Determination of the Steady State Fiber Orientation Tensor States in Homogeneous Flows with Newton–Raphson Iteration Using Exact Jacobians
Abstract
1. Introduction
2. Materials and Methods
2.1. Representation of Fiber Orientation State
2.2. Determination of Steady State Orientations
2.3. Fiber Orientation Modelling in the Dilute Regime
2.4. Fiber Orientation Modelling in Semi-Dilute and Concentrated Regime
2.4.1. The Folgar-Tucker Diffusion Model
2.4.2. Strain Reduction Factor (SRF) Model
2.4.3. Reduced Strain Closure (RSC) Model
2.4.4. Retarding Principal Rate (RPR) Model
2.4.5. Anisotropic Rotary Diffusion (ARD) Models
2.4.6. Nematic Potential (NEM) Model
2.5. Closure Approximations and Their Explicit Derivatives
2.5.1. Quadratic Closure Approximation
2.5.2. Linear Closure Approximation
2.5.3. Hybrid Closure Approximation
2.5.4. Hinch and Leal Closure Approximation
| WF | ISO | ||||||||
| LIN | |||||||||
| QDR | |||||||||
| SF | SF2 | ||||||||
| HL | HL1 | ||||||||
| HL2 |
2.5.5. Eigenvalue-Based Fitted (EBF) Closure Approximations
2.5.6. Invariant-Based Fitted (IBF) Closure Approximations
2.6. Error Estimate
3. Results
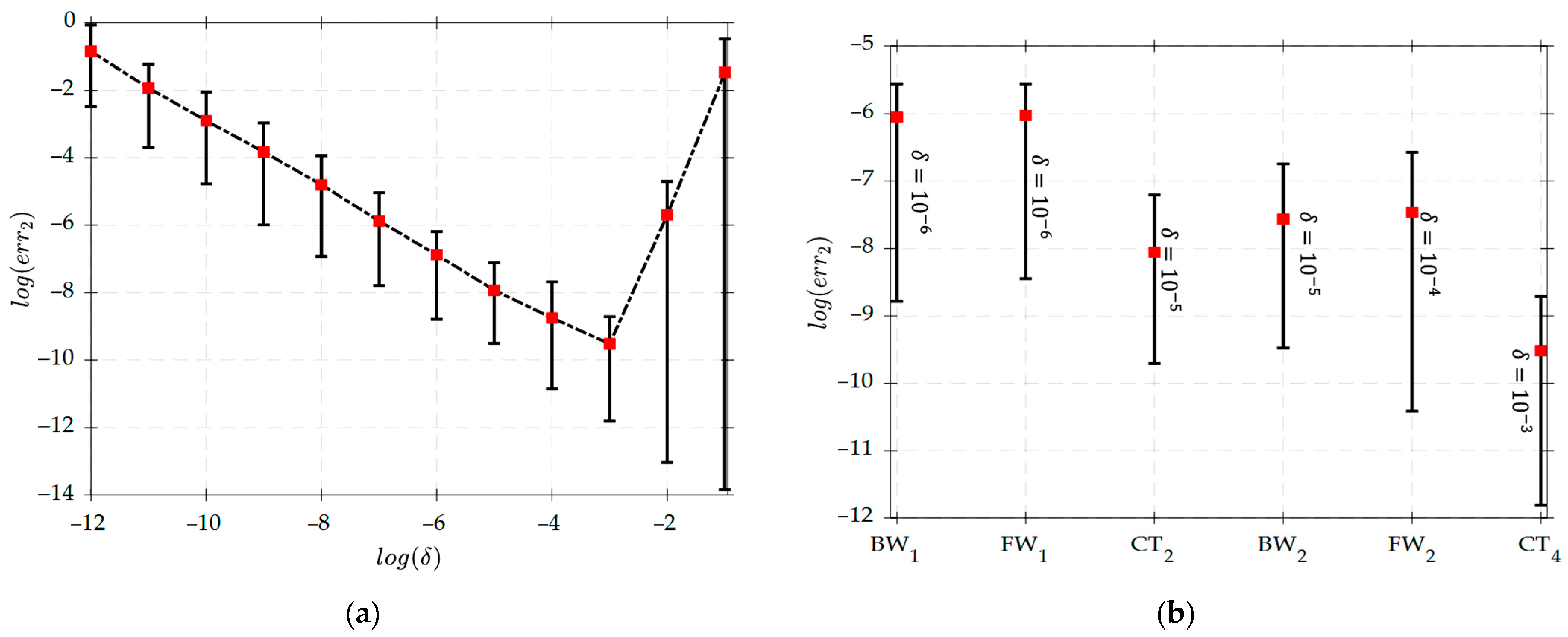
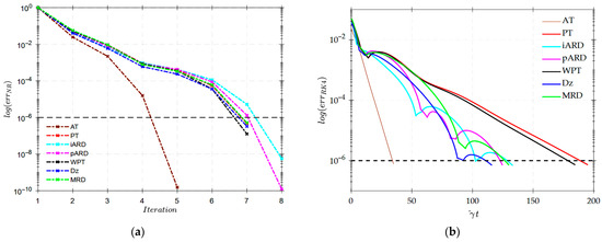
3.1. Validation of Exact Jacobians Based on Finite Difference Approximation
3.2. Comparison of the NR Method and the Dormand-Prince Runge–Kutta (RK45) Method
- L1: Simple shear flow in the 1–2 plane, .
- L2: Balanced shear/planar-elongation flow, simple shear in 1-2 plane superimposed on planar elongation in 1–2 plane. given that .
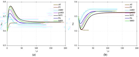
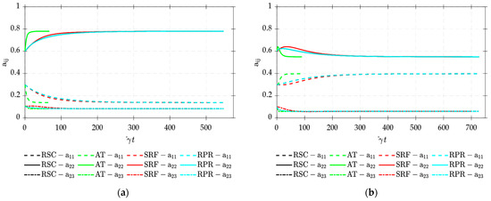
3.3. Performance of NR Method Using Various Closure Approximations
3.4. Homogenous Flow Considerations
- SS: Simple shear flow in the 2–3 plane, i.e., .
- SUA: Two stretching/shearing flows, including simple shear in 2–3 plane superimposed with uniaxial elongation in 3-direction, i.e., . Two cases are considered, including balanced shear/stretch with and dominant stretch with .
- UA: Uniaxial elongation flow in the 3—direction, i.e., .
- BA: Biaxial elongation (BA) flow in the 2–3 plane, i.e.,
- PST: Two shear/planar-elongation flows, including simple shear in 2–3 plane superimposed on planar elongation in 1–3 plane, . Two cases are considered, including balanced shear-planar elongation with and dominant planar elongation with .
- SBA: Balanced shear/bi-axial elongation flow, including simple shear in 2–3 plane superimposed on biaxial elongation, i.e., . Two cases are considered for the shear to extension rate, and .
4. Conclusions
- The computed exact Jacobians aligned closely with finite difference approximations for all fiber orientation tensor models and 4th order fiber orientation tensor closure approximations considered, and the degree of alignment depended on the perturbation size, finite difference type and finite difference order of approximation.
- The steady state orientation predictions from the NR solutions matched closely with the results predicted by the RK45 method for all fiber orientation tensor models, 4th order fiber orientation tensor closure approximations and homogenous flow types considered in this paper. The NR method was observed to be comparatively faster than the RK45 method for computing steady state values of the second order orientation tensor in all cases.
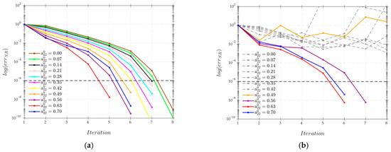
- The NR convergence and stability behavior depended on the type and complexity of the fiber orientation tensor model, the initial guess of the orientation tensor and the material properties of the underlying composite material. A good initial guess resulted in faster and more stable convergence to physical steady state solutions.
- The NR convergence behavior also depended on the flow type and extension-to-shear rate ratio. Higher shear rate dominance and flow symmetry increased the NR convergence rate and vice versa.
Author Contributions
Funding
Data Availability Statement
Conflicts of Interest
Appendix A
Appendix A.1. Eigenvalues and Eigenvector Derivatives
- ‘Mass’ Normalization
- 2.
- Preassigning an mth Component of
- 3.
- Predefining the Euclidean norm of
Appendix B
Appendix B.1. Optimal Fitted Closure Approximation Constants/Coefficients
Appendix B.1.1. Eigenvalue-Based Optimal Fitting Closure (EBOF) Approximation
- Linear Orthotropic Fitted Closure
- 2.
- Quadratic Orthotropic Fitted Closures
- 3.
- Cubic Orthotropic Fitted Closures
- Non-rational Fitted Closure
- Rational Fitted Closure
- 4.
- Quartic Orthotropic Fitted Closures
Appendix B.1.2. Invariant-Based Optimal Fitting Closure (IBOF) Approximation
| 1 | 2 | 3 | |
|---|---|---|---|
| 0 | 2.49409081657860 × 101 | −4.97217790110754 × 10−1 | 2.34146291570999 × 101 |
| 1 | −4.35101153160329 × 102 | 2.34980797511405 × 101 | −4.12048043372534 × 102 |
| 2 | 7.03443657916476 × 103 | 1.53965820593506 × 102 | 5.73259594331015 × 103 |
| 3 | 3.72389335663877 × 103 | −3.91044251397838 × 102 | 3.19553200392089 × 103 |
| 4 | −1.33931929894245 × 105 | −2.13755248785646 × 103 | −6.05006113515592 × 104 |
| 5 | 8.23995187366106 × 105 | 1.52772950743819 × 105 | −4.85212803064813 × 104 |
| 6 | −1.59392396237307 × 104 | 2.96004865275814 × 103 | −1.10656935176569 × 104 |
| 7 | 8.80683515327916 × 105 | −4.00138947092812 × 103 | −4.77173740017567 × 104 |
| 8 | −9.91630690741981 × 106 | −1.85949305922308 × 106 | 5.99066486689836 × 106 |
| 9 | 8.00970026849796 × 106 | 2.47717810054366 × 106 | −4.60543580680696 × 107 |
| 10 | 3.22219416256417 × 104 | −1.04092072189767 × 104 | 1.28967058686204 × 104 |
| 11 | −2.37010458689252 × 106 | 1.01013983339062 × 105 | 2.03042960322874 × 106 |
| 12 | 3.79010599355267 × 107 | 7.32341494213578 × 106 | −5.56606156734835 × 107 |
| 13 | −3.37010820273821 × 107 | −1.47919027644202 × 107 | 5.67424911007837 × 108 |
| 14 | −2.57258805870567 × 108 | −6.35149929624336 × 107 | −1.52752854956514 × 109 |
| 15 | −2.32153488525298 × 104 | 1.38088690964946 × 104 | 4.66767581292985 × 103 |
| 16 | 2.14419090344474 × 106 | −2.47435106210237 × 105 | −4.99321746092534 × 106 |
| 17 | −4.49275591851490 × 107 | −9.02980378929272 × 106 | 1.32124828143333 × 108 |
| 18 | −2.13133920223355 × 107 | 7.24969796807399 × 106 | −1.62359994620983 × 109 |
| 19 | 1.57076702372204 × 109 | 4.87093452892595 × 108 | 7.92526849882218 × 109 |
| 20 | −3.95769398304473 × 109 | −1.60162178614234 × 109 | −1.28050778279459 × 1010 |
References
- Jeffery, G.B. The motion of ellipsoidal particles immersed in a viscous fluid. Proc. R. Soc. Lond. Ser. Contain. Pap. Math. Phys. Character 1922, 102, 161–179. [Google Scholar] [CrossRef]
- Saffman, P.G. On the motion of small spheroidal particles in a viscous liquid. J. Fluid Mech. 1956, 1, 540–553. [Google Scholar] [CrossRef]
- Folgar, F.; Tucker, C.L. Orientation Behavior of Fibers in Concentrated Suspensions. J. Reinf. Plast. Compos. 1984, 3, 98–119. [Google Scholar] [CrossRef]
- Folgar Portillo, F. Fiber Orientation Distribution in Concentrated Suspensions: A Predictive Model. Ph.D. Dissertation/Thesis, University of Illinois at Urbana, Champaign, IL, USA, 1983. Available online: http://ezproxy.baylor.edu/login?url=https://www.proquest.com/dissertations-theses/fiber-orientation-distribution-concentrated/docview/303264729/se-2?accountid=7014 (accessed on 9 March 2023).
- Bay, R.S. Fiber Orientation in Injection-Molded Composites: A Comparison of Theory and Experiment. Ph.D. Dissertation/Thesis, University of Illinois at Urbana, Champaign, IL, USA, 1991. Available online: http://ezproxy.baylor.edu/login?url=https://www.proquest.com/dissertations-theses/fiber-orientation-injection-molded-composites/docview/303941981/se-2?accountid=7014 (accessed on 22 December 2021).
- Montgomery-Smith, S.; Jack, D.; Smith, D.E. The Fast Exact Closure for Jeffery’s equation with diffusion. J. Non-Newton. Fluid Mech. 2011, 166, 343–353. [Google Scholar] [CrossRef]
- Advani, S.G.; Tucker, C.L. The Use of Tensors to Describe and Predict Fiber Orientation in Short Fiber Composites. J. Rheol. 1987, 31, 751–784. [Google Scholar] [CrossRef]
- Huynh, H.M. Improved Fiber Orientation Predictions for Injection-Molded Composites. Master’s Thesis, University of Illinois at Urbana, Champaign, IL, USA, 2001. [Google Scholar]
- Wang, J.; O’Gara, J.F.; Tucker, C.L. An objective model for slow orientation kinetics in concentrated fiber suspensions: Theory and rheological evidence. J. Rheol. 2008, 52, 1179–1200. [Google Scholar] [CrossRef]
- Tseng, H.-C.; Chang, R.-Y.; Hsu, C.-H. Phenomenological improvements to predictive models of fiber orientation in concentrated suspensions. J. Rheol. 2013, 57, 1597–1631. [Google Scholar] [CrossRef]
- Tseng, H.-C.; Chang, R.-Y.; Hsu, C.-H. Method and Computer Readable Media for Determining Orientation of Fibers in a Fluid. U.S. Patent 8571828 B2, 29 August 2023. [Google Scholar]
- Phelps, J.H.; Tucker, C.L. An anisotropic rotary diffusion model for fiber orientation in short- and long-fiber thermoplastics. J. Non-Newton. Fluid Mech. 2009, 156, 165–176. [Google Scholar] [CrossRef]
- Ranganathan, S.; Advani, S.G. Fiber–fiber interactions in homogeneous flows of nondilute suspensions. J. Rheol. 1991, 35, 1499–1522. [Google Scholar] [CrossRef]
- Fan, X.; Phan-Thien, N.; Zheng, R. A direct simulation of fibre suspensions. J. Non-Newton. Fluid Mech. 1998, 74, 113–135. [Google Scholar] [CrossRef]
- Phan-Thien, N.; Fan, X.-J.; Tanner, R.I.; Zheng, R. Folgar–Tucker constant for a fibre suspension in a Newtonian fluid. J. Non-Newton. Fluid Mech. 2002, 103, 251–260. [Google Scholar] [CrossRef]
- Koch, D.L. A model for orientational diffusion in fiber suspensions. Phys. Fluids 1995, 7, 2086–2088. [Google Scholar] [CrossRef]
- Hand, G.L. A theory of anisotropic fluids. J. Fluid Mech. 1962, 13, 33–46. [Google Scholar] [CrossRef]
- Tseng, H.-C.; Chang, R.-Y.; Hsu, C.-H. An objective tensor to predict anisotropic fiber orientation in concentrated suspensions. J. Rheol. 2016, 60, 215–224. [Google Scholar] [CrossRef]
- Tseng, H.-C.; Chang, R.-Y.; Hsu, C.-H. The use of principal spatial tensor to predict anisotropic fiber orientation in concentrated fiber suspensions. J. Rheol. 2018, 62, 313–320. [Google Scholar] [CrossRef]
- Bakharev, A.Y.; Yu, H.; Ray, S.; Speight, R.; Wang, J. Using new anisotropic rotational diffusion model to improve prediction of short fibers in thermoplastic injection molding. In Proceedings of the 2018 Society of Plastics Engineers (SPE) International Polyolefins Conference, Lubbock, TX, USA, 25–28 February 2018. [Google Scholar]
- Latz, A.; Strautins, U.; Niedziela, D. Comparative numerical study of two concentrated fiber suspension models. J. Non-Newton. Fluid Mech. 2010, 165, 764–781. [Google Scholar] [CrossRef]
- Kugler, S.K.; Kech, A.; Cruz, C.; Osswald, T. Fiber Orientation Predictions—A Review of Existing Models. J. Compos. Sci. 2020, 4, 69. [Google Scholar] [CrossRef]
- Favaloro, A.J.; Tucker, C.L. Analysis of anisotropic rotary diffusion models for fiber orientation. Compos. Part Appl. Sci. Manuf. 2019, 126, 105605. [Google Scholar] [CrossRef]
- Agboola, B.O.; Jack, D.A.; Montgomery-Smith, S. Effectiveness of recent fiber-interaction diffusion models for orientation and the part stiffness predictions in injection molded short-fiber reinforced composites. Compos. Part A Appl. Sci. Manuf. 2012, 43, 1959–1970. [Google Scholar] [CrossRef]
- Park, J.M.; Park, S.J. Modeling and Simulation of Fiber Orientation in Injection Molding of Polymer Composites. Math. Probl. Eng. 2011, 2011, 105637. [Google Scholar] [CrossRef]
- Bay, R.S.; Tucker, C.L. Fiber orientation in simple injection moldings. Part I: Theory and numerical methods. Polym. Compos. 1992, 13, 317–331. [Google Scholar] [CrossRef]
- Bay, R.S.; Tucker, C.L. Fiber orientation in simple injection moldings. Part II: Experimental results. Polym. Compos. 1992, 13, 332–341. [Google Scholar] [CrossRef]
- Gupta, M.; Wang, K.K. Fiber orientation and mechanical properties of short-fiber-reinforced injection-molded composites: Simulated and experimental results. Polym. Compos. 1993, 14, 367–382. [Google Scholar] [CrossRef]
- Chung, S.T.; Kwon, T.H. Coupled analysis of injection molding filling and fiber orientation, including in-plane velocity gradient effect. Polym. Compos. 1996, 17, 859–872. [Google Scholar] [CrossRef]
- Vincent, M.; Devilers, E.; Agassant, J.-F. Fibre orientation calculation in injection moulding of reinforced thermoplastics. J. Non-Newton. Fluid Mech. 1997, 73, 317–326. [Google Scholar] [CrossRef]
- Vincent, M.; Giroud, T.; Clarke, A.; Eberhardt, C. Description and modeling of fiber orientation in injection molding of fiber reinforced thermoplastics. Polymer 2005, 46, 6719–6725. [Google Scholar] [CrossRef]
- VerWeyst, B.E.; Tucker, C.L.; Foss, P.H.; O’Gara, J.F. Fiber Orientation in 3-D Injection Molded Features: Prediction and Experiment. Int. Polym. Process. 1999, 14, 409–420. [Google Scholar] [CrossRef]
- Hinch, E.J.; Leal, L.G. Constitutive equations in suspension mechanics. Part 2. Approximate forms for a suspension of rigid particles affected by Brownian rotations. J. Fluid Mech. 1976, 76, 187–208. [Google Scholar] [CrossRef]
- Chung, D.H.; Kwon, T.H. Invariant-based optimal fitting closure approximation for the numerical prediction of flow-induced fiber orientation. J. Rheol. 2002, 46, 169–194. [Google Scholar] [CrossRef]
- Jack, D.A.; Smith, D.E. The effect of fibre orientation closure approximations on mechanical property predictions. Compos. Part A Appl. Sci. Manuf. 2007, 38, 975–982. [Google Scholar] [CrossRef]
- Quintana, M.C.; Frontini, P.M.; Arriaga, A.; Plank, B.; Major, Z. Fiber Orientation Distribution Predictions for an Injection Molded Venturi-Shaped Part Validated Against Experimental Micro-Computed Tomography Characterization. Front. Mater. 2020, 7, 169. [Google Scholar] [CrossRef]
- Jack, D.A. Advanced Analysis of Short-Fiber Polymer Composite Material Behavior. Ph.D. Thesis, University of Missouri, Columbia, MO, USA, 2006. [Google Scholar]
- Kuzmin, D. Planar Orthotropic Closures for Orientation Tensors in Fiber Suspension Flow Models. SIAM J. Appl. Math. 2018, 78, 3040–3059. [Google Scholar] [CrossRef]
- Cintra, J.S.; Tucker, C.L. Orthotropic closure approximations for flow-induced fiber orientation. J. Rheol. 1995, 39, 1095–1122. [Google Scholar] [CrossRef]
- Mullens, M. Developing New Fitted Closure Approximations for Short-Fiber Reinforced Polymer Composites. Master’s Thesis, University of Missouri, Columbia, MO, USA, 2010. Available online: https://core.ac.uk/download/pdf/62781195.pdf (accessed on 9 March 2023).
- Jack, D.A.; Schache, B.; Smith, D.E. Neural network-based closure for modeling short-fiber suspensions. Polym. Compos. 2010, 31, 1125–1141. [Google Scholar] [CrossRef]
- Qadir, N.U.; Jack, D.A. Modeling fibre orientation in short fibre suspensions using the neural network-based orthotropic closure. Compos. Part A Appl. Sci. Manuf. 2009, 40, 1524–1533. [Google Scholar] [CrossRef]
- Jack, D.A. Investigating the Use of Tensors in Numerical Predictions for Short-Fiber Reinforced Polymer Composites. Ph.D. Thesis, University of Missouri, Columbia, MO, USA, 2003. [Google Scholar]
- Chapra, S.C. Applied Numerical Methods with MATLAB for Engineers and Scientists, 3rd ed.; McGraw-Hill: New York, NY, USA, 2012. [Google Scholar]
- Tucker, C.L. Fundamentals of Fiber Orientation: Description, Measurement and Prediction; Hanser Publishers: Munich, Germany, 2022. [Google Scholar] [CrossRef]
- Eberle, A.P.R.; Ortman, K.; Baird, D.G. Structure and Rheology of Fiber Suspensions. In Applied Polymer Rheology, 1st ed.; Kontopoulou, M., Ed.; Wiley: Hoboken, NJ, USA, 2011; pp. 113–151. [Google Scholar] [CrossRef]
- Zhang, D. Flow-Induced Micro- and Nano-Fiber Suspensions in Short-Fiber Reinforced Composite Materials Processing. Ph.D. Thesis/Dissertation, University of Missouri, Columbia, MO, USA, 2013. Available online: http://ezproxy.baylor.edu/login?url=https://www.proquest.com/dissertations-theses/flow-induced-micro-nano-fiber-suspensions-short/docview/2202998717/se-2?accountid=7014 (accessed on 8 December 2020).
- Awenlimobor, A.; Smith, D.E. Effect of shear-thinning rheology on the dynamics and pressure distribution of a single rigid ellipsoidal particle in viscous fluid flow. Phys. Fluids 2024, 36, 123113. [Google Scholar] [CrossRef]
- Smith, D.E.; Siddhi, V. Generalized Approach for Incorporating Normalization Conditions in Design Sensitivity Analysis of Eigenvectors. AIAA J. 2006, 44, 2552–2561. [Google Scholar] [CrossRef]
- Wang, J. Moldflow Research & Development. Online. 2018. Available online: https://damassets.autodesk.net/content/dam/autodesk/www/campaigns/autodesk-moldflow-summit-recording/7_R&D-Update%20-%20Jin%20Wang.pdf (accessed on 9 March 2023).
- Doi, M. Molecular dynamics rheological properties of concentrated solutions of rodlike polymers in isotropic liquid crystalline phases. J. Polym. Sci. Polym. Phys. Ed. 1981, 19, 229–243. [Google Scholar] [CrossRef]
- Lipscomb, G.G.; Denn, M.M.; Hur, D.U.; Boger, D.V. The flow of fiber suspensions in complex geometries. J. Non-Newton. Fluid Mech. 1988, 26, 297–325. [Google Scholar] [CrossRef]
- VerWeyst, B.E. Numerical Predictions of Flow-Induced Fiber Orientation in Three-Dimensional Geometries. Ph.D. Dissertation/Thesis, University of Illinois at Urbana, Champaign, IL, USA, 1998. Available online: http://ezproxy.baylor.edu/login?url=https://www.proquest.com/dissertations-theses/numerical-predictions-flow-induced-fiber/docview/304440327/se-2?accountid=7014 (accessed on 18 February 2022).
- Wetzel, E.D.; Tucker, C.L. Area tensors for modeling microstructure during laminar liquid-liquid mixing. Int. J. Multiph. Flow 1999, 25, 35–61. [Google Scholar] [CrossRef]
- Verleye, V.; Couniot, A.; Dupret, F. Numerical prediction of fibre orientation in complex injection-moulded parts. WIT Trans. Eng. Sci. 1994, 4, 10. [Google Scholar] [CrossRef]
- Chung, D.H.; Kwon, T.H. Improved model of orthotropic closure approximation for flow induced fiber orientation. Polym. Compos. 2001, 22, 636–649. [Google Scholar] [CrossRef]













| ARD Parameters | ||||||
|---|---|---|---|---|---|---|
| - | ||||||
| , | ||||||
| - | ||||||
| HYB1 | HYB2 | ISO | LIN | QDR | SF2 | HL1 | HL2 | |
|---|---|---|---|---|---|---|---|---|
| AT | 0.6436 | 0.9385 | 0.2220 | 0.4188 | 0.2691 | 2.0949 | 0.9618 | 4.3940 |
| PT | 0.8088 | 0.7549 | 0.5837 | 0.5003 | 0.4244 | 1.6776 | 0.8241 | 3.4809 |
| iARD | 0.5737 | 1.2712 | 0.3444 | 0.6336 | 0.5728 | 0.5100 | 0.8774 | 1.6148 |
| pARD | 0.7169 | 0.5475 | 0.2722 | 0.2438 | 0.4155 | 1.4805 | 0.9818 | 3.6185 |
| WPT | 0.8563 | 1.0386 | 0.3773 | 0.2525 | 0.2926 | 1.4543 | 0.9632 | 3.5284 |
| Dz | 0.5899 | 0.8248 | 0.2373 | 0.5484 | 0.3233 | 0.7137 | 1.0594 | 2.7732 |
| NEM | 0.6490 | 0.9306 | 0.4012 | 0.4314 | 0.1612 | 2.1012 | 0.9846 | 4.4062 |
| pARD-RSC | 1.0030 | 1.3343 | 1.3062 | 1.0506 | 1.3699 | 0.5378 | 1.3441 | 1.6482 |
| iARD-RPR | 0.5645 | 0.6900 | 0.3478 | 0.3687 | 0.5222 | 1.0731 | 1.0324 | 2.0512 |
| NAT1 | NAT2 | ORS | ORT | ORW | ORW3 | |
|---|---|---|---|---|---|---|
| AT | 0.3557 | 0.5812 | 0.4573 | 0.3351 | 0.5994 | 0.6496 |
| PT | 0.3076 | 0.3946 | 0.3327 | 0.2517 | 0.5693 | 0.5284 |
| iARD | 0.2512 | 0.2663 | 0.2129 | 0.1934 | 0.4762 | 0.4213 |
| pARD | 0.2975 | 0.3956 | 0.3216 | 0.2479 | 0.5354 | 0.5229 |
| WPT | 0.3040 | 0.4068 | 0.3430 | 0.2622 | 0.5720 | 0.5612 |
| Dz | 0.3532 | 0.3276 | 0.2805 | 0.2920 | 0.6704 | 0.6010 |
| NEM | 0.3649 | 0.5869 | 0.4615 | 0.3388 | 0.6062 | 0.6520 |
| pARD-RSC | 0.2529 | 0.2800 | 0.2074 | 0.1802 | 0.4772 | 0.4155 |
| iARD-RPR | 0.1964 | 0.1709 | 0.1601 | 0.1404 | 0.3687 | 0.2820 |
| IBOF | WTZ | LAR32 | VST | FFLAR4 | LAR4 | |
|---|---|---|---|---|---|---|
| AT | 6.1748 | 4.3147 | 5.0800 | 3.1567 | 4.3188 | 4.3101 |
| PT | 5.6437 | 4.0286 | 4.7162 | 2.9443 | 4.0435 | 3.9967 |
| iARD | 4.4942 | 3.0776 | 3.6782 | 2.2662 | 3.0115 | 3.0665 |
| pARD | 5.5458 | 3.8741 | 4.5415 | 2.8548 | 3.8500 | 3.8818 |
| WPT | 5.6412 | 4.0391 | 4.7234 | 2.9350 | 4.0486 | 3.9851 |
| Dz | 6.4226 | 4.8010 | 5.5454 | 3.3924 | 4.8016 | 4.6691 |
| NEM | 6.1978 | 4.3254 | 5.0936 | 3.1653 | 4.3271 | 4.3182 |
| pARD-RSC | 4.1821 | 2.9401 | 3.4878 | 2.1358 | 2.9236 | 2.9070 |
| iARD-RPR | 3.4882 | 2.4509 | 2.9082 | 1.7359 | 2.3590 | 2.4110 |
| FT | 0.0015 | 0.0003 | 0.0000 |
| PT | 0.0046 | 0.0021 | 0.0031 |
| iARD | 0.0009 | 0.0006 | 0.0000 |
| pARD | 0.0006 | 0.0003 | 0.0032 |
| WPT | 0.0043 | 0.0020 | 0.0030 |
| Dz | 0.0021 | 0.0011 | 0.0021 |
| MRD | 0.0015 | 0.0008 | 0.0046 |
| FT | PT | iARD | pARD | WPT | Dz | MRD | |
|---|---|---|---|---|---|---|---|
| NR | 0.7210 | 0.4075 | 0.5916 | 0.3784 | 0.3038 | 0.4615 | 0.7908 |
| RK45 | 3.5829 | 3.9775 | 3.0067 | 2.6441 | 2.7791 | 3.4486 | 6.7519 |
| L1 | L2 | |||||
|---|---|---|---|---|---|---|
| RSC | 0.0374 | 0.0058 | 0.0000 | 0.0178 | 0.0122 | 0.0017 |
| FT | 0.0036 | 0.0005 | 0.0000 | 0.0015 | 0.0011 | 0.0000 |
| SRF | 0.0374 | 0.0055 | 0.0024 | 0.0158 | 0.0109 | 0.0050 |
| RPR | 0.0374 | 0.0058 | 0.0000 | 0.0178 | 0.0122 | 0.0017 |
| M1 | M2 | M3 | |
|---|---|---|---|
| 1/30 | 1/30 | 1/20 | |
| M1 | M2 | M3 | |
|---|---|---|---|
| 0.0165 | 0.0630 | 0.0060 | |
| 0.9990 | 1.0100 | 0.9000 | |
| 0.9880 | 0.9650 | 0.9000 | |
| 0.9650 | 0.9650 | 0.9500 | |
| 0.0000 | 0.0000 | 0.0000 |
| iARD-RPR | pARD-RPR | iARD-RSC | |||||||
|---|---|---|---|---|---|---|---|---|---|
| M1 | M2 | M3 | M1 | M2 | M3 | M1 | M2 | M3 | |
| 0.1039 | 0.0757 | 0.0876 | 0.0878 | 0.0278 | 0.0971 | 0.1107 | 0.0395 | 0.3231 | |
| 0.0550 | 0.0255 | 0.0219 | 0.0444 | 0.0131 | 0.0245 | 0.0553 | 0.0202 | 0.0678 | |
| 0.1286 | 0.1703 | 0.0401 | 0.0656 | 0.0270 | 0.0415 | 0.0872 | 0.0450 | 0.0235 | |
| (a) | (b) | ||||||
|---|---|---|---|---|---|---|---|
| HYB1 | 0.0042 | 0.0016 | 0.0000 | IBOF | 0.0068 | 0.0000 | 0.0000 |
| HYB2 | 0.0000 | 0.0000 | 0.0000 | ORS | 0.0000 | 0.0000 | 0.0000 |
| ISO | 0.0000 | 0.0000 | 0.0000 | ORT | 0.0061 | 0.0013 | 0.0000 |
| LIN | 0.0000 | 0.0000 | 0.0000 | NAT1 | 0.0000 | 0.0000 | 0.0000 |
| QDR | 0.0000 | 0.0000 | 0.0000 | ORW | 0.0067 | 0.0000 | 0.0000 |
| SF2 | 0.0055 | 0.0000 | 0.0000 | NAT2 | 0.0072 | 0.0000 | 0.0000 |
| HL1 | 0.0042 | 0.0014 | 0.0000 | WTZ | 0.0060 | 0.0000 | 0.0000 |
| HL2 | 0.0038 | 0.0000 | 0.0000 | LAR32 | 0.0066 | 0.0000 | 0.0000 |
| ORW3 | 0.0066 | 0.0000 | 0.0000 | ||||
| VST | 0.0066 | 0.0000 | 0.0000 | ||||
| FFLAR4 | 0.0062 | 0.0013 | 0.0000 | ||||
| LAR4 | 0.0066 | 0.0000 | 0.0000 | ||||
Disclaimer/Publisher’s Note: The statements, opinions and data contained in all publications are solely those of the individual author(s) and contributor(s) and not of MDPI and/or the editor(s). MDPI and/or the editor(s) disclaim responsibility for any injury to people or property resulting from any ideas, methods, instructions or products referred to in the content. |
© 2025 by the authors. Licensee MDPI, Basel, Switzerland. This article is an open access article distributed under the terms and conditions of the Creative Commons Attribution (CC BY) license (https://creativecommons.org/licenses/by/4.0/).
Share and Cite
Awenlimobor, A.E.; Smith, D.E. Determination of the Steady State Fiber Orientation Tensor States in Homogeneous Flows with Newton–Raphson Iteration Using Exact Jacobians. J. Compos. Sci. 2025, 9, 433. https://doi.org/10.3390/jcs9080433
Awenlimobor AE, Smith DE. Determination of the Steady State Fiber Orientation Tensor States in Homogeneous Flows with Newton–Raphson Iteration Using Exact Jacobians. Journal of Composites Science. 2025; 9(8):433. https://doi.org/10.3390/jcs9080433
Chicago/Turabian StyleAwenlimobor, Aigbe E., and Douglas E. Smith. 2025. "Determination of the Steady State Fiber Orientation Tensor States in Homogeneous Flows with Newton–Raphson Iteration Using Exact Jacobians" Journal of Composites Science 9, no. 8: 433. https://doi.org/10.3390/jcs9080433
APA StyleAwenlimobor, A. E., & Smith, D. E. (2025). Determination of the Steady State Fiber Orientation Tensor States in Homogeneous Flows with Newton–Raphson Iteration Using Exact Jacobians. Journal of Composites Science, 9(8), 433. https://doi.org/10.3390/jcs9080433
