Impact of Recycled Rubber Mesh Size and Volume Fraction on Dynamic Mechanical and Fracture Characteristics of Polyester/Fiberglass Composites
Abstract
1. Introduction
2. Materials and Methods
2.1. Materials and Fabrication Process
2.2. Scanning Electron Microscopy (SEM) and Energy-Dispersive X-Ray Spectroscopy (EDX)
2.3. Free Vibration Test
2.4. Mechanical Properties
3. Results and Discussions
3.1. Physical Results
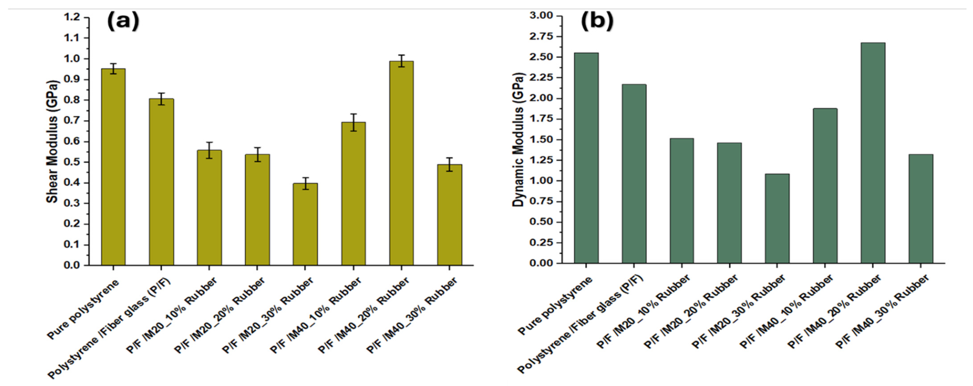
3.2. Mechanical Behavior Results
3.3. Fracture Analysis
- (i)
- a higher surface-area-to-volume ratio enhances interfacial interactions with the matrix,
- (ii)
- they create numerous discrete energy-dissipating sites per unit volume, and
- (iii)
- their size prevents them from acting as large, singular stress concentrators, unlike coarser particles that may induce premature failure.
3.4. Dynamic and Damping Behavior
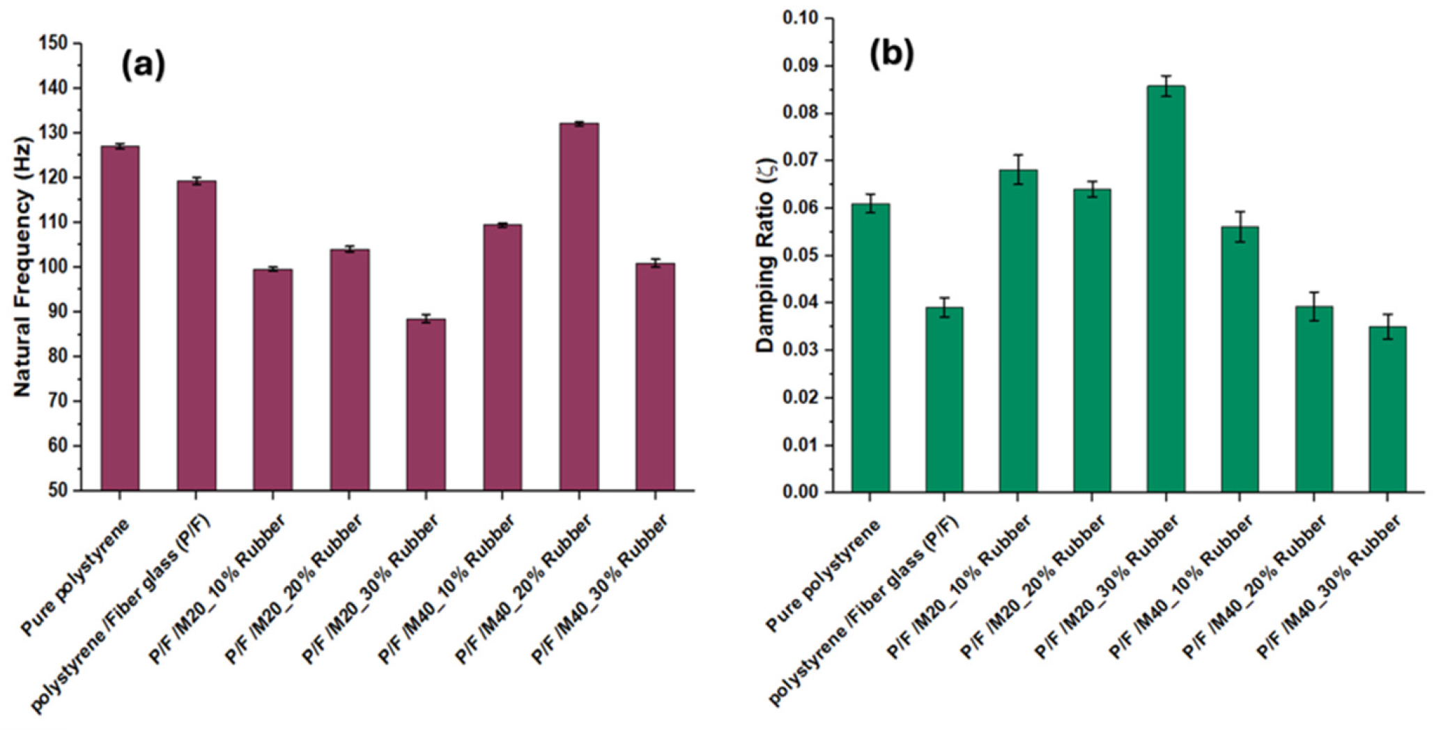
3.4.1. Effect of Rubber Additive on the Natural Frequency and Damping Behavior
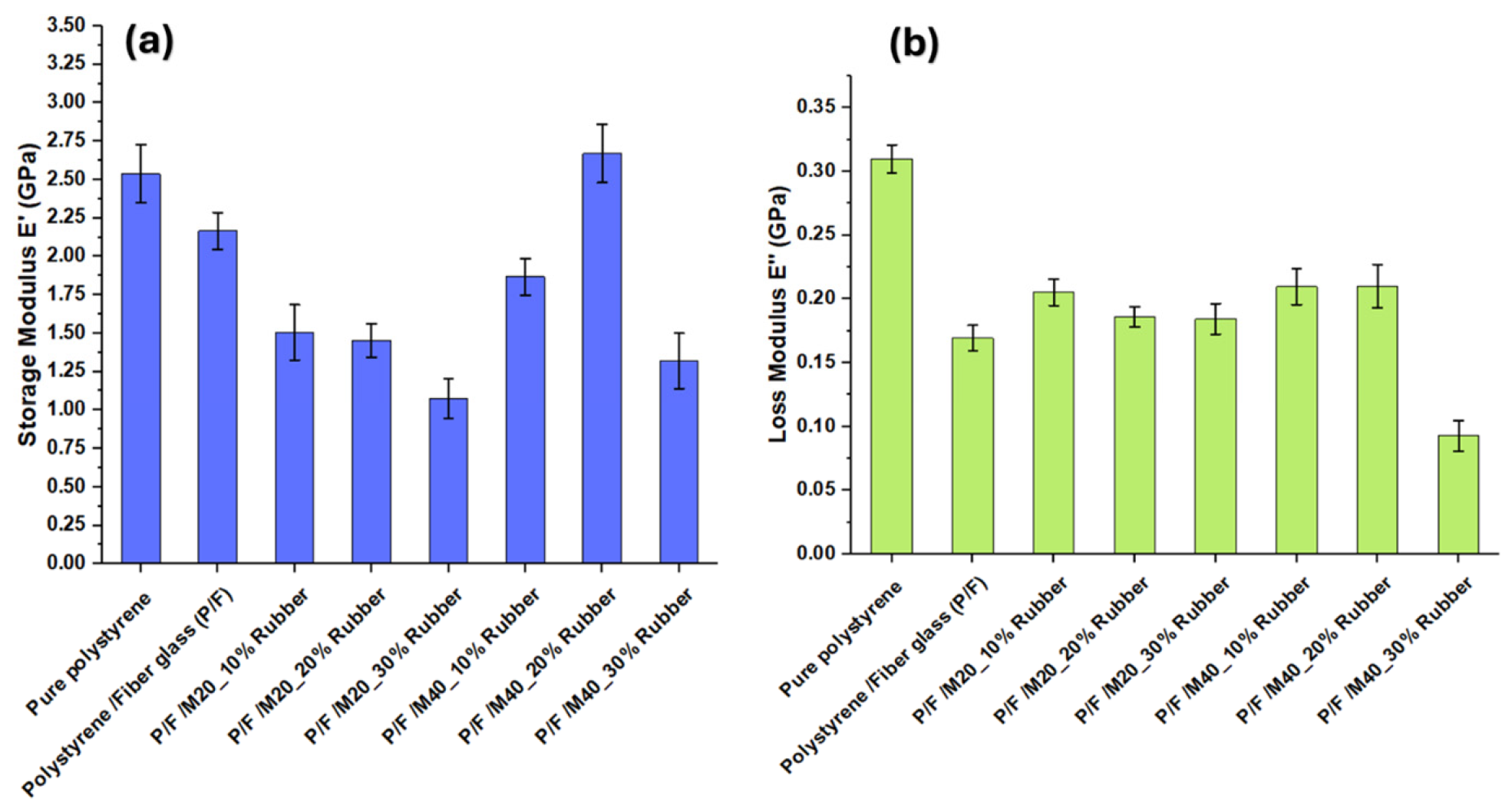
3.4.2. Relationship Between Tensile Strength and Dynamic Complex Moduli (Storage & Loss Moduli)
4. Conclusions
- •
- P/F/M40_20% is ideal for structural components requiring high rigidity with moderate vibration control, such as automotive body panels, drone frames, or machine housings.
- •
- P/F/M20_30%, with its superior energy absorption and lightweight nature, is better suited for impact-resistant and damping-critical applications, including railway sleepers, sports equipment, or building elements in seismic zones.
Author Contributions
Funding
Data Availability Statement
Acknowledgments
Conflicts of Interest
References
- Shakir Abbood, I.; Odaa, S.A.; Hasan, K.F.; Jasim, M.A. Properties evaluation of fiber reinforced polymers and their constituent materials used in structures—A review. Mater. Today Proc. 2021, 43, 1003–1008. [Google Scholar] [CrossRef]
- Kabakci, G.C.; Aslan, O.; Bayraktar, E. Toughening Mechanism Analysis of Recycled Rubber-Based Composites Reinforced with Glass Bubbles, Glass Fibers and Alumina Fibers. Polymers 2021, 13, 4215. [Google Scholar] [CrossRef] [PubMed]
- Mohammed, T.J.; Breesem, K.M. Enhancement of the Shear-flexural Strength of the Rubberized Concrete Prism Beam by External Reinforcement. Int. J. Eng. 2022, 35, 1017–1023. [Google Scholar] [CrossRef]
- Guruswamy, K.P. A Review on Surface Modification of Textile Substrate Using Plasma to Improve Interfacial Bonding with Rubber Matrix. Chem. Sci. Rev. Lett. 2019, 8, 179–184. [Google Scholar]
- Liao, Z.-L.; Chang, F.-C. Rubber-Toughened polymer blends of polycarbonate (PC) and poly (ethylene terephthalate (PET). J. Polym. Res. 1994, 1, 197–203. [Google Scholar] [CrossRef]
- Żuk, D.; Abramczyk, N.; Charchalis, A. Analysis of the Impact of Rubber Recyclate Addition to the Matrix on the Strength Properties of Epoxy–Glass Composites. Polymers 2023, 15, 3374. [Google Scholar] [CrossRef]
- Dreerman, E.; Narkis, M.; Siegmann, A.; Joseph, R.; Dodiuk, H.; DiBenedetto, A.T. Mechanical behavior and structure of rubber modified vinyl ester resins. J. Appl. Polym. Sci. 1999, 72, 647–657. [Google Scholar] [CrossRef]
- Wang, J.; Zhang, X.; Jiang, L.; Qiao, J. Advances in toughened polymer materials by structured rubber particles. Prog. Polym. Sci. 2019, 98, 101160. [Google Scholar] [CrossRef]
- Turkben, M.; Kocaman, S.; Özmeral, N.; Soydal, U.; Cerit, A.; Ahmetli, G. Sustainable production of recycled rubber waste composites with various epoxy systems: A comparative study on mechanical and thermal properties. Ind. Crops Prod. 2023, 195, 116490. [Google Scholar] [CrossRef]
- Madueke, C.I.; Mbah, O.M.; Umunakwe, R. A review on the limitations of natural fibres and natural fibre composites with emphasis on tensile strength using coir as a case study. Polym. Bull. 2023, 80, 3489–3506. [Google Scholar] [CrossRef]
- Elfaleh, I.; Abbassi, F.; Habibi, M.; Ahmad, F.; Guedri, M.; Nasri, M.; Garnier, C. A comprehensive review of natural fibers and their composites: An eco-friendly alternative to conventional materials. Results Eng. 2023, 19, 101271. [Google Scholar] [CrossRef]
- JA, M.H.; Majid, M.A.; Afendi, M.; Marzuki, H.F.A.; Fahmi, I.; Gibson, A.G. Mechanical properties of Napier grass fibre/polyester composites. Compos. Struct. 2016, 136, 1–10. [Google Scholar] [CrossRef]
- Herrera-Franco, P.J.; Valadez-González, A. Mechanical properties of continuous natural fibre-reinforced polymer composites. Compos. Part A Appl. Sci. Manuf. 2004, 35, 339–345. [Google Scholar] [CrossRef]
- Adusumali, R.-B.; Reifferscheid, M.; Weber, H.; Roeder, T.; Sixta, H.; Gindl, W. Mechanical Properties of Regenerated Cellulose Fibres for Composites. Macromol. Symp. 2006, 244, 119–125. [Google Scholar] [CrossRef]
- Basha, M.; Moustafa, E.B.; Melaibari, A. The Dynamic and Flexural Behavior of Coated GFRP Rebars after Exposure to Elevated Temperatures. Coatings 2022, 12, 902. [Google Scholar] [CrossRef]
- Essam, B.; Moustafa, K.H.A.; Hossameldin, H. Effect of Crack Orientation on Laminated CFRP Composites Using Vibration and Numerical Analysis. Mater. Eval. 2021, 79, 1081–1093. [Google Scholar]
- Moustafa, E.B.; Almitani, K.H. Detecting Damage in Carbon Fibre Composites using Numerical Analysis and Vibration Measurements. Lat. Am. J. Solids Struct. 2021, 18, e362. [Google Scholar] [CrossRef]
- Weibo, H.; Fengchang, Z. Studies on the dynamic mechanical and vibration damping properties of polyether urethane and epoxy composites. J. Appl. Polym. Sci. 1993, 50, 277–283. [Google Scholar] [CrossRef]
- Duc, F.; Bourban, P.-E.; Månson, J.-A.E. Dynamic mechanical properties of epoxy/flax fibre composites. J. Reinf. Plast. Compos. 2014, 33, 1625–1633. [Google Scholar] [CrossRef]
- Duc, F.; Bourban, P.E.; Plummer, C.J.G.; Månson, J.A.E. Damping of thermoset and thermoplastic flax fibre composites. Compos. Part A Appl. Sci. Manuf. 2014, 64, 115–123. [Google Scholar] [CrossRef]
- Karthik, K.; Rohith Renish, R.; Irfan Ahmed, I.; Niruban Projoth, T. Free Vibration Test for Damping Characteristics of Hybrid Polyester Matrix Composite with Carbon Particles. Nano Hybrids Compos. 2016, 11, 1–6. [Google Scholar] [CrossRef]
- Dai, Q.; Liu, Y.; Qin, Z.; Chu, F. Damping and Frequency Response Characteristics of Functionally Graded Fiber-Reinforced Composite Cylindrical Shells. Int. J. Struct. Stab. Dyn. 2022, 22, 2250107. [Google Scholar] [CrossRef]
- Kargarnovin, M.H.; Hashemi, M. Free vibration analysis of multilayered composite cylinder consisting fibers with variable volume fraction. Compos. Struct. 2012, 94, 931–944. [Google Scholar] [CrossRef]
- Nagasankar, P.; Velmurugan, R. The effect of the strand diameter on the damping characteristics of fiber reinforced polymer matrix composites: Theoretical and experimental study. Int. J. Mech. Sci. 2014, 89, 279–288. [Google Scholar] [CrossRef]
- Bansod, S.; Joshi, M.M. Damping characteristics of glass fiber reinforced composite with viscoelastic layers. Asian J. Converg. Technol. 2017, 3, 1–6. [Google Scholar]
- Camacho-Iglesias, M.; Germán, L.; Iturmendi, A.; Seoane-Rivero, R. Circular Approaches for Thermoset Composites. J. Compos. Sci. 2025, 9, 682. [Google Scholar] [CrossRef]
- Bulut, M.; Alsaadi, M.; Erkliğ, A.; Alrawi, H. The effects of S-glass fiber hybridization on vibration-damping behavior of intraply woven carbon/aramid hybrid composites for different lay-up configurations. Proc. Inst. Mech. Eng. Part C J. Mech. Eng. Sci. 2018, 233, 3220–3231. [Google Scholar] [CrossRef]
- ASTM D3039/D 3039M; Standard Test Method for Tensile Properties of Polymer Matrix Composite Materials. ASTM International: West Conshohocken, PA, USA, 2017.
- Ahmed, H.M.; Ahmed, H.A.M.; Hefni, M.; Moustafa, E.B. Effect of Grain Refinement on the Dynamic, Mechanical Properties, and Corrosion Behaviour of Al-Mg Alloy. Metals 2021, 11, 1825. [Google Scholar] [CrossRef]
- Abushanab, W.S.; Moustafa, E.B.; Youness, R.A. Evaluation of the dynamic behavior, elastic properties, and in vitro bioactivity of some borophosphosilicate glasses for orthopedic applications. J. Non-Cryst. Solids 2022, 586, 121539. [Google Scholar] [CrossRef]
- Mousa, G.; Basha, M.; Moustafa, E.B. Evaluation of the mechanical and dynamic properties of scrimber wood produced from date palm fronds. J. Mech. Behav. Mater. 2024, 33, 20220305. [Google Scholar] [CrossRef]
- Moustafa, E.B. Dynamic Characteristics Study for Surface Composite of AMMNCs Matrix Fabricated by Friction Stir Process. Materials 2018, 11, 1240. [Google Scholar] [CrossRef] [PubMed]
- Kim, B.-J.; Oh, C.-B.; Lee, J.E.; Lee, M.Y. Effects of the Simultaneous Strengthening of the Glass Fiber Surface and Polyamide-6 Matrix by Plasma Treatment and Nanoclay Addition on the Mechanical Properties of Multiscale Hybrid Composites. J. Compos. Sci. 2023, 7, 176. [Google Scholar] [CrossRef]
- Abu-Jdayil, B.; Mourad, A.-H.I.; Hussain, A. Investigation on the mechanical behavior of polyester-scrap tire composites. Constr. Build. Mater. 2016, 127, 896–903. [Google Scholar] [CrossRef]
- Fu, S.-Y.; Feng, X.-Q.; Lauke, B.; Mai, Y.-W. Effects of particle size, particle/matrix interface adhesion and particle loading on mechanical properties of particulate–polymer composites. Compos. Part B Eng. 2008, 39, 933–961. [Google Scholar] [CrossRef]
- Almutairi, S.S.; Mosleh, A.O.; Mohamed, S.S.; Mahmoud, T.S.; Moustafa, E.B. Max-phase Ti3SiC2 and diverse nanoparticle reinforcements for enhancement of the mechanical, dynamic, and microstructural properties of AA5083 aluminum alloy via FSP. Nanotechnol. Rev. 2024, 13, 20240130. [Google Scholar] [CrossRef]















Disclaimer/Publisher’s Note: The statements, opinions and data contained in all publications are solely those of the individual author(s) and contributor(s) and not of MDPI and/or the editor(s). MDPI and/or the editor(s) disclaim responsibility for any injury to people or property resulting from any ideas, methods, instructions or products referred to in the content. |
© 2026 by the authors. Licensee MDPI, Basel, Switzerland. This article is an open access article distributed under the terms and conditions of the Creative Commons Attribution (CC BY) license.
Share and Cite
Moustafa, E.B.; Mousa, G.; Abdel-Wanees, A.S.; Mahmoud, T.S.; Mosleh, A.O. Impact of Recycled Rubber Mesh Size and Volume Fraction on Dynamic Mechanical and Fracture Characteristics of Polyester/Fiberglass Composites. J. Compos. Sci. 2026, 10, 53. https://doi.org/10.3390/jcs10010053
Moustafa EB, Mousa G, Abdel-Wanees AS, Mahmoud TS, Mosleh AO. Impact of Recycled Rubber Mesh Size and Volume Fraction on Dynamic Mechanical and Fracture Characteristics of Polyester/Fiberglass Composites. Journal of Composites Science. 2026; 10(1):53. https://doi.org/10.3390/jcs10010053
Chicago/Turabian StyleMoustafa, Essam B., Ghassan Mousa, Ahmed S. Abdel-Wanees, Tamer S. Mahmoud, and Ahmed O. Mosleh. 2026. "Impact of Recycled Rubber Mesh Size and Volume Fraction on Dynamic Mechanical and Fracture Characteristics of Polyester/Fiberglass Composites" Journal of Composites Science 10, no. 1: 53. https://doi.org/10.3390/jcs10010053
APA StyleMoustafa, E. B., Mousa, G., Abdel-Wanees, A. S., Mahmoud, T. S., & Mosleh, A. O. (2026). Impact of Recycled Rubber Mesh Size and Volume Fraction on Dynamic Mechanical and Fracture Characteristics of Polyester/Fiberglass Composites. Journal of Composites Science, 10(1), 53. https://doi.org/10.3390/jcs10010053

