Next Article in Journal
Electrical Properties of Composite Materials: A Comprehensive Review
Previous Article in Journal
Development of a Molding Mixture for the Production of Large-Sized Casting Molds
 
 
Font Type:
Arial Georgia Verdana
Font Size:
Aa Aa Aa
Line Spacing:
Column Width:
Background:
Article

Investigation of the Durability Issue in the Bending of a Thin-Walled Rod with Multimodular Properties

1
Department of Radiotechnics and Telecommunication, Azerbaijan Technical University, Baku AZ1073, Azerbaijan
2
Department of Radioelectronics, National Aviation Academy, Baku AZ1045, Azerbaijan
3
Department of Metallurgy and Materials Technology, Azerbaijan Technical University, Baku AZ1073, Azerbaijan
4
Department of Engineering Mathematics and Artificial Intelligence, Azerbaijan Technical University, Baku AZ1073, Azerbaijan
*
Author to whom correspondence should be addressed.
J. Compos. Sci. 2025, 9(8), 437; https://doi.org/10.3390/jcs9080437
Submission received: 14 July 2025 / Revised: 4 August 2025 / Accepted: 8 August 2025 / Published: 14 August 2025
(This article belongs to the Section Composites Modelling and Characterization)

Abstract

This article investigates the problem of bending failure in a rectilinear thin-walled rod consisting of a multimodular material exhibiting different elastic properties in tension and compression, with applications to the structural design of space satellites, unmanned aerial vehicles, aeronautical systems, and nano- and micro-class satellites. Nonlinear differential equations have been formulated to describe the propagation of the failure front under transverse loading. Formulas for determining the incubation period of the failure process have been derived, and the problem has been solved. Based on the developed model, new analytical expressions have been obtained for the displacement of the neutral axis, the stiffness of the rod, the distribution of maximum stresses, and the motion of the failure front. The influence of key parameters—such as the singularity coefficient of the damage nucleus and the ratio of the elastic moduli—on the service life and failure dynamics of the rod has been analyzed. Using the obtained results, the effect of the multimodular properties on the long-term strength of thin-walled rods under pure bending has been thoroughly studied. The analysis of the constructed curves shows that an increase in the “fading of memory” (memory-loss) parameter, which characterizes the material’s ability to quickly “forget” previous loadings and return to equilibrium, can, in certain cases, lead to a longer service life.

1. Introduction

The calculation of the stress–strain state of materials used in the design of structures for space satellites, unmanned aerial vehicles, aviation technical systems, and nano- and micro-class satellites, within the framework of linear elasticity theory, is often insufficient. This is due to the fact that most modern materials obey Hooke’s law only at small deformations, and in many cases, the investigated elements are operated under deformations that exceed the linear region. During the operation of such structures, even under small loads, the relationship between the resulting stress and strain in these materials follows a nonlinear law. Furthermore, such materials exhibit different elastic properties under tension and compression, and they are recognized as multimodular materials [1].
For instance, graphene, the stiffest material with minimal resistance and frequently used in recent times, has a compressive elastic modulus several times greater than its tensile elastic modulus [2,3]. Similarly, certain popular composite materials, such as graphite epoxy resin used as a filler, possess different elastic moduli under tension and compression. Numerous experiments have established that the compressive elastic modulus of graphite material is four times greater than its tensile elastic modulus [4].
To maximize the capabilities and communication connectivity of nano- and micro-class satellites and structures [5,6], which are constrained by size, weight, and high durability, mechanisms with a high deployable surface area relative to packaging volume are required. In this context, developing compact deployable mechanisms for this class of satellites becomes challenging without a thorough understanding of the mechanics of high-strength materials and structures. Previous studies [7,8,9,10,11,12,13,14,15,16,17,18,19,20] have presented a manufacturing process, experimental testing, and a progressive failure model to investigate the deformation of a composite rod in the form of an ultra-thin rod. Studies have examined the deformation modes of the rod and buckling failure in bending under eccentric torsion, subjected to cyclic pure bending loads using a four-point bending setup. A distributed (continuum) damage mechanics model for the rod was refined using experimental coupon testing and employed for open finite element analysis. It was demonstrated that the thin, highly rigid rod can sustain a bending radius of 14 mm without significant damage to the fiber or matrix. The results of the bending simulation were found to closely align with experimental outcomes, indicating that the simulation accurately describes deformation stages and predicts material damage. The research findings elucidate the structural properties of a system of ultra-thin, highly rigid rods with a progressive damage model, which can be utilized for designing complex deployable payloads for nano- and micro-class satellites. Further exploration in this field remains highly relevant.
Considering the relevance of the issue, the development of composite elements incorporating multimodular materials for nano- and micro-class satellites requires the creation of mathematical models capable of providing accurate results for durability issues under operating conditions relevant to the investigated structures. This necessitates first addressing the physically nonlinear problem of elasticity theory, as in cases involving material heterogeneity or damage. It is well-known that calculating structural elements beyond the limits of linear elasticity introduces challenges due to both complex mathematical computations and the inapplicability of certain principles of classical linear elasticity theory, particularly the impossibility of using the principle of load independence or the absence of a potential for internal forces. Additionally, the material’s structure significantly influences the failure process, which can be complex and unstable. The failure process also depends on external factors, such as the nature of loading, thermal conditions, turbulence, surface effects, and other factors, all of which affect the material’s stress state and, consequently, form the basis of the failure process.
One type of failure is associated with arbitrary defects that form and accumulate in materials, expressed by the general term “damage.” Such failure is referred to as distributed (continuum) failure. In cases of uniform stress (e.g., during rod tension), damage increases uniformly with respect to volume. However, when the stress field is non-uniform, the analysis of the failure process requires distinguishing two stages: the latent failure stage (incubation period) and the manifest failure stage. During the latent failure stage, microcracks and other defects form within a specific time interval ( 0 t < t * ). At t = t * , localized failure occurs. Around these localized failure regions, distributed microcracks and other defects coalesce, forming macrocracks. For instance, experiments on material fatigue failure indicate that, in the initial stage, damage accumulates steadily and exhibits a distributed character. By the end of this stage, macrocracks form, which then develop intensively in subsequent moments.
The problem of studying the stress–strain states of multimodular materials has attracted the attention of researchers since the first models for such materials were proposed by Bert [8] and other authors. Chen [9] and others utilized the Timoshenko method to investigate the dynamic stability of a multimodular beam subjected to periodic uniaxial loading, with the instability zone in the beam identified using the Bolotin method.
In [10,11,12], the problem of pure bending of a rectangular cross-section beam made from AK4-1T aviation alloy, exhibiting different tensile and compressive properties under a constant temperature and subjected to a pure bending moment, was investigated. The study addressed creep and long-term strength issues in the given structure, considering all stages of stress redistribution up to the onset of failure. The numerical solution of the problem, described by a system of differential algebraic equations, was performed using equations from the energy version of creep theory, along with methods for continuation of the solution with parameters and optimal parametrization. The system of ordinary differential equations was solved numerically using methods such as Euler, Euler–Cauchy, and fourth-order Runge–Kutta [11,12,21]. Based on the results of the numerical calculations, a comparison of two methods for solving the problem was provided, along with a comparison of the obtained numerical solutions with experimental data. However, these results pose certain mathematical challenges for other materials with multimodular properties. Therefore, the development of a more advanced model is considered appropriate.
The analysis of existing classical approaches and previous research shows that the influence of accumulated damage over time and asymmetric elastic properties does not allow for a sufficiently realistic description of the physical and mechanical processes of material degradation. Therefore, the development of new mathematical models for predicting the durability of multimodular materials and providing a more accurate analysis of the failure process is considered a relevant and important task.

2. Problem Statement

The problem of distributed failure in the pure bending of a rectilinear rod made from a material with different elastic properties under tension and compression is considered. For this purpose, it is assumed that the investigated body is continuous, homogeneous, deformable, and isotropic. At the same time, the homogeneous material exhibits a distinct behavior: its properties are identical at all points, but at a given point, it possesses different elastic properties depending on the sign of the principal stresses (positive or negative).
It is assumed that when the principal stresses at a specific point or section of an element exhibit uniform signs (either tension, σ i > 0 , or compression, σ i < 0 , where i denotes the principal direction), the set of elastic constants aligns with those of the classical theory of elasticity. Conversely, in cases where the principal stresses differ in sign, two distinct sets of elastic constants are observed. The material possesses a modulus of elasticity E + under uniaxial tension and a modulus E under uniaxial compression. Correspondingly, Poisson’s ratio ν + characterizes transverse contraction under tension, while ν describes transverse expansion under compression. During simultaneous tension and compression in different directions, the elastic moduli E + and E , and Poisson’s ratios ν + and ν , respectively, remain constant.
It is also assumed that the material undergoes only small elastic deformations under any stress condition and obeys the general laws of a completely elastic medium.
As is known, in the pure bending of a homogeneous rod, the fibers parallel to its longitudinal axis deform and rotate with respect to the neutral axis. The fibers on the convex side of the rod elongate, and the fibers on the concave side shorten. There exists a layer between them, the length of which remains unchanged. This layer is called the neutral layer, and its intersection with the cross-section is known as the neutral axis. Tension occurs in fibers above this axis and compression below. Therefore, normal stresses arise throughout the cross-section except at the neutral axis (uniaxial stress state) [13,14,15,16,17,18,19,20,21].
Let the initial cross-section of the bar be rectangular, with height d 0 , width b, and length l ( z 0 < b ). Assume the initial horizontal axis coincides with the neutral axis x 0 , and let z 0 denote the vertical coordinate from this axis. Suppose a constant bending moment M x is applied. The resulting strain at a distance z 0 from the axis is given as follows:
ε = z 0 ρ
where ρ is the radius of curvature of the neutral axis. According to Hooke’s law, the longitudinal normal stresses are as follows:
σ x + = E + ε , 0 < z 0 < d 01
σ x = E ε , d 02 < z 0 < 0
For pure bending, the equilibrium condition must hold the following:
A + σ x + d A + + A σ x d A = 0
Substituting the above expressions and integrating, we obtain the following:
E + d 01 2 = E d 02 2
Also,
d 0 = d 01 + d 02
From Equations (5) and (6), the location of the neutral axis can be determined.
The total bending moment is given as follows:
A + σ x + y 0 d A + + A σ x y 0 d A = M x
Introducing moments of inertia generates the following:
J x + = A + y 0 2 d A + , J x = A y 0 2 d A
The radius of curvature and stiffness of the bar are then described as follows:
1 ρ = M x D
D = E + J x + + E J x
Writing the integrals explicitly as follows:
D = b 3 E d 02 3 + E + d 01 3
Substituting into the following stress expressions:
σ x + = E + M x D z 0
σ x = E M x D z 0
Since the material has different viscoelastic and strength properties in tension and compression, the failure criteria are as follows [14]:
σ x + + K * + σ x + = σ s +
σ x + K * σ x = σ s
where σ s + and σ s are the tensile and compressive strength limits, respectively, and K * + and K * are damage operators defined via viscoelastic integral kernels [14,15,16,17,18,19,21]:
K * + σ x + = 0 t K + ( t τ ) σ x + ( τ ) d τ
K * σ x = 0 t K ( t τ ) σ x ( τ ) d τ
Here, K + ( t τ ) and K ( t τ ) are the damage kernels.

3. Problem Solving

The maximum bending moment produced when a transverse force is applied M x max = P l 4 at a point on a bar of length l is at x = l 2 , and for simplicity it is assumed that the initial failure occurs in the tension layer. For this case, from Equation (12), the tensile stress is written as follows:
σ x + = 3 P l 4 b n d 02 3 + d 01 3 y 0
Here, n = E E + .
When the expression obtained in Equation (18) is taken into account in the dispersion criterion (14), with y 0 = d 01 :
3 P l d 01 4 b n d 02 3 + d 01 3 ( 1 + K * + · 1 ) = σ s +
or clearly:
0 t 0 K + ( τ ) d τ = 4 b α d 02 3 + d 01 3 σ s + 3 P l d 01 1
attitude is taken.
Of the integral operator K + ( τ ) characterizing the damage K * + is specifically defined. This kernel K * + ( t ) = λ t m is obtained from (20) by adding the weak singular kernel in the form of an Abelian kernel ( 0 < m < 1 ):
t 0 = 1 m λ 4 b α d 02 3 + d 01 3 σ s + 3 P l d 01 1 1 1 m
The dimensionless quantity is included in the following figure:
g = 4 b n d 02 3 + d 01 3 σ s + 3 P l d 01
Then,
t 0 = 1 m λ ( g 1 ) 1 1 m
In the case where the operator has a kernel K * + ( t ) = λ = const :
t 0 = g 1 λ
occurs.
From the analysis of the above formulas, it is clear that the longevity of the layer working in tension depends on the value of n. As the value of n increases, the value of g also increases, which creates conditions for the increase in the bending capacity of the bar. At the same time, it can be seen from Formula (21) that the acceleration of the scattering front also sharply depends on the parameter m, which is the singularity coefficient of the operator kernel. As the value of m approaches unity, the value of t 0 increases sharply. The development scheme of the failure front arising in the rod is shown in Figure 1.
In the next stage, the layer adjacent to the collapsing layer will begin to collapse and δ —a layer of varying thickness—will be formed as the collapse region expands. In this case, the neutral axis will shift downward. Assuming that the x axis is directed in the direction of the neutral axis, since the z coordinate decreases as the collapse region progresses, this coordinate will be calculated from that neutral axis. If we denote y ( t ) as the thickness of the uncollapsing part of the rod, d ( t ) = d 1 ( t ) + d 2 ( t ) will decrease as follows:
z ( t ) = d ( t ) d 1 ( τ )
From Equation (5), d 2 ( t ) is described as follows:
d 2 ( t ) = d 1 ( t ) n
By writing (25) and (26) in (12), the following formula is obtained for the normal stress generated in a layer with varying thickness and tension:
σ x + ( d 1 ( t ) , d 1 ( τ ) ) = 3 P l 4 ( 1 + n ) b d 1 3 ( τ ) ( 1 + n ) d 1 ( t ) d 1 ( τ )
or
σ x + ( d 1 ( t ) , d 1 ( τ ) ) = 3 P l 4 b d 1 3 ( τ ) d 1 ( t ) 3 P l 4 ( 1 + n ) b d 1 2 ( τ )
The rupture front will expand and instantly pass through the fixed z 0 coordinate of the region. Then, d 1 ( t ) —the dependence of the longitudinal stress generated at the rupture front on the z coordinate—is as follows:
σ x + ( d 1 ( t ) ) = 3 n P l 4 ( 1 + n ) b d 1 2 ( t )
After substituting the d 1 ( t ) above relations (27) and (28) into the collapse criterion (14), the nonlinear integral equation characterizing the development of the collapse front formed in the beam and depending on its function is obtained as follows:
3 n P l 4 ( 1 + n ) b d 1 2 ( t ) + 3 P l d 1 ( t ) 4 b 0 t d τ d 1 3 ( τ ) + 3 P l 4 ( 1 + n ) b 0 t d τ d 1 2 ( τ ) = σ s +
Before moving to dimensionless quantities in Equation (30), the following transformation is performed:
3 n P l 4 ( 1 + n ) b d 0 2 d 1 2 ( t ) d 0 2 + 3 P l 4 b d 0 2 d 1 ( t ) d 0 0 t d τ d 1 3 ( τ ) d 0 3 + 3 P l 4 ( 1 + n ) b d 0 2 0 t d τ d 1 2 ( τ ) d 0 2 = σ s +
Dimensionless quantities are introduced for variable time and variable thickness as follows:
θ = λ t ; η = λ τ ; β ( θ ) = d 1 ( t ) d 0 ; χ = 4 σ s + b d 0 2 3 P l
Here, λ is a constant quantity, the size of which is the inverse of the size of time. If the damage kernel is constant, λ can be taken equal to 1. Taking (32) into account in (31), this equation is as follows:
n ( 1 + n ) β 3 ( θ ) + 0 θ K 1 + ( θ η ) β 3 ( η ) d η + 1 ( 1 + n ) β ( θ ) 0 θ K 1 + ( θ η ) β 2 ( η ) d η = χ β ( θ )
where K 1 + ( θ η ) = λ 1 K + ( θ η ) .
To qualitatively characterize the decomposition process and make analytical evaluations, we can take K 1 + ( θ η ) = 1 , i.e., the kernel of the damage operator is constant, K + ( θ η ) = λ . In this case, Equation (33) becomes the following:
n ( 1 + n ) β 3 ( θ ) + 0 θ d η β 3 ( η ) + 1 ( 1 + n ) β ( θ ) 0 θ d η β 2 ( η ) = χ β ( θ )
Differentiating Equation (34) with respect to dimensionless time θ , the following equation is obtained:
d β d θ 3 n ( 1 + n ) β 2 ( θ ) + 1 1 + n 0 θ d η β 2 ( η ) χ = 2 + n ( 1 + n ) β ( θ )
In Equation (35), for η < θ 0 and β ( η ) = 1 , f ( θ 0 ) = 1 , for dimensionless time θ = θ 0 , it is
d β d θ θ = θ 0 = 2 + n 3 n + θ 0 χ ( 1 + n )
According to relation (24), the dimensionless value of the latent decay time when the kernel of the damage operator is fixed it is described as follows:
θ 0 = g 1
For this case, Equation (36) becomes the following:
d β d θ θ = θ 0 = 2 + n 3 n + g 1 χ ( 1 + n )
It is clear from relation (38) that with the increase of n (the increase in the stiffness of the tensile part), the speed of movement of the dispersion front decreases.
Again, the equation of motion of the scattering front is determined as follows:
d 2 β d θ 2 6 n ( 2 + n ) β 2 d β d θ 3 + 3 + n ( 2 + n ) β d β d θ 2 = 0
As you can see, this equation is a second-order nonlinear differential equation. To solve it using the method of order reduction, a new function f ( β , d β / d θ ) is introduced:
d β d θ = f
Then,
d 2 β d θ 2 = f d f d β
If we substitute Equations (40) and (41) into (39), the following equation is obtained:
f d f d β 6 n ( 2 + n ) β 2 f 3 + 3 + n ( 2 + n ) β f 2 = 0
Since d β / d θ = f 0 , Equation (42) can be written as follows:
d f d β = 6 n f 2 ( 3 + n ) β f ( 2 + n ) β 2
The right-hand side of this equation is a homogeneous function of degree zero. Therefore, making the substitution f = z β , the following separable differential equation is obtained:
d z 6 n z 2 ( 5 + 2 n ) z = 1 2 + n d β β
After integration, the solution becomes the following:
z = 5 + 2 n 6 n 1 ( C β ) 5 + 2 n 2 + n
Using this equation, the function f is defined as follows:
f = ( 5 + 2 n ) β 6 n 1 ( C β ) 5 + 2 n 2 + n
After substituting Equation (46) into Equation (40), the equation becomes the following:
d β d θ = ( 5 + 2 n ) β 6 n 1 ( C β ) 5 + 2 n 2 + n
Using the initial condition from Equation (38), the integral constant entering Equation (47) is found as follows:
C 5 + 2 n 2 + n = 1 ( 5 + 2 n ) ( 3 n + g 1 χ ( 1 + n ) ) 6 ( 2 n + n )
From (47) and (48), the equation of motion of the scattering front is as follows:
d β d θ = ( 5 + 2 n ) β 6 n 1 1 ( 5 + 2 n ) ( 3 n + g 1 χ ( 1 + n ) ) 6 ( 2 n + n ) β 5 + 2 n 2 + n
After integrating this equation within the initial condition β ( θ 0 ) = 1 , the following equality is obtained:
1 ( 5 + 2 n ) 2 [ 6 n ( 5 + 2 n ) ln | β | + 6 ( 2 n + n ) ( 5 + 2 n ) ( 3 n + g 1 χ ( 1 + n ) ) × 1 β 5 + 2 n 2 + n ] = θ θ 0
For the formation of a rupture front, the limits of the values that the transverse force can take must be determined. The formation of a rupture front P is possible when the condition in Equation (38) is satisfied. For this 3 n + g 1 χ ( 1 + n ) < 0
χ > 3 n + g 1 1 + n
Using this condition and the last relation in (32), the transverse force can be estimated as follows:
P < P * = 4 ( 3 n + g 1 ) σ s + b d 0 2 3 ( 1 + n ) l
Also, using Equation (24), the value of the transverse force during the period before the initial collapse is obtained:
P < P ( * * ) = [ n d 2 3 + d 1 3 ] b σ s + 3 d 1
The dissipation occurs instantaneously at the values of P for which d β d θ > 0 . When condition (49) is satisfied, from (49) P > P * , and from (39) d 2 β d θ 2 > 0 .
Thus, when the above conditions are met, the collapse occurs and expands. At the moment of complete collapse, the speed of the collapse process increases infinitely ( d β d θ = ). Using Equation (49), the critical value of the dimensionless thickness of the rod at the moment of complete collapse is found as follows:
β cr = 6 ( 2 n + n ) 6 ( 2 n + n ) ( 5 + 2 n ) ( 3 n + g 1 χ ( 1 + n ) ) 2 + n 5 + 2 n
Also, by writing relation (54) in (50), the final dissipation time can be calculated as follows:
θ cr = θ 0 + 1 ( 5 + 2 n ) 2 [ 6 n ( 5 + 2 n ) ln | β cr | + 6 ( 2 n + n ) ( 5 + 2 n ) ( 3 n + g 1 χ ( 1 + n ) ) × 1 β cr 5 + 2 n 2 + n ]
For the element with linear dimensions a = 15 mm , d 0 = 3 mm , l = 195 mm , material tensile strength σ s + = 1.3 kg / mm 2 , and transverse load P = 1 kg , the value χ = 1.2 is obtained from the fourth factor of expression (32). Using Equation (50), the curves were constructed for the function β ( θ ) characterizing the motion of the scattering front for three values of the parameter n.
The analysis of the constructed curves (Figure 2), the analysis of the constructed curves shows that as the value of the parameter n increases, the critical moment of the decomposition time also increases. That is, the complete decomposition time (longevity) of the material increases.
To qualitatively analyze the damage process, an exponential kernel K 1 + ( θ η ) = e m ( θ η ) is chosen for the kernel of the integral operator instead of a fixed kernel, where m is referred to as the “memory decay” parameter. The “memory decay” effect is often used in materials with viscoelastic and nonlinear damage characteristics, and the intensity of this effect is typically modeled by a numerical parameter. In this case, the integral equation characterizing the motion of the rupture front takes the following form:
n ( 1 + n ) β 3 ( θ ) + 0 θ e m ( θ η ) β 3 ( η ) d η + 1 ( 1 + n ) β ( θ ) 0 θ e m ( θ η ) β 2 ( η ) d η = χ β ( θ )
Each side of this equation is differentiated with respect to θ :
d β d θ 3 n e m θ ( 1 + n ) β 2 + 1 1 + n 0 θ e m η β 2 ( η ) d η χ e m θ = 2 + ( 1 + m ) n χ m ( 1 + n ) β 2 ( 1 + n ) β
For θ = 0 :
d β d θ θ = 0 = 2 + ( 1 + m ) n χ m ( 1 + n ) 3 n χ ( 1 + n )
Equation (57) is differentiated again with respect to dimensionless time θ , and the following differential equation is obtained:
d 2 β d θ 2 ξ 1 ( β ) d β d θ 3 + ξ 2 ( β ) d β d θ 2 ξ 3 ( β ) d β d θ = 0
The following markings are included as follows:
ξ 1 ( β ) = 6 n ( 2 + ( 1 + m ) n χ m ( 1 + n ) β 2 ) β 2 , ξ 2 ( β ) = 3 + ( 1 + 4 m ) n ( 2 + ( 1 + m ) n χ m ( 1 + n ) β 2 ) β , ξ 3 ( β ) = m ( 2 + ( 1 + m ) n ) χ m 2 ( 1 + n ) β 2 2 + ( 1 + m ) n χ m ( 1 + n ) β 2
This equation is a second-order nonlinear differential equation and involves high degrees of the derivative of the unknown function. Since the analytical solution of the equation is complex, it is considered more convenient to use a numerical method (finite differences).
Since f ( θ ) takes small values, some simplifications can be made in the equation. Therefore, when (40) is taken into account in (59),
d f d θ = ξ 1 ( β ) f 3 ξ 2 ( β ) f 2 + ξ 3 ( β ) f
can be taken.
The results obtained from numerical calculations are presented in the following graphs:
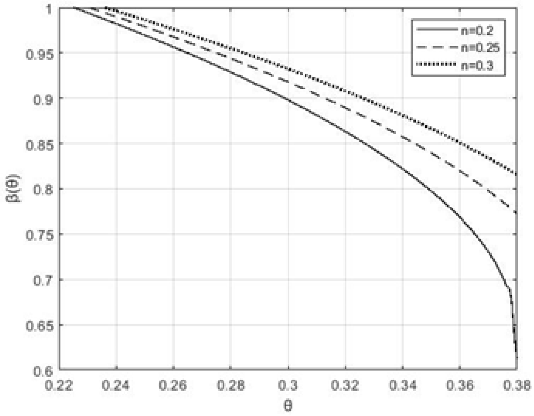
The analysis of the constructed curves (Figure 3 and Figure 4) shows that, in the case of an exponential kernel, the effect of the parameters m and n on the speed of the dispersion is considerable. As the value of m increases, the influence of the distant past decreases, which means that the damage does not accumulate, and therefore, the service life is extended.
The analysis of the constructed curves shows that the main factors affecting the durability of a bar made of a multimodulus material are physical and mechanical factors. These factors are mainly included in the obtained equations and are characterized by their parameters m, n, and χ .

4. Conclusions

A mathematical model has been developed and solved for the problem of the formation and development of the failure region during pure bending of a rod with a rectangular cross-section, made from a material exhibiting different properties under tension and compression, in the context of designing structures for space satellites, unmanned aerial vehicles, aviation technical systems, and nano- and micro-class satellites. The problem was investigated for various forms of the kernel of the damage operator (constant and exponential). For the exponential kernel, it was shown that an increase in the parameter expressing the “memory fading” effect accelerates the decay of mechanical stress influence, reduces damage accumulation, and prolongs the service life of the material. As the parameter m increases, the kernel function decays faster, the material “forgets” its past more quickly, and the memory effect weakens, reflecting an accelerated memory fading process.
Additionally, formulas for the incubation period and integral equations describing the motion of the failure front were derived. Qualitative analysis for special cases was provided. For the exponential kernel, curves representing the motion of the failure front were constructed using numerical computation methods. It was revealed that the variability of the ratio of elastic moduli has a significant effect on the propagation speed of the failure front.
The obtained results can be applied to predict the durability of materials with different stiffnesses under tension and compression, which are used in the design and production of structures for space satellites, unmanned aerial vehicles, aviation technical systems, and nano- and micro-class satellites.
The boundary conditions obtained from the developed mathematical model ( P * , θ 0 , β c r ) make it possible to predict the moment of material failure in advance. As a result, this is of great importance for the early detection of initial damage and for the assessment of the service life of the structural component. The performed numerical calculations and graphical analyses confirm that the proposed model is suitable for application using both analytical and numerical methods.

Author Contributions

Conceptualization and formal analysis, M.H. and S.N.; mathematical computations and derivation of equations, S.P.; graph generation and validation, K.A.; writing—original draft preparation, M.H.; writing—review and editing, S.N.; All authors have read and agreed to the published version of the manuscript.

Funding

This research was funded by the Azerbaijan Science Foundation, Grant No. AEF-BQM-BRFTF-4-2024-5(53)-06/01/1-M-01.

Institutional Review Board Statement

Not applicable.

Informed Consent Statement

Not applicable.

Data Availability Statement

The data presented in this study are available on request from the corresponding author.

Conflicts of Interest

The authors declare no conflicts of interest.

References

  1. Krysko, A.V.; Awrejcewicz, J.; Bodyagina, K.S.; Zhigalov, M.V.; Krysko, V.A. Mathematical modeling of physically nonlinear 3D beams and plates made of multimodulus materials. Acta Mech. 2021, 232, 3441–3469. [Google Scholar] [CrossRef]
  2. Geim, A.K. Graphene: Status and prospects. Science 2009, 324, 1530–1534. [Google Scholar] [CrossRef] [PubMed]
  3. Tsoukleri, G.; Parthenios, J.; Papagelis, K.; Jalil, R.; Ferrari, A.C.; Geim, A.K.; Novoselov, K.S.; Galiotis, C. Subjecting a graphene monolayer to tension and compression. Small 2009, 5, 2397–2402. [Google Scholar] [CrossRef] [PubMed]
  4. Yao, W.J.; Ye, Z.M. Analytical method and the numerical model of temperature stress for the structure with different modulus. J. Mech. Strain 2005, 27, 808–814. [Google Scholar] [CrossRef]
  5. Hasanov, M.H.; Atayev, N.A. Early conceptual model of nanosatellite with laser beam control and active transponder system. In Proceedings of the 2022 Systems of Signal Synchronization, Generating and Processing in Telecommunications (SYNCHROINFO), Arkhangelsk, Russia, 29 June–1 July 2022. [Google Scholar]
  6. Hasanov, M.H. Efficiency of a piezoelectric deflector for a light beam in communication technology. Proc. AzTU 2010, 66, 44–46. [Google Scholar]
  7. Bhagatji, J.D.; Kravchenko, O.G.; Asundi, S. Mechanics of Pure Bending and Eccentric Buckling in High-Strain Composite Structures. Materials 2024, 17, 796. [Google Scholar] [CrossRef] [PubMed]
  8. Bert, C.W. Models for fibrous composites with different properties in tension and compression. ASME J. Eng. Mater. Technol. 1977, 99, 344–349. [Google Scholar] [CrossRef]
  9. Chen, L.Y.; Lin, P.D.; Chen, L.W. Dynamic stability of thick bimodulus beam. Comput. Struct. 1991, 41, 257–263. [Google Scholar] [CrossRef]
  10. Guden, M.; Gurler, Y.; Yildirim, S.; Daglioz, O.; Namazov, S. Strain Rate and Temperature Dependent Tensile Failure of a Short Glass Fiber Reinforced Polyamide Thermoplastic Composite. Mater. Sci. Forum 2024, 1119, 93–98. [Google Scholar] [CrossRef]
  11. Sosnin, O.V.; Nikitenko, A.F.; Gorev, B.V. Justification of the energy variant of the theory of creep and long-term strength of metals. J. Appl. Mech. Tech. Phys. 2010, 51, 608–614. [Google Scholar] [CrossRef]
  12. Bakioglu, M. Strength of Materials; Beta Basım Yayın: Istanbul, Türkiye, 2009; Volume 1, 503p. [Google Scholar]
  13. Piriev, S.A. Long-Term Strength of a Thick-Walled Pipe Filled with an Aggressive Medium, with Account for Damageability of the Pipe Material and Residual Strength. J. Appl. Mech. Tech. Phys. 2018, 59, 163–167. [Google Scholar] [CrossRef]
  14. Dmitriev, V.G.; Danilin, A.N.; Popova, A.R.; Pshenichnova, N.V. Numerical Analysis of Deformation Characteristics of Elastic Inhomogeneous Rotational Shells at Arbitrary Displacements and Rotation Angles. Computation 2022, 10, 184. [Google Scholar] [CrossRef]
  15. Sun, H.; Zhao, J.; Zheng, Z.; Jiang, Y.; Jin, X.; Deng, S.; Tang, Y.; Zhang, X. A review of the deformation mechanism and control of low stiffness thin-walled parts. CIRP J. Manuf. Sci. Technol. 2025, 60, 322–355. [Google Scholar] [CrossRef]
  16. Mitsos, I.S.; Guest, S.D.; Nhamoinesu, S.; Overend, M. Investigation of Double-Layer Tensegrity Glazing Systems. In Proceedings of the IASS-APCS 2012: From Spatial Structures to Space Structures, Seoul, Republic of Korea, 21–24 May 2012; International Association for Shell and Spatial Structures: Madrid, Spain, 2012. [Google Scholar]
  17. Treschev, A.; Zhurin, E. Bending of ring plates, performed from an orthotropic nonlinear differently resistant material. Int. J. Comput. Civ. Struct. Eng. 2020, 16, 130–146. [Google Scholar] [CrossRef]
  18. Shevtsov, S.; Hsyung, C.S.; Zhilyaev, I.; Chai, B.X.; Snezhina, N. Numerical Study of Thin-Walled Polymer Composite Part Quality When Manufactured Using Vacuum Infusion with Various External Pressure Controls. Polymers 2024, 16, 654. [Google Scholar] [CrossRef] [PubMed]
  19. Blythe, A.; Fox, B.; Nikzad, M.; Eisenbart, B.; Chai, B.X. Stiffness Retention in Cyclic-Loaded CFRP Composites Produced via Novel Automatic Tape Laying. J. Compos. Sci. 2024, 8, 92. [Google Scholar] [CrossRef]
  20. Chai, B.X.; Eisenbart, B.; Nikzad, M.; Fox, B.; Blythe, A.; Blanchard, P.; Dahl, J.A. A novel heuristic optimisation framework for radial injection configuration for the resin transfer moulding process. Compos. Part A Appl. Sci. Manuf. 2023, 165, 107352. [Google Scholar] [CrossRef]
  21. Akhmedov, N.K.; Piriev, S.A.; Rustamova, M.A. Mathematical Investigation of Long-Term Strength Issues of Cylindrical Rods Made of Heritage-Type Damageable Materials under Torsion. Mech. Solids 2024, 59, 1603–1613. [Google Scholar] [CrossRef]
Figure 1. Development scheme of the dispersion front formed in the rod.
Figure 1. Development scheme of the dispersion front formed in the rod.
Jcs 09 00437 g001
Figure 2. Movement curves of the dispersion front ( χ = 1.2 ).
Figure 2. Movement curves of the dispersion front ( χ = 1.2 ).
Jcs 09 00437 g002
Figure 3. Dispersion front movement curves for different values of m ( n = 0.2 , χ = 1.2 ).
Figure 3. Dispersion front movement curves for different values of m ( n = 0.2 , χ = 1.2 ).
Jcs 09 00437 g003
Figure 4. Dispersion front movement curves for different values of n ( m = 0.01 , χ = 1.2 ).
Figure 4. Dispersion front movement curves for different values of n ( m = 0.01 , χ = 1.2 ).
Jcs 09 00437 g004
Disclaimer/Publisher’s Note: The statements, opinions and data contained in all publications are solely those of the individual author(s) and contributor(s) and not of MDPI and/or the editor(s). MDPI and/or the editor(s) disclaim responsibility for any injury to people or property resulting from any ideas, methods, instructions or products referred to in the content.

Share and Cite

MDPI and ACS Style

Hasanov, M.; Namazov, S.; Abdullayev, K.; Piriev, S. Investigation of the Durability Issue in the Bending of a Thin-Walled Rod with Multimodular Properties. J. Compos. Sci. 2025, 9, 437. https://doi.org/10.3390/jcs9080437

AMA Style

Hasanov M, Namazov S, Abdullayev K, Piriev S. Investigation of the Durability Issue in the Bending of a Thin-Walled Rod with Multimodular Properties. Journal of Composites Science. 2025; 9(8):437. https://doi.org/10.3390/jcs9080437

Chicago/Turabian Style

Hasanov, Mehman, Subhan Namazov, Khagani Abdullayev, and Sahib Piriev. 2025. "Investigation of the Durability Issue in the Bending of a Thin-Walled Rod with Multimodular Properties" Journal of Composites Science 9, no. 8: 437. https://doi.org/10.3390/jcs9080437

APA Style

Hasanov, M., Namazov, S., Abdullayev, K., & Piriev, S. (2025). Investigation of the Durability Issue in the Bending of a Thin-Walled Rod with Multimodular Properties. Journal of Composites Science, 9(8), 437. https://doi.org/10.3390/jcs9080437

Article Metrics

Back to TopTop