Effect of Polyethylene and Steel Fibers on the Fracture Behavior of Coral Sand Ultra-High Performance Concrete
Abstract
1. Introduction
2. Materials and Methods
2.1. Raw Materials
2.2. Mix Proportions
2.3. Preparation Process of CSUHPC
2.4. Compressive Strength and Splitting Tensile Strength Tests of CSUHPC
2.5. CSUHPC Bending Performance Test
2.6. Strength Projections and Comprehensive Performance Evaluation
3. Results and Discussion
3.1. Compressive Strength and Tensile Strength Tests
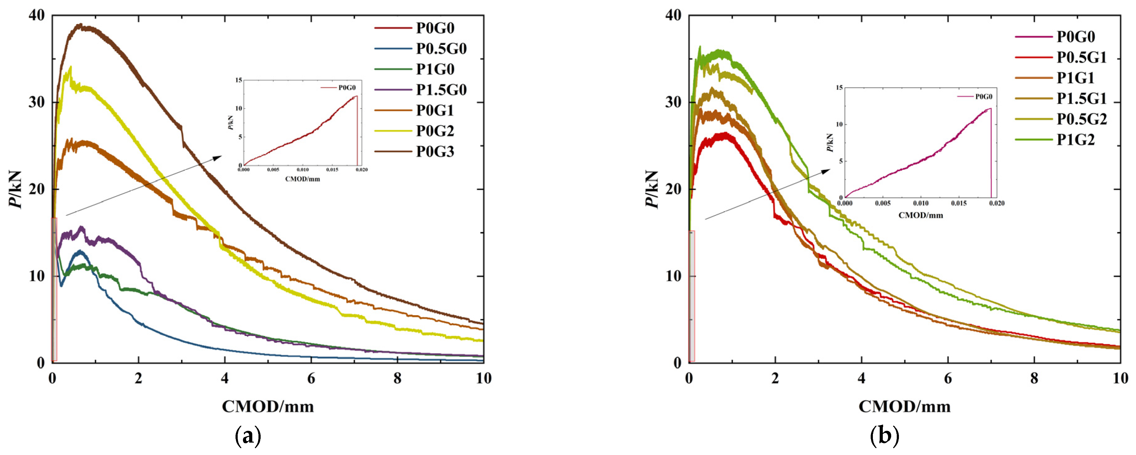
3.2. P-CMOD Curve
3.3. Flexural Strength and Residual Strength
3.4. Fracture Energy and Ductility Index
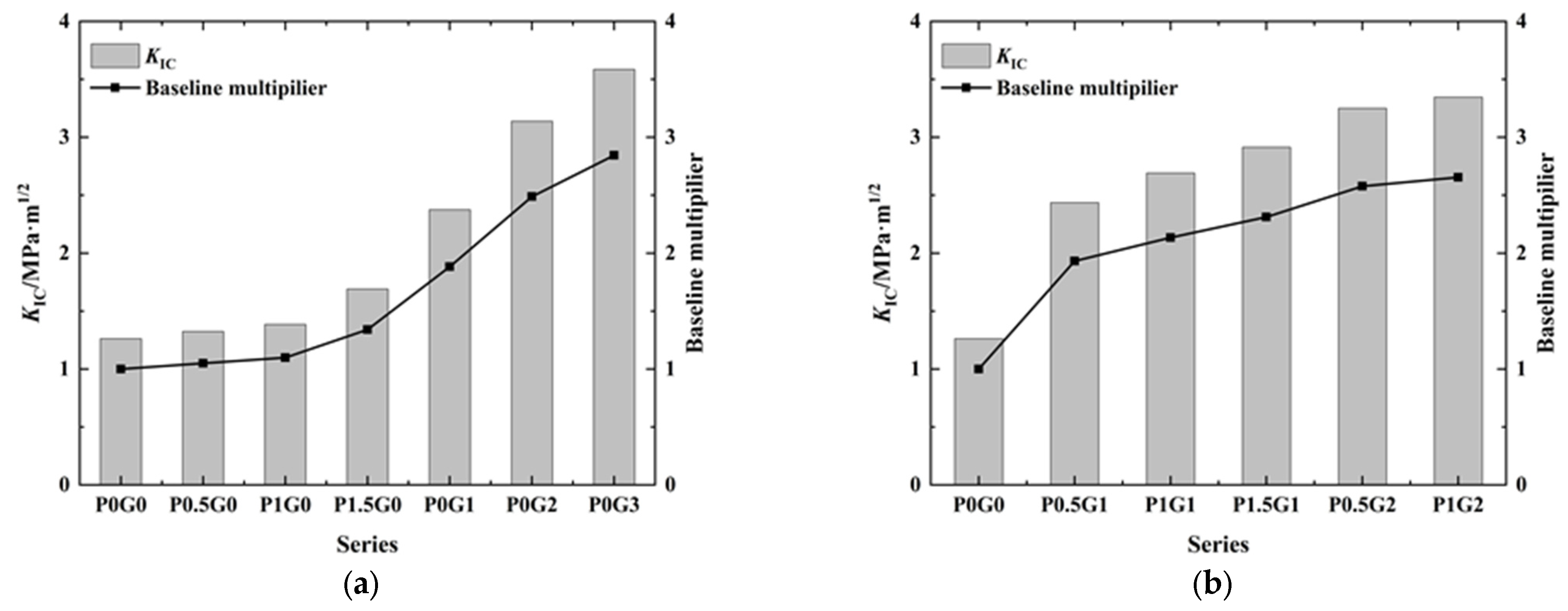
3.5. Fracture Toughness
3.6. CSUHPC Strength Projections and Comprehensive Performance Evaluation
3.6.1. CSUHPC Strength Projections
3.6.2. Comprehensive Performance Evaluation
4. Conclusions
- (1)
- The incorporation of fibers into CSUHPC specimens significantly improved their compressive strength. Adding steel fibers alone yielded the most significant increase in compressive strength, followed by the hybrid fiber group, while PE fibers resulted in a relatively limited enhancement in compressive strength. When the steel fiber content was 3%, the compressive strength of the CSUHPC specimen reached 131.9 MPa, representing a 93% increase over the control group.
- (2)
- When the PE fiber content was 1.5% and the steel fiber content was 1%, the tensile strength of CSUHPC reached a peak value of 8.5 MPa, 4.25 times higher than the control group. A comparison of the tensile strength across different specimen groups revealed that the hybrid fiber system provided the best improvement, while single steel fibers exhibited a relatively less significant enhancement.
- (3)
- The P-CMOD curve showed that PE fiber-reinforced CSUHPC specimens exhibited stress-softening behavior, while the steel fiber and hybrid fiber groups exhibited stress-hardening behavior. After fiber addition, the failure mode of the specimens shifted from brittle to ductile. Based on a comparison of fracture parameters, the effectiveness of fiber reinforcement for CSUHPC specimens was ranked as follows: steel fibers > hybrid fibers > PE fibers. The specimen with 3% steel fiber content demonstrated the best fracture performance, with its flexural strength, fracture energy, and fracture toughness increasing to 1.84 times, 192.08 times, and 1.84 times that of the control group, respectively.
- (4)
- A multi-criteria evaluation system was established to assess the overall performance of CSUHPC specimens with varying fiber contents. The optimal fiber content combination was determined to be P0G3, followed by P1G2.
Author Contributions
Funding
Institutional Review Board Statement
Informed Consent Statement
Data Availability Statement
Conflicts of Interest
References
- Hou, D.; Li, W.; Xue, X.; Liu, Z.; Han, H.; Han, Y. Study on the Regulation of Early-Age Deformation Characteristics of High-Strength Coral Sand Grouting Materials. Materials 2025, 18, 3740. [Google Scholar] [CrossRef] [PubMed]
- Wu, W.; Zhang, P.; Jiang, H.; Su, F. Sustainability assessment for an offshore coral reef island based on scenario simulation and emergy analysis. Front. Mar. Sci. 2023, 10, 1180876. [Google Scholar] [CrossRef]
- Zhang, J.; Wang, L.; Yi, J.; Qin, Q. Experimental study on stress-strain relationship of high strength coral concrete (HSCC). J. Build. Eng. 2024, 87, 109090. [Google Scholar] [CrossRef]
- Xiao, J.; Qiang, C.; Nanni, A.; Zhang, K. Use of sea-sand and seawater in concrete construction: Current status and future opportunities. Constr. Build. Mater. 2017, 155, 1101–1111. [Google Scholar] [CrossRef]
- Feng, T.; Miao, Y.; Li, P.; Jiang, J. Chloride diffusion behavior of coral concrete—A 3D meso-scale numerical simulation study. Constr. Build. Mater. 2025, 483, 141777. [Google Scholar] [CrossRef]
- Zhang, W.; Xie, X.; Shi, D.; Shao, W.; Zhang, J. Experimental insights into the mechanical properties and constitutive models of coral aggregate seawater concrete mixed with natural aggregates. J. Build. Eng. 2025, 107, 112756. [Google Scholar] [CrossRef]
- Ehsan, K.; Mohamed, A.H.; Inqiad, B.W.; Javed, M.A.; Iqbal, I. Multi expression programming and interpretable machine learning for determining compressive strength of coral sand aggregate concrete. Mater. Today Commun. 2025, 45, 112370. [Google Scholar] [CrossRef]
- Wang, A.; Lyu, B.; Zhang, Z.; Liu, K.; Xu, H.; Sun, D. The development of coral concretes and their upgrading technologies: A critical review. Constr. Build. Mater. 2018, 187, 1004–1019. [Google Scholar] [CrossRef]
- Wang, J.; Feng, P.; Hao, T.; Yue, Q. Axial compressive behavior of seawater coral aggregate concrete-filled FRP tubes. Constr. Build. Mater. 2017, 147, 272–285. [Google Scholar] [CrossRef]
- Wang, L.; Zhang, Q.; Yi, J.; Zhang, J. Effects of coral aggregate properties on the ultrasonic pulse velocity of concrete. J. Build. Eng. 2023, 80, 107935. [Google Scholar] [CrossRef]
- Guo, J.; Zhang, J.; Yu, H.; Ma, H.; Wu, Z. Experimental and 3D mesoscopic investigation of uniaxial compression performance on basic magnesium sulfate cement-coral aggregate concrete (BMSC-CAC). Compos. Part B Eng. 2022, 236, 109760. [Google Scholar] [CrossRef]
- Da, B.; Yu, H.; Ma, H.; Tan, Y.; Mi, R.; Dou, X. Experimental investigation of whole stress-strain curves of coral concrete. Constr. Build. Mater. 2016, 122, 81–89. [Google Scholar] [CrossRef]
- Wang, A.; Xu, Z.; Chu, Y.; Dai, J.; Xu, Q.; Liu, K.; Ding, Y.; Sun, D. Numerical characterization of the geometric shape of coral sand by particle shaping and study on the properties of graded composite coral fine aggregate. Compos. Part B Eng. 2025, 297, 112313. [Google Scholar] [CrossRef]
- He, X.; Zhou, J.; Wei, J.; Yu, B.; Xu, K.; Cao, M. Study on the enhancement of physical properties of coral aggregates through superfine cement paste suction under negative pressure. Constr. Build. Mater. 2025, 497, 141474. [Google Scholar] [CrossRef]
- Zhang, H.; Zheng, S.; Li, X.; Pan, L.; Cao, Z.; Shuai, B.; Shen, C.; Zhao, Z. Impact splitting tensile properties and microstructural analysis of polypropylene fiber reinforced coral seawater concrete. Constr. Build. Mater. 2025, 471, 140747. [Google Scholar] [CrossRef]
- Yang, L.; Long, Z.; Long, T.; Liu, X.; Kuang, D.; Gong, C. Split tensile strength of fiber-reinforced coral aggregate concrete: Deep learning model and experimental validation. Constr. Build. Mater. 2024, 450, 138679. [Google Scholar] [CrossRef]
- Huang, Y.; He, X.; Sun, H.; Sun, Y.; Wang, Q. Effects of coral, recycled and natural coarse aggregates on the mechanical properties of concrete. Constr. Build. Mater. 2018, 192, 330–347. [Google Scholar] [CrossRef]
- Han, Y.; Wang, Z.; Liu, W.; Yue, Q.; Ding, X. Comparative study on fracture properties of seawater coral aggregate concrete with different strengths. J. Build. Mater. 2021, 24, 881–886. Available online: https://jcxb.ijournals.cn/jzclxben/article/abstract/20210428?st=article_issue (accessed on 7 August 2025). (In Chinese).
- Wang, Z.; Liu, W.; Zuo, J.; Han, Y.; Li, P.; Hao, R. Strength and fracture properties of coral concrete under impact of coral aggregate type and fiber hybridization. J. Cent. South Univ. 2024, 31, 1592–1607. [Google Scholar] [CrossRef]
- Dong, Z. Study on the Effect of Polypropylene Fiber on the Experimental Properties of Coral Concrete at Different Ages. Master’s Thesis, Xi’an University of Technology, Xi’an, China, 2024. (In Chinese). [Google Scholar] [CrossRef]
- Wang, Z.; Li, P.; Han, Y.; Hao, R.; Liu, W. Dynamic compressive properties of seawater coral aggregate concrete (SCAC) reinforced with mono or hybrid fibers. Constr. Build. Mater. 2022, 340, 127801. [Google Scholar] [CrossRef]
- Zhang, L.; Wang, H.; Wang, A.; Zhang, Q.; Li, Z.; Wang, X.; Huang, C.; Jivkov, A. Experimental study of marine ultra-high-performance concrete with coarse aggregate (UHPC-CA). Case Stud. Constr. Mater. 2025, 22, e04731. [Google Scholar] [CrossRef]
- Zhang, Y.; An, Z.; Wang, Y.; Guan, Z.; Zhao, W.; Chen, Q.; Yan, Z. Effect of microfibers and cenospheres on the interfacial performance between steel fiber and multi-scale fiber reinforced UHPC subjected to high temperatures. Constr. Build. Mater. 2025, 478, 141435. [Google Scholar] [CrossRef]
- Elmaasrawy, M.; Lan, S.; Cao, H.; Li, S.; Gao, X. Microstructure and durability evaluation of slag-metakaolin-limestone ternary blended alkali activated UHPC. J. Build. Eng. 2025, 106, 112674. [Google Scholar] [CrossRef]
- Hakan, Y.; Atila, K.; Ugurcan, E. Effects of geo-grid and conventional stirrups on reinforced concrete beams with polypropylene fibers. Structures 2018, 13, 230–242. [Google Scholar] [CrossRef]
- Mirzaaghabeik, H.; Shukla, S.K.; Mashaan, N.S. Effects of vertical reinforcement on the shear performance of UHPC deep beams with synthetic and steel fibres. Structures 2025, 76, 109038. [Google Scholar] [CrossRef]
- Zhou, P.; Zhu, Z.; She, W. A superhydrophobic mortar with ultra-robustness for self-cleaning, anti-icing, and anti-corrosion. Chem. Eng. J. 2024, 495, 153488. [Google Scholar] [CrossRef]
- Du, J.; Meng, W.; Khayat, K.H.; Bao, Y.; Guo, P.; Lyu, Z.; Abu-obeidah, A.; Nassif, H.; Wang, H. New development of ultra-high-performance concrete (UHPC). Compos. Part B Eng. 2021, 224, 109220. [Google Scholar] [CrossRef]
- Pyo, S.; Tafesse, M.; Kim, H.; Kim, H.-K. Effect of chloride content on mechanical properties of ultra high performance concrete. Cem. Concr. Compos. 2017, 84, 175–187. [Google Scholar] [CrossRef]
- Da, B.; Li, Y.; Yu, H.; Ma, H.; Chen, H.; Dou, X.; Wu, Z. Effect of carbonation and drying-wetting cycles on chloride diffusion behavior of coral aggregate seawater concrete. J. Ocean Univ. China 2022, 21, 113–123. [Google Scholar] [CrossRef]
- Chen, Z.; Li, L.; Xiong, Z. Investigation on the interfacial behaviour between the rubber-cement matrix of the rubberized concrete. J. Clean. Prod. 2019, 209, 1354–1364. [Google Scholar] [CrossRef]
- Wang, Z.; Sun, P.; Hu, Y.; Han, S. Crack morphology tailoring and permeability prediction of polyvinyl alcohol—Steel hybrid fiber engineered cementitious composites. J. Clean. Prod. 2023, 383, 135335. [Google Scholar] [CrossRef]
- T/CECS 864-2021; Standard for Test Method of Ultra-High Performance Concrete. China Association for Engineering Construction Standardization: Beijing, China, 2021. (In Chinese)
- JC/T 2461-2018; Standard Test Method for the Mechanical Properties of Ductile Fiber Reinforced Cementitious Composites. Ministry of Industry and Information Technology of the People’s Republic of China: Beijing, China, 2018. (In Chinese)
- Wei, X.; Ren, M.; Feng, P.; Wu, X.; Liao, J. A review and prospect for fracture properties of fiber-reinforced concrete. Ind. Constr. 2022, 52, 1–9. (In Chinese) [Google Scholar] [CrossRef]
- Luo, T.; Li, Y.; Yang, Y.; Pan, X.; Jin, F. Research on the effect of single rock size on the fracture performance of self-compacting concrete. J. Hydraul. Eng. 2023, 54, 1177–1187. (In Chinese) [Google Scholar] [CrossRef]
- Jian, H.; Zhu, E.; Cai, W.; Bai, Z.; Yao, T.; Li, J. Effects of diatomite on fracture and damping behavior of recycled aggregate concrete. Constr. Build. Mater. 2025, 483, 141767. [Google Scholar] [CrossRef]
- ASTM C1018-97; Standard Test Method for Flexural Toughness and First Crack Strength of Fiber-Reinforced Concrete (Using Beam with Third-Point Loading). American Society for Testing and Materials (ASTM): Philadelphia, PA, USA, 2001.
- Naaman, A.E.; Reinhardt, H.W. Proposed classification of HPFRC composites based on their tensile response. Mater. Struct. 2006, 39, 547–555. [Google Scholar] [CrossRef]
- Swamy, R.N.; AI-Ta’an, S.A. Deformation and ultimate strength in flexure of reinforced concrete beams made with steel fiber concrete. J. Proc. 1981, 78, 395–405. [Google Scholar] [CrossRef]
- Xue, X.; Li, W.; Hou, D.; Han, H.; Han, Y. Experimental study on uniaxial compression stress-strain relationship of hybrid fiber-reinforced coral sand ultra-high performance concrete. Materials 2025, 18, 2233. [Google Scholar] [CrossRef]
- GB/T 31387—2025; Ultra High Performance Concrete. Ministry of Housing and Urban-Rural Development of the People’s Republic of China: Beijing, China, 2025. (In Chinese)
- Zhang, J.; Zhan, X.; Yu, Z.; Dai, Z.; Du, X. Study on the dynamic fracture mechanical properties of ultra high-performance concrete under the influence of steel fiber content. J. Build. Eng. 2024, 96, 110540. [Google Scholar] [CrossRef]
- Yu, L.; Bai, S.; Guan, X. Effect of multi-scale reinforcement on fracture property of ultra-high performance concrete. Constr. Build. Mater. 2023, 397, 132383. [Google Scholar] [CrossRef]











| Ingredient | CaO | SiO2 | Al2O3 | Fe2O3 | SrO | MgO | Na2O | SO3 | K2O | TiO2 |
|---|---|---|---|---|---|---|---|---|---|---|
| Content | 85.25 | 6.06 | 2.43 | 2.07 | 1.91 | 0.50 | 0.46 | 0.43 | 0.35 | 0.29 |
| Fiber Type | Length/mm | Diameter/mm | Density/g·cm−3 | Tensile Strength/MPa |
|---|---|---|---|---|
| Steel Fiber | 12 | 0.22 | 7.85 | 3000 |
| PE Fiber | 12 | 0.0156 | 0.97 | 3980 |
| Series | Coral Sand | Cement | Glass Microspheres | Silica Fume | Water | Defoamer | Water Reducer | PE Fiber | Steel Fiber |
|---|---|---|---|---|---|---|---|---|---|
| P0G0 | 1 | 0.7 | 0.15 | 0.15 | 0.23 | 0.0015 | 0.015 | 0 | 0 |
| P0.5G0 | 1 | 0.7 | 0.15 | 0.15 | 0.23 | 0.0015 | 0.015 | 0.005 | 0 |
| P1G0 | 1 | 0.7 | 0.15 | 0.15 | 0.23 | 0.0015 | 0.015 | 0.010 | 0 |
| P1.5G0 | 1 | 0.7 | 0.15 | 0.15 | 0.23 | 0.0015 | 0.015 | 0.015 | 0 |
| P0G1 | 1 | 0.7 | 0.15 | 0.15 | 0.23 | 0.0015 | 0.015 | 0 | 0.078 |
| P0G2 | 1 | 0.7 | 0.15 | 0.15 | 0.23 | 0.0015 | 0.015 | 0 | 0.156 |
| P0G3 | 1 | 0.7 | 0.15 | 0.15 | 0.23 | 0.0015 | 0.015 | 0 | 0.234 |
| P0.5G1 | 1 | 0.7 | 0.15 | 0.15 | 0.23 | 0.0015 | 0.015 | 0.005 | 0.078 |
| P1G1 | 1 | 0.7 | 0.15 | 0.15 | 0.23 | 0.0015 | 0.015 | 0.010 | 0.078 |
| P1.5G1 | 1 | 0.7 | 0.15 | 0.15 | 0.23 | 0.0015 | 0.015 | 0.015 | 0.078 |
| P0.5G2 | 1 | 0.7 | 0.15 | 0.15 | 0.23 | 0.0015 | 0.015 | 0.005 | 0.156 |
| P1G2 | 1 | 0.7 | 0.15 | 0.15 | 0.23 | 0.0015 | 0.015 | 0.010 | 0.156 |
| Fiber Type | Regression Equations | R2 | |
|---|---|---|---|
| Compressive strength | PE | f = 11.02 x1 + 93.62 | 0.9297 |
| Steel | f = 8.98 x2 + 104.53 | 0.9943 | |
| Hybrid | f = 8.80 x1 + 4.66 x2 + 110.57 | 0.8607 | |
| Tensile strength | PE | f = 2.10 x1 + 4.27 | 0.9992 |
| Steel | f = 1.60 x2 + 3.10 | 0.9046 | |
| Hybrid | f = 2.84 x1 + 1.36 x2 + 2.90 | 0.9481 | |
| Flexural strength | PE | f = 2.60 x1 + 7.73 | 0.8879 |
| Steel | f = 4.25 x2 + 12.90 | 0.9801 | |
| Hybrid | f = 3.00 x1 + 5.07 x2 + 10.87 | 0.9857 |
| Series | Si | Ci | Ai | Bi | Fi |
|---|---|---|---|---|---|
| P0G0 | 0.2046 | 2.0229 | 0.0899 | 0.6281 | 0.2376 |
| P0.5G0 | 0.5103 | 2.9375 | 0.2241 | 0.7428 | 0.4080 |
| P1G0 | 0.6430 | 3.2286 | 0.2824 | 0.7747 | 0.4677 |
| P1.5G0 | 0.8418 | 3.6959 | 0.3697 | 0.7740 | 0.5350 |
| P0G1 | 1.0913 | 4.0929 | 0.4793 | 0.8182 | 0.6262 |
| P0G2 | 1.6917 | 4.9714 | 0.7430 | 0.8597 | 0.7992 |
| P0G3 | 2.2768 | 5.7600 | 1.0000 | 0.8619 | 0.9284 |
| P0.5G1 | 1.1252 | 4.0983 | 0.4942 | 0.8414 | 0.6449 |
| P1G1 | 1.4424 | 4.6438 | 0.6335 | 0.8401 | 0.7295 |
| P1.5G1 | 1.6836 | 5.0263 | 0.7394 | 0.8370 | 0.7867 |
| P0.5G2 | 1.8794 | 5.2317 | 0.8255 | 0.8624 | 0.8437 |
| P1G2 | 2.0224 | 5.4351 | 0.8883 | 0.8599 | 0.8740 |
Disclaimer/Publisher’s Note: The statements, opinions and data contained in all publications are solely those of the individual author(s) and contributor(s) and not of MDPI and/or the editor(s). MDPI and/or the editor(s) disclaim responsibility for any injury to people or property resulting from any ideas, methods, instructions or products referred to in the content. |
© 2025 by the authors. Licensee MDPI, Basel, Switzerland. This article is an open access article distributed under the terms and conditions of the Creative Commons Attribution (CC BY) license (https://creativecommons.org/licenses/by/4.0/).
Share and Cite
Han, H.; Xue, X.; Hou, D.; Li, W.; Han, H.; Han, Y. Effect of Polyethylene and Steel Fibers on the Fracture Behavior of Coral Sand Ultra-High Performance Concrete. J. Compos. Sci. 2025, 9, 493. https://doi.org/10.3390/jcs9090493
Han H, Xue X, Hou D, Li W, Han H, Han Y. Effect of Polyethylene and Steel Fibers on the Fracture Behavior of Coral Sand Ultra-High Performance Concrete. Journal of Composites Science. 2025; 9(9):493. https://doi.org/10.3390/jcs9090493
Chicago/Turabian StyleHan, Hongwei, Xiao Xue, Dongxu Hou, Wei Li, Hao Han, and Yudong Han. 2025. "Effect of Polyethylene and Steel Fibers on the Fracture Behavior of Coral Sand Ultra-High Performance Concrete" Journal of Composites Science 9, no. 9: 493. https://doi.org/10.3390/jcs9090493
APA StyleHan, H., Xue, X., Hou, D., Li, W., Han, H., & Han, Y. (2025). Effect of Polyethylene and Steel Fibers on the Fracture Behavior of Coral Sand Ultra-High Performance Concrete. Journal of Composites Science, 9(9), 493. https://doi.org/10.3390/jcs9090493
