superior consolidation; consistent mechanical properties. Cons: High cost; process-induced thermal residual stresses can lead to warping at cryogenic temperatures |
| VARTM (Vacuum assisted resin transfer moulding) | Resin infused into dry fibre preforms under vacuum. | Polar infrastructure, Marine composites, Large structural panels [1] | Pros: Cost-effective for large parts; flexible fibre architecture. Cons: Slightly higher void content than autoclave; resin-rich areas may become brittle spots at low temperatures. |
| Ultrasonic/Shear mixing | High-energy dispersion of nanoparticles into resin prior to fibre impregnation | Nano-modified cryogenic composites (Toughened matrices for tanks/structures) [21] | Pros: Essential for breaking agglomerates of CNTs/Graphene to ensure barrier properties (H2 permeation) and toughening. Cons: Improper mixing introduces air bubbles; excessive heat during mixing can degrade polymer chains. |
| Material | T (K) | (GPa) | (MPa) | (Wm−1K−1) | (10−6 K−1) | Refs. |
|---|---|---|---|---|---|---|
| Epoxy | 300 | 2–4 | 60–90 | 0.2–0.3 | 40–70 | [1,5,50] |
| 77 | 7–8 | 90 | 0.10–0.20 | 10–40 | ||
| 20 | 8 | 90 | 0.03–0.10 | 5–20 | ||
| CE | 300 | 2.5–3.5 | 70–100 | 0.18–0.25 | 30 | [1,61] |
| 77 | 4–8 | 100 | 0.06–0.12 | 15 | ||
| 20 | 8 | 101 | 0.02–0.05 | 10–12 | ||
| BMI | 300 | 3.5 | 60 | 0.19–0.25 | 40–60 | [1] |
| 77 | 6–7 | 70–80 | / | 20 | ||
| 20 | 7 | 70–80 | / | 15 | ||
| PEEK | 300 | 3.7 | 100 | 0.29–0.32 | 47 | [62,63,64] |
| 77 | 5.5–6.0 | 120 | 0.15–0.25 | 23.47 | ||
| 20 | 6.0 | 110 | 0.12–0.20 | 6 | ||
| PEI | 300 | 2.8–3.3 | 110 | 0.22 | 55 | [5,64] |
| 77 | 5.5–6.0 | 125 | 0.15–0.25 | 30 | ||
| 20 | 6.0 | 120–130 | 0.10–0.20 | 20 | ||
| PTFE | 300 | 0.4–0.8 | 20–30 | 0.25–0.35 | 100–130 | [64,65] |
| 77 | 0.8–1.0 | 20–35 | 0.2–0.3 | 30–60 | ||
| 20 | 1.0 | 35 | 0.14 | 70 | ||
| UHMWPE | 300 | 0.8–1.5 | 20–40 | 0.40–0.5 | 100–200 | [64] |
| 77 | 1.5–3.0 | 30–60 | 0.30–0.45 | 30–80 | ||
| 20 | 2.5–3.8 | 45 | 0.25–0.40 | 10–40 |
| Material | T (K) | (GPa) | (GPa) | (10−6 K−1) | Refs. |
|---|---|---|---|---|---|
| Carbon fibre (T700) | 300 | 230–240 | 4.9–5 | −0.4–−0.38 | [52,53,72] |
| 77 | 230–245 | 4.9–5.1 | −0.3 | ||
| Abo | 20 | 230–245 | 4.8–5 | −0.1–0 | |
| Carbon fibre (S-2) | 300 | 86 | 4.7–4.8 | 2.8–3.0 | [68] |
| 77 | 90 | 2.8 | |||
| 20 | 92 | 2 | |||
| Aramid (Kevlar®49) | 300 | 113–130 | 3.6–4.0 | −4.9–−2.9 | [77,78] |
| 77 | 3.8–4.1 | About 0 | |||
| 20 | 3.7–4.0 | About 0 | |||
| CNT (SWCNT) | RT | 1000 | 3.6 | [73,76] | |
| 77 | −1–1 | ||||
| 20 | |||||
| Graphene (mono-/few-layer) | 300 | 1000 | 100–130 | −8.0 | [73,76] |
| 77 | −6–−2 | ||||
| 20 | −1–0 | ||||
| h-BN (few-layer, suspended) | 300 | 860 | 70 | −1–1 | [79,80,81,82] |
| 77 | −1–0 | ||||
| 20 | −0.5–0 |
| Resin | Fibre | ILSS at RT (MPa) | ILSS at CT (MPa) | Reference |
|---|---|---|---|---|
| Epoxy | Glass | 27 | 20 | [117] |
| Epoxy | Glass-Carbon hybrid | 38 | 32 | [117] |
| SiO2-modified epoxy | Carbon | 97 | 158 | [106] |
| Epoxy | Carbon | 50 | 36 | [108] |
| Modified epoxy | Carbon | 32 | 36 | [37] |
| GO-modified epoxy | Carbon | 64 | 82 | [39] |
| GO-modified epoxy | Carbon | 65 | 110 | [31] |
| Carboxylated graphene-modified epoxy | Carbon | 32 | 37 | [113] |
| FCNT-modified epoxy | Carbon | 38 | 48 | [112] |
| GNP -modified epoxy | Carbon | 75 | 64 | [109] |
| CNF -modified epoxy | Carbon | 70 | 60 | [109] |
| CNT-modified epoxy | Carbon | 69 | 66 | [109] |
| Additive Type (Concentration) | Matrix | Temp. (K) | Key Performance Change | Key Mechanism |
|---|---|---|---|---|
| Vertically aligned MWCNTs (0.5 wt%) | Epoxy | 77 | IFSS ↑62.32% | Covalent bonding, fibre-matrix bridging [109] |
| MXene nanosheets (0.1 wt%) | Epoxy/CFRP | 90 | Crack propagation ↓3.2×; Peel stress ↓40% | Orthotropic alignment, CTE reduction [21] |
| GO nanosheets (0.25 wt%) | Epoxy/CFRP | 77 | ILSS ↑15.63% (RT); Recovery after cryo-cycling | Oxygen functional groups, hydrogen bonding [37] |
| G-COOH functionalized GN (1.5 g/L) | Epoxy/CFRP | 77 | ILSS ↑20.78%; FS ↑5.35% | Negative CTE, interfacial clamping [112] |
| CuO nanorods (1.5 wt%) | Epoxy | 77 | Tensile strength ↑44.0% | Negative thermal expansion (NTE) [10] |
| EFPS-grafted SiO2 (5 wt%) | Epoxy | 90 | Fracture toughness ↑48.82% (RT); TS ↑17.07% | Flexible chains, SiO2 debonding energy dissipation [123] |
| Hybrid System | Composition | Temp. (K) | Key Performance Advantage | Synergy Mechanism |
|---|---|---|---|---|
| CF/GF interlaminar hybrid | [C2G3] | 77 | Flexural strength ↑27.82% vs. pure GF | CTE mismatch-induced compressive stress [124] |
| Epoxy/GO/nano-Al(OH)3 | 0.1 wt% GO + 3 phr NA | 90 | Fracture toughness ↑30.27%; Liquid oxygen (LOX) compatibility ↑ | GO crack-path tortuosity + NA crack refinement [40] |
| Carbon/Kevlar hybrid | [KCKCKC]s | 77 | ILSS: 35 MPa; Thermal stress ↓40% | Alternating plies mitigate CTE mismatch [125] |
| Flax/hemp epoxy | Flax-hemp-flax layup | 77 | Impact strength retention ↑21.6% (45 min exposure) | NaOH treatment, interfacial adhesion retention [126] |
Disclaimer/Publisher’s Note: The statements, opinions and data contained in all publications are solely those of the individual author(s) and contributor(s) and not of MDPI and/or the editor(s). MDPI and/or the editor(s) disclaim responsibility for any injury to people or property resulting from any ideas, methods, instructions or products referred to in the content. |
© 2026 by the authors. Licensee MDPI, Basel, Switzerland. This article is an open access article distributed under the terms and conditions of the Creative Commons Attribution (CC BY) license.
Share and Cite
Huang, F.; Han, Z.; Wei, M.; Gan, Z.; Wang, Y.; Lu, X.; Yin, G.; Zhuang, K.; Zhang, Z.; Gao, Y.; et al. Cryogenic Performance and Modelling of Fibre- and Nano-Reinforced Composites: Failure Mechanisms, Toughening Strategies, and Constituent-Level Behaviour. J. Compos. Sci. 2026, 10, 36. https://doi.org/10.3390/jcs10010036
Huang F, Han Z, Wei M, Gan Z, Wang Y, Lu X, Yin G, Zhuang K, Zhang Z, Gao Y, et al. Cryogenic Performance and Modelling of Fibre- and Nano-Reinforced Composites: Failure Mechanisms, Toughening Strategies, and Constituent-Level Behaviour. Journal of Composites Science. 2026; 10(1):36. https://doi.org/10.3390/jcs10010036
Chicago/Turabian StyleHuang, Feng, Zhi Han, Mengfan Wei, Zhenpeng Gan, Yusi Wang, Xiaocheng Lu, Ge Yin, Ke Zhuang, Zhenming Zhang, Yuanzhi Gao, and et al. 2026. "Cryogenic Performance and Modelling of Fibre- and Nano-Reinforced Composites: Failure Mechanisms, Toughening Strategies, and Constituent-Level Behaviour" Journal of Composites Science 10, no. 1: 36. https://doi.org/10.3390/jcs10010036
APA StyleHuang, F., Han, Z., Wei, M., Gan, Z., Wang, Y., Lu, X., Yin, G., Zhuang, K., Zhang, Z., Gao, Y., Su, Y., Sun, X., & Cheng, P. (2026). Cryogenic Performance and Modelling of Fibre- and Nano-Reinforced Composites: Failure Mechanisms, Toughening Strategies, and Constituent-Level Behaviour. Journal of Composites Science, 10(1), 36. https://doi.org/10.3390/jcs10010036

