Next Article in Journal
Compression Molding of Thermoplastic Polyurethane Composites for Shape Memory Polymer Actuation
Previous Article in Journal
Two Times Faster Glycolysis of Poly(ethylene terephthalate) with CaO Filler-Catalyst
 
 
Font Type:
Arial Georgia Verdana
Font Size:
Aa Aa Aa
Line Spacing:
Column Width:
Background:
Article

Circular Economy Pathways for Pharmaceutical Packaging Waste in Wood-Based Panels—A Preliminary Study

by
Alexandrina Kostadinova-Slaveva
1,2,*,
Ekaterina Todorova
1,2,
Viktor Savov
2,3,* and
Savina Brankova
1
1
Faculty of Ecology and Landscape Architecture, University of Forestry, 1797 Sofia, Bulgaria
2
Center of Competence: “Clean Technologies for a Sustainable Environment—Water, Waste, Energy for a Circular Economy”, 1407 Sofia, Bulgaria
3
Faculty of Forest Industry, University of Forestry, 1797 Sofia, Bulgaria
*
Authors to whom correspondence should be addressed.
J. Compos. Sci. 2025, 9(12), 679; https://doi.org/10.3390/jcs9120679
Submission received: 20 November 2025 / Revised: 2 December 2025 / Accepted: 4 December 2025 / Published: 7 December 2025
(This article belongs to the Section Composites Applications)

Abstract

This preliminary study investigates a direct, non-delaminated route to valorize multilayer pharmaceutical sachet offcuts (comprising paper/plastic/aluminum) as partial substitutes for wood fiber in wood-based panels. Milled offcuts were incorporated at 10, 20, and 30 wt% (control: wood only). Laboratory mats were hot-pressed at 170 °C for 9 min under a staged pressure regime. Sampling and three-point bending were performed according to EN 326-1 and EN 310, respectively, with the density held essentially constant by controlling the mat mass and press stops. Bending stiffness (MOE) was maintained at 10–20 wt% (within experimental uncertainty of the reference), while 30 wt% showed a consistent downward trend (approximately 10%). Bending strength (MOR) peaked at 10 wt% (approximately 8% higher than the reference), then declined at 20% and 30%. Representative stress–strain curves corroborated these outcomes, indicating auxiliary bonding and crack-bridging effects at low waste loadings. Hygroscopic performance improved monotonically: 24 h water absorption and thickness swelling decreased progressively with increasing substitution, attributable to the hydrophobic polymer layers and aluminum fragments interrupting capillary pathways. Process observations identified opportunities to improve press-cycle efficiency at higher waste contents, and the dispersed foil imparted a subtle decorative sheen. Overall, the results establish the technical feasibility and a practical utilization window of approximately 10–20 wt% for furniture-grade applications. Limitations include the laboratory scale, a single resin/press schedule, and the absence of internal bond, density profile, emissions, and long-term durability tests—topics prioritized for future work (including TGA/DSC, EN 317 extensions, and scale-up).

1. Introduction

The circular economy reframes waste as secondary resources and encourages industrial systems that maintain or regenerate natural capital while generating economic value with fewer primary inputs [1,2,3]. In practice, this means re-designing products, processes, and inter-firm exchanges so that materials circulate at their highest value across the entire product life cycle—from design and procurement through use, recovery, and remanufacture [4,5,6,7,8]. As emphasized by Marcinkowski, the benefits (and constraints) of circularity should be appraised over the full spatial and temporal scope of a product system, not only at end-of-life [9].
Among the most challenging waste streams for circular utilization are multilayer composite packages. These structures, engineered to deliver barrier properties, stiffness, and printability while minimizing mass, combine dissimilar materials, such as paper, polyolefins, specialty barrier polymers, and aluminum foil, into tightly bonded laminates. The very features that make them performant in service hinder their recyclability: delamination is technically complex, costly, and energy-intensive; material separation often yields low-value fractions. Consequently, composite packaging waste is frequently diverted to refuse-derived fuel (RDF) or disposed of simply rather than recovered as secondary raw materials [10,11,12,13,14].
Pharmaceutical packaging is a pertinent but underexplored subset of this challenge. In addition to post-consumer flows, pre-consumer offcuts and rejects arise on packaging lines due to unreadable or misplaced labels, missing barcodes, or batch over-ordering to ensure quality control margins. As a result, significant volumes of as-new sachets and lidding materials are generated without product contamination—an attractive condition for industrial symbiosis because it avoids sanitation concerns and minimizes preprocessing [15,16,17,18,19].
Wood-based panel manufacturing (e.g., fiberboard, particleboard) provides a technically feasible sink for such waste [20,21,22,23,24]. Panels routinely incorporate a mixture of hardwood and softwood furnish and rely on thermosetting resins and hot pressing to consolidate mats into dense, dimensionally stable products. Substitution of a portion of the wood furnish with polymer- and foil-containing particulates could, in principle, reduce demand for virgin wood fibers, exploit the polymer fraction as an auxiliary binder during hot pressing, and introduce visual or functional effects (e.g., reflectance from aluminum). Yet the success of such substitution depends on furnish geometry, distribution, panel density profile, and press schedules—well-known levers in panel technology [25,26,27].
Adjacent literature provides functional analogs. Studies on multilayer beverage cartons (e.g., Tetra Pak) and plastic-rich residues in particleboard and fiberboard typically report workable substitution windows of 5–25 wt%, with bending properties ranging from parity with wood-only controls to moderate declines when the waste fraction, particle size, or resin compatibility is unfavorable. Gains in internal bond or reduced press pressure/time have been observed in some formulations, attributed to the flow and film-forming behavior of thermoplastics under heat. However, results are heterogeneous across studies due to differences in layer chemistry (e.g., LDPE vs. specialty barriers), particle morphology, and processing parameters. Crucially, there is little peer-reviewed evidence specifically on pharmaceutical multilayer sachet wastes—whose chemistries (paper/plastic/aluminum, often with dedicated barrier layers) and pre-consumer origin distinguish them from post-consumer beverage cartons.
Beyond circular—economy considerations, panel manufacturers face sustained growth in demand for wood-based products, competition for high-quality furnish, and rising volatility in raw-material supply. These pressures motivate the integration of clean secondary feedstocks that can ease furnish demand without sacrificing in-service performance. Pre-consumer pharmaceutical multilayer offcuts are particularly attractive because they are traceable, uncontaminated, and available with consistent quality and geometry, enabling direct, no-delamination use under standard panel press cycles. From a sustainability perspective, valorizing this stream helps decouple panel properties from the intensity of virgin fiber use. It aligns with resource-efficiency and waste-reduction targets, as discussed in recent overviews of hybrid wood–waste panels and the impacts of pharmaceutical packaging [14,16,19,20].
Against this backdrop, the present preliminary study investigates the feasibility of incorporating 10, 20, and 30 wt% pharmaceutical composite packaging waste—used as-received and non-delaminated—as additives/fiber substitutes in wood-based panels aimed at furniture applications. The study also documents practical processing observations (e.g., dewatering behavior, temperature/pressure demand) that are directly relevant for scale-up.
This work advances the state of knowledge in three ways. First, it targets pharmaceutical multilayer waste—a distinct material class with high-barrier performance and clean, pre-consumer provenance—rather than generic mixed packaging. Second, it evaluates a no-delamination route that preserves circularity benefits by avoiding energy- and cost-intensive separation steps. Third, it outlines a testing roadmap that extends beyond initial bending properties—namely, thermal behavior (TGA/DSC)—to establish performance envelopes and durability considerations relevant to internal furniture applications.
The research posits two working hypotheses: up to 20 wt% pharmaceutical composite packaging waste can be incorporated without statistically significant loss of stiffness relative to wood-only controls, due in part to polymer-assisted bonding; higher substitution levels (up to 30 wt%) risk reductions in bending performance unless compensated by optimized furnish distribution, density profile, or resin systems. The findings presented here provide evidence in support of these hypotheses and frame subsequent, deeper characterization essential for industrial adoption within a circular economy paradigm [28,29,30,31,32,33,34].
Because this is a feasibility-focused preliminary study, granular PSD mapping is reserved for the subsequent phase, where it will be linked to furnish stratification and mechanical dispersion.

2. Materials and Methods

The wood furnish for conventional panels comprised 60% hardwood (beech, oak) and 40% softwood (predominantly Scots pine). A simplified process overview—from milled multilayer offcuts and wood fibers to laboratory-produced hybrid panels—is shown in Figure 1.
Multilayer pharmaceutical packaging offcuts (sachets) consisting of paper/plastic/aluminum laminates were collected as pre-consumer rejects from a pharmaceutical packaging line. Typical sources included label misalignment, unreadable print, missing barcodes, and batch over-ordering. As the rejects contained no product, no delamination or washing was performed prior to use. Pharmaceutical multilayer offcuts were milled in a FRITSCH Pulverisette 19 universal cutting mill equipped with a trapezoid-perforated sieve cassette (trapezoid perforation, nominal opening 4.0 mm). No delamination or washing was performed prior to milling. The cassette geometry defines the nominal particle cut-off for the milled offcuts; detailed particle-size distribution (PSD) metrics are planned for the next study phase. (Figure 2).
Four panel types were produced—one control (REF) and hybrids with 10, 20, and 30 wt% milled packaging waste replacing part of the wood furnish. Laboratory panels were formed at 400 × 400 × 6 mm (nominal) with a target density of 780 kg·m−3; density was controlled by fixing the mat mass per unit area and using steel spacers/stops during hot pressing.
A melamine–urea–formaldehyde (MUF) resin was used as the binder owing to its industrial relevance and compliance with E1 formaldehyde limits. The resin (56% solids, pH 6.8) was applied at 10% based on the oven-dry mass of the total furnish (wood fibers + milled pharmaceutical packaging). Adhesive blending was performed in a high-speed impeller mixer (850 rpm) with needle-type paddles; the MUF was atomized through a 1.5 mm nozzle at 3 bar, ensuring fine dispersion and uniform wetting of both lignocellulosic fibers and laminate fragments.
In a heterogeneous furnish containing aluminum foil and polymeric inclusions, MUF is preferable to conventional UF, offering higher hydrolytic stability and stronger interfacial bonding/compatibility with non-wood phases. This reduces the risk of de-wetting or weak boundary layers on metallic and polymer surfaces while maintaining good processability under standard MDF/fiberboard press cycles [23,24].
Laboratory mats (Figure 3) were formed at constant target mass per unit area; press thickness was fixed with steel spacers/stops, ensuring comparable nominal density across panels. Mats were hot-pressed for 9 min at 170 °C in a hydraulic laboratory press (Manni, hydraulic system AGIP OSO 46) using a four-stage pressure schedule. Immediately after pressing, the panels were removed and conditioned at 20 ± 2 °C and 65 ± 5% RH to a stable mass, in accordance with EN 322 (moisture content/conditioning) [35].
Sampling and specimen cutting followed EN 326-1 (“Wood-based panels—Sampling, cutting and inspection—Part 1”) [36]. From each panel type, n = 8 replicates were prepared for bending tests. Specimen length/width/thickness were measured with a precision caliper according to EN 325 (dimensions of test pieces) [37]. Panel density was determined according to EN 323 (mass/volume at test moisture content) [38].
Static three-point bending was conducted on a universal testing machine (HST WDW 50E). The modulus of elasticity (MOE) and bending strength (MOR) were determined in accordance with EN 310:1999 [39]. Support span, loading rate, and data reduction strictly followed the standard. Analytical expressions are not reproduced. Values were computed according to EN 310. The machine was calibrated and zeroed before each test sequence; the same operator ran all tests to minimize operator variability.
Water absorption (24 h) and thickness swelling (24 h) were measured according to EN 317. Specimens were immersed in water (20 ± 1 °C) for 24 h; mass and thickness were recorded immediately before and after immersion, and the percentage WA (24 h) and TS (24 h) were calculated as specified in the standard [40].
For each formulation (REF, 10, 20, 30 wt%) and property (density—EN 323; MOE/MOR in bending—EN 310; WA (24 h) and TS (24 h)—EN 317), we tested n = 8 specimens per group. Normality of residuals was screened using the Shapiro–Wilk test, and homogeneity of variances using Levene’s (Brown–Forsythe when appropriate). When assumptions were satisfied, we applied one-way ANOVA; otherwise, Welch’s ANOVA and Welch’s t-tests were used. Multiple pairwise comparisons were adjusted using the Holm method. Alongside p-values, we report descriptive statistics and 95% confidence intervals to aid interpretation beyond null-hypothesis testing. We note that within-group variance in bending strength may be influenced by PSD and particle micro-distribution, which will be explicitly quantified in the follow-up study. Apparent engineering strain in bending was computed following the EN 310 displacement–span convention.

3. Results and Discussion

At the panel surface (Figure 4), fragments from the multilayer sachets are uniformly dispersed within the wood-fiber matrix. The aluminum foil is visible as fine, highly reflective specks, while polymeric fragments appear as off-white to lightly colored inclusions. The distribution suggests good mixing and mat formation, with no evidence of surface delamination, blistering, or resin-starved zones. Edges are compact and free of blowouts, indicating that the four-stage pressing schedule ensured adequate consolidation. Visually, the embedded foil produces a subtle metallic scintillation that can be used as an esthetic effect in exposed interior applications (e.g., cabinet backs, decorative substrates). Functionally, the low-permeability polymer/foil phases observed at the surface rationalize the reduced 24 h water absorption and thickness swelling reported later: they interrupt capillary pathways and lower the fiber-accessible porosity, while hot-pressing promotes intimate contact and limits interfacial voids.
Panel density was controlled by fixing the total mat mass for a target area and by limiting the press platen opening with metal stops, so no statistically meaningful differences were expected across formulations. The measured values confirm this assumption (Figure 5), the reference panel showed a mean density of 776.0 kg·m−3 (SD = 14.2; n = 8), while the 10%, 20%, and 30% substitutions yielded 774.4 kg·m−3 (SD = 18.3), 767.9 kg·m−3 (SD = 20.7), and 778.0 kg·m−3 (SD = 55.1), respectively (all n = 8). An omnibus one-way ANOVA across the four groups indicated no significant difference (F = 0.41, p = 0.750). The wider spread in the 30% set reflects one high observation (905 kg·m−3), but its median (779 kg·m−3) and interquartile range overlap those of the other groups. Because density is held essentially constant by design, subsequent comparisons of stiffness (MOE) and strength (MOR) can be interpreted without confounding from gross density shifts; any trends are therefore more credibly linked to furnish morphology and interfacial effects introduced by the multilayer packaging waste rather than bulk densification.
Figure 6 summarizes the three-point bending stiffness (EN 310) for the wood-only reference and the hybrid panels containing 10, 20, and 30 wt% pharmaceutical composite packaging waste. Across all formulations, the central tendency is tightly grouped around 3.6–4.1 × 103 N·mm−2. The reference panel reached a mean MOE of 4038.8 N·mm−2 (95% CI: 3717–4360; n = 8), while the 10% and 20% substitutions yielded 4002.4 N·mm−2 (95% CI: 3644–4361; n = 8) and 3893.9 N·mm−2 (95% CI: 3627–4160; n = 8), respectively. Confidence intervals for these two formulations overlap that of the reference, and the medians (REF: 4058; 10%: 4032.5; 20%: 3902) sit within the same band of the box-plot, indicating practical parity in bending stiffness at up to 20 wt% substitution. The 30% mixture trended lower, averaging 3640.9 N·mm−2 (95% CI: 3378–3904; n = 8), with a median of 3645.5, corresponding to approximately a 9.9% reduction relative to the reference.
A one-way ANOVA across all four groups did not detect overall differences at the 5% level (F-test, p = 0.181), reflecting the relatively broad within-group variance typical of laboratory-pressed panels. Pairwise Welch tests show the same picture: neither 10% nor 20% differs from the reference (REF vs. 10%: p = 0.866; REF vs. 20%: p = 0.438). The contrast between REF and 30% is marginal at the unadjusted level (p = 0.043; Hedges’ g = 0.95, significant effect) but becomes non-significant after Holm correction for multiple comparisons (p(Holm) = 0.605). In other words, the statistical evidence suggests that the MOE is maintained when up to 20 wt% of the wood furnish is replaced by milled pharmaceutical packaging. In comparison, 30 wt% shows a consistent downward trend that may be practically relevant, depending on the application.
Dispersion metrics support this interpretation. Coefficients of variation are 9.5% for the reference, 14.1% for 10%, 10.8% for 20%, and 11.4% for 30%. The 10% set exhibits the widest spread (IQR 3654.5–4458.5 N·mm−2) and contains a single low datapoint (2930 N·mm−2), likely linked to furnish heterogeneity or local density deficits. The 20% and 30% distributions are tighter but shift progressively to lower central values; their lower whiskers (3046 and 2943 N·mm−2) indicate occasional specimens where the multilayer particulates may have disrupted load transfer in bending. Visual inspection of the box plots shows that the 10% quartile band straddles the reference median, the 20% quartile band sits just below, and the 30% quartile band is clearly displaced downward, consistent with the mean trends.
Mechanistically, the preservation of stiffness at 10–20 wt% is consistent with the polymer fraction acting as an auxiliary binder during hot pressing, mitigating losses in the wood network’s continuity. At higher substitution, the laminate particles and foil inclusions plausibly disturb the density profile and inter-fiber bonding, reducing the effective modulus. Press-cycle observations from this study—shorter dewatering phases and adequate consolidation at similar or slightly lower pressure/temperature when waste is present—align with the notion of thermoplastic assistance; however, these benefits do not fully compensate for the structural penalty at 30 wt%.
From an application perspective, maintaining MOE within 1–4% of the reference at 10–20 wt% substitution suggests that stiffness requirements for many non-structural furniture-grade uses can be met without process retuning. If the target specification allows a non-inferiority margin of ±5%, both 10% and 20% formulations would meet that criterion on average; the 30% mixture would not. To refine these conclusions, density profile measurements (e.g., X-ray) should be evaluated in conjunction with thermal analysis (TGA/DSC). Such data will help separate actual material effects from forming variability and define a robust processing window for industrial adoption.
The stiffness trends in this study are consistent with those in the adjacent literature on hybrid wood–waste composites and multilayer/plastic additions. A recent MDPI review on wood-waste panels concluded that incorporating roughly 10–30% secondary feedstocks can preserve or improve mechanical and hygroscopic performance when furnish geometry and process parameters are controlled—matching our parity at 10–20 wt% and the dispersion seen at 30 wt% [41]. In a different binder system, cement-bonded wood panels filled with duroplast sanitaryware waste achieved a peak MOE at 10 wt%, with trade-offs at higher loadings, indicating a practical corridor at low-to-moderate substitution [42]. Pharmaceutical blister laminates used in concrete also show an optimum near 20%, retaining 92–95% of control strength and improving selected durability metrics—evidence that multilayer packaging can be valorized without delamination [43]. Broader work on hybrid/sandwich panels underlines the role of polymer/metal phases in flexural response and the importance of environmental/thermal sensitivity—motivation for our planned TGA/DSC and hygroscopic testing [44]. Complementary studies on wood–polypropylene–cement boards demonstrate feasible stiffness and strength at moderate plastic/wood ratios, albeit with higher water uptake, reinforcing the need to couple MOE with water absorption and thickness swelling in our next stage [45]. Finally, a sector-wide circular-economy review of pharmaceutical waste streams highlights packaging offcuts as high-volume candidates for direct material valorization, echoing our process-level feasibility and the importance of designing take-back and pre-consumer capture pathways [13].
Figure 7 presents the bending strength (EN 310) for the reference and the three substitution levels. The reference panel achieved a mean MOR of 37.46 ± 3.67 N·mm−2 (95% CI: 34.39–40.53; n = 8). Introducing 10 wt% packaging waste increased the central tendency to 40.32 ± 5.84 N·mm−2 (95% CI: 36.61–44.03; n = 8), with a median of 40.95 N·mm−2 and an interquartile range (IQR) of 37.40–42.62 N·mm−2. At 20 wt%, MOR shifted down to 34.86 ± 3.07 N·mm−2 (95% CI: 32.90–36.81; n = 8), while 30 wt% yielded 32.93 ± 3.06 N·mm−2 (95% CI: 30.99–34.88; n = 8) with the median near 31.30 N·mm−2. Thus, relative to the reference, the 10% mix trends upward (approximately +7.6% on the mean), whereas the 20% and 30% mixes produce reductions of approximately −6.9% and −12.1%, respectively.
Unlike MOE, between-group differences in MOR are statistically apparent at the omnibus level (one-way ANOVA, F = 7.20, p = 5.64 × 10−4). Welch’s pairwise comparisons with Holm correction indicate that 10% > 30% (p(Holm) = 0.006; Hedges’ g = 1.53, significant effect) and REF > 30% (p(Holm) = 0.038; g = 1.31). The 10% vs. 20% contrast remains significant after correction (p(Holm) = 0.044; g = 1.13), whereas REF vs. 10% is not significant (p = 0.197) and 20% vs. 30% does not reach significance after adjustment (p = 0.139). The dispersion pattern also differs across groups: coefficients of variation are 9.8% (REF), 14.5% (10%), 8.8% (20%), and 9.3% (30%). The 10% set shows a broader spread because it contains both the highest individual value (53.3 N·mm−2) and a low outlier (30.9 N·mm−2), yet the median and upper quartile remain above the reference band, supporting a genuine strengthening tendency at modest substitution. The higher variance observed at 10 wt% likely reflects local heterogeneity in laminate-particle geometry and micro-distribution within the mat, which we will address through PSD measurement and control in follow-up trials (see also the replicate spread in Figure 8).
Mechanistically, the MOR behavior is consistent with partial auxiliary binding from the polymer fraction at low waste loadings. During hot pressing, thermoplastic softening and film formation at wood–particle interfaces can enhance stress transfer and crack bridging, thereby improving bending strength. As the waste fraction increases, the greater presence of laminate particulates and foil inclusions likely disrupts the wood fiber network and local density profile, introducing weak planes that reduce peak bending stress. This trade-off aligns with observations in adjacent composite systems, where low-to-moderate inclusion levels preserve or improve flexural strength. At the same time, higher loadings impose penalties unless furnish morphology and resin chemistry are tuned through process optimization [13,41,42,43]. In the context of furniture-grade, non-structural applications, the 10 wt% formulation delivers bending strength comparable to or exceeding the reference. In contrast, formulations with more than 20 wt% require a careful balance with other performance metrics (e.g., internal bond, water uptake, thickness swelling) to avoid specification risk.
The MOR profile observed here—an increase at 10 wt% followed by progressive reductions at 20–30 wt%—fits the substitution “corridor” documented in recent syntheses on wood-waste panels: when particle geometry, dispersion, and press parameters are well controlled, 10–30% secondary feedstock can preserve or even enhance flexural performance; beyond this range, non-wood phases begin to disrupt the wood network and density profile, driving strength losses [41]. In inorganic-binder analogs, cement-bonded wood panels filled with duroplast sanitaryware waste achieved their best bending metrics at a 10% replacement level. Then, they exhibited trade-offs at higher loadings—an optimum that closely parallels our MOR maximum at the lowest substitution level, despite the different matrix and cure chemistry [42]. Outside wood products, the valorization of pharmaceutical blister laminates in concrete indicates a practical ceiling of around 20%, where mixes retain 92–95% of the control strength while gaining durability benefits, again highlighting a mid-range that balances utilization with performance [43]. Hybrid/sandwich panel studies reinforce that polymer and metal phases materially shape flexural response and introduce temperature/creep sensitivities—hence our plan to complement MOR with thermal (TGA/DSC) and durability checks [44]. Finally, wood–polypropylene–cement boards exhibit feasible bending strength at moderate plastic ratios but show increased water uptake as the plastic fraction increases, underscoring that strength alone is insufficient for qualification and that MOR should be evaluated in conjunction with hygroscopic behavior (EN 317) in hybrid wood panels [45]. Sector-level circular-economy analyses of pharmaceutical waste streams further support our approach by identifying clean pre-consumer offcuts as high-volume candidates for direct material valorization, aligning with the 10 wt% strengthening observed here [13].
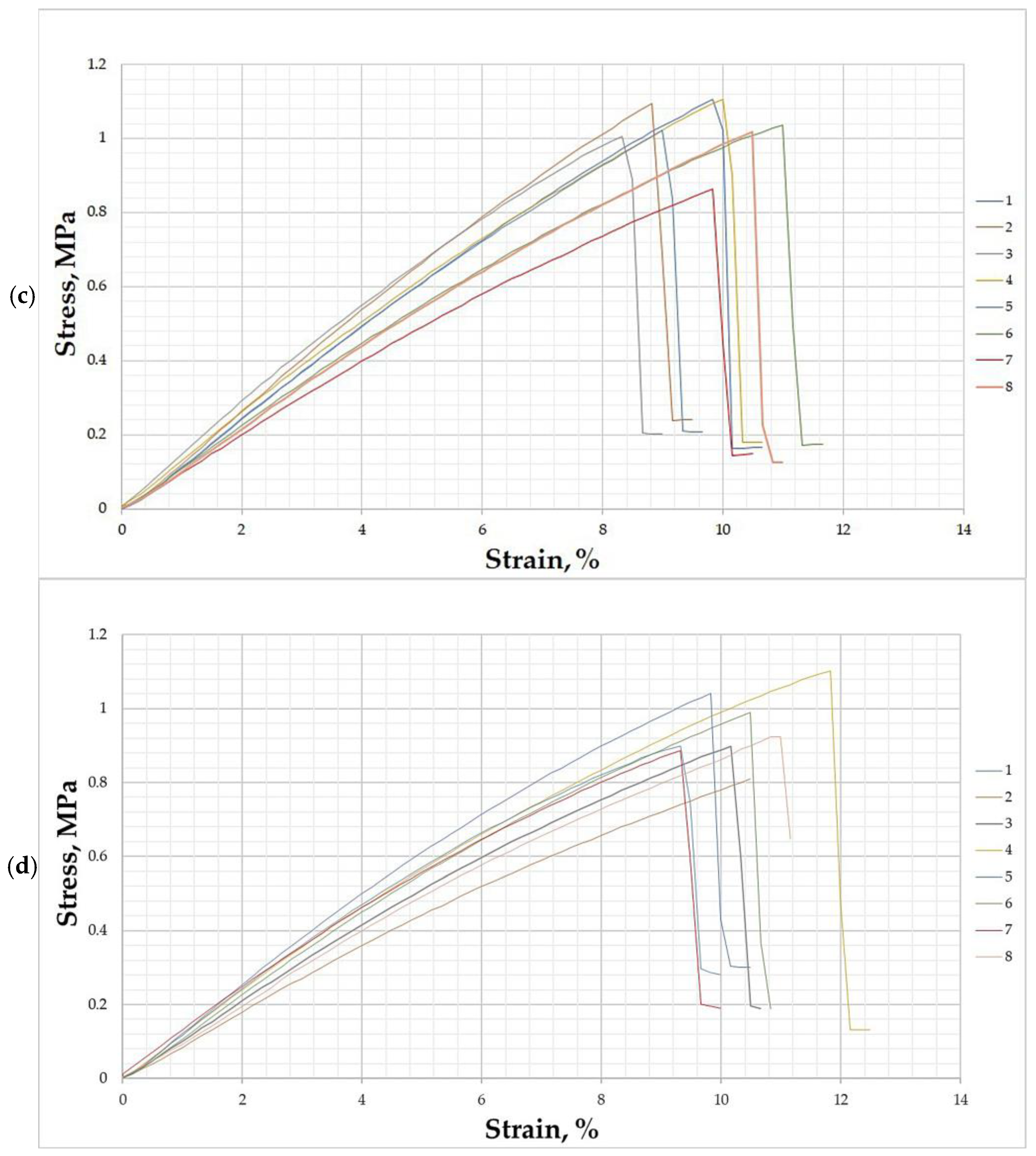
Representative stress–strain traces for the four formulations (REF, 10, 20, and 30 wt% substitution) are shown in Figure 8a–d. All sets exhibit a clear quasi-linear elastic region up to roughly 5–7% strain, followed by progressive nonlinearity and a peak stress, after which post-peak softening occurs. The initial slope aligns with the MOE trends: REF, 10%, and 20% show comparable elastic stiffness, whereas 30% is slightly lower on average.
The 10 wt% panels reach the highest peak stresses and display a relatively broad post-peak plateau, consistent with the statistically higher MOR compared to 20% and 30%, and parity with REF. The REF curves have similar elastic slopes but a somewhat sharper post-peak drop—i.e., a more brittle loss of capacity—suggesting that limited polymer/foil content in the 10% mix provides additional crack-bridging or stress-transfer pathways. At 20 wt%, peak stresses shift downward and post-peak response shortens, mirroring the MOR reduction while MOE remains within the experimental band of the reference. The 30 wt% curves show the lowest peaks and the most pronounced softening; despite some ductility, the reduced peak capacity dominates the mechanical performance.
Mechanistically, a modest fraction of thermoplastic fragments (approximately 10%) likely acts as an auxiliary binder during hot pressing. Softening and thin-film formation at wood–particle interfaces promote load transfer and delay localization, as evidenced by higher peaks and an extended post-peak response. At higher substitution rates (≥20%), the growing population of laminate particulates and foil inclusions disrupts the wood-fiber network and introduces stress concentrators or interfacial voids, leading to earlier softening and lower peak values. Qualitatively, the estimated energy absorption (area under the curve) ranks as follows: 10% ≥ REF ≳ 20% > 30%, consistent with the MOR hierarchy and reinforcing 10 wt% as the optimal for bending performance within the tested range.
Water uptake decreased monotonically with increasing packaging-waste content (Figure 9). The reference panels absorbed on average 58.0% ± 10.8% (n = 8; 95% CI: 49.0–67.0), whereas formulations with 10%, 20%, and 30 wt% waste reached 47.4% ± 6.4% (95% CI: 42.0–52.7), 40.3% ± 4.5% (95% CI: 36.5–44.0), and 34.8% ± 3.0% (95% CI: 32.2–37.3), respectively (n = 8 for each). An omnibus ANOVA confirmed substantial between-group differences (F = 17.32, p = 1.48 × 10−6). Pairwise Welch comparisons with Holm adjustment showed that every waste-containing group differed significantly from the reference (p(Holm) ≤ 0.0054) and that 10% > 20% > 30% in terms of residual water uptake (10% vs. 20%: p(Holm) = 0.023; 20% vs. 30%: p(Holm) = 0.028; 10% vs. 30%: p(Holm) = 0.002). Because density is held essentially constant across groups, these reductions can be attributed to the composition of the furnish. The hydrophobic polymer layers and the aluminum foil in the pharmaceutical laminates interrupt capillary pathways, thereby lowering the overall fiber-accessible porosity and limiting water ingress over 24 h.
The trend aligns with reports that hybridization with plastic-rich, low-permeability phases can attenuate the hygroscopic response when interfacial voids are minimized, and particle size/distribution are well controlled [41]. It is also consistent with durability improvements observed when multilayer pharmaceutical blister wastes are incorporated into concrete systems, where mixes with around 20% replacement reduced sorptivity and improved water-related indicators relative to controls [43]. At the same time, our results contrast with some wood–polypropylene–cement boards that exhibit higher water uptake at greater plastic ratios due to interfacial incompatibility and entrapped porosity—underscoring that processing details and matrix chemistry strongly mediate hydric behavior [45]. The present panels rely on clean, pre-consumer laminates and hot-press consolidation, which likely promote intimate contact and reduce voids. In combination with the barrier effect of the aluminum layer, this results in a progressive reduction in 24 h absorption from REF to 30%. The magnitude of the reduction (10–23 percentage points below the reference) indicates a meaningful moisture-management benefit, which is advantageous for furniture-grade applications provided that strength and stiffness targets remain within specification (see MOE/MOR subsections).
Thickness swelling after 24 h of water immersion followed the same monotonic improvement observed for water absorption (Figure 10). The reference panels exhibited a mean swelling of 23.38% ± 2.00% (95% CI: 21.71–25.04; n = 8). Introducing 10 wt% pharmaceutical packaging waste reduced the mean to 17.00% ± 1.69% (95% CI: 15.59–18.41), while 20 wt% reached 15.25% ± 1.67% (95% CI: 13.85–16.65). The lowest swelling was measured at 30 wt%, with a value of 12.38% ± 2.33% (95% CI: 10.43–14.32). An omnibus ANOVA confirmed substantial between-group differences (F = 46.18, p = 5.74 × 10−11). Holm-adjusted Welch tests showed significant reductions relative to the reference for all waste-containing formulations (p(Holm) < 0.001). Among the waste-containing groups, 20% < 10% did not quite reach significance after correction (p(Welch) = 0.056), but both 20% < 30% (p(Holm) = 0.014) and 10% < 30% (p(Holm) = 0.0011) were significant, confirming a progressive reduction in thickness swelling with increasing substitution.
Mechanistically, the swelling suppression can be attributed to the hydrophobic polymer layers and aluminum foil present in the multilayer waste, which interrupt swelling-active capillaries and reduce the fraction of water-accessible wood cell walls. At higher substitution levels, the network contains fewer hygroscopic fibers per unit volume and more water-barrier phases. Additionally, hot-press consolidation likely enhances interfacial contact, limiting voids that would otherwise accelerate thickness growth during soaking. These effects align with syntheses on hybrid wood–waste panels, which report that controlled additions of low-permeability phases can lower water uptake and swelling when furnish morphology and processing minimize interfacial porosity [41]. They also resonate with durability observations from concrete systems incorporating pharmaceutical blister waste, where mixes around 20% showed reduced sorptivity and improved water-related indicators compared with controls [43]. Conversely, studies on wood–polypropylene–cement composites caution that adverse interfacial compatibility can invert the trend and increase swelling/absorption at high plastic ratios, emphasizing that matrix chemistry and processing govern whether polymer-rich additions hinder or promote moisture ingress [45]. In our case, the clean pre-consumer laminates and hot-press route appear to favor the former, producing an apparent, dose-dependent reduction in thickness swelling from REF to 30%.

4. Conclusions

This preliminary research establishes a practical circular-economy pathway for the direct, non-delaminated use of clean, pre-consumer pharmaceutical multilayer sachets as partial fiber substitutes in wood-based panels. The study demonstrates that multilayer pharmaceutical sachets can be used as received, without separating the paper, plastic, and aluminum layers, to produce hybrid wood-based panels. Within this framework, a practical utilization window around 10–20 wt% emerges, in which bending stiffness is preserved and bending strength remains competitive. As the waste fraction increases, the panels exhibit progressively better hygroscopic behavior, consistent with the barrier effects imparted by the polymer and foil constituents. Complementing the property data, shop-floor observations indicate that press-cycle efficiencies are enhanced at higher waste contents, and the finely dispersed foil imparts a subtle visual sheen that could be attractive for interior applications.
These results support near-term use in non-structural, furniture-grade MDF within a 10–20 wt% window, with scale-up contingent on verification against EN 622-5 requirements for MDF (dry conditions) and—where moisture performance permits—MDF.H (humid conditions) [46], plus additional qualification tests (internal bond, screw withdrawal, surface soundness, emissions) and continuous-press trials.
Limitations include a single resin/press schedule and the absence of tests for surface soundness, density profile, emissions, and long-term durability (creep, cyclic humidity, boiling, abrasion, fire, and UV). Only pre-consumer streams were assessed; post-consumer flows may require cleaning and screening. Techno-economic/LCA and regulatory aspects were not addressed.
Future work will quantify particle-size distribution (e.g., image analysis to obtain D10/D50/D90 with confirmatory dry sieving), optimize furnish morphology and stratification, and refine resin/coupling strategies; expand durability and thermal characterization (TGA/DSC/DMTA); measure X-ray density profiles and microstructure; benchmark against EN 622-5 subclasses; and conduct pilot/continuous-press trials with mass–energy balances and TEA/LCA. Within these bounds, the study provides clear evidence of the feasibility of upcycling pharmaceutical packaging waste into hybrid wood-based panels.

5. Patents

Savov, V.P.; Kostadinova-Slaveva, A.G.; Brankova, S.R.; Todorova, E.I. Composite Wood-Based Material. Bulgarian Utility Model No. 4560, 1 November 2023. (Original title in Bulgarian: “Кoмпoзитен материал на дървесна oснoва”). The utility model protects an application concept; the present article reports independent experimental results and statistical analyses not disclosed in the registration document.

Author Contributions

Conceptualization, A.K.-S. and E.T.; methodology, A.K.-S., V.S. and E.T.; software, A.K.-S., V.S. and S.B.; validation, E.T. and V.S.; formal analysis, A.K.-S., E.T., V.S. and S.B.; investigation, A.K.-S., E.T., V.S. and S.B.; resources, E.T. and A.K.-S.; data curation, A.K.-S., E.T., V.S. and S.B.; writing—original draft preparation, A.K.-S., E.T., V.S. and S.B.; writing—review and editing, A.K.-S., E.T. and V.S.; visualization, V.S., A.K.-S. and S.B.; supervision, E.T. and A.K.-S.; project administration, E.T. and A.K.-S.; funding acquisition, E.T. and A.K.-S. All authors have read and agreed to the published version of the manuscript.

Funding

This research was funded by Innovation and Digitalisation for Smart Transformation Programme, funded by the European Union through the European Structural and Investment Funds, grant number BG16RFPR002-1.014-0015 Competence Center: “Clean Technologies for a Sustainable Environment—Water, Waste, Energy for a Circular Economy”.

Data Availability Statement

The data presented in this study are available on request from the corresponding authors.

Conflicts of Interest

The authors declare no conflicts of interest.

References

  1. Neykov, N.; Antov, P.; Savov, V. Circular Economy Opportunities for Economic Efficiency Implement in Wood-Based Panel Industry. In Proceedings of the 11th International Scientific Conference “Business and Management 2020”, Vilnius, Lithuania, 7–8 May 2020; pp. 8–17, ISBN 978-609-476-231-4. [Google Scholar]
  2. Kim, M.H.; Song, H.B. Analysis of the Global Warming Potential for Wood Waste Recycling Systems. J. Clean. Prod. 2014, 69, 199–207. [Google Scholar] [CrossRef]
  3. Mohanty, A.K.; Misra, M.; Drzal, L.T. Sustainable Bio-Composites from Renewable Resources: Opportunities and Challenges in the Green Materials World. J. Polym. Environ. 2002, 10, 19–26. [Google Scholar] [CrossRef]
  4. Baldassarre, B.; Schepers, M.; Bocken, N.; Cuppen, E.; Korevaar, G.; Calabretta, G. Industrial Symbiosis: Towards a Design Process for Eco-Industrial Clusters by Integrating Circular Economy and Industrial Ecology Perspectives. J. Clean. Prod. 2019, 216, 446–460. [Google Scholar] [CrossRef]
  5. Belaud, J.; Adoue, C.; Vialle, C.; Chorro, A.; Sablayrolles, C. A Circular Economy and Industrial Ecology Toolbox for Developing an Eco-Industrial Park: Perspectives from French Policy. Clean Technol. Environ. Policy 2019, 21, 967–985. [Google Scholar] [CrossRef]
  6. Morales, M.E.; Diemer, A.; Cervantes, G.; Carrillo, G. “By-Product Synergy” Changes in the Industrial Symbiosis Dynamics at the Altamira–Tampico Industrial Corridor: 20 Years of Industrial Ecology in Mexico. Resour. Conserv. Recycl. 2019, 140, 235–245. [Google Scholar] [CrossRef]
  7. Rosado, L.; Kalmykova, Y. Combining Industrial Symbiosis with Sustainable Supply Chain Management for Development of Urban Communities. IEEE Eng. Manag. Rev. 2019, 47, 103–114. [Google Scholar] [CrossRef]
  8. Vaskalis, I.; Skoulou, V.; Stavropoulos, G.; Zabaniotou, A. Towards Circular Economy Solutions for The Management of Rice Processing Residues to Bioenergy via Gasification. Sustainability 2019, 11, 6433. [Google Scholar] [CrossRef]
  9. Marcinkowski, A. The Spatial Limits of Environmental Benefit of Industrial Symbiosis—A Life Cycle Assessment Study. J. Sustain. Dev. Energy Water Environ. Syst. 2019, 7, 521–538. [Google Scholar] [CrossRef]
  10. Bassani, F.; Rodrigues, C.; Marques, P.; Freire, F. Life Cycle Assessment of Pharmaceutical Packaging. Int. J. Life Cycle Assess. 2022, 27, 978–992. [Google Scholar] [CrossRef]
  11. Peeriga, R.; Manubolu, K. Design Strategies for Waste Reduction and Enhanced Recyclability in Pharmaceutical Packaging. In Sustainable Pharmaceutical Product Development and Optimization Processes; Yingngam, B., Aslam, M.S., Haghi, A.K., Eds.; Springer: Singapore, 2025. [Google Scholar] [CrossRef]
  12. Shah, K.; Singh, D.; Agrawal, R.; Garg, A. Eco Friendly Pharmaceutical Packaging. Curr. Green Chem. 2025, 12, 2–14. [Google Scholar] [CrossRef]
  13. Okojie, J.S.; Filani, O.M.; Ihwughwavwe, S.I.; Okojokwu-du, J.O. Circular Approaches to the Pharmaceutical Industry: From Waste to Resource Recovery. Int. J. Adv. Multidiscip. Res. Stud. 2025, 5, 594–608. [Google Scholar] [CrossRef]
  14. Macalam, F.J.T. Exploring Household Behaviors: A Study on Knowledge, Attitudes, and Practices towards Disposing of Plastic Sachet Packaging. Sci. Int. 2023, 35, 251–254. [Google Scholar]
  15. Li, J. Environmental Impact of Treatment of Pharmaceutical Packaging Materials. Int. J. Nat. Resour. Environ. Stud. 2024, 3, 38–43. [Google Scholar] [CrossRef]
  16. Lv, Y.; Liu, N.; Chen, C.; Cai, Z.; Li, J. Pharmaceutical Packaging Materials and Medication Safety: A Mini-Review. Safety 2025, 11, 69. [Google Scholar] [CrossRef]
  17. Ibrahim, I.D.; Hamam, Y.; Sadiku, E.R.; Ndambuki, J.M.; Kupolati, W.K.; Jamiru, T.; Eze, A.A.; Snyman, J. Need for Sustainable Packaging: An Overview. Polymers 2022, 14, 4430. [Google Scholar] [CrossRef] [PubMed]
  18. Song, T.; Qian, S.; Lan, T.; Wu, Y.; Liu, J.; Zhang, H. Recent Advances in Bio-Based Smart Active Packaging Materials. Foods 2022, 11, 2228. [Google Scholar] [CrossRef] [PubMed]
  19. Yang, R.; Liu, H.; Ding, Z.; Zheng, J.; Mauro, J.C.; Kim, S.H.; Zheng, Q. Chemical Durability of Borosilicate Pharmaceutical Glasses: Mixed Alkaline Earth Effect with Varying [MgO]/[CaO] Ratio. J. Am. Ceram. Soc. 2021, 104, 3973–3981. [Google Scholar] [CrossRef]
  20. Xu, C.; van Blokland, J.; Mota, I.F.; Alao, P.; Daniel, G.; Adamopoulos, S. Use of secondary fibres from recycling processes of fibreboard manufacturing and post-consumer waste in medium density fibreboard. Eur. J. Wood Wood Prod. 2025, 83, 17. [Google Scholar] [CrossRef]
  21. Bütün, F.Y.; Mayer, A.K.; Ostendorf, K.; Gröne, O.-E.Z.; Krause, K.C.; Schöpper, C.; Mertens, O.; Krause, A.; Mai, C. Recovering fibers from fiberboards for wood polymer composites production. Int. Wood Prod. J. 2018, 9, 42–49. [Google Scholar] [CrossRef]
  22. Ashori, A. Wood–plastic composites as promising green-composites for automotive industries! Bioresour. Technol. 2008, 99, 4661–4667. [Google Scholar] [CrossRef]
  23. Arfin, T.; Tarannum, A.; Sonawane, K. Green and Sustainable Advanced Materials: An Overview. In Green and Sustainable Advanced Materials: Processing and Characterization; Scrivener Publishing LLC: Beverly, MA, USA, 2018; pp. 1–34. [Google Scholar]
  24. Liedl, B.; Höftberger, T.; Burgstaller, C. Properties of Multiple-Processed Natural Short Fiber Polypropylene and Polylactic Acid Composites: A Comparison. Macromol 2024, 4, 723–738. [Google Scholar] [CrossRef]
  25. Wan, H.; Wang, X.-M.; Barry, A.; Shen, J. Recycling wood composite panels: Characterizing recycled materials. BioResources 2014, 9, 7554–7565. [Google Scholar] [CrossRef]
  26. Savov, V.; Antov, P.; Panchev, C.; Lubis, M.A.R.; Lee, S.H.; Taghiyari, H.R.; Todorova, M.; Petrin, S. Effect of Hydrolysis Regime on the Properties of Fibers Obtained from Recycling Medium-Density Fiberboards. Fibers 2023, 11, 64. [Google Scholar] [CrossRef]
  27. Savov, V.; Antov, P.; Panchev, C.; Lubis, M.A.R.; Taghiyari, H.R.; Lee, S.H.; Krišťák, Ľ.; Todorova, M. The Impact of Hydrolysis Regime on the Physical and Mechanical Characteristics of Medium-Density Fiberboards Manufactured from Recycled Wood Fibers. Fibers 2023, 11, 103. [Google Scholar] [CrossRef]
  28. Neitzel, N.; Hosseinpourpia, R.; Walther, T.; Adamopoulos, S. Alternative Materials from Agro-Industry for Wood Panel Manufacturing—A Review. Materials 2022, 15, 4542. [Google Scholar] [CrossRef] [PubMed]
  29. Panchev, C.; Savov, V. Effect of Hydrolysis Regime on Stiffness and Deformation at bending of Recycled Medium-Density Fibreboards (rMDF). Innov. Woodwork. Ind. Eng. Des. 2023, 2, 70–77. [Google Scholar]
  30. Pickering, K.L.; Efendy, M.G.A.; Le, T.M. A Review of Recent Developments in Natural Fibre Composites and Their Mechanical Performance. Compos. Part A Appl. Sci. Manuf. 2016, 83, 98–112. [Google Scholar] [CrossRef]
  31. Yan, L.; Kasal, B.; Huang, L. A review of recent research on the use of cellulosic fibres, their fibre fabric reinforced cementitious, geo-polymer and polymer composites in civil engineering. Compos. Part B Eng. 2016, 92, 94–132. [Google Scholar] [CrossRef]
  32. Migneault, S.; Koubaa, A.; Erchiqui, F.; Chaala, A.; Englund, K.; Wolcott, M.P. Effects of processing method and fiber size on the structure and properties of wood–plastic composites. Compos. Part A Appl. Sci. Manuf. 2008, 40, 80–85. [Google Scholar] [CrossRef]
  33. Pizzi, A. Recent developments in eco-efficient bio-based adhesives for wood bonding: Opportunities and issues. J. Adhes. Sci. Technol. 2006, 20, 829–846. [Google Scholar] [CrossRef]
  34. Pizzi, A.; Papadopoulos, A.N.; Policardi, F. Wood Composites and Their Polymer Binders. Polymers 2020, 12, 1115. [Google Scholar] [CrossRef]
  35. CEN. EN 322:1993; Wood-Based Panels—Determination of Moisture Content. European Committee for Standardization: Brussels, Belgium, 1993.
  36. CEN. EN 326-1:1994; Wood-Based Panels—Sampling, Cutting and Inspection—Part 1: Sampling, Cutting of Test Pieces and Expression of Test Results. European Committee for Standardization: Brussels, Belgium, 1994.
  37. CEN. EN 325:2012; Wood-Based Panels—Determination of Dimensions of Test Pieces. European Committee for Standardization: Brussels, Belgium, 2012.
  38. CEN. EN 323:1993; Wood-Based Panels—Determination of Density. European Committee for Standardization: Brussels, Belgium, 1993.
  39. CEN. EN 310:1999; Wood-Based Panels—Determination of Modulus of Elasticity in Bending and of Bending Strength. European Committee for Standardization: Brussels, Belgium, 1999.
  40. CEN. EN 317:1993; Particleboards and Fibreboards—Determination of Swelling in Thickness after Immersion in Water. European Committee for Standardization: Brussels, Belgium, 1993.
  41. Amarasinghe, I.T.; Qian, Y.; Gunawardena, T.; Mendis, P.; Belleville, B. Composite Panels from Wood Waste: A Detailed Review of Processes, Standards, and Applications. J. Compos. Sci. 2024, 8, 417. [Google Scholar] [CrossRef]
  42. Yel, H.; Aras, U.; Kalaycıoğlu, H.; Aykan, R. Cement-Bonded Wood Panels Filled with Duroplast Sanitaryware Wastes. Maderas. Cienc. Tecnol. 2015, 17, 687–696. [Google Scholar] [CrossRef]
  43. Choudhary, R.K.; Choudhary, A.K.; Sharma, K.K.; Pratap, B.; Asaithambi, P. Transforming Waste Pharmaceutical Blister into Sustainable Concrete. Sci. Rep. 2025, 15, 37037. [Google Scholar] [CrossRef]
  44. Islam, A.; Ferdous, W.; Burey, P.; Nahar, K.; Yan, L.; Manalo, A. Polymer Composite Sandwich Panels Composed of Hemp and Plastic Skins and Composite Wood, Recycled Plastic, and Styrofoam Cores. Polymers 2025, 17, 1359. [Google Scholar] [CrossRef]
  45. Ohijeagbon, I.O.; Adeleke, A.A.; Mustapha, V.T.; Olorunmaiye, J.A.; Okokpujie, I.P.; Ikubanni, P.P. Development and Characterization of Wood–Polypropylene Plastic–Cement Composite Board. Case Stud. Constr. Mater. 2020, 13, e00365. [Google Scholar] [CrossRef]
  46. CEN. EN 622-5:2009+A1:2019; Fibreboards—Specifications—Part 5: Requirements for Dry Process Boards (MDF). European Committee for Standardization: Brussels, Belgium, 2019.
Figure 1. Circular workflow from inputs to hybrid panels.
Figure 1. Circular workflow from inputs to hybrid panels.
Jcs 09 00679 g001
Figure 2. Universal cutting mill (FRITSCH Pulverisette 19) used for size-reduction of multilayer offcuts.
Figure 2. Universal cutting mill (FRITSCH Pulverisette 19) used for size-reduction of multilayer offcuts.
Jcs 09 00679 g002
Figure 3. Mat formation prior to hot-pressing for 400 × 400 × 6 mm panels (image not to scale).
Figure 3. Mat formation prior to hot-pressing for 400 × 400 × 6 mm panels (image not to scale).
Jcs 09 00679 g003
Figure 4. Appearance of hybrid wood-based panels containing pharmaceutical composite packaging waste: (a) Surface appearance of hybrid panels showing dispersed polymeric fragments and reflective aluminum specks; (b) three laboratory-produced panels (400 × 400 × 6 mm). Images not to scale.
Figure 4. Appearance of hybrid wood-based panels containing pharmaceutical composite packaging waste: (a) Surface appearance of hybrid panels showing dispersed polymeric fragments and reflective aluminum specks; (b) three laboratory-produced panels (400 × 400 × 6 mm). Images not to scale.
Jcs 09 00679 g004
Figure 5. Panel density for the reference and panels containing 10, 20, and 30 wt% pharmaceutical composite packaging waste. Boxes show interquartile ranges with medians; whiskers depict the 5th–95th percentiles; points are individual specimens (n = 8 per group).
Figure 5. Panel density for the reference and panels containing 10, 20, and 30 wt% pharmaceutical composite packaging waste. Boxes show interquartile ranges with medians; whiskers depict the 5th–95th percentiles; points are individual specimens (n = 8 per group).
Jcs 09 00679 g005
Figure 6. Modulus of elasticity (MOE) in three-point bending (EN 310) for the reference (REF) and panels containing 10, 20, and 30 wt% pharmaceutical composite packaging waste; boxes show interquartile ranges with medians, whiskers depict the 5th–95th percentiles, and points are individual specimens (n = 8 per group).
Figure 6. Modulus of elasticity (MOE) in three-point bending (EN 310) for the reference (REF) and panels containing 10, 20, and 30 wt% pharmaceutical composite packaging waste; boxes show interquartile ranges with medians, whiskers depict the 5th–95th percentiles, and points are individual specimens (n = 8 per group).
Jcs 09 00679 g006
Figure 7. Bending strength (MOR) in three-point bending (EN 310) for the reference (REF) and panels containing 10, 20, and 30 wt% pharmaceutical composite packaging waste; boxes indicate interquartile ranges with medians, whiskers depict the 5th–95th percentiles, and points are individual specimens (n = 8 per group).
Figure 7. Bending strength (MOR) in three-point bending (EN 310) for the reference (REF) and panels containing 10, 20, and 30 wt% pharmaceutical composite packaging waste; boxes indicate interquartile ranges with medians, whiskers depict the 5th–95th percentiles, and points are individual specimens (n = 8 per group).
Jcs 09 00679 g007
Figure 8. Representative stress–strain curves in three-point bending (EN 310) for (a) REF, (b) 10 wt%, (c) 20 wt%, and (d) 30 wt% panels. Within each subfigure, the different colored traces denote individual test specimens (replicates) from the same panel type and illustrate within-group variability. All axes are identical for comparability; curves exhibit a quasi-linear elastic segment followed by nonlinear hardening and post-peak softening.
Figure 8. Representative stress–strain curves in three-point bending (EN 310) for (a) REF, (b) 10 wt%, (c) 20 wt%, and (d) 30 wt% panels. Within each subfigure, the different colored traces denote individual test specimens (replicates) from the same panel type and illustrate within-group variability. All axes are identical for comparability; curves exhibit a quasi-linear elastic segment followed by nonlinear hardening and post-peak softening.
Jcs 09 00679 g008aJcs 09 00679 g008b
Figure 9. Water absorption after 24 h immersion (EN 317 protocol) for the reference and panels containing 10, 20, and 30 wt% pharmaceutical composite packaging waste. Boxes show interquartile ranges with medians; whiskers denote the 5th–95th percentiles; points are individual specimens (n = 8 per group).
Figure 9. Water absorption after 24 h immersion (EN 317 protocol) for the reference and panels containing 10, 20, and 30 wt% pharmaceutical composite packaging waste. Boxes show interquartile ranges with medians; whiskers denote the 5th–95th percentiles; points are individual specimens (n = 8 per group).
Jcs 09 00679 g009
Figure 10. Thickness swelling after 24 h immersion (EN 317 protocol) for the reference and panels containing 10, 20, and 30 wt% pharmaceutical composite packaging waste. Boxes indicate interquartile ranges with medians; whiskers denote the 5th–95th percentiles; points are individual specimens (n = 8 per group).
Figure 10. Thickness swelling after 24 h immersion (EN 317 protocol) for the reference and panels containing 10, 20, and 30 wt% pharmaceutical composite packaging waste. Boxes indicate interquartile ranges with medians; whiskers denote the 5th–95th percentiles; points are individual specimens (n = 8 per group).
Jcs 09 00679 g010
Disclaimer/Publisher’s Note: The statements, opinions and data contained in all publications are solely those of the individual author(s) and contributor(s) and not of MDPI and/or the editor(s). MDPI and/or the editor(s) disclaim responsibility for any injury to people or property resulting from any ideas, methods, instructions or products referred to in the content.

Share and Cite

MDPI and ACS Style

Kostadinova-Slaveva, A.; Todorova, E.; Savov, V.; Brankova, S. Circular Economy Pathways for Pharmaceutical Packaging Waste in Wood-Based Panels—A Preliminary Study. J. Compos. Sci. 2025, 9, 679. https://doi.org/10.3390/jcs9120679

AMA Style

Kostadinova-Slaveva A, Todorova E, Savov V, Brankova S. Circular Economy Pathways for Pharmaceutical Packaging Waste in Wood-Based Panels—A Preliminary Study. Journal of Composites Science. 2025; 9(12):679. https://doi.org/10.3390/jcs9120679

Chicago/Turabian Style

Kostadinova-Slaveva, Alexandrina, Ekaterina Todorova, Viktor Savov, and Savina Brankova. 2025. "Circular Economy Pathways for Pharmaceutical Packaging Waste in Wood-Based Panels—A Preliminary Study" Journal of Composites Science 9, no. 12: 679. https://doi.org/10.3390/jcs9120679

APA Style

Kostadinova-Slaveva, A., Todorova, E., Savov, V., & Brankova, S. (2025). Circular Economy Pathways for Pharmaceutical Packaging Waste in Wood-Based Panels—A Preliminary Study. Journal of Composites Science, 9(12), 679. https://doi.org/10.3390/jcs9120679

Article Metrics

Back to TopTop