Effect of Power Ultrasonic on the Expansion of Fiber Strands
Abstract
1. Introduction
2. Materials and Methods
2.1. Materials
2.2. Methods
- Mass per roving mn: The rovings are pulled continuously during pultrusion and are therefore under tension. In the test chamber, the preload on the rovings is simulated by employing an additional weight per roving. This corresponds to the actual stress occurring in the chamber geometries (conical and drop-shaped) [4,6]. The stress is based on the values from the preliminary investigation and varies within the range 250 to 500 g per roving [30].
- Number of rovings n: The layer thickness is adjusted by varying the number of rovings. A number of rovings of between 2 and 6 corresponds to a layer thickness of between 2 and 6 mm. The number of rovings determines the average profile thickness in pultrusion.
- Amplitude u: The amplitude range can be varied within the range from 12 to 48 µm. Any further increase in amplitude will cause direct damage to the fiber [33].
3. Results
3.1. Expansion of Glass and Carbon Fiber Strand
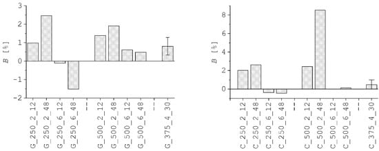
3.2. Analysing the Effect of Manipulated Variables
4. Discussion
Author Contributions
Funding
Conflicts of Interest
References
- Bezerra, R. Modelling and Simulation of the Closed Injection Pultrusion Process. Ph.D. Thesis, Karlsruher Institut für Technologie (KIT), Karlsruhe, Germany, 2017. [Google Scholar]
- Connolly, M.; King, J.; Shidaker, T.; Duncan, A. Pultruding Polyurethane Composite Profiles: Practical Guidelines for Injection Box Design, Component Metering Equipment and Processing. In COMPOSITES; United States of America: Columbus, OH, USA, 2005. [Google Scholar]
- Strauß, S.; Senz, A.; Ellinger, J. Comparison of the Processing of Epoxy Resins in Pultrusion with Open Bath Impregnation and Closed-Injection Pultrusion. J. Compos. Sci. 2019, 3, 87. [Google Scholar] [CrossRef]
- Brown, R.J.; Kharchenko, S.; Coffee, H.D.; Huang, L. System for Producing Pultruded Components. U.S. Patent 8597016 B2, 3 December 2013. [Google Scholar]
- Goldsworthy, W.B. Pultrusion Machine and Method. U.S. Patent 3556888, 19 January 1971. [Google Scholar]
- Koppernaes, C.; Nolet, S.G.; Fanucci, J.P. Method and Apparatus for Wetting Fiber Reinforcements with Matrix Materials in the Pultrusion Process Using Continuous in-Line Degassing. U.S. Patent 53150890, 17 December 1991. [Google Scholar]
- Thorning, H. Fiberline Design Manual; Fiberline Composites: Kolding, Denmark, 2003. [Google Scholar]
- Wilhelm, F. Closed injection pultrusion. In Proceedings of the Travelling Conference ReHCarbo, Shanghai, China; Jeonju, Korea; Bangkok, Thailand, 23–26 October 2017. [Google Scholar]
- Wilhelm, F.; Wiethaler, J.; Karl, R. Power ultrasonic in closed injection pultrusion. In Proceedings of the ECCM18—18th European Conference on Composite Materials, Athen, Greece, 24–28 June 2018. [Google Scholar]
- Peuker, U.A.; Hoffmann, U.; Wietelmann, U.; Bandelin, S.; Jung, R. Sonochemistry. In Book Ullmann’s Encyclopedia of Industrial Chemistry; Wiley-VCH Verlag GmbH & Co. KGaA: Weinheim, Germany, 2012. [Google Scholar]
- Bogoeva-Gaceva, G.; Heraković, N.; Dimeski, D.; Stefov, V. Ultrasound assisted process for enhanced interlaminar shear strength of carbon fiber/epoxy resin composites. Maced. J. Chem. Chem. Eng. 2010, 29, 149–155. [Google Scholar] [CrossRef]
- Mason, T.J.; Lorimer, J.P. Applied Sonochemistry. In The Uses of Power Ultrasound in Chemistry and Processing; WILEY-VCH Verlag GmbH & Co. KGaA: Weinheim, Germany, 2002. [Google Scholar]
- Hayek-Boelingen, V.M. Wege zum Kontaminationstoleranten Kleben. Ph.D. Thesis, Universität Bundeswehr, München, Germany, 2004. [Google Scholar]
- Chen, D.; Sharma, S.K.; Mudhoo, A. Handbook on Applications of Ultrasound. In Book Sonochemistry for Sustainability; CRC Press Taylor & Francis Group: Boca Raton, FL, USA, 2012. [Google Scholar]
- Noltingk, B.E.; Neppiras, E.A. Cavitation produced by Ultrasonics. Proc. Phys. Soc. B 1950, 63, 674–685. [Google Scholar] [CrossRef]
- Newton, I. Opticks or a Treatise of the Reflections, Refractions, Inflections & Colours of Light; Dover Publ: New York, NY, USA, 1979. [Google Scholar]
- Ohl, S.W.; Klaseboer, E.; Khoo, B.C. Bubbles with shock waves and ultrasound: A review. Interface Focus 2015, 5, 1–15. [Google Scholar] [CrossRef] [PubMed]
- Suslick, K.S.; Hammerton, D.A.; Cline, R.E. The sonochemical hot spot. J. Am. Chem. Soc. 1986, 108, 5641–5642. [Google Scholar] [CrossRef]
- Santos, H.M.; Lodeiro, C.; Capelo-Martinez, J.-L. Ultrasound in Chemistry. In Analytical Applications. The Power of Ultrasound; WILEY-VCH Verlag GmbH & Co. KGaA: Weinheim, Germany, 2009. [Google Scholar]
- Huang, Y.D.; Liu, L.; Qiu, J.H.; Shao, L. Influence of ultrasonic treatment on the characteristics of epoxy resin and the interfacial property of its carbon fiber composites. Compos. Sci. Technol. 2002, 62, 2153–2159. [Google Scholar] [CrossRef]
- Liu, L.; Shao, L.; Huang, Y.; Jiang, B.; Zhang, Z. Effect of ultrasound on epoxy resin system and interface property. In Proceedings of the 13th International Conference on Composite Materials (ICCM13), Beijing, China, 25–29 June 2001. [Google Scholar]
- Qiao, J.; Li, Y.; Li, L. Ultrasound-assisted 3D printing of continuous fiber-reinforced thermoplastic (FRTP) composites. Addit. Manuf. 2019, 30, 100926. [Google Scholar] [CrossRef]
- Bogoeva-Gaceva, G.; Dimeski, D.; Heraković, N. Effect of sonication applied during production of carbon fiber/epoxy resin composites evaluated by differential scanning calorimetry and thermo-gravimetric analysis. Maced. J. Chem. Chem. Eng. 2011, 30, 189–195. [Google Scholar] [CrossRef]
- Tessier, N.J.; Kiernan, D.; Madenjian, A.; Moulder, G. Epoxy matrix pultrusions enhanced by ultrasonics. Mod.Plast. 1986, 63, 86–90. [Google Scholar]
- Kruckenberg, T.; Ye, L.; Paton, R. Static and vibration compaction and microstructure analysis on plain-woven textile fabrics. Composites Part A 2008, 39, 488–502. [Google Scholar] [CrossRef]
- Gutiérrez, J.; Ruiz, E.; Trochu, F. High-frequency vibrations on the compaction of dry fibrous reinforcements. Adv. Comp. Mat. 2013, 22, 13–27. [Google Scholar] [CrossRef]
- Gutiérrez, J.; Ruiz, E.; Trochu, F. Exploring the behavior of glass fiber reinforcements under vibration-assisted compaction. J. Tex. Inst. 2013, 104, 980–993. [Google Scholar] [CrossRef]
- Meier, R. Über das Fließverhalten von Epoxidharzsystemen und Vibrationsunterstützte Harzinfiltrationsprozesse. Ph.D. Thesis, Technische Universität München, München, Germany, 2017. [Google Scholar]
- Yamahira, S.; Hatanaka, S.-I.; Kuwabara, M.; Asai, S. Orientation of Fibers in Liquid by Ultrasonic Standing Waves. Jap. Jou. Ap. Phy. 2000, 39, 3683–3687. [Google Scholar] [CrossRef]
- Weigant, R. Analyse der Auswirkungen von Leistungsultraschall auf die Aufbauschung von Glas- und Kohlenstofffasern. Bachelor’s Thesis, Hochschule München, München, Germany, 2018. [Google Scholar]
- Bezerra, R.; Wilhelm, F.; Henning, F. Compressibility and permeability of fiber reinforcements for pultrusion. In Proceedings of the ECCM16–16th European Conference on Composite Materials, Seville, Spain, 22–26 June 2016. [Google Scholar]
- Karl, R. Untersuchung der Auswirkung von Ultraschall in der Pultrusion zur Verbesserung der Durchtränkung von Faserpaketen. Master‘s Thesis, Hochschule München, München, Germany, 2017. [Google Scholar]
- Christensen, S.; Stober, E.J. Vibration Assisted Processing of Viscous Thermoplastics. U.S. Patent 6592799, 15 July 2003. [Google Scholar]







| Manipulated Variables | Variable | Unit | Level 1 | Level 2 | Midpoint |
|---|---|---|---|---|---|
| Weight per roving | m | g | 250 | 500 | 375 |
| Amplitude | u | µm | 12 | 48 | 30 |
| Number of rovings | n | - | 2 | 6 | 3 |
| Section | Activity |
|---|---|
| Setup | Link rovings to weights Insert rovings into test chamber Close test rig Calibrate US |
| Start | Open ball valve of pressure pot Flush test chamber with silicone oil for 30 s at a pressure of 1 bar Start self-timer (5 images after 10 s) |
| u = 12 µm | 5 s no US 5 s with US 5 images at an amplitude of 12 µm; deactivate sonication |
| u = 48 µm | 5 s no US 5 s with US 5 images at an amplitude of 48 µm; deactivate sonication |
| End | Close ball valve of pressure pot |
| Dismantling | Open test chamber and clean |
© 2020 by the authors. Licensee MDPI, Basel, Switzerland. This article is an open access article distributed under the terms and conditions of the Creative Commons Attribution (CC BY) license (http://creativecommons.org/licenses/by/4.0/).
Share and Cite
Wilhelm, F.; Strauß, S.; Weigant, R.; Drechsler, K. Effect of Power Ultrasonic on the Expansion of Fiber Strands. J. Compos. Sci. 2020, 4, 50. https://doi.org/10.3390/jcs4020050
Wilhelm F, Strauß S, Weigant R, Drechsler K. Effect of Power Ultrasonic on the Expansion of Fiber Strands. Journal of Composites Science. 2020; 4(2):50. https://doi.org/10.3390/jcs4020050
Chicago/Turabian StyleWilhelm, Frederik, Sebastian Strauß, Raffael Weigant, and Klaus Drechsler. 2020. "Effect of Power Ultrasonic on the Expansion of Fiber Strands" Journal of Composites Science 4, no. 2: 50. https://doi.org/10.3390/jcs4020050
APA StyleWilhelm, F., Strauß, S., Weigant, R., & Drechsler, K. (2020). Effect of Power Ultrasonic on the Expansion of Fiber Strands. Journal of Composites Science, 4(2), 50. https://doi.org/10.3390/jcs4020050

