Compressive Strength Impact on Cut Depth of Granite During Abrasive Water Jet Machining
Abstract
1. Introduction
Literature Review
2. Materials and Methods
2.1. Materials Description
2.2. Experimental Setup
3. Machining Factors of the Experiment
4. Response Surface Methodology
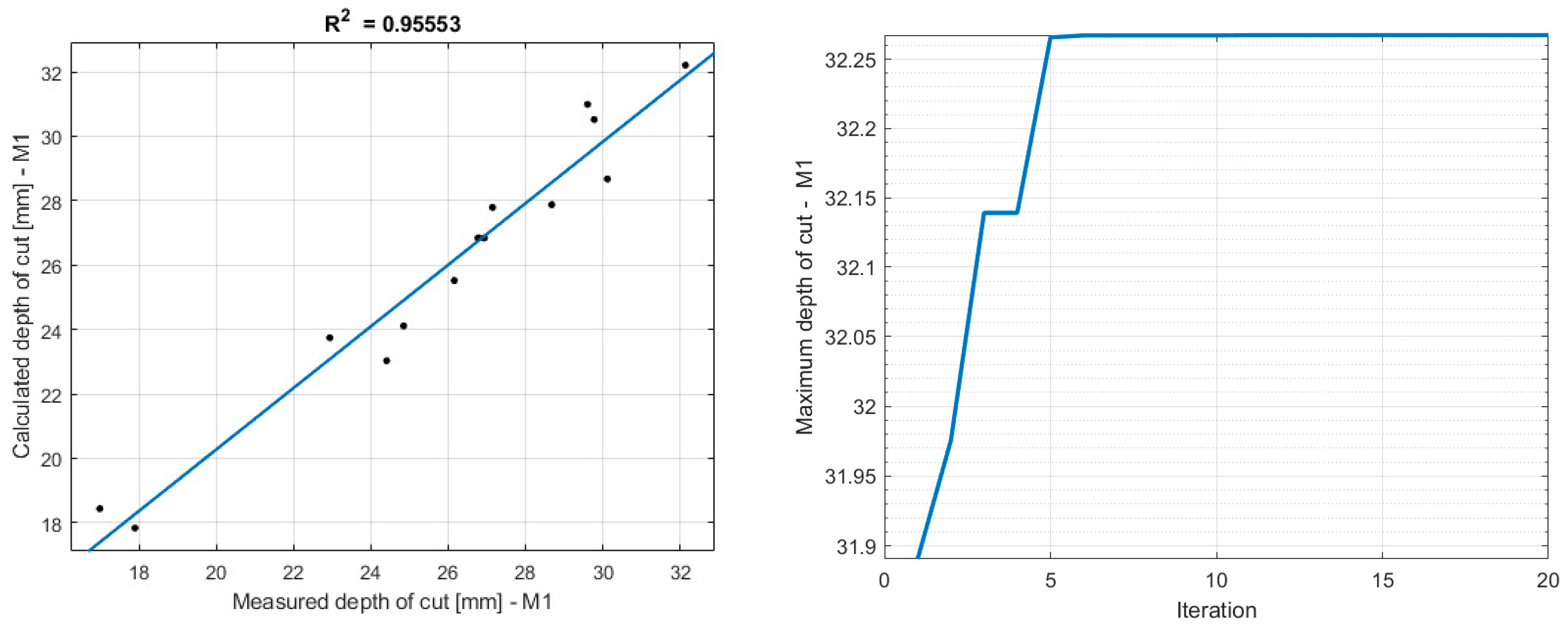
5. Results and Discussion
6. Optimization
7. Optimization Results
8. Practical Implication
9. Conclusion
- The highest depth of penetration relating to process parameters is achieved with granite with smaller grains and higher compressive strength.
- The PSO model identified the best set of optimal values for the three variables to achieve maximum depths for M1, M2, and M3: M1 = 32.27 mm when T = 100 mm/min, A = 180.59 g/min, and P = 300 MPa; M2 = 29.55 mm when T = 128.74 mm/min, A = 250 g/min, and P = 300 MPa; and M3 = 26.957 mm when T = 100 mm/min, A = 220.015 g/min, and P = 200 MPa.
- For all three materials, increased pressure increases the cut depth.
- High pressure helps to increase the traverse speed and reduce the cutting depth, which was achieved at higher traverse speeds for all types of granite. Accordingly, the cutting depth is greatly affected by the feed rate.
- This study had some limitations. We focused only on the impact of compressive strength on the cut depth of granite and a limited number of factors. Further research on various other key parameters is necessary; for example, additional research is needed to address the effects of process parameters on surface texture and kerf angles. Possible investigations might determine the effects of new abrasive materials on the cut depth of granite.
Author Contributions
Funding
Data Availability Statement
Acknowledgments
Conflicts of Interest
Abbreviations
| AWJM | Abrasive Water Jet Machining |
| P | Pressure |
| A | Abrasive Mass Flow Rate |
| T | Traverse Speed |
| PSO | Particle Swarm Optimization |
References
- Hashish, M. Abrasive Waterjet Machining. Materials 2024, 17, 3273. [Google Scholar] [CrossRef]
- Natarajan, Y.; Murugesan, P.K.; Mohan, M.; Khan, S.A.L.A. Abrasive Water Jet Machining process: A state of art of review. J. Manuf. Process. 2019, 49, 271–322. [Google Scholar] [CrossRef]
- Alberdi, A.; Rivero, A.; De Lacalle, L.N.; Etxeberria, I.; Suárez, A. Effect of process parameter on the kerf geometry in abrasive water jet milling. Int. J. Adv. Manuf. Technol. 2010, 51, 467–480. [Google Scholar] [CrossRef]
- Wei, J.; Du, Y.; Liu, Y.; Zhao, L.; Wang, M.; Zhang, D.; Si, L.; Zhang, H. Experimental study on rock-breaking characteristics of advanced premixed abrasive water jet. J. Chin. Inst. Eng. 2024, 47, 508–519. [Google Scholar] [CrossRef]
- Shangguan, J.; Ge, Z.; Zhou, Z.; Zhang, X.; Liu, L.; Li, N.Z. Experimental study on dynamic deformation and breaking mechanism of high-temperature hard rock cutting by abrasive water jet. Int. J. Rock Mech. Min. Sci. 2024, 180, 105797. [Google Scholar] [CrossRef]
- Ling, Y.; Wang, X.; Tang, J.; Zhang, Y. Experimental investigation on rock fragmentation characteristics of pressurized pulsed water jet. Sci. Rep. 2025, 15, 232. [Google Scholar] [CrossRef]
- Li, H.; Huang, Z.; Li, J.; Cheng, K.; Hu, J.; Li, W. Effect of nozzle structure on rock drilling performances of abrasive waterjet. In Proceedings of the 50th U.S. Rock Mechanics/Geomechanics Symposium, Atlanta, GA, USA, 25 June 2023. [Google Scholar] [CrossRef]
- Arab, P.B.; Celestino, T.B. Influence of traverse velocity and pump pressure on the efficiency of abrasive waterjet for rock cutting. Soils Rocks 2017, 40, 255–262. [Google Scholar] [CrossRef]
- Oh, T.-M.; Joo, G.W.; Cho, G.-C. Effect of Abrasive Feed Rate on Rock Cutting Performance of Abrasive Waterjet. Rock Mech. Rock Eng. 2019, 52, 3431–3442. [Google Scholar] [CrossRef]
- Lu, Y.; Zhang, S.; He, F.; Wang, L.; Wang, A.; Wang, M. Experimental and numerical simulation study on the relationship between cutting depth of high-pressure water jet with high traverse speed and disc cutter penetration of TBM in hard rock tunnel. Tunn. Undergr. Space Technol. 2023, 142, 105387. [Google Scholar] [CrossRef]
- Karakurt, I.; Aydin, G.; Aydin, K. A Machinability Study of Granite Using Abrasive Waterjet Cutting Technology. Gazi Univ. J. Sci. 2011, 24, 143–151. Available online: https://dergipark.org.tr/en/download/article-file/83129 (accessed on 2 April 2025).
- Huang, C.Z.; Hou, R.G.; Wang, J.; Feng, Y.X. The effect of high pressure abrasive water jet cutting parameters on cutting performance of granite. Key Eng. Mater. 2006, 304–305, 560–564. [Google Scholar] [CrossRef]
- Karakurt, I.; Aydin, G.; Aydiner, K. An investigation on the kerf width in abrasive waterjet cutting of granitic rocks. Arab. J. Geosci. 2013, 7, 2923–2932. [Google Scholar] [CrossRef]
- Karakurt, I.; Aydin, G.; Aydiner, K. Analysis of the kerf angle of the granite machined by abrasive waterjet (AWJ). Indian J. Eng. Mater. Sci. 2011, 18, 435–442. [Google Scholar]
- Hlaváč, L.M.; Hlaváčová, I.M.; Geryk, V. Taper of kerfs made in rocks by abrasive water jet (AWJ). Int. J. Adv. Manuf. Technol. 2016, 88, 443–449. [Google Scholar] [CrossRef]
- Karakurt, I.; Aydin, G.; Aydiner, K. An experimental study on the depth of cut of granite in abrasive waterjet cutting. Mater. Manuf. Process. 2011, 27, 538–544. [Google Scholar] [CrossRef]
- Hwang, H.; Cha, Y.; Oh, T.; Cho, G. Improvement of granite and concrete cutting efficiency using mixed-abrasives. Int. J. Rock Mech. Min. Sci. 2024, 185, 105970. [Google Scholar] [CrossRef]
- Perec, A.; Kawecka, E.; Podhajecki, J.; Radomska-Zalas, A.; Krakowiak, M.; Nag, A. Comparison of Chosen Metaheuristic Algorithms for the Optimization of the Abrasive Water Jet Treatment Process. MM Sci. J. 2024, 2024. [Google Scholar] [CrossRef]
- Pan, Y.; Yuan, H.; Pei, K.; Zhai, S.; Geng, Z. Experimental study on optimization of abrasive water jet process parameters. Eng. Res. Express 2024, 6, 045112. [Google Scholar] [CrossRef]
- Gonçalves, M.C.; Margarido, F. Materials for Construction and Civil Engineering; Springer: Berlin/Heidelberg, Germany, 2015. [Google Scholar] [CrossRef]
- Perec, A. Experimental research into alternative abrasive material for the abrasive water-jet cutting of titanium. Int. J. Adv. Manuf. Technol. 2018, 97, 1529–1540. [Google Scholar] [CrossRef]
- Kampa, Ł.; Chowaniec, A.; Królicka, A.; Sadowski, Ł. Adhesive properties of an epoxy resin bonding agent modified with waste granite powder. J. Coat. Technol. Res. 2022, 19, 1303–1316. [Google Scholar] [CrossRef]
- Alonso-Villar, E.; Rivas, T.; Pozo-Antonio, J. Adhesives applied to granite cultural heritage: Effectiveness, harmful effects and reversibility. Constr. Build. Mater. 2019, 223, 951–964. [Google Scholar] [CrossRef]
- Hastie, T.; Tibshirani, R.; Friedman, J. The Elements of Statistical Learning; Springer Series in Statistics; Springer: Berlin/Heidelberg, Germany, 2009. [Google Scholar] [CrossRef]
- Niranjan, C.A.; Srinivas, S.; Ramachandra, M. Effect of process parameters on depth of penetration and topography of AZ91 magnesium alloy in abrasive water jet cutting. J. Magnes. Alloys 2018, 6, 366–374. [Google Scholar] [CrossRef]
- Alberdi, A.; Rivero, A.; López de Lacalle, L.N. Experimental Study of the Slot Overlapping and Tool Path Variation Effect in Abrasive Waterjet Milling. ASME J. Manuf. Sci. Eng. 2011, 133, 034502. [Google Scholar] [CrossRef]
- Zeng, J.; Kim, T.J.; Wallace, R.J. Precision Machining: Technology and Machine Development and Improvement. In Proceedings of the 1992 Winter Annual Meeting of ASME, Anaheim, CA, USA, 8–13 November 1992; Volume 58, pp. 169–179. [Google Scholar]
- Lemma, E.; Deam, R.; Chen, L. Maximum depth of cut and mechanics of erosion in AWJ oscillation cutting of ductile materials. J. Mater. Process. Technol. 2004, 160, 188–197. [Google Scholar] [CrossRef]
- Wang, J.; Guo, D. The cutting performance in multipass abrasive waterjet machining of industrial ceramics. J. Mater. Process. Technol. 2003, 133, 371–377. [Google Scholar] [CrossRef]
- Wang, Z.; Wang, T.; Wu, S.; Hao, Y. Investigation into the effects of grain size on strength and failure behaviors of granites using a breakable polygonal grain–based model. Bull. Eng. Geol. Environ. 2021, 80, 6989–7007. [Google Scholar] [CrossRef]
- Cheng, T.; Wang, L.; Xiao, Y.; He, M.; Wang, T.; Peng, M.; Li, H. Correlational fractal characteristics and damage progression of granite with different grain sizes based on acoustic emission monitoring. Eng. Geol. 2023, 327, 107358. [Google Scholar] [CrossRef]
- Tian, W.; Yang, S.; Huang, Y.; Hu, B. Mechanical Behavior of Granite with Different Grain Sizes after High-Temperature Treatment by Particle Flow Simulation. Rock Mech. Rock Eng. 2019, 53, 1791–1807. [Google Scholar] [CrossRef]
- Eberhardt, E.; Stimpson, B.; Stead, D. Effects of grain size on the initiation and propagation thresholds of stress-induced brittle fractures. Rock Mech. Rock Eng. 1999, 32, 81–99. [Google Scholar] [CrossRef]
- Aydin, G.; Karakurt, I.; Aydiner, K. Prediction of the cut depth of granitic rocks machined by abrasive waterjet (AWJ). Rock Mech. Rock Eng. 2012, 46, 1223–1235. [Google Scholar] [CrossRef]
- Aydin, G.; Karakurt, I.; Aydiner, K. An investigation on surface roughness of granite machined by abrasive waterjet. Bull. Mater. Sci. 2011, 34, 985–992. [Google Scholar] [CrossRef]
- Hashish, M. Optimization factors in Abrasive-Waterjet machining. J. Eng. Ind. 1991, 113, 29–37. [Google Scholar] [CrossRef]
- Çaydaş, U.; Hasçalık, A. A study on surface roughness in abrasive waterjet machining process using artificial neural networks and regression analysis method. J. Mater. Process. Technol. 2007, 202, 574–582. [Google Scholar] [CrossRef]
- Kumar, D.; Gururaja, S. Abrasive waterjet machining of Ti/CFRP/Ti laminate and multi-objective optimization of the process parameters using response surface methodology. J. Compos. Mater. 2019, 54, 1741–1759. [Google Scholar] [CrossRef]
- Murugabalaji, V.; Kanthababu, M.; Jegaraj, J.; Saikumar, S. Multi-Objective optimization of abrasive waterjet machining process parameters using particle swarm technique. Int. J. Mater. Form. Mach. Process. 2014, 1, 62–79. [Google Scholar] [CrossRef]
- Qasem, I.; Hussien, A.A.; Alrawashdeh, K.A.; Kataraki, P.S.; Janvekar, A.A. Performance analysis of cutting parameters on 304 stainless steels using abrasive water jet technique. Ann. Chim. Sci. Matér. 2023, 47, 9–16. [Google Scholar] [CrossRef]
- Al Zammar Group. n.d. Al Zammar for Marble & Granite [Facebook Page]. Facebook. Available online: https://www.facebook.com/Zammarofficial/ (accessed on 20 July 2025).










| Symbol | Material Type | Water Absorption | Compressive Strength | Density | Flexural Strength |
|---|---|---|---|---|---|
| M1 | Black Galaxy Granite | 0.08–0.12 by weight% | 200.0–203.3 MPa | 2830 kg/m3 | 19.2–20.2 MPa |
| M2 | G602 Granite | 0.37 by weight% | 169.2 MPa | 2620 kg/m3 | 15.5 MPa |
| M3 | Cats Eye Granite | 0.15–97 by weight% | 100.0–117.0 MPa | 2650 kg/m3 | 11.0–15.0 MPa |
| Specification | Details |
|---|---|
| Place of Origin | Jiangsu, China (Mainland) |
| Material | Almandine garnet |
| Color | Red |
| Bulk Density | 1.96–2.15 g/cm3 |
| Brand Name | Jin Hong |
| Hardness | 7.5–8.0 Mohs Scale |
| Abrasive Grain | 80 MESH |
| Factor Symbol | Variables | Levels | ||
|---|---|---|---|---|
| Level 1 | Level 1 | Level 3 | ||
| P | Pressure [MPa] | 200 | 250 | 300 |
| A | Abrasive mass flow rate [g/min] | 150 | 200 | 250 |
| T | Traverse speed [mm/min] | 100 | 140 | 180 |
| Process Variables | Response | |||||
|---|---|---|---|---|---|---|
| Run | Pressure [MPa] | Abrasive Mass Flow Rate [g/min] | Traverse Speed [mm/min] | Cut Depth | ||
| [mm] | ||||||
| M1 | M2 | M3 | ||||
| 1 | 200 | 150 | 140 | 24.41 | 23.66 | 19.81 |
| 2 | 300 | 150 | 140 | 28.68 | 27.32 | 22.47 |
| 3 | 200 | 250 | 140 | 22.94 | 21.88 | 21.46 |
| 4 | 300 | 250 | 140 | 29.61 | 28.33 | 23.77 |
| 5 | 200 | 200 | 100 | 27.15 | 26.76 | 25.9 |
| 6 | 300 | 200 | 100 | 32.14 | 28.86 | 26.46 |
| 7 | 200 | 200 | 180 | 17.9 | 17.17 | 17.01 |
| 8 | 300 | 200 | 180 | 26.16 | 25.88 | 24.02 |
| 9 | 250 | 150 | 100 | 29.78 | 27.31 | 25.88 |
| 10 | 250 | 250 | 100 | 30.12 | 28.44 | 26.56 |
| 11 | 250 | 150 | 180 | 16.99 | 16.66 | 16.36 |
| 12 | 250 | 250 | 180 | 24.85 | 23.13 | 19.42 |
| 13 | 250 | 200 | 140 | 26.94 | 25.01 | 21.46 |
| 14 | 250 | 200 | 140 | 26.81 | 25 | 21.32 |
| 15 | 250 | 200 | 140 | 26.77 | 25.89 | 21.44 |
| Source | DF | Adj. SS | Adj. MS | F | p-Value | ||
|---|---|---|---|---|---|---|---|
| Model | 9 | 241.325 | 26.814 | 11.94 | 0.007 | ||
| Linear | 3 | 219.007 | 73.002 | 32.50 | 0.001 | ||
| Pressure | 1 | 73.145 | 73.145 | 32.56 | 0.002 | ||
| Abrasive mass flow rate | 1 | 7.334 | 7.334 | 3.26 | 0.131 | ||
| Traverse speed | 1 | 138.528 | 138.528 | 61.66 | 0.001 | ||
| Square | 3 | 4.068 | 1.356 | 0.60 | 0.640 | ||
| Pressure [MPa] × Pressure | 1 | 0.001 | 0.001 | 0.00 | 0.987 | ||
| Abrasive mass flow rate × Abrasive mass flow rate | 1 | 0.640 | 0.640 | 0.28 | 0.616 | ||
| Traverse speed × Traverse speed | 1 | 3.610 | 3.610 | 1.61 | 0.261 | ||
| Two-Way Interaction | 3 | 18.251 | 6.084 | 2.71 | 0.155 | ||
| Pressure × Abrasive mass flow rate | 1 | 1.440 | 1.440 | 0.64 | 0.460 | ||
| Pressure × Traverse speed | 1 | 2.673 | 2.673 | 1.19 | 0.325 | ||
| Abrasive mass flow rate × Traverse speed | 1 | 14.138 | 14.138 | 6.29 | 0.054 | ||
| Error | 5 | 11.232 | 2.246 | ||||
| Total | 14 | 252.558 | |||||
| S = 1.49882 | R2 = 95.55% | R2 (adj) = 87.55% | |||||
| Source | DF | Adj. SS | Adj. MS | F | p-Value | ||
|---|---|---|---|---|---|---|---|
| Model | 9 | 187.406 | 20.823 | 9.66 | 0.011 | ||
| Linear | 3 | 162.282 | 54.094 | 25.10 | 0.002 | ||
| Pressure | 1 | 54.706 | 54.706 | 25.38 | 0.004 | ||
| Abrasive mass flow rate | 1 | 5.831 | 5.831 | 2.71 | 0.161 | ||
| Traverse speed | 1 | 101.745 | 101.745 | 47.20 | 0.001 | ||
| Square | 3 | 5.126 | 1.709 | 0.79 | 0.548 | ||
| Pressure [MPa] × Pressure | 1 | 0.562 | 0.562 | 0.26 | 0.631 | ||
| Abrasive mass flow rate × Abrasive mass flow rate | 1 | 0.569 | 0.569 | 0.26 | 0.629 | ||
| Traverse speed × Traverse speed | 1 | 3.860 | 3.860 | 1.79 | 0.238 | ||
| Two-Way Interaction | 3 | 19.998 | 6.666 | 3.09 | 0.128 | ||
| Pressure × Abrasive mass flow rate | 1 | 1.946 | 1.946 | 0.90 | 0.386 | ||
| Pressure × Traverse speed | 1 | 10.923 | 10.923 | 5.07 | 0.074 | ||
| Abrasive mass flow rate × Traverse speed | 1 | 7.129 | 7.129 | 3.31 | 0.129 | ||
| Error | 5 | 10.255 | 2.155 | ||||
| Total | 14 | 198.184 | |||||
| S = 1.46813 | R2 = 94.56% | R2 (adj) = 84.77% | |||||
| Source | DF | Adj. SS | Adj. MS | F | p-Value | ||
|---|---|---|---|---|---|---|---|
| Model | 9 | 142.676 | 15.8529 | 17.67 | 0.003 | ||
| Linear | 3 | 123.181 | 41.0603 | 45.77 | 0.000 | ||
| Pressure | 1 | 19.656 | 19.6564 | 21.91 | 0.005 | ||
| Abrasive mass flow rate | 1 | 5.595 | 5.5945 | 6.24 | 0.055 | ||
| Traverse speed] | 1 | 97.930 | 97.9300 | 109.16 | 0.000 | ||
| Square | 3 | 7.648 | 2.5492 | 2.84 | 0.145 | ||
| Pressure [MPa] × Pressure | 1 | 2.870 | 2.8702 | 3.20 | 0.134 | ||
| Abrasive mass flow rate × Abrasive mass flow rate | 1 | 0.623 | 0.6232 | 0.69 | 0.443 | ||
| Traverse speed × Traverse speed | 1 | 4.142 | 4.1422 | 4.62 | 0.084 | ||
| Two-Way Interaction | 3 | 11.847 | 3.9491 | 4.40 | 0.072 | ||
| Pressure × Abrasive mass flow rate | 1 | 0.031 | 0.0306 | 0.03 | 0.861 | ||
| Pressure × Traverse speed | 1 | 10.401 | 10.4006 | 11.59 | 0.019 | ||
| Abrasive mass flow rate × Traverse speed | 1 | 1.416 | 1.4161 | 1.58 | 0.264 | ||
| Error | 5 | 4.486 | 0.8971 | ||||
| Total | 14 | 147.161 | |||||
| S = 0.947163 | R2 = 96.95% | R2 (adj) = 91.47% | |||||
| Coefficient | M1 | M2 | M3 |
|---|---|---|---|
| a1 | −0.00062 | −0.00064 | 0.000662 |
| a2 | 0.00094 | 0.0006675 | 0.0002975 |
| a3 | 0.0004088 | 0.000826 | 0.00080625 |
| a4 | −0.2211875 | −0.25028125 | −0.5338854 |
| a5 | −0.0001665 | −0.000157 | −0.000164 |
| a6 | 0.00024 | 0.000279 | −3.5 × 10−5 |
| a7 | −0.10585 | −0.083325 | 0.049558 |
| a8 | −5.5 × 10−6 | 0.000156 | 0.000353 |
| a9 | −0.042 | −0.19717 | −0.25086 |
| a10 | 55.9659 | 73.795 | 85.712 |
Disclaimer/Publisher’s Note: The statements, opinions and data contained in all publications are solely those of the individual author(s) and contributor(s) and not of MDPI and/or the editor(s). MDPI and/or the editor(s) disclaim responsibility for any injury to people or property resulting from any ideas, methods, instructions or products referred to in the content. |
© 2025 by the authors. Licensee MDPI, Basel, Switzerland. This article is an open access article distributed under the terms and conditions of the Creative Commons Attribution (CC BY) license (https://creativecommons.org/licenses/by/4.0/).
Share and Cite
Qasem, I.; Al-Samrraie, L.A.; Alrawashdeh, K.A.B. Compressive Strength Impact on Cut Depth of Granite During Abrasive Water Jet Machining. J. Manuf. Mater. Process. 2025, 9, 262. https://doi.org/10.3390/jmmp9080262
Qasem I, Al-Samrraie LA, Alrawashdeh KAB. Compressive Strength Impact on Cut Depth of Granite During Abrasive Water Jet Machining. Journal of Manufacturing and Materials Processing. 2025; 9(8):262. https://doi.org/10.3390/jmmp9080262
Chicago/Turabian StyleQasem, Isam, La’aly A. Al-Samrraie, and Khalideh Al Bkoor Alrawashdeh. 2025. "Compressive Strength Impact on Cut Depth of Granite During Abrasive Water Jet Machining" Journal of Manufacturing and Materials Processing 9, no. 8: 262. https://doi.org/10.3390/jmmp9080262
APA StyleQasem, I., Al-Samrraie, L. A., & Alrawashdeh, K. A. B. (2025). Compressive Strength Impact on Cut Depth of Granite During Abrasive Water Jet Machining. Journal of Manufacturing and Materials Processing, 9(8), 262. https://doi.org/10.3390/jmmp9080262

